Optimizing Laundry for Sustainability: Balancing Washing Efficiency and Environmental Impact in the Clothing Use Phase
Abstract
1. Introduction
2. Materials and Methods
2.1. Material
2.2. Experimental Design
2.2.1. Design of Experiment
2.2.2. Laundry Process
2.2.3. Evaluation of Washing Efficiency
2.3. Life Cycle Assessment
2.3.1. Scope and System Boundaries
2.3.2. Life Cycle Inventory
2.3.3. Impact Assessment Method
3. Results and Discussion
3.1. Results for Washing Efficiency
3.2. Environmental Impact Assessment
3.3. Optimized Conditions
3.4. Scenario Study
3.4.1. Comparative Analysis I
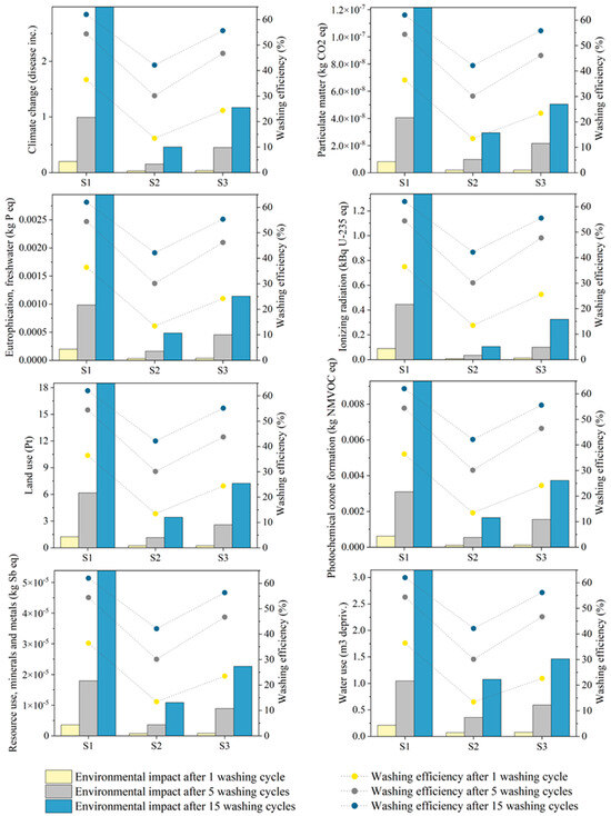
3.4.2. Comparative Analysis II
4. Conclusions
Author Contributions
Funding
Institutional Review Board Statement
Informed Consent Statement
Data Availability Statement
Conflicts of Interest
References
- Napolano, L.; Foschi, J.; Caldeira, C.; Huygens, D.; Sala, S. Understanding Textile Value Chains: Dynamic Probabilistic Material Flow Analysis of Textile in the European Union. Resour. Conserv. Recycl. 2025, 212, 107888. [Google Scholar] [CrossRef]
- Ellen MacArthur Foundation. A New Textiles Economy: Redesigning Fashion’s Future. Available online: https://www.ellenmacarthurfoundation.org/a-new-textiles-economy (accessed on 19 January 2023).
- Yasin, S.; Behary, N.; Rovero, G.; Kumar, V. Statistical Analysis of Use-Phase Energy Consumption of Textile Products. Int. J. Life Cycle Assess. 2016, 21, 1776–1788. [Google Scholar] [CrossRef]
- Letien, E.; Benkirane, R.; Pichon, N.; Perwuelz, A. Clothing Care Practices: From an LCA Perspective. In Proceedings of the 5th PLATE Conference Espoo, Espoo, Finland, 31 May—2 June 2023. [Google Scholar]
- Sohn, J.; Nielsen, K.S.; Birkved, M.; Joanes, T.; Gwozdz, W. The Environmental Impacts of Clothing: Evidence from United States and Three European Countries. Sustain. Prod. Consum. 2021, 27, 2153–2164. [Google Scholar] [CrossRef]
- Klepp, I.G.; Laitala, K.; Wiedemann, S. Clothing Lifespans: What Should Be Measured and How. Sustainability 2020, 12, 6219. [Google Scholar] [CrossRef]
- United Nations Environment Programme. Sustainability and Circularity in the Textile Value Chain: Global Stocktaking. Available online: https://wedocs.unep.org/20.500.11822/34184 (accessed on 17 July 2025).
