Sign in to use this feature.

Years

Between: -

Subjects

remove_circle_outline
remove_circle_outline
remove_circle_outline
remove_circle_outline

Journals

Article Types

Countries / Regions

Search Results (13)

Search Parameters:
Keywords = tendon aging and degeneration

Order results
Result details
Results per page
Select all
Export citation of selected articles as:
16 pages, 827 KB  
Article
An Observational Cohort Study of Wharton’s Jelly Tissue Allografts for Posterior Tibial Tendon Degeneration
by Babak Baravarian, Gi Kwon, John Shou, Naomi Lambert, Alexis Lee, Eva Castle and Tyler Barrett
Biomedicines 2025, 13(10), 2398; https://doi.org/10.3390/biomedicines13102398 - 30 Sep 2025
Viewed by 802
Abstract
Introduction: Posterior tibial tendon dysfunction (PTTD) is a progressive degenerative tendinopathy often unresponsive to conservative care, necessitating surgical interventions with significant postoperative risks. Wharton’s jelly (WJ) tissue allograft from the human umbilical cord, with its collagen-rich matrix homologous to tendon tissue, presents a [...] Read more.
Introduction: Posterior tibial tendon dysfunction (PTTD) is a progressive degenerative tendinopathy often unresponsive to conservative care, necessitating surgical interventions with significant postoperative risks. Wharton’s jelly (WJ) tissue allograft from the human umbilical cord, with its collagen-rich matrix homologous to tendon tissue, presents a potential alternative intervention. This study aims to report preliminary findings on the safety and efficacy of WJ allografts for the supplementation of degenerated tissue in patients with PTTD. Material and Methods: Twenty-six patients from the observational repository were identified with PTTD (Stages II-IV) and failed at least three months of conservative care. Patients received one or two ultrasound-guided percutaneous applications of the WJ allograft. Outcomes were tracked using the Numeric Pain Rating Scale (NPRS), the Western Ontario and McMaster University Arthritis Index (WOMAC), and the Quality-of-Life Scale (QOLS) at the initial, 30, 90, and 120-day follow-ups. Results: The cohort was 62% male (n = 16) and 38% female (n = 10), with a mean age predominantly in the 70–89 range. From the initial to final visit (90 days for single applications, 120 days for double applications), the single-application group (n = 22) showed a 48.32% improvement in NPRS and a 22.73% improvement in total WOMAC. The double-application group (n = 8) showed a 50% improvement in NPRS and a 27.86% improvement in total WOMAC. A statistically significant improvement in NPRS was observed in the single-application group (p = 0.042). No adverse events were reported. Discussion: This study provides preliminary evidence that WJ tissue allografts may be a safe and effective minimally invasive application for degeneration of the PTT, which is associated with improvements in pain, function, and quality of life. Key limitations include a lack of a control group and a small cohort size. Conclusions: The positive findings of this study warrant further research through randomized controlled trials to confirm efficacy, establish optimal dosage, and compare WJ to other conservative interventions. Full article
(This article belongs to the Section Molecular and Translational Medicine)
Show Figures

