Sign in to use this feature.

Years

Between: -

Subjects

remove_circle_outline
remove_circle_outline
remove_circle_outline
remove_circle_outline
remove_circle_outline
remove_circle_outline
remove_circle_outline
remove_circle_outline
remove_circle_outline

Journals

remove_circle_outline
remove_circle_outline
remove_circle_outline
remove_circle_outline
remove_circle_outline

Article Types

Countries / Regions

remove_circle_outline
remove_circle_outline
remove_circle_outline
remove_circle_outline
remove_circle_outline
remove_circle_outline

Search Results (265)

Search Parameters:
Keywords = textile circularity

Order results
Result details
Results per page
Select all
Export citation of selected articles as:
23 pages, 1616 KB  
Systematic Review
Textile Materials Information for Digital Product Passport Implementation in the Textile and Clothing Ecosystem: A Review on the Role of Raw Fibers in a Substantial Transition
by Flavia Papile and Barbara Del Curto
Sustainability 2025, 17(19), 8804; https://doi.org/10.3390/su17198804 - 30 Sep 2025
Abstract
The Textiles and Clothing sector is increasingly focused on transitioning towards circular production, with industrial companies striving to integrate sustainable practices. Achieving this goal can involve the rapid adoption of innovative raw fibers (e.g., biodegradable and biobased materials) and maximizing the use of [...] Read more.
The Textiles and Clothing sector is increasingly focused on transitioning towards circular production, with industrial companies striving to integrate sustainable practices. Achieving this goal can involve the rapid adoption of innovative raw fibers (e.g., biodegradable and biobased materials) and maximizing the use of recycled and recyclable fibers. This implicitly demands acting on the total transparency of information along the complex supply chains in this sector to guarantee the correct adoption of these innovative fibers. It is precisely this complexity that hinders efforts to track and accurately disclose material usage. To address this issue, this paper presents a systematic literature review to explore the main challenges in adopting technologies like digital product passports, which can help track materials information along supply chains to support sustainable transitions. The analyzed articles were selected by excluding student thesis works, non-retrievable articles, papers that had a different focus, and literature published before 2020 or in non-institutional journals. The 53 resulting contributions are analyzed through a thematic analysis and discussed, focusing on identifying key material-related data that should be monitored to ensure responsible material use and strengthen sustainable production practices in the Textiles and Clothing sector, thereby guaranteeing control over material use and preventing premature disposal. Full article
31 pages, 1839 KB  
Review
Bamboo for the Future: From Traditional Use to Industry 5.0 Applications
by Zishan Ahmad, Ritu Kumari, Bilal Mir, Taiba Saeed, Fatima Firdaus, Venkatesan Vijayakanth, Krishnamurthi Keerthana, Muthusamy Ramakrishnan and Qiang Wei
Plants 2025, 14(19), 3019; https://doi.org/10.3390/plants14193019 - 29 Sep 2025
Abstract
Bamboo (subfamily Bambusoideae, Poaceae) ranks among the fastest-growing plants on Earth, achieving up to 1 m day−1, significantly faster than other fast growing woody plant such as Eucalyptus (up to 0.6 m day−1) and Populus (up to 0.5 m [...] Read more.
Bamboo (subfamily Bambusoideae, Poaceae) ranks among the fastest-growing plants on Earth, achieving up to 1 m day−1, significantly faster than other fast growing woody plant such as Eucalyptus (up to 0.6 m day−1) and Populus (up to 0.5 m day−1). Native to Asia, South America and Africa, and cultivated on approximately 37 million ha worldwide, bamboo delivers multifaceted environmental, social, and economic benefits. Historically central to construction, handicrafts, paper and cuisine, bamboo has evolved into a high-value cash crop and green innovation platform. Its rapid renewability allows multiple harvests of young shoots in fast-growing species such as Phyllostachys edulis and Dendrocalamus asper. Its high tensile strength, flexibility, and ecological adaptability make it suitable for applications in bioenergy (bioethanol, biogas, biochar), advanced materials (engineered composites, textiles, activated carbon), and biotechnology (fermentable sugars, prebiotics, biochemicals). Bamboo shoots and leaves provide essential nutrients, antioxidants and bioactive compounds with documented health and pharmaceutical potential. With a global market value exceeding USD 41 billion, bamboo demand continues to grow in response to the call for sustainable materials. Ecologically, bamboo sequesters up to 259 t C ha−1, stabilizes soil, enhances agroforestry systems and enables phytoremediation of degraded lands. Nonetheless, challenges persist, including species- and age-dependent mechanical variability; vulnerability to decay and pests; flammability; lack of standardized harvesting and engineering codes; and environmental impacts of certain processing methods. This review traces bamboo’s trajectory from a traditional resource to a strategic bioresource aligned with Industry 5.0, underscores its role in low-emission, circular bioeconomies and identifies pathways for optimized cultivation, green processing technologies and integration into carbon-credit frameworks. By addressing these challenges through innovation and policy support, bamboo can underpin resilient, human-centric economies and drive sustainable development. Full article
Show Figures