- Wiedemann, S.G.; Clarke, S.J.; Nguyen, Q.V.; Cheah, Z.X.; Simmons, A.T. Strategies to Reduce Environmental Impacts from Textiles: Extending Clothing Wear Life Compared to Fibre Displacement Assessed Using Consequential LCA. Resour. Conserv. Recycl. 2023, 198, 107119. [Google Scholar] [CrossRef]
- IEC 60456:2010; Clothes Washing Machines for Household Use—Methods for Measuring the Performance. International Electrotechnical Commission: Brussels, Belgium, 2010.
- Alborzi, F.; Schmitz, A.; Stamminger, R. Long Wash Cycle Duration as a Potential for Saving Energy in Laundry Washing. Energy Effic. 2017, 10, 823–838. [Google Scholar] [CrossRef]
- Cotton, L.; Hayward, A.S.; Lant, N.J.; Blackburn, R.S. Improved Garment Longevity and Reduced Microfibre Release Are Important Sustainability Benefits of Laundering in Colder and Quicker Washing Machine Cycles. Dyes Pigment. 2020, 177, 108120. [Google Scholar] [CrossRef]
- Schmitz, A.; Stamminger, R. Usage Behaviour and Related Energy Consumption of European Consumers for Washing and Drying. Energy Effic. 2014, 7, 937–954. [Google Scholar] [CrossRef]
- Visser, M.; Schoormans, J. Get Rid of the Eco-Button! Design Interventions to Steer Sustainable Use of Washing Machines. Clean. Responsible Consum. 2023, 8, 100096. [Google Scholar] [CrossRef]
- Ferri, A.; Osset, M.; Abeliotis, K.; Amberg, C.; Candan, C.; Owens, J.; Stamminger, R. Laundry Performance: Effect of Detergent and Additives on Consumer Satisfaction. Tenside Surfactants Deterg. 2016, 53, 375–386. [Google Scholar] [CrossRef]
- Miilunpalo, S.-M.; Räisänen, R. Clean Laundry with Pure Conscience—A Study on Laundry Practices among Finnish Consumers. Int. J. Consum. Stud. 2019, 43, 153–165. [Google Scholar] [CrossRef]
- Bao, W.; Gong, R.H.; Ding, X.; Xue, Y.; Li, P.; Fan, W. Optimizing a Laundering Program for Textiles in a Front-Loading Washing Machine and Saving Energy. J. Clean. Prod. 2017, 148, 415–421. [Google Scholar] [CrossRef]
- Ellmer, K.; Fuchs, M.; Bauer, U.; Schneider, T.; Thamsen, P.U.; Morgenthal, T.; Villwock, J.; Hanau, A. Research Project Simulation Wäschepflege—Recommendations for Improving Resource Efficiency in the Laundry Process in Households in Germany. J. Clean. Prod. 2017, 153, 539–547. [Google Scholar] [CrossRef]
- Scheid, F.; Lambert, E.; Maitra, W.; Niestrath, M.; Fäh, D.; Portmann, C.; Gorny, S.; Stamminger, R. Textile Quality Depletion Due to Household Machine Wash—Ways to Measure and Impacts of Wash Duration and Temperature on Textiles. Tenside Surfactants Deterg. 2016, 53, 438–444. [Google Scholar] [CrossRef]
- Jena, G.; Dutta, K.; Daverey, A. Surfactants in Water and Wastewater (Greywater): Environmental Toxicity and Treatment Options. Chemosphere 2023, 341, 140082. [Google Scholar] [CrossRef] [PubMed]
- Laitala, K.; Boks, C.; Klepp, I.G. Potential for Environmental Improvements in Laundering. Int. J. Consum. Stud. 2011, 35, 254–264. [Google Scholar] [CrossRef]
- Baydar, G.; Ciliz, N.; Mammadov, A. Life Cycle Assessment of Cotton Textile Products in Turkey. Resour. Conserv. Recycl. 2015, 104, 213–223. [Google Scholar] [CrossRef]
- Moazzem, S.; Crossin, E.; Daver, F.; Wang, L. Assessing Environmental Impact Reduction Opportunities through Life Cycle Assessment of Apparel Products. Sustain. Prod. Consum. 2021, 28, 663–674. [Google Scholar] [CrossRef]
- Montoya Flores, M.L.; Salhofer, S. Environmental Assessment of Cotton Textile Production in Peru: A Case Study for a Cotton T-Shirt. Sci. Total Environ. 2025, 970, 179031. [Google Scholar] [CrossRef]