Figure 1

12 pages, 2853 KB  
Article
Quantifying Mechanical Properties of the Patellar and Achilles Tendons Using Ultrasound Shear Wave Elastography: A Pilot Study
by William A. Berrigan, Kevin Cipriano, Kirk A. Easley and Ken Mautner
Diagnostics 2025, 15(7), 879; https://doi.org/10.3390/diagnostics15070879 - 1 Apr 2025
Cited by 1 | Viewed by 3377
Abstract
(1) Background: Patellar and Achilles tendon injuries have become increasingly prevalent, particularly among active populations and athletes, leading to significant functional impairments. While B-Mode ultrasound has been useful in the diagnosis of these injuries, its capacity to assess tendon mechanical properties, such [...] Read more.
(1) Background: Patellar and Achilles tendon injuries have become increasingly prevalent, particularly among active populations and athletes, leading to significant functional impairments. While B-Mode ultrasound has been useful in the diagnosis of these injuries, its capacity to assess tendon mechanical properties, such as stiffness, is limited. Shear wave elastography (SWE) offers a promising alternative by measuring tissue stiffness, which may enhance the evaluation of tendon health. Previous studies have established that SWE can differentiate healthy tendons from those with pathological changes. However, reference values for specific tendon types, including the patellar and Achilles tendons, remain limited. This study aims to provide preliminary baseline SWE values for these tendons in a healthy cohort. (2) Methods: In this cross-sectional study, healthy volunteers aged 18–65, with no history of lower extremity injury, were assessed using a Samsung RS85 Prestige ultrasound system with a 14L-2 MHz transducer. SWE measurements were obtained from the patellar tendon at a single location and from the Achilles tendon at both the midportion and insertional sites. All assessments followed a standardized protocol to ensure consistency and minimize variability. (3) Results: A total of 54 healthy adult participants were included. The mean SWE value for the patellar tendon was 96.3 (SD = 10.9 kPa), with males showing significantly higher stiffness than females (99.3 kPa vs. 93.8 kPa, p = 0.009). A higher BMI was associated with lower stiffness in the patellar tendon. The mean SWE values for the Achilles tendon were 101.7 (SD = 16.2 kPa) at the insertion and 145.6 (SD = 18.8 kPa) at the midportion. (4) Conclusions: This study provides SWE values for the patellar and Achilles tendons in healthy individuals, which can serve as a foundation for future research and clinical applications. These values may help in the comparison of healthy and pathological tendons, particularly in the context of tendinopathies, tendon tears, and treatment monitoring. While shear wave elasticity shows promise as a tool for diagnosing and monitoring tendon injuries and degeneration, more research is required to establish its precise reliability and validity in clinical practice. Full article
Show Figures

Figure 1

15 pages, 5561 KB  
Article
Effect of High-Dose Vitamin C on Tendon Cell Degeneration—An In Vitro Study
by Shusuke Ueda, Toru Ichiseki, Miyako Shimasaki, Daisuke Soma, Masaru Sakurai, Ayumi Kaneuji and Norio Kawahara
Int. J. Mol. Sci. 2024, 25(24), 13358; https://doi.org/10.3390/ijms252413358 - 12 Dec 2024
Cited by 2 | Viewed by 8285 | Correction
Abstract
Tendinopathy is an aging-related disease, often caused by micro-scarring and degeneration due to overuse or trauma. Ascorbic acid (vitamin C) supplementation is reported to be a useful treatment for tendinopathy recovery. We compared the inhibitory effects of various ascorbic acid doses on tendon [...] Read more.
Tendinopathy is an aging-related disease, often caused by micro-scarring and degeneration due to overuse or trauma. Ascorbic acid (vitamin C) supplementation is reported to be a useful treatment for tendinopathy recovery. We compared the inhibitory effects of various ascorbic acid doses on tendon cell damage. H2O2 was added to human-derived tendon cells in vitro (Group H2O2, control), followed by incubation with 150 µM or 30 mM of ascorbic acid (Group C, Group HC). The oxidative injury degree was evaluated by determining reactive oxygen species levels. The cytoskeletal structure was examined via fluorescence immunostaining of actin filaments. Quantitative polymerase chain reaction (qPCR) was performed to analyze the expressions of mitochondria transcription factor A, adenosine triphosphate 5A, type I collagen, and p16. Cell death was reduced, and oxidative stress was inhibited in C and HC groups. The cytoskeleton was maintained in the HC group but not in the C group. qPCR analysis revealed that p16 expression was inhibited in both the C and HC groups compared to the H2O2 group; other markers had increased expression. The progression of cell death and cytoskeletal disruption was inhibited by the administration of high-dose vitamin C. Hence, high-dose vitamin C is a potential treatment for tendon cell degeneration. Full article
Show Figures