Figure 1

17 pages, 897 KB  
Article
Towards a Circular Fashion Future: A Textile Revalorization Model Combining Public and Expert Insights from Chile
by Cristian D. Palma and Priscilla Cabello-Avilez
Sustainability 2025, 17(19), 8670; https://doi.org/10.3390/su17198670 - 26 Sep 2025
Abstract
The global textile industry has a significant environmental impact, driven by fast fashion and rising consumption, which leads to large amounts of waste. In Chile, this problem is especially visible, with thousands of tons of discarded clothing accumulating in open areas and landfills. [...] Read more.
The global textile industry has a significant environmental impact, driven by fast fashion and rising consumption, which leads to large amounts of waste. In Chile, this problem is especially visible, with thousands of tons of discarded clothing accumulating in open areas and landfills. This study explores how to design a practical textile revalorization system grounded in local reality. We used a qualitative mixed-methods approach, combining semi-structured interviews with six experts in textile circularity and an online survey completed by 328 people. Thematic analysis revealed low public awareness of textile recycling, limited consumer participation, and major structural barriers, including scarce infrastructure and unclear regulations. Experts emphasized the importance of coordinated action among government, industry, and grassroots recyclers, while survey respondents highlighted the need for education and easier recycling options. Based on these insights, we propose an integrated framework that combines education campaigns, better recycling systems, and formal recognition of informal recyclers’ work. While centered on Chile, the study offers ideas that could support textile circularity efforts in other countries facing similar challenges. By merging expert knowledge with everyday public perspectives, the approach helps design more realistic and socially grounded solutions for textile waste management. As with many exploratory frameworks, external validation remains a necessary step for future research to strengthen its robustness and applicability. Full article
Show Figures