- Tomšič, B.; Ofentavšek, L.; Fink, R. Toward Sustainable Household Laundry. Washing Quality vs. Environmental Impacts. Int. J. Environ. Health Res. 2024, 34, 1011–1022. [Google Scholar] [CrossRef] [PubMed]
- Siva Rama Krishna, U.; Badiger, M.; Chaudhary, Y.; Vijaya Gowri, T.; Jahnavi Devi, E. Optimizing Roads for Sustainability: Inverted Pavement Design with Life Cycle Cost Analysis and Carbon Footprint Estimation. Int. J. Transp. Sci. Technol. 2025, 17, 251–275. [Google Scholar] [CrossRef]
- Ray, S.; Haque, M.; Ahmed, T.; Nahin, T.T. Comparison of Artificial Neural Network (ANN) and Response Surface Methodology (RSM) in Predicting the Compressive and Splitting Tensile Strength of Concrete Prepared with Glass Waste and Tin (Sn) Can Fiber. J. King Saud Univ.-Eng. Sci. 2023, 35, 185–199. [Google Scholar] [CrossRef]
- ISO 14040:2006; Environmental Management—Life Cycle Assessment—Principles and Framework. ISO (International Organization for Standardization): Brussels, Belgium, 2006.
- ISO 14044:2006; Environmental Management—Life Cycle Assessment—Requirements and Guidelines. ISO (International Organization for Standardization): Brussels, Belgium, 2006.
- ISO 6330:2021; Textiles—Domestic Washing and Drying Procedures for Textile Testing. ISO (International Organization for Standardization): Brussels, Belgium, 2021.
- ISO 6059:1984; Water Quality—Determination of the Sum of Calcium and Magnesium—EDTA Titrimetric Method. ISO (International Organization for Standardization): Brussels, Belgium, 1984.
- Schmutz, M.; Hischier, R.; Som, C. Factors Allowing Users to Influence the Environmental Performance of Their T-Shirt. Sustainability 2021, 13, 2498. [Google Scholar] [CrossRef]
- A.I.S.E. Cleanliness & Hygiene—Consumers’ Understanding and Washing and Cleaning Habits at Home. Available online: https://aise.eu/priorities/science-research/consumer-research/ (accessed on 27 August 2025).
- European Environment Agency. Washing Machines’ Intensity of Use. Available online: https://www.eea.europa.eu/en/circularity/sectoral-modules/product-lifespans/evolution-in-the-average-number-of-washing-cycles-per-washing-machine-in-eu-intensity-of-use (accessed on 2 June 2025).
- Laitala, K.; Klepp, I.G.; Henry, B. Does Use Matter? Comparison of Environmental Impacts of Clothing Based on Fiber Type. Sustainability 2018, 10, 2524. [Google Scholar] [CrossRef]
- Box, G.E.P.; Behnken, D.W. Some New Three Level Designs for the Study of Quantitative Variables. Technometrics 1960, 2, 455–475. [Google Scholar] [CrossRef]
- Karimifard, S.; Alavi Moghaddam, M.R. Application of Response Surface Methodology in Physicochemical Removal of Dyes from Wastewater: A Critical Review. Sci. Total Environ. 2018, 640–641, 772–797. [Google Scholar] [CrossRef]
- Bezerra, M.A.; Santelli, R.E.; Oliveira, E.P.; Villar, L.S.; Escaleira, L.A. Response Surface Methodology (RSM) as a Tool for Optimization in Analytical Chemistry. Talanta 2008, 76, 965–977. [Google Scholar] [CrossRef]
- Vera Candioti, L.; De Zan, M.M.; Cámara, M.S.; Goicoechea, H.C. Experimental Design and Multiple Response Optimization. Using the Desirability Function in Analytical Methods Development. Talanta 2014, 124, 123–138. [Google Scholar] [CrossRef]
- ISO 139:2005; Textiles—Standard Atmospheres for Conditioning and Testing. ISO (International Organization for Standardization): Brussels, Belgium, 2005.