Figure 1

15 pages, 4294 KB  
Article
Comparing Isolated Thumb Force Generation, Wrist Rotation, and Clinical Measurements in Healthy and Osteoarthritic Individuals before and after Surgery
by Nicole Arnold, Adam Chrzan, Kevin Chan, Daniel Hess, Levi Hinkleman, Stephen Duquette, John Kelpin and Tamara Reid Bush
Bioengineering 2024, 11(9), 948; https://doi.org/10.3390/bioengineering11090948 - 22 Sep 2024
Cited by 2 | Viewed by 2562
Abstract
Thumb carpometacarpal (CMC) osteoarthritis (OA) is caused by the degeneration of joint surfaces at the base of the thumb. If conservative treatments have failed, surgery may be needed to improve symptoms. Typically, standard clinical tools, such as the pinch gauge, are used to [...] Read more.
Thumb carpometacarpal (CMC) osteoarthritis (OA) is caused by the degeneration of joint surfaces at the base of the thumb. If conservative treatments have failed, surgery may be needed to improve symptoms. Typically, standard clinical tools, such as the pinch gauge, are used to measure thumb force. However, these devices have utilized multiple digits and do not represent forces specifically generated by the thumb. Therefore, different devices are necessary to accurately measure isolated thumb force. The primary objective was to research the effect of thumb force after ligament reconstruction with tendon interposition surgery. To accomplish this, several sub-objectives were implemented: (1) create a testing device to collect isolated thumb forces, (2) collect a normative thumb force data set of males and females to compare the impact of aging and surgery, (3) collect and compare clinical data to see if these data sets matched isolated thumb forces, (4) determine the effect of wrist position on isolated thumb force data in different wrist positions, and (5) collect thumb force in directions that mimic daily activities, a directional force downward (push) and inward (pull). On average, older participants generated statistically larger forces than younger participants. Additionally, only 50% of CMC OA participants showed greater than 5 N of improvement at 6-months post-surgery compared to pre-surgery, but did not reach healthy force levels. When evaluating wrist rotation, OA participants’ push and pull decreased by 8 N and 7 N in the horizontal wrist position, and their push and pull increased by 2 N and 5 N in the vertical wrist position. Evaluation and results with standard clinical tools showed different post-surgery trends than isolated force data, which suggested the clinical approach has mixed results and may be under- or over-estimating the recovery process. These data sets allow surgeons and hand therapists to identify changes in isolated thumb force generation to create specialized therapies and treatment options, which is an improvement upon current clinical measurement tools. Full article
(This article belongs to the Section Biomechanics and Sports Medicine)
Show Figures