Figure 1

20 pages, 3372 KB  
Article
Characterization and Performance Evaluation of Cotton Fabrics Functionalized via In Situ Green Synthesis of Silver Nanoparticles Using Solanum tuberosum Peel Extract
by Nonsikelelo Sheron Mpofu, Josphat Igadwa Mwasiagi, Cleophas Achisa Mecha and Eric Oyondi Nganyi
Polymers 2025, 17(19), 2598; https://doi.org/10.3390/polym17192598 - 25 Sep 2025
Abstract
The functionalization of textiles with nanomaterials through green synthesis offers a promising pathway for sustainable material innovation. This study explores the in situ green synthesis of silver nanoparticles (AgNPs) onto cotton fabrics using Solanum tuberosum (potato) peel extract as a natural reducing and [...] Read more.
The functionalization of textiles with nanomaterials through green synthesis offers a promising pathway for sustainable material innovation. This study explores the in situ green synthesis of silver nanoparticles (AgNPs) onto cotton fabrics using Solanum tuberosum (potato) peel extract as a natural reducing and stabilizing agent. The synthesis conditions were optimized by varying silver nitrate concentration, extract volume, temperature, pH, and reaction time, after which the optimized protocol was applied for fabric treatment. The presence and distribution of AgNPs were confirmed through UV-Visible spectroscopy, Fourier-transform infrared spectroscopy, scanning electron microscopy and dynamic light scattering. The treated fabrics demonstrated strong and durable antibacterial performance, with inhibition zones of 23 ± 0.02 against Escherichia coli and 16 ± 0.01 against Staphylococcus aureus. Notably, antibacterial activity was retained even after 20 washing cycles, demonstrating the durability of the treatment. Mechanical testing revealed a 32.25% increase in tensile strength and a corresponding 10.47% reduction in elongation at break compared to untreated fabrics, suggesting improved durability with moderate stiffness. Air permeability decreased by 8.8%, correlating with the rougher surface morphology observed in Scanning Electron Microscopy images. Thermal analysis showed a decrease in thermal stability relative to untreated cotton, highlighting the influence of AgNPs on degradation behavior. Overall, this work demonstrates that potato peel waste, an abundant and underutilized biomass, can be used as a sustainable source for the green synthesis of AgNP-functionalized textiles. The approach provides a cost-effective and environmentally friendly strategy for developing multifunctional fabrics, while supporting circular economy goals in textile engineering. Full article
(This article belongs to the Special Issue Sustainable Electrospinning Processes and Green Solvents)
Show Figures

Graphical abstract

17 pages, 877 KB  
Article
Assessing the Sustainable Circular Fashion Supply Chain as a Model for Achieving Economic Growth in the Global Market
by Andrew P. Burnstine and Raouf Ghattas
Sustainability 2025, 17(19), 8558; https://doi.org/10.3390/su17198558 - 24 Sep 2025
Viewed by 151
Abstract
The fashion industry faces a critical sustainability crisis, contributing up to 10% of global carbon emissions and generating 92 million tons of textile waste annually. The study highlights the complex interplay of material flows, business models, power structures, and cultural mindsets, presenting a [...] Read more.
The fashion industry faces a critical sustainability crisis, contributing up to 10% of global carbon emissions and generating 92 million tons of textile waste annually. The study highlights the complex interplay of material flows, business models, power structures, and cultural mindsets, presenting a multi-scaled framework for advancing cleaner production and circularity in one of the world’s most resource-intensive sectors. This study proposes a transformative model for circular bioeconomy in fashion, integrating systems-change theory, degrowth economics, and emotional durability. Through case studies, including Patagonia, Eileen Fisher, and EU policy frameworks, the paper demonstrates how circular strategies can reduce waste, extend product lifecycles, and promote ethical labor practices. Notably, brands implementing take-back programs and recycled materials have diverted over 1.5 million garments from landfills and achieved up to 70% recycled content. The study critically addresses challenges such as technological solutionism, systemic greenwashing, and waste colonialism, concluding that incremental changes are insufficient. A paradigm shift in business models, consumer culture, and policy is essential for a regenerative and just fashion future. Full article
(This article belongs to the Special Issue Advancing Towards Smart and Sustainable Supply Chain Management)
Show Figures

Figure 1

29 pages, 3236 KB  
Article
Public Perceptions of Circular Economy in Latvia: Insights for Municipal Governance
by Erika Lagzdina
Sustainability 2025, 17(18), 8496; https://doi.org/10.3390/su17188496 - 22 Sep 2025
Viewed by 127
Abstract
The circular economy (CE) supports sustainable development through local action, with municipalities playing a central role in governance, service provision, and citizen involvement. This paper presents a systemic analysis of public attitudes, behaviours, and perceptions related to CE, aiming to identify governance gaps [...] Read more.
The circular economy (CE) supports sustainable development through local action, with municipalities playing a central role in governance, service provision, and citizen involvement. This paper presents a systemic analysis of public attitudes, behaviours, and perceptions related to CE, aiming to identify governance gaps and recommend strategies to align implementation with societal needs. Data was collected through a survey across five consumption categories: food, textiles, plastics, electronics, and mobility. The findings indicated that the public is generally willing to adopt circular practices provided adequate services are available. The study applied the 10R framework to categorize circular strategies and mapped services to these relevant governance instruments: infrastructure, economic and planning instruments, education and information, and collaboration. A document analysis of multi-level governance frameworks further contextualized the results. A polarized engagement pattern emerged: preventive strategies like Reduce and Repair are supported by both public behaviour and municipal services, while end-of-pipe approaches such as Recycling and Landfilling continue to dominate. In contrast, mid-level strategies (Reuse, Refurbish, Remanufacture, and Repurpose) are significantly underrepresented. This gap highlights a critical shortfall in governance and service provisioning. The study concludes that advancing CE requires targeted interventions in infrastructure, improved access to circular services, and greater public awareness to enable broader participation. Full article
(This article belongs to the Section Sustainable Management)
Show Figures

