Sign in to use this feature.

Years

Between: -

Subjects

remove_circle_outline
remove_circle_outline
remove_circle_outline
remove_circle_outline
remove_circle_outline
remove_circle_outline
remove_circle_outline
remove_circle_outline
remove_circle_outline

Journals

remove_circle_outline
remove_circle_outline
remove_circle_outline
remove_circle_outline
remove_circle_outline
remove_circle_outline
remove_circle_outline
remove_circle_outline
remove_circle_outline
remove_circle_outline
remove_circle_outline
remove_circle_outline
remove_circle_outline

Article Types

Countries / Regions

remove_circle_outline
remove_circle_outline
remove_circle_outline
remove_circle_outline
remove_circle_outline

Search Results (663)

Search Parameters:
Keywords = taste components

Order results
Result details
Results per page
Select all
Export citation of selected articles as:
16 pages, 1590 KB  
Article
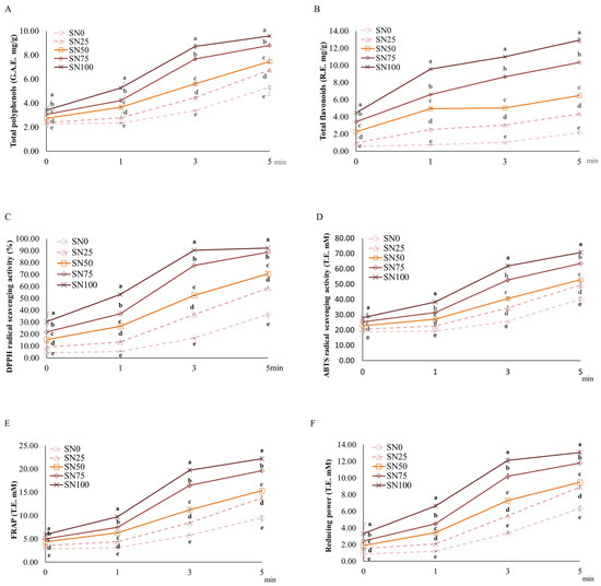
Antioxidant Activity of Maillard Reaction Products and Consumer Acceptance of Nurungji Fortified with Sorghum (Sorghum bicolor L.)
by Woo-Ju Wee, Eun-Jung Kwak and Il-Sook Choi
Foods 2026, 15(7), 1216; https://doi.org/10.3390/foods15071216 (registering DOI) - 2 Apr 2026
Viewed by 368
Abstract
Sorghum (Sorghum bicolor L.) is an environmentally friendly crop known for its nutritional and bioactive properties. This study investigated the effects of sorghum on the antioxidant properties and consumer acceptance of nurungji, a traditional Korean snack. To understand the antioxidant contribution of ferulic [...] Read more.
Sorghum (Sorghum bicolor L.) is an environmentally friendly crop known for its nutritional and bioactive properties. This study investigated the effects of sorghum on the antioxidant properties and consumer acceptance of nurungji, a traditional Korean snack. To understand the antioxidant contribution of ferulic acid in sorghum during non-enzymatic browning, the antioxidant activity of ferulic acid was evaluated using a sugar (glucose or fructose)–lysine Maillard reaction model system. Nurungji samples were prepared with varying sorghum blending ratios (SN0, SN25, SN50, SN75, and SN100) and heating durations (0, 1, 3, and 5 min). The total polyphenol and total flavonoid contents of nurungji increased significantly in a sorghum concentration- and heating duration-dependent manner. Antioxidant activities, including DPPH and ABTS radical scavenging activities, ferric reducing antioxidant power (FRAP), and reducing power, exhibited trends similar to those of the antioxidant components. In the isolated model system, the addition of ferulic acid significantly enhanced the antioxidant capacity of the Maillard reaction products (MRPs), with the fructose–lysine–ferulic acid solution exhibiting the highest activity. These results support the proposed mechanism that during the thermal processing of nurungji, complex polymeric phenolic compounds within the sorghum are degraded, releasing free ferulic acid that actively boosts the overall antioxidant properties of the resulting MRPs. Although the antioxidant properties of nurungji increased with higher sorghum concentration, the consumer acceptance evaluations indicated that SN0 and SN25 received significantly higher scores for overall acceptance, taste acceptance, and purchase intention (p < 0.05). Full article
(This article belongs to the Section Sensory and Consumer Sciences)
Show Figures