Figure 1

11 pages, 756 KB  
Article
Correlation between the Long Head of the Biceps Microscopic Degeneration and Extent of Apoptotic Process
by Łukasz Jaworski, Jan Zabrzyński, Peter J. Millett, Marco-Christopher Rupp, Filippo Familiari, Gazi Huri, Jakub Erdmann, Michał Błachowski, Przemysław Pękala and Maciej Gagat
J. Clin. Med. 2024, 13(15), 4520; https://doi.org/10.3390/jcm13154520 - 2 Aug 2024
Viewed by 1531
Abstract
Objectives: The purpose of this study was to determine the correlation between microscopic degeneration in the long head of the biceps tendon (LHBT) and the apoptotic process. Methods: This study included 26 consecutive patients who had undergone arthroscopic biceps tenodesis or tenotomy for [...] Read more.
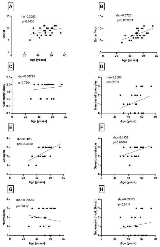
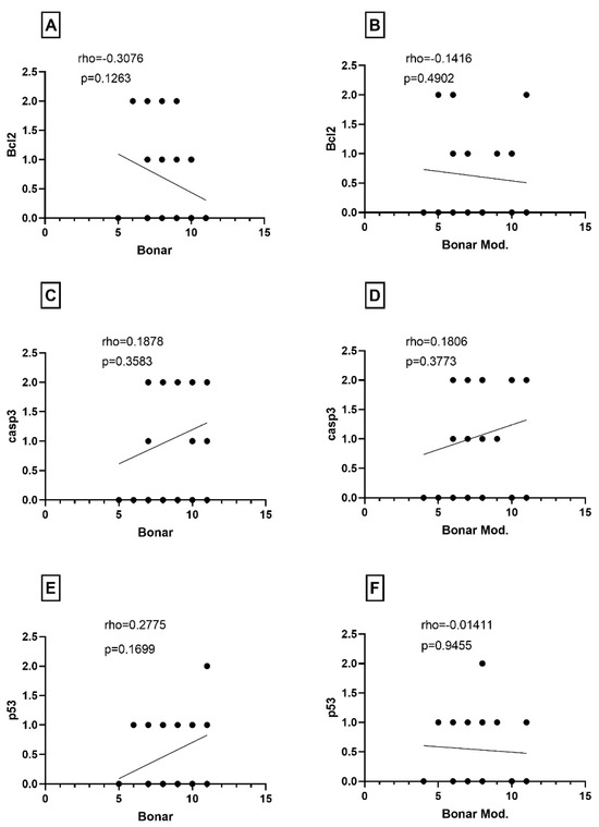
Objectives: The purpose of this study was to determine the correlation between microscopic degeneration in the long head of the biceps tendon (LHBT) and the apoptotic process. Methods: This study included 26 consecutive patients who had undergone arthroscopic biceps tenodesis or tenotomy for symptomatic LHBT with or without concomitant rotator cuff tears (RCTs). Histological examination of the specimens under a light microscope was conducted after staining with hematoxylin, eosin, and the Alcian blue. Histopathological changes were assessed using the original Bonar score and the modified Bonar score and then correlated with the expression of the subsequent apoptosis markers: activated caspase-3 (casp3), tumor protein p53 (p53), and B-cell lymphoma 2 (BCL-2). Results: The mean original Bonar score was 8.65 (range 5–11), while the modified Bonar score was 7.61. There was no correlation between the original Bonar score and the age of the patients, but a positive correlation was found between the modified Bonar score and the age of the patients (p = 0.0022). There was no correlation between the age of patients and the expression indexes of BCL-2 and casp3. However, the expression of the p53 index showed a positive correlation with patient aging (p = 0.0441). Furthermore, there was no correlation observed between the expression of apoptotic indexes and both the original and modified Bonar scale. Conclusions: In LHB tendinopathy, the expression of apoptosis does not seem to directly correlate with the extent of degeneration, particularly in the late stages of tendinopathy. However, the transformations observed in collagen and ground substance were significantly associated with age, as well as tendinous tissue degeneration quantified according to modified Bonar score. The age of patients was also linked with the expression of the p53 index, as an increased apoptosis in the studied population. Full article
(This article belongs to the Section Orthopedics)
Show Figures