Figure 1

35 pages, 808 KB  
Article
Machine Learning-Based Data Quality Assessment for the Textile and Clothing Digital Product Passport
by Estrela Ferreira Cruz, Pedro Silva, Sérgio Serra, Rodrigo Rodrigues, Marcelo Alves, João Oliveira and António M. Rosado da Cruz
Appl. Sci. 2025, 15(18), 10259; https://doi.org/10.3390/app151810259 - 20 Sep 2025
Viewed by 322
Abstract
Transparency in business practices is essential for sustainability, ensuring that resources are used responsibly and that environmental and social impacts are properly measured and monitored, allowing the end consumer to make informed purchasing decisions without feeling cheated. The Digital Product Passport (DPP) promotes [...] Read more.
Transparency in business practices is essential for sustainability, ensuring that resources are used responsibly and that environmental and social impacts are properly measured and monitored, allowing the end consumer to make informed purchasing decisions without feeling cheated. The Digital Product Passport (DPP) promotes transparency by providing detailed information about a product’s origin, composition, and life-cycle activities, enabling more sustainable and responsible choices. The implementation of the DPP for textile and clothing items faces many challenges due to the large number and diversity of companies involved in the value chain of these products, combined with the large amount and variability of information that needs to be collected. Therefore, the integration and standardization of data from these companies is one of the largest present challenges. In this article, we study the use of Machine Learning (ML) algorithms for validating, in a homogeneous way, the quality of the data submitted by each company for the implementation of the DPP. We have studied four solutions that, using datasets organized in different ways and using different ML algorithms, enable selecting the solution that best suits each particular situation. Full article
(This article belongs to the Section Computing and Artificial Intelligence)
Show Figures

Figure 1

29 pages, 1718 KB  
Review
Bacillus Pectinases as Key Biocatalysts for a Circular Bioeconomy: From Green Extraction to Process Optimization and Industrial Scale-Up
by Fatima Zohra Kaissar, Khelifa Bouacem, Mohammed Lamine Benine, Sondes Mechri, Shubha Rani Sharma, Vishal Kumar Singh, Mahfoud Bakli, Seif El Islam Lebouachera and Giovanni Emiliani
BioTech 2025, 14(3), 74; https://doi.org/10.3390/biotech14030074 - 19 Sep 2025
Viewed by 467
Abstract
Pectins are high-value plant cell-wall polysaccharides with extensive applications in the food, pharmaceutical, textile, paper, and environmental sectors. Traditional extraction and processing methodologies rely heavily on harsh acids, high temperatures, and non-renewable solvents, generating substantial environmental and economic costs. This review consolidates recent [...] Read more.
Pectins are high-value plant cell-wall polysaccharides with extensive applications in the food, pharmaceutical, textile, paper, and environmental sectors. Traditional extraction and processing methodologies rely heavily on harsh acids, high temperatures, and non-renewable solvents, generating substantial environmental and economic costs. This review consolidates recent advances across the entire Bacillus–pectinase value chain, from green pectin extraction and upstream substrate characterization, through process and statistical optimization of enzyme production, to industrial biocatalysis applications. We propose a practical roadmap for developing high-efficiency, low-environmental-footprint enzyme systems that support circular bioeconomy objectives. Critical evaluation of optimization strategies, including submerged versus solid-state fermentation, response surface methodology, artificial neural networks, and design of experiments, is supported by comparative data on strain performance, fermentation parameters, and industrial titers. Sector-specific case studies demonstrate the efficacy of Bacillus pectinases in fruit-juice clarification, textile bio-scouring, paper bio-bleaching, bio-based detergents, coffee and tea processing, oil extraction, animal feed enhancement, wastewater treatment, and plant-virus purification. Remaining challenges, including enzyme stability in complex matrices, techno-economic scale-up, and structure-guided protein engineering, are identified. Future directions are charted toward CRISPR-driven enzyme design and fully integrated circular-economy bioprocessing platforms. Full article
(This article belongs to the Section Industry, Agriculture and Food Biotechnology)
Show Figures