Figure 1

20 pages, 1644 KB  
Article
Development of Technology for Obtaining Extracts from Powdered Herbs and Their Use in Culinary Products and Dishes
by Gulzhan Zhumaliyeva, Urishbay Chomanov, Gulmira Kenenbay, Assem Boribay and Togzhan Zhomartkyzy
Molecules 2026, 31(7), 1146; https://doi.org/10.3390/molecules31071146 - 31 Mar 2026
Viewed by 305
Abstract
This study aimed to determine the optimal drying, grinding, and extraction conditions for red sweet pepper, garlic, parsley, and celery to obtain concentrated extracts rich in bioactive compounds. Drying was performed using infrared ovens (FD-48 and Basic Station 3) at 30, 45, and [...] Read more.
This study aimed to determine the optimal drying, grinding, and extraction conditions for red sweet pepper, garlic, parsley, and celery to obtain concentrated extracts rich in bioactive compounds. Drying was performed using infrared ovens (FD-48 and Basic Station 3) at 30, 45, and 55 °C. The optimal temperature was 45 °C, ensuring effective moisture removal while preserving functional components. Grinding efficiency was compared between an IKA A 11 Basic analytical mill and a Pulverisette 0 vibratory micromill; the analytical mill demonstrated superior performance and processing speed. Soxhlet extraction with 96% ethanol enabled the preservation of flavor, aroma, and functional properties of the extracts. The influence of the herbal extract mixture on the organoleptic, physicochemical, and microbiological characteristics of culinary products was evaluated. For sauces, the optimal extract concentration was 5%, providing balanced taste, pleasant aroma, stable consistency, and intense color. Physicochemical analysis showed increases in protein (3.24–3.68%), ash (2.52–2.68%), dry matter (25.27–26.94%), and pH (4.11–4.24). Microbiological indicators (TAMC—3.0 × 102 CFU/g; molds—21 CFU/g; yeasts—9 CFU/g) complied with regulatory standards. For meat products (meatballs and pies), the optimal extract composition (garlic 30%, red pepper 25%, parsley 25%, celery 20%) was applied at 0.3–0.7% of meat mass. Sensory evaluation identified 0.5% as optimal. The developed technology enables the production of functional food additives rich in protein, antioxidants, and flavonoids and is suitable for industrial implementation. Full article
(This article belongs to the Special Issue The Chemistry of Food Quality Changes During Processing and Storage)
Show Figures

Figure 1

14 pages, 3270 KB  
Article
Determination of Main Alkylamides Responsible for Numbing Sensation in Green Sichuan Pepper Through Quantitative Analysis of Multi-Components by a Single Marker with Nonivamide as an Alternative Reference Standard
by Huan Tian, Xin Li, Wei Gong and Qingxiong Yang
Foods 2026, 15(7), 1143; https://doi.org/10.3390/foods15071143 - 26 Mar 2026
Viewed by 250
Abstract
The unsaturated long-chain fatty acid amide derivatives in Sichuan pepper are the components responsible for its characteristic numbing sensation. Due to the susceptibility to oxidation of these compounds, it is difficult to maintain a consistent numbing taste in pepper products, and a significant [...] Read more.
The unsaturated long-chain fatty acid amide derivatives in Sichuan pepper are the components responsible for its characteristic numbing sensation. Due to the susceptibility to oxidation of these compounds, it is difficult to maintain a consistent numbing taste in pepper products, and a significant challenge is faced in the quantitative analysis of these components because the reference standards required for such analysis are very expensive, owing to the difficulty in their isolation and purification. More critically, the accuracy of determination results is always influenced by the oxidation reaction during their storage in the air. In this study, High-Performance Liquid Chromatography (HPLC) coupled with the Quantitative Analysis of Multi-components by a Single Marker (QAMS) method was employed to quantitatively analyze four main alkylamides in 28 batches of Sichuan pepper samples. The analysis revealed differences in the compositional profiles of Green Sichuan Pepper from various sources. The results obtained from both the external standard method (ESM) and the QAMS method were consistent, with standardized mean differences (SMDs) below 5.0%. Furthermore, within the QAMS method, two different internal standards, hydroxyl-α-sanshool and Nonivamide, were used. The SMD between the results obtained using these two different internal standards, respectively, was also within 5%. In conclusion, the stable and cost-effective Nonivamide can serve as a viable alternative reference standard for the HPLC-based determination of the major numbing components in Sichuan pepper. Full article
(This article belongs to the Section Food Analytical Methods)
Show Figures

Figure 1

11 pages, 248 KB  
Brief Report
Genes Involved in Lipid, Carbohydrate, and Protein Metabolism as Candidates Affecting Beef Flavor
by Andrea