Figure 1

28 pages, 2714 KB  
Review
Effect of Aging on Tendon Biology, Biomechanics and Implications for Treatment Approaches
by Ka Yu Carissa Kwan, Ka Wai Kerry Ng, Ying Rao, Chenxian Zhu, Shengcai Qi, Rocky S. Tuan, Dai Fei Elmer Ker and Dan Michelle Wang
Int. J. Mol. Sci. 2023, 24(20), 15183; https://doi.org/10.3390/ijms242015183 - 14 Oct 2023
Cited by 58 | Viewed by 13758
Abstract
Tendon aging is associated with an increasing prevalence of tendon injuries and/or chronic tendon diseases, such as tendinopathy, which affects approximately 25% of the adult population. Aged tendons are often characterized by a reduction in the number and functionality of tendon stem/progenitor cells [...] Read more.
Tendon aging is associated with an increasing prevalence of tendon injuries and/or chronic tendon diseases, such as tendinopathy, which affects approximately 25% of the adult population. Aged tendons are often characterized by a reduction in the number and functionality of tendon stem/progenitor cells (TSPCs), fragmented or disorganized collagen bundles, and an increased deposition of glycosaminoglycans (GAGs), leading to pain, inflammation, and impaired mobility. Although the exact pathology is unknown, overuse and microtrauma from aging are thought to be major causative factors. Due to the hypovascular and hypocellular nature of the tendon microenvironment, healing of aged tendons and related injuries is difficult using current pain/inflammation and surgical management techniques. Therefore, there is a need for novel therapies, specifically cellular therapy such as cell rejuvenation, due to the decreased regenerative capacity during aging. To augment the therapeutic strategies for treating tendon-aging-associated diseases and injuries, a comprehensive understanding of tendon aging pathology is needed. This review summarizes age-related tendon changes, including cell behaviors, extracellular matrix (ECM) composition, biomechanical properties and healing capacity. Additionally, the impact of conventional treatments (diet, exercise, and surgery) is discussed, and recent advanced strategies (cell rejuvenation) are highlighted to address aged tendon healing. This review underscores the molecular and cellular linkages between aged tendon biomechanical properties and the healing response, and provides an overview of current and novel strategies for treating aged tendons. Understanding the underlying rationale for future basic and translational studies of tendon aging is crucial to the development of advanced therapeutics for tendon regeneration. Full article
Show Figures

Figure 1

10 pages, 649 KB  
Article
Aetiopathogenesis of Rotator Cuff Tear in Patients Younger than 50 Years: Medical Conditions Play a Relevant Role
by Stefano Gumina, Lorenzo Mezzaqui, Rossana Aimino, Marco Rionero, Alessandra Spagnoli, Vincenzo Campagna and Vittorio Candela
Medicina 2023, 59(5), 998; https://doi.org/10.3390/medicina59050998 - 22 May 2023
Cited by 7 | Viewed by 2710
Abstract
Background and Objectives: Studies on rotator cuff tears (RCT) in patients younger than 50 years have focused on the post-operative outcomes. Little is known about cuff tear etiopathogenesis, although it is a common belief that most tears are due to trauma. We have [...] Read more.
Background and Objectives: Studies on rotator cuff tears (RCT) in patients younger than 50 years have focused on the post-operative outcomes. Little is known about cuff tear etiopathogenesis, although it is a common belief that most tears are due to trauma. We have retrospectively verified the prevalence of medical conditions, whose role in tendon degeneration development have been widely demonstrated, in a group of patients younger than 50 years with postero-superior RCT. Materials and Methods: 64 patients [44M-20F; mean age (SD): 46.90 (2.80)] were enrolled. Personal data, BMI, smoking habit, diseases (diabetes, arterial hypertension, hypercholesterolaemia, thyroid diseases, and chronic obstructive pulmonary disease) were registered. The possible triggering cause and the affected side and tear dimensions were recorded, and statistical analysis was then performed. Results: 75% of patients had one or more diseases and/or a smoking habit for more than 10 years. In the remaining 25%, only four patients referred had had a traumatic event, while in the other eight patients, both medical condition and trauma were registered. The presence of two or more diseases did not affect RCT size. Conclusions: In our series, three quarters of patients with RCT had a smoking habit or medical conditions predisposing them to a tendon tear; therefore, the role of trauma in RCT onset in patients younger than 50 years is markedly resized. It is plausible that in the remaining 25%, RCT may be due to trauma or to genetic or acquired degeneration. Level of Evidence: IV Full article
(This article belongs to the Section Surgery)
Show Figures