- Bueno, L.; Laso, C.; Amador, C.; Bakalis, S. Modelling the Kinetics of Stain Removal from Knitted Cotton Fabrics in a Commercial Front Loader Washing Machine (FLWM). Chem. Eng. Sci. 2019, 200, 176–185. [Google Scholar] [CrossRef]
- Kruschwitz, A.; Karle, A.; Schmitz, A.; Stamminger, R. Consumer Laundry Practices in Germany. Int. J. Consum. Stud. 2014, 38, 265–277. [Google Scholar] [CrossRef]
- Otterbach, N.; Fröhling, M. Assessing the Environmental Impacts of Product-Service Systems—the Case of Washing Machines in Germany. Resour. Conserv. Recycl. 2024, 204, 107446. [Google Scholar] [CrossRef]
- Samsung. Samsung Washing Machine Cycles & Program Settings Explained. Available online: https://www.samsung.com/uk/support/home-appliances/what-wash-cycle-should-i-use-for-my-samsung-washing-machine/ (accessed on 3 April 2025).
- Stamminger, R.; Bues, A.; Alfieri, F.; Cordella, M. Durability of Washing Machines under Real Life Conditions: Definition and Application of a Testing Procedure. J. Clean. Prod. 2020, 261, 121222. [Google Scholar] [CrossRef] [PubMed]
- European Commission. Commission Recommendation (EU) 2021/2279 of 15 December 2021 on the Use of the Environmental Footprint Methods to Measure and Communicate the Life Cycle Environmental Performance of Products and Organisations. Available online: http://data.europa.eu/eli/reco/2021/2279/oj/eng (accessed on 18 April 2025).
- Andreasi, B.S.; Biganzoli, F.; Ferrara, N.; Amadei, A.; Valente, A.; Sala, S.; Ardente, F. Updated Characterisation and Normalisation Factors for the Environmental Footprint 3.1 Method. Available online: https://publications.jrc.ec.europa.eu/repository/handle/JRC130796 (accessed on 20 March 2025).
- Luo, Y.; Wu, X.; Ding, X. Environmental Impacts of Textiles in the Use Stage: A Systematic Review. Sustain. Prod. Consum. 2023, 36, 233–245. [Google Scholar] [CrossRef]
- Sala, S.; Crenna, E.; Secchi, M.; Pant, R. Global Normalisation Factors for the Environmental Footprint and Life Cycle Assessment. Available online: https://publications.jrc.ec.europa.eu/repository/handle/JRC109878 (accessed on 20 March 2025).
- Oya, M. Analysis of Cleaning Power Using New Cleaning Kinetics and Interfacial Science Studies on Aquatic Toxicity of Surfactants. J. Oleo Sci. 2024, 73, 1–9. [Google Scholar] [CrossRef]
- Yun, C.; Park, C.H. The Effect of Fabric Movement on Washing Performance in a Front-Loading Washer II: Under Various Physical Washing Conditions. Text. Res. J. 2015, 85, 251–261. [Google Scholar] [CrossRef]
- Kalak, T.; Cierpiszewski, R. Correlation Analysis between Particulate Soil Removal and Surface Properties of Laundry Detergent Solutions. Text. Res. J. 2015, 82, 1884–1906. [Google Scholar] [CrossRef]
- Jasiūnas, Ž.; Julião, T.; Cecílio, J.; Carrilho da Graça, G.; Ferreira, P.M. A Soft Sensor to Assess the Energy Performance of Laundry Washing Machines. Appl. Energy 2025, 383, 125349. [Google Scholar] [CrossRef]
- Zarei, A.; Zarei, T.; Abedini, E.; Adibi, P. Design, Modeling, and Optimization of a Novel Humidification-Dehumidification Desalination in a Cartridge Tray Tower Using Response Surface Methodology (RSM). Results Eng. 2025, 27, 106684. [Google Scholar] [CrossRef]
- Oosterhoff, H.; van Kootwijk, W. Obscure Impacts Demystified: Ionizing Radiation. Available online: https://pre-sustainability.com/articles/obscure-impacts-demystified-ionizing-radiation/ (accessed on 9 July 2025).