Graphical abstract

20 pages, 2738 KB  
Article
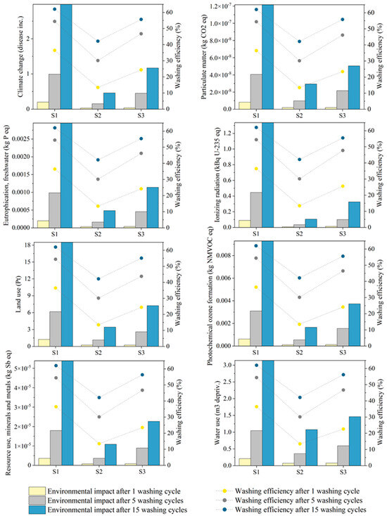
Optimizing Laundry for Sustainability: Balancing Washing Efficiency and Environmental Impact in the Clothing Use Phase
by Tian Xia, Romain Benkirane and Anne Perwuelz
Sustainability 2025, 17(18), 8411; https://doi.org/10.3390/su17188411 - 19 Sep 2025
Viewed by 276
Abstract
The use phase of clothing contributes significantly to the overall environmental impacts due to clothing care practices. Decreasing environmental impact while maintaining washing performance in the use phase can be an effective strategy for sustainability and circularity in the textile value chain. However, [...] Read more.
The use phase of clothing contributes significantly to the overall environmental impacts due to clothing care practices. Decreasing environmental impact while maintaining washing performance in the use phase can be an effective strategy for sustainability and circularity in the textile value chain. However, existing studies on the environmental impacts of use phase usually consider limited washing conditions and neglect their impacts on washing efficiency. This study proposes a research framework that integrates the Response Surface Methodology (RSM) and Life Cycle Assessment (LCA) methodology to optimize washing parameters for better washing efficiency with less environmental impact in the clothing use phase. A series of laundry experiments were conducted to simulate household laundry, and an environmental impact assessment was conducted based on the experimental data. The optimized washing parameters were explored under eight impact categories and in terms of washing efficiency, and comparative analyses were conducted between three different washing scenarios. The results indicated that input load is the most significant factor influencing both washing efficiency and environmental impact, but with a negative correlation. The optimized washing conditions provided effective trade-offs, demonstrating notable environmental benefits through the scenario study. In the daily washing scenario with an expectation for a middle level of washing efficiency, using the optimized washing conditions can reduce the environmental impact by 80% on average compared to the high-washing-efficiency-oriented washing process and 60% on average compared to the low-environmental-impact-oriented washing process. However, for high washing efficiency demand, optimized washing conditions are less competitive due to increased washing time and detergent use. The results emphasized the importance of choosing appropriate washing parameters according to the demand for washing efficiency. Consistent environmental improvements can be achieved by changing consumer washing habits. Full article
(This article belongs to the Section Resources and Sustainable Utilization)
Show Figures