Figure 1

12 pages, 2060 KB  
Article
Elicitation of Inhibitory Effects for AGE-Induced Oxidative Stress in Rotator Cuff-Derived Cells by Apocynin
by Takahiro Furukawa, Takashi Kurosawa, Yutaka Mifune, Atsuyuki Inui, Hanako Nishimoto, Yasuhiro Ueda, Takeshi Kataoka, Kohei Yamaura, Shintaro Mukohara, Tomoya Yoshikawa, Issei Shinohara, Tatsuo Kato, Shuya Tanaka, Masaya Kusunose, Yuichi Hoshino, Takehiko Matsushita and Ryosuke Kuroda
Curr. Issues Mol. Biol. 2023, 45(4), 3434-3445; https://doi.org/10.3390/cimb45040225 - 14 Apr 2023
Cited by 5 | Viewed by 2633
Abstract
Advanced glycation end-products (AGEs) play a critical supportive role during musculoskeletal disorders via glycosylation and oxidative stress. Though apocynin, identified as a potent and selective inhibitor of NADPH oxidase, has been reported to be involved in pathogen-induced reactive oxygen species (ROS), its role [...] Read more.
Advanced glycation end-products (AGEs) play a critical supportive role during musculoskeletal disorders via glycosylation and oxidative stress. Though apocynin, identified as a potent and selective inhibitor of NADPH oxidase, has been reported to be involved in pathogen-induced reactive oxygen species (ROS), its role in age-related rotator cuff degeneration has not been well clarified. Therefore, this study aims to evaluate the in vitro effects of apocynin on human rotator cuff-derived cells. Twelve patients with rotator cuff tears (RCTs) participated in the study. Supraspinatus tendons from patients with RCTs were collected and cultured. After the preparation of RC-derived cells, they were divided into four groups (control group, control + apocynin group, AGEs group, AGEs + apocynin group), and gene marker expression, cell viability, and intracellular ROS production were evaluated. The gene expression of NOX, IL-6, and the receptor for AGEs (RAGE) was significantly decreased by apocynin. We also examined the effect of apocynin in vitro. The results showed that ROS induction and increasing apoptotic cells after treatment of AGEs were significantly decreased, and cell viability increased considerably. These results suggest that apocynin can effectively reduce AGE-induced oxidative stress by inhibiting NOX activation. Thus, apocynin is a potential prodrug in preventing degenerative changes of the rotor cuff. Full article
Show Figures

Figure 1

18 pages, 4304 KB  
Article
Friedelin Alleviates the Pathogenesis of Collagenase-Induced Tendinopathy in Mice by Promoting the Selective Autophagic Degradation of p65
by Huaji Jiang, Xuemei Lin, Wei Liang, Yiqiang Li and Xiao Yu
Nutrients 2022, 14(8), 1673; https://doi.org/10.3390/nu14081673 - 18 Apr 2022
Cited by 20 | Viewed by 4090
Abstract
With the development of an aging population, tendinopathy has become a common musculoskeletal disease in the elderly with a high recurrence rate and no curative treatment. The inflammation mediated by NF-κB signaling plays an important role in tendon senescence and degeneration. Friedelin (FR) [...] Read more.
With the development of an aging population, tendinopathy has become a common musculoskeletal disease in the elderly with a high recurrence rate and no curative treatment. The inflammation mediated by NF-κB signaling plays an important role in tendon senescence and degeneration. Friedelin (FR) is a triterpenoid derived from green plants, which has a variety of pharmacological functions, such as analgesia, anti-inflammation, antioxidation, and anti-tumor functions. However, the role and mechanism of FR in tendinopathy are unclear. Here, we found that FR improved the mechanical strength of the Achilles tendon, restored the orderly arrangement of collagen fibers, reduced inflammatory cell infiltration, and promoted tenogenesis, thereby blocking the progression of tendinopathy. Mechanistically, FR promoted the autophagic degradation of p65 by enhancing the interaction between p62 and p65 and effectively inhibited the activation of the NF-κB pathway, thus alleviating the inflammatory response of tenocytes. In addition, FR recruited E3 ubiquitin enzyme RNF182 to increase the K48-linked ubiquitination of p65 and promoted p62-mediated autophagic degradation. Furthermore, blocking ubiquitination reversed the degradation of p65 by FR. Therefore, these findings identify the new pharmacological mechanism of the anti-inflammatory effect of FR and provide a new candidate drug for the treatment of tendinopathy. Full article
(This article belongs to the Special Issue Dietary Factors in Bone Health)
Show Figures