| Trial | Temperature (, °C) | Load (, kg) | Detergent Concentration (, ppm) |
|---|---|---|---|
| 1 | 20 (−1) | 4 (0) | 1500 (−1) |
| 2 | 40 (0) | 2 (−1) | 4500 (1) |
| 3 | 40 (0) | 6 (1) | 4500 (1) |
| 4 | 60 (1) | 6 (1) | 3000 (0) |
| 5 | 40 (0) | 2 (−1) | 1500 (−1) |
| 6 | 20 (−1) | 6 (1) | 3000 (0) |
| 7 | 60 (1) | 4 (0) | 4500 (1) |
| 8 | 60 (1) | 4 (0) | 1500 (−1) |
| 9 | 40 (0) | 4 (0) | 3000 (0) |
| 10 | 60 (1) | 2 (−1) | 3000 (0) |
| 11 | 40 (0) | 6 (1) | 1500 (−1) |
| 12 | 40 (0) | 4 (0) | 3000 (0) |
| 13 | 20 (−1) | 4 (0) | 4500 (1) |
| 14 | 40 (0) | 4 (0) | 3000 (0) |
| 15 | 20 (−1) | 2 (−1) | 3000 (0) |
| Washing Stages | Time (min) | On(s)/Off(s) Ratio | Rotation Speed (rpm) | Water Injection Amount (L) | |
|---|---|---|---|---|---|
| Main wash stage | Water injection and heating | 6 | 5:5 | 30 | 12 |
| Main wash | 20 | 18:4 | 50 | ||
| Spin | 5 | - | 1400 | ||
| Rinse stage | Water injection | 1.5 × 2 | 5:5 | 30 | 29.5 |
| Rinse × 2 | 4.5 × 2 | 10:6 | 40 | ||
| Spin (between rinses) | 5 | - | 1400 | ||
| Dehydration stage | 14 | - | 1400 | - | |
| Total | 62 | - | - | 41.5 | |
| Trial | Energy Consumption (kWh) | Residual Moisture (kg) | Wastewater (L) |
|---|---|---|---|
| 1 | 0.462 | 1.69 | 39.81 |
| 2 | 0.829 | 0.69 | 40.81 |
| 3 | 0.534 | 2.40 | 39.1 |
| 4 | 0.133 | 2.40 | 39.1 |
| 5 | 0.815 | 0.69 | 40.81 |
| 6 | 0.828 | 2.40 | 39.1 |
| 7 | 0.464 | 1.69 | 39.81 |
| 8 | 0.778 | 1.69 | 39.81 |
| 9 | 0.441 | 1.69 | 39.81 |
| 10 | 0.464 | 0.69 | 40.81 |
| 11 | 0.121 | 2.40 | 39.1 |
| 12 | 0.464 | 1.69 | 39.81 |
| 13 | 0.113 | 1.69 | 39.81 |
| 14 | 0.118 | 1.69 | 39.81 |
| 15 | 0.428 | 0.69 | 40.81 |
| Source | DF | WE-1 (%) | WE-3 (%) | WE-5 (%) | WE-10 (%) | WE-15 (%) | WE-20 (%) | WE-25 (%) | |||||||
|---|---|---|---|---|---|---|---|---|---|---|---|---|---|---|---|
| CE | p Value | CE | p Value | CE | p Value | CE | p Value | CE | p Value | CE | p Value | CE | p Value | ||
| Model | 9 | 21.72 | 0.0184 | 36.53 | 0.0003 | 42.6 | 0.0046 | 50.82 | 0.0031 | 54.94 | 0.0004 | 57.33 | 0.0003 | 59.26 | 0.0004 |
| 1 | 1.83 | 0.1845 | 2.88 | 0.0025 | 2.74 | 0.0198 | 3.89 | 0.002 | 3.76 | 0.0001 | 3.31 | 0.0001 | 2.98 | 0.0002 | |
| 1 | −8.87 | 0.0007 | −9.92 | <0.0001 | −8.24 | 0.0002 | −6.65 | 0.0002 | −5.44 | <0.0001 | −5 | <0.0001 | −4.69 | <0.0001 | |