Figure 1

22 pages, 5574 KB  
Review
Discarded Mattresses: From Environmental Problem to Recoverable Resource
by Javier Arias Madero, Jose Antonio Balmori Roiz, Luis-Alfonso Basterra Otero and Iker Diaz Gonzalez
Sustainability 2025, 17(18), 8371; https://doi.org/10.3390/su17188371 - 18 Sep 2025
Viewed by 481
Abstract
Mattresses represent one of the most widespread and problematic bulky waste streams worldwide, due to their unavoidable daily use, their high presence in municipal solid waste flows, and the complexity of their end-of-life management. Their heterogeneous composition—combining polyurethane foams, textiles, metal springs, and [...] Read more.
Mattresses represent one of the most widespread and problematic bulky waste streams worldwide, due to their unavoidable daily use, their high presence in municipal solid waste flows, and the complexity of their end-of-life management. Their heterogeneous composition—combining polyurethane foams, textiles, metal springs, and adhesives—makes separation and recovery difficult, leading many discarded mattresses to end up in landfills or incinerators, with associated greenhouse gas emissions and the loss of valuable secondary resources. Within this context, recycling emerges as a priority alternative under the circular economy framework, enabling material recovery and reducing reliance on traditional disposal methods. Among current options, mechanical recycling is especially promising, as it provides energy savings and lower emissions compared to thermal treatments. However, its large-scale implementation requires improvements in product design, collection logistics, and regulatory frameworks to address existing challenges. This article provides a critical review of the current state of mattress recycling and valorization, examining technological advances, environmental impacts, and systemic barriers. It also highlights successful initiatives in the hospitality and healthcare sectors, which illustrate the potential of circular strategies to transform bulky waste management and promote sustainable material flows. Full article
(This article belongs to the Section Waste and Recycling)
Show Figures

Figure 1

31 pages, 1703 KB  
Review
Enzymes as Catalysts in Industrial Biocatalysis: Advances in Engineering, Applications, and Sustainable Integration
by Mohd Farhan, Ibrahim W. Hasani, Doaa S. R. Khafaga, Waleed Mahmoud Ragab, Raisa Nazir Ahmed Kazi, Mohammad Aatif, Ghazala Muteeb and Yosri A. Fahim
Catalysts 2025, 15(9), 891; https://doi.org/10.3390/catal15090891 - 16 Sep 2025
Viewed by 1111
Abstract
Enzymes are highly selective and efficient biological catalysts that play a critical role in modern industrial biocatalysis. Their ability to operate under mild conditions and reduce environmental impact makes them ideal alternatives to conventional chemical catalysts. This review provides a comprehensive overview of [...] Read more.
Enzymes are highly selective and efficient biological catalysts that play a critical role in modern industrial biocatalysis. Their ability to operate under mild conditions and reduce environmental impact makes them ideal alternatives to conventional chemical catalysts. This review provides a comprehensive overview of advances in enzyme-based catalysis, focusing on enzyme classification, engineering strategies, and industrial applications. The six major enzyme classes—hydrolases, oxidoreductases, transferases, lyases, isomerases, and ligases—are discussed in the context of their catalytic roles across sectors such as pharmaceuticals, food processing, textiles, biofuels, and environmental remediation. Recent developments in protein engineering, including directed evolution, rational design, and computational modeling, have significantly enhanced enzyme performance, stability, and substrate specificity. Emerging tools such as machine learning and synthetic biology are accelerating the discovery and optimization of novel enzymes. Progress in enzyme immobilization techniques and reactor design has further improved process scalability, reusability, and operational robustness. Enzyme sourcing has expanded from traditional microbial and plant origins to extremophiles, metagenomic libraries, and recombinant systems. These advances support the integration of enzymes into green chemistry and circular economy frameworks. Despite challenges such as enzyme deactivation and cost barriers, innovative solutions continue to emerge. Enzymes are increasingly enabling cleaner, safer, and more efficient production pathways across industries, supporting the global shift toward sustainable and circular manufacturing. Full article
(This article belongs to the Special Issue Enzymatic and Chemoenzymatic Cascade Reactions)
Show Figures