Figure 1

20 pages, 3044 KB  
Article
The Effect of Age and Intrinsic Aerobic Exercise Capacity on the Expression of Inflammation and Remodeling Markers in Rat Achilles Tendons
by Runa Kinitz, Estelle Heyne, Lauren G. Koch, Steven L. Britton, Manuela Thierbach and Britt Wildemann
Int. J. Mol. Sci. 2022, 23(1), 79; https://doi.org/10.3390/ijms23010079 - 22 Dec 2021
Cited by 8 | Viewed by 4685
Abstract
Old age, adiposity, and metabolic disorders are known as risk factors for chronic tendinopathy, which is a common problem in both athletes and the general population. However, the importance of these influencing factors has not yet been well understood. This study investigated alterations [...] Read more.
Old age, adiposity, and metabolic disorders are known as risk factors for chronic tendinopathy, which is a common problem in both athletes and the general population. However, the importance of these influencing factors has not yet been well understood. This study investigated alterations in gene expression and histology of Achilles tendons of young (10 weeks) and old (100 weeks) rats bred for low (low capacity runners, LCR) and high (high capacity runners, HCR) intrinsic aerobic exercise capacity. In this rat model, LCR displayed a phenotype of reduced exercise capacity, higher body weight, and metabolic dysfunctions compared to HCR. We hypothesized that the risk factors for tendinopathy in old LCR could lead to more pronounced impairments in Achilles tendon tissue. In quantitative real-time PCR (qPCR), age-related downregulation of tenocyte markers e.g., tenomodulin, genes related to matrix modeling and remodeling (e.g., collagens, elastin, biglycan, fibronectin, tenascin C) as well as transforming growth factor beta 3 (Tgfb3) have been detected. Inflammation marker cyclooxygenase 2 (Cox2) was downregulated in old rats, while microsomal prostaglandin E synthase 2 (Ptges2) was upregulated in old HCR and old LCR. In all groups, interleukin 6 (Il6), interleukin 1 beta (Il1b), and tumor necrosis factor alpha (Tnfa) showed no significant alteration. In histological evaluation, tendons of old rats had fewer and more elongated tenocyte nuclei than young rats. Even though a higher content of glycosaminoglycans, a sign of degeneration, was found in old HCR and LCR, no further signs of tendinopathy were detectable in tendons of old rats by histological evaluation. Low intrinsic aerobic exercise capacity and the associated phenotype did not show significant effects on gene expression and tendon histology. These findings indicate that aging seems to play a prominent role in molecular and structural alterations of Achilles tendon tissue and suggests that other risk factors associated with intrinsic aerobic exercise capacity are less influential in this rat model. Full article
(This article belongs to the Special Issue Research Progress on Molecular Repair of Tendon/Ligament)
Show Figures

Graphical abstract

11 pages, 1233 KB  
Review
The Role of Scaffolds in Tendon Tissue Engineering
by Angelo V. Vasiliadis and Konstantinos Katakalos
J. Funct. Biomater. 2020, 11(4), 78; https://doi.org/10.3390/jfb11040078 - 1 Nov 2020
Cited by 50 | Viewed by 8214
Abstract
Tendons are unique forms of connective tissue aiming to transmit the mechanical force of muscle contraction to the bones. Tendon injury may be due to direct trauma or might be secondary to overuse injury and age-related degeneration, leading to inflammation, weakening and subsequent [...] Read more.
Tendons are unique forms of connective tissue aiming to transmit the mechanical force of muscle contraction to the bones. Tendon injury may be due to direct trauma or might be secondary to overuse injury and age-related degeneration, leading to inflammation, weakening and subsequent rupture. Current traditional treatment strategies focus on pain relief, reduction of the inflammation and functional restoration. Tendon repair surgery can be performed in people with tendon injuries to restore the tendon’s function, with re-rupture being the main potential complication. Novel therapeutic approaches that address the underlying pathology of the disease is warranted. Scaffolds represent a promising solution to the challenges associated with tendon tissue engineering. The ideal scaffold for tendon tissue engineering needs to exhibit physiologically relevant mechanical properties and to facilitate functional graft integration by promoting the regeneration of the native tissue. Full article
Show Figures