| 1 | 0.63 | 0.6206 | 1.18 | 0.070 | 1.98 | 0.0585 | 1.72 | 0.0482 | 1.27 | 0.0167 | 1.35 | 0.0069 | 1.2 | 0.0120 | |
| 1 | −3.27 | 0.1102 | −1.27 | 0.1427 | −0.79 | 0.5205 | 1.86 | 0.1034 | 0.88 | 0.1448 | 0.27 | 0.5618 | −0.04 | 0.9331 | |
| 1 | 3.64 | 0.0833 | 2.08 | 0.0355 | 1.85 | 0.1678 | 1.47 | 0.1754 | 1.32 | 0.0480 | 0.83 | 0.1119 | 0.91 | 0.0922 | |
| 1 | −2.02 | 0.2848 | −1.69 | 0.0678 | −2.25 | 0.1072 | −0.3 | 0.7645 | −0.49 | 0.3802 | −0.11 | 0.8049 | 0.36 | 0.4538 | |
| 1 | −0.54 | 0.7723 | −1.41 | 0.1220 | −1.18 | 0.3677 | −0.86 | 0.4166 | −1.72 | 0.0227 | −1.9 | 0.0082 | −1.86 | 0.0096 | |
| 1 | 0.5 | 0.7856 | 0.01 | 0.9904 | 0.06 | 0.9588 | 0 | 0.9988 | −0.26 | 0.6419 | −0.86 | 0.1151 | −1.27 | 0.0390 | |
| 1 | 1.93 | 0.3219 | 0.57 | 0.4889 | −0.83 | 0.5179 | −1.21 | 0.2681 | −1.15 | 0.0818 | −0.83 | 0.1242 | −1.01 | 0.0778 | |
| 0.93269 | 0.98843 | 0.962635 | 0.968058 | 0.986912 | 0.988587 | 0.986515 | |||||||||
| Adj. | 0.811531 | 0.967605 | 0.895377 | 0.910561 | 0.963354 | 0.968043 | 0.962241 | ||||||||
| RMSE | 3.370571 | 1.458411 | 2.294219 | 1.869406 | 1.014714 | 0.862348 | 0.878511 | ||||||||
| Mean | 22.73169 | 36.08056 | 41.56447 | 49.71195 | 53.27337 | 55.41865 | 57.04911 | ||||||||
| Damage Category | Unit | Washing Trials | ||||||||||||||
|---|---|---|---|---|---|---|---|---|---|---|---|---|---|---|---|---|
| 1 | 2 | 3 | 4 | 5 | 6 | 7 | 8 | 9 | 10 | 11 | 12 | 13 | 14 | 15 | ||
| Acidification | mol H+ eq | 0.0003 | 0.0009 | 0.0003 | 0.0004 | 0.0009 | 0.0002 | 0.0006 | 0.0006 | 0.0004 | 0.0012 | 0.0003 | 0.0004 | 0.0003 | 0.0004 | 0.0006 |
| Climate change | kg CO2 eq | 0.0396 | 0.1505 | 0.0519 | 0.0689 | 0.1488 | 0.0307 | 0.107 | 0.0985 | 0.0733 | 0.1985 | 0.0444 | 0.0733 | 0.0499 | 0.0733 | 0.089 |
| Ecotoxicity, freshwater | CTUe | 1.0621 | 3.4879 | 1.1453 | 1.1839 | 3.2922 | 1.026 | 1.8536 | 1.7241 | 1.6673 | 3.5921 | 1.0512 | 1.6673 | 1.6175 | 1.6673 | 3.1397 |
| Particulate matter | disease inc. | 2 × 10−9 | 8 × 10−9 | 3 × 10−9 | 3 × 10−9 | 7 × 10−9 | 2 × 10−9 | 4 × 10−9 | 4 × 10−9 | 4 × 10−9 | 8 × 10−9 | 2 × 10−9 | 4 × 10−9 | 3 × 10−9 | 4 × 10−9 | 6 × 10−9 |
| Eutrophication, marine | kg N eq | 0.0002 | 0.0005 | 0.0002 | 0.0002 | 0.0005 | 0.0001 | 0.0003 | 0.0003 | 0.0002 | 0.0005 | 0.0001 | 0.0002 | 0.0002 | 0.0002 | 0.0004 |