Figure 1

27 pages, 2159 KB  
Article
Technical Evaluation and Recycling Potential of Polyolefin and Paper Separation in Mixed Waste Material Recovery Facilities
by Anna-Maria Lipp, Dominik Blasenbauer, Hana Stipanovic, Gerald Koinig, Alexia Tischberger-Aldrian and Jakob Lederer
Recycling 2025, 10(5), 176; https://doi.org/10.3390/recycling10050176 - 12 Sep 2025
Viewed by 370
Abstract
Mixed municipal solid waste (MSW) of cities and tourist-heavy areas typically contains elevated amounts of recyclable materials. In Austria, numerous material recovery facilities exist for processing this waste; however, they primarily focus on separating metals, neglecting the recovery potential of other recyclables. To [...] Read more.
Mixed municipal solid waste (MSW) of cities and tourist-heavy areas typically contains elevated amounts of recyclable materials. In Austria, numerous material recovery facilities exist for processing this waste; however, they primarily focus on separating metals, neglecting the recovery potential of other recyclables. To evaluate such potential for polyolefins and paper-based materials, two pilot-scale trials were conducted in a model region in Tyrol, Western Austria, accompanied by comprehensive sampling, waste characterisation, and material flow analysis. Pre-concentrates with up to 70% purity were obtained using two stages of near-infrared sorting, although challenges arose due to the presence of textiles and composite materials. This study found that separating polyolefins from mixed MSW could increase recycling rates in the region by up to 16% (absolute). Paper recovery also showed a modest increase. Polyolefin recovery slightly lowered, whereas paper recovery moderately raised the heating value. Recycling such materials is technically feasible, and forthcoming legislative changes are expected to create a market for these materials. Although fundamental questions remain regarding the optimal balance between recycling and refuse-derived fuel, as well as concerns about microbiological or chemical hazards, it can enhance resource efficiency, develop circularity, and aid comparison in regions with similar demographic and tourism characteristics. Full article
Show Figures

Figure 1

33 pages, 877 KB  
Article
Sustainability Index in Apparel: A Multicriteria Model Covering Environmental Footprint, Social Impacts, and Durability
by Anabela Gonçalves, Bárbara R. Leite and Carla Silva
Sustainability 2025, 17(17), 8004; https://doi.org/10.3390/su17178004 - 5 Sep 2025
Viewed by 938
Abstract
Consumers are increasingly willing to choose more sustainable products, driven by affordability and sustainability considerations. However, they often face difficulties in understanding the multitude of product certifications and identifying “greenwashing” marketing claims. This highlights the need for a clear and harmonized sustainability scoring [...] Read more.
Consumers are increasingly willing to choose more sustainable products, driven by affordability and sustainability considerations. However, they often face difficulties in understanding the multitude of product certifications and identifying “greenwashing” marketing claims. This highlights the need for a clear and harmonized sustainability scoring system that allows consumers to benchmark products. Sustainability encompasses three key pillars: environmental, social, and economic. Accurately scoring a product’s sustainability requires addressing a wide range of criteria within these pillars, introducing significant complexity. This study proposes a multicriteria methodology for scoring the sustainability of apparel products into an A to E label. The approach combines a life cycle assessment covering environmental impacts from “farm-to-gate”, with a social evaluation based on country-level social key performance indicators (KPIs) and factory-specific data aligned with the International Labour Organization (ILO). Additionally, the sustainability score incorporates the impact of product durability, as longer-lasting products can reduce environmental footprint and costs for consumers. The methodology is defined and validated through a case study of a white T-shirt produced with 50% recycled cotton and 50% organic cotton. The results demonstrate the comprehensive assessment of the T-shirt’s environmental and social impacts, providing a detailed sustainability score, highlighting the role of recyclability. This comprehensive sustainability scoring system aims to provide consumers with a clear, harmonized, and reliable assessment of product sustainability, empowering everyone to make informed purchasing decisions aligned with their values. It will also enable brands and retailers to calculate the sustainability score of their products, including in the scope of digital product passport, provided they can ensure traceability and transparency along the supply chain. Full article
(This article belongs to the Special Issue Smart Technologies Toward Sustainable Eco-Friendly Industry)
Show Figures