Figure 1

8 pages, 234 KB  
Article
Functional Outcome at Short and Middle Term of the Extracorporeal Shockwave Therapy Treatment in Lateral Epicondylitis: A Case-Series Study
by Gianluca Testa, Andrea Vescio, Stefano Perez, Vincenzo Petrantoni, Giulio Mazzarella, Luciano Costarella and Vito Pavone
J. Clin. Med. 2020, 9(3), 633; https://doi.org/10.3390/jcm9030633 - 27 Feb 2020
Cited by 7 | Viewed by 5167
Abstract
Lateral epicondylitis (LE) of the humerus is a chronic degeneration of wrist extensor tendons at their attachments to the lateral epicondyle of the humerus. There is not a common consensus on a specific therapeutic algorithm, but Extracorporeal Shockwave Therapy (ESWT) is widely used. [...] Read more.
Lateral epicondylitis (LE) of the humerus is a chronic degeneration of wrist extensor tendons at their attachments to the lateral epicondyle of the humerus. There is not a common consensus on a specific therapeutic algorithm, but Extracorporeal Shockwave Therapy (ESWT) is widely used. The purpose of this study is to evaluate the clinical benefits of low dose ESWT in LE-affected patients in short and medium follow-up. Between January 2015 and December 2017, 60 patients (38 male, mean age 52.2 ± 10.1 years, the duration of the disease was 3.6 ± 1.3 months) were clinically evaluated using visual analog scale (VAS) and Patient Rated Tennis Elbow Evaluation Test (PRTEE-I) scores before treatment, at one, three, six and 12 months after treatment. According to the VAS and PRTEE-I scoring systems, all patients achieved an improvement of pain and functional outcome comparing the baseline results with one, six and 12 months values. Low dose ESWT is a safe and effective treatment of LE in the short and middle term. In elderly subjects, patients with a long disease history, or those with occupational and sportive risk factors, a longer persistence of the symptomatology could be observed. Full article
(This article belongs to the Special Issue Orthopaedic Diseases and Rehabilitation)
3 pages, 601 KB  
Case Report
An Important Cause of Pes Planus: The Posterior Tibial Tendon Dysfunction
by Kemal Erol, Ali Yavuz Karahan, Ülkü Kerimoğlu, Banu Ordahan, Levent Tekin, Muhammed Şahin and Ercan Kaydok
Clin. Pract. 2015, 5(1), 699; https://doi.org/10.4081/cp.2015.699 - 5 Feb 2015
Cited by 13 | Viewed by 2451
Abstract
Posterior tibial tendon dysfunction (PTTD) is an important cause of acquired pes planus that frequently observed in adults. Factors that play a role in the development of PTTD such as age-related tendon degeneration, inflammatory arthritis, hypertension, diabetes mellitus, obesity, peritendinous injections and more [...] Read more.
Posterior tibial tendon dysfunction (PTTD) is an important cause of acquired pes planus that frequently observed in adults. Factors that play a role in the development of PTTD such as age-related tendon degeneration, inflammatory arthritis, hypertension, diabetes mellitus, obesity, peritendinous injections and more rarely acute traumatic rupture of the tendon. PTT is the primary dynamic stabilizer of medial arch of the foot. Plantar flexion and inversion of the foot occurs with contraction of tibialis posterior tendon, and arch of the foot becomes elaveted while midtarsal joints are locked and midfoot-hindfoot sets as rigid. Thus, during the walk gastrocnemius muscle works more efficiently. If the PTT does not work in the order, other foot ligaments and joint capsule would be increasingly weak and than pes planus occurs. We present a 10-yearold female patient diagnosed as PTTD and conservative treatment with review of the current literature. Full article
Back to TopTop