| Eutrophication, freshwater | kg P eq | 4 × 10−5 | 2 × 10−4 | 5 × 10−5 | 7 × 10−5 | 2 × 10−4 | 3 × 10−5 | 1 × 10−4 | 1 × 10−4 | 7 × 10−5 | 2 × 10−4 | 4 × 10−5 | 7 × 10−5 | 5 × 10−5 | 7 × 10−5 | 1 × 10−4 |
| Eutrophication, terrestrial | mol N eq | 0.0004 | 0.0016 | 0.0005 | 0.0007 | 0.0014 | 0.0003 | 0.001 | 0.0009 | 0.0007 | 0.0019 | 0.0004 | 0.0007 | 0.0006 | 0.0007 | 0.001 |
| Human toxicity, cancer | CTUh | 5 × 10−10 | 1 × 10−9 | 4 × 10−10 | 5 × 10−10 | 1 × 10−9 | 4 × 10−10 | 7 × 10−10 | 6 × 10−10 | 6 × 10−10 | 1 × 10−9 | 4 × 10−10 | 6 × 10−10 | 6 × 10−10 | 6 × 10−10 | 1 × 10−9 |
| Human toxicity, non-cancer | CTUh | 2 × 10−9 | 4 × 10−9 | 1 × 10−9 | 1 × 10−9 | 4 × 10−9 | 1 × 10−9 | 3 × 10−9 | 3 × 10−9 | 2 × 10−9 | 5 × 10−9 | 1 × 10−9 | 2 × 10−9 | 2 × 10−9 | 2 × 10−9 | 3 × 10−9 |
| Ionizing radiation | kBq U-235 eq | 0.0097 | 0.0527 | 0.0187 | 0.0315 | 0.063 | 0.0071 | 0.0467 | 0.047 | 0.028 | 0.0891 | 0.0177 | 0.028 | 0.0102 | 0.028 | 0.0191 |
| Land use | Pt | 0.2529 | 1.1014 | 0.3762 | 0.4252 | 0.8632 | 0.2286 | 0.7142 | 0.5557 | 0.4835 | 1.234 | 0.2609 | 0.4835 | 0.4201 | 0.4835 | 0.6705 |
| Ozone depletion | kg CFC11 eq | 2 × 10−9 | 5 × 10−9 | 2 × 10−9 | 2 × 10−9 | 5 × 10−9 | 1 × 10−9 | 3 × 10−9 | 3 × 10−9 | 3 × 10−9 | 6 × 10−9 | 2 × 10−9 | 3 × 10−9 | 2 × 10−9 | 3 × 10−9 | 4 × 10−9 |
| Photochemical ozone formation | kg NMVOC eq | 0.0001 | 0.0005 | 0.0002 | 0.0002 | 0.0005 | 0.0001 | 0.0003 | 0.0003 | 0.0002 | 0.0006 | 0.0001 | 0.0002 | 0.0002 | 0.0002 | 0.0003 |
| Resource use, fossils | MJ | 0.6758 | 2.8835 | 1.0031 | 1.4131 | 2.9508 | 0.5292 | 2.1777 | 2.0343 | 1.4251 | 4.0487 | 0.8642 | 1.4251 | 0.8559 | 1.4251 | 1.5152 |
| Resource use, minerals and metals | kg Sb eq | 1 × 10−6 | 3 × 10−6 | 1 × 10−6 | 1 × 10−6 | 3 × 10−6 | 7 × 10−7 | 2 × 10−6 | 2 × 10−6 | 1 × 10−6 | 4 × 10−6 | 9 × 10−7 | 1 × 10−6 | 1 × 10−6 | 1 × 10−6 | 2 × 10−6 |
| Water use | m3 depriv. | 0.0963 | 0.1992 | 0.0792 | 0.0828 | 0.1916 | 0.0719 | 0.1195 | 0.1135 | 0.108 | 0.2094 | 0.0746 | 0.108 | 0.1031 | 0.108 | 0.178 |
| Climate Change | Particulate Matter | Eutrophication, Freshwater | Ionizing Radiation | ||||
|---|---|---|---|---|---|---|---|
| Source | p Value | Source | p Value | Source | p Value | Source | p Value |
| <0.0001 | <0.0001 | <0.0001 | <0.0001 | ||||
| <0.0001 | <0.0001 | <0.0001 | <0.0001 | ||||
| 0.0005 | <0.0001 | 0.0002 | 0.0021 | ||||
| 0.0016 | 0.0002 | 0.0012 | 0.0062 | ||||