Figure 1

15 pages, 4743 KB  
Article
Upcycling Coffee Silverskin Waste into Functional Textile Coatings: Evaluation on Cotton, Lyocell, Wool, and Silk
by Agata Nolasco, Francesco Esposito, Teresa Cirillo, Augusta Silva and Carla Joana Silva
Coatings 2025, 15(9), 1033; https://doi.org/10.3390/coatings15091033 - 3 Sep 2025
Viewed by 591
Abstract
Agricultural and food by-products offer valuable opportunities for circular and bio-based innovation across sectors. In the textile industry, replacing fossil-based coatings with sustainable alternatives is increasingly urgent. This study evaluates the performance of a textile coating based on coffee silverskin (CS)—an abundant by-product [...] Read more.
Agricultural and food by-products offer valuable opportunities for circular and bio-based innovation across sectors. In the textile industry, replacing fossil-based coatings with sustainable alternatives is increasingly urgent. This study evaluates the performance of a textile coating based on coffee silverskin (CS)—an abundant by-product of coffee roasting—applied to four natural fibre substrates: cotton, lyocell, wool, and silk. A formulation combining 60% CS sludge (8% solids), treated by wet ball milling, with an aliphatic polyester-polyurethane dispersion was applied via knife coating. Standardised tests assessed mechanical resistance, air permeability, colour fastness, moisture management, and water repellency, including contact angle and drop absorption analyses. Results revealed that all substrates were compatible with the CS-based coating, which reduced air permeability and increased hydrophobicity. Notably, silk showed the most significant functional enhancement, transitioning from hydrophilic to waterproof with increased durability—indicating strong potential for technical applications such as outerwear and performance textiles. Given the renewable origin of both the substrate and coating, this study highlights the feasibility of valorising agri-food waste in high-performance, bio-based textile systems. These findings demonstrate the potential of CS as a bio-based coating for technical textiles, supporting the development of high-performance and sustainable materials within the textile industry. Full article
(This article belongs to the Special Issue Advances in Coated Fabrics and Textiles)
Show Figures

Figure 1

16 pages, 1584 KB  
Article
Assessing the Social and Environmental Impact of a Clothing Reuse Business Model: The Case of Circular Thrift—An Innovative, Community-Based Startup
by Iva Jestratijevic and Ragul Senthil
Sustainability 2025, 17(17), 7868; https://doi.org/10.3390/su17177868 - 1 Sep 2025
Viewed by 1167
Abstract
To contribute to the emerging knowledge on the sustainability impacts of small, circular clothing reuse businesses in the US, we employed a case study research methodology to empirically test the case of Circular Thrift, an innovative, community-based startup business model with potential to [...] Read more.
To contribute to the emerging knowledge on the sustainability impacts of small, circular clothing reuse businesses in the US, we employed a case study research methodology to empirically test the case of Circular Thrift, an innovative, community-based startup business model with potential to create a circular fashion ecosystem on the firm level. Primary data on circular activities were collected on site within the first year of business operation. The Life Cycle Assessment methodology was conducted to assess environmental impact avoidance. The social impact of reused products was assessed to contribute to a more comprehensive understanding of the benefits of born circular business models. Tangible environmental benefits accounted for the collection of 10,772 apparel units and resulted in the diversion of 2311.05 kg (approximately 5095 pounds) of clothing from the local landfill. Social impact accounted for 45.86% of the collected items that were given back to the local community. Empirical testing of the environmental benefits of a Circular Thrift business model makes a strong case for scaling up reusable efforts as a means to address post-consumer textile waste at the local community level within the US, where formal and government-regulated resource collection and recovery systems still do not exist. Full article
(This article belongs to the Special Issue Small Business Strategies for Sustainable and Circular Economy)
Show Figures

Figure 1

Back to TopTop