| 0.1439 | 0.0010 | 0.0629 | 0.2060 | ||||
| 0.6327 | 0.0411 | 0.6067 | 0.4532 | ||||
| 0.6899 | 0.6863 | 0.6468 | 0.6910 | ||||
| 0.7868 | 0.6958 | 0.6811 | 0.8158 | ||||
| 0.8804 | 0.7423 | 0.7985 | 0.9235 | ||||
| Land Use | Photochemical Ozone Formation | Resource Use, Minerals and Metals | Water Use | ||||
| Source | p Value | Source | p Value | Source | p Value | Source | p Value |
| <0.0001 | <0.0001 | <0.0001 | <0.0001 | ||||
| <0.0001 | <0.0001 | <0.0001 | <0.0001 | ||||
| 0.0001 | 0.0002 | 0.0001 | <0.0001 | ||||
| 0.0004 | 0.0014 | 0.0018 | 0.0012 | ||||
| 0.0014 | 0.0109 | 0.3815 | 0.0024 | ||||
| 0.0865 | 0.6876 | 0.6200 | 0.3654 | ||||
| 0.6804 | 0.7479 | 0.6906 | 0.6980 | ||||
| 0.7856 | 0.7725 | 0.7989 | 0.7493 | ||||
| 0.8849 | 0.8602 | 0.8984 | 0.8181 | ||||
Disclaimer/Publisher’s Note: The statements, opinions and data contained in all publications are solely those of the individual author(s) and contributor(s) and not of MDPI and/or the editor(s). MDPI and/or the editor(s) disclaim responsibility for any injury to people or property resulting from any ideas, methods, instructions or products referred to in the content. |
© 2025 by the authors. Licensee MDPI, Basel, Switzerland. This article is an open access article distributed under the terms and conditions of the Creative Commons Attribution (CC BY) license (https://creativecommons.org/licenses/by/4.0/).
Share and Cite
Xia, T.; Benkirane, R.; Perwuelz, A. Optimizing Laundry for Sustainability: Balancing Washing Efficiency and Environmental Impact in the Clothing Use Phase. Sustainability 2025, 17, 8411. https://doi.org/10.3390/su17188411
Xia T, Benkirane R, Perwuelz A. Optimizing Laundry for Sustainability: Balancing Washing Efficiency and Environmental Impact in the Clothing Use Phase. Sustainability. 2025; 17(18):8411. https://doi.org/10.3390/su17188411
Chicago/Turabian StyleXia, Tian, Romain Benkirane, and Anne Perwuelz. 2025. "Optimizing Laundry for Sustainability: Balancing Washing Efficiency and Environmental Impact in the Clothing Use Phase" Sustainability 17, no. 18: 8411. https://doi.org/10.3390/su17188411
APA StyleXia, T., Benkirane, R., & Perwuelz, A. (2025). Optimizing Laundry for Sustainability: Balancing Washing Efficiency and Environmental Impact in the Clothing Use Phase. Sustainability, 17(18), 8411. https://doi.org/10.3390/su17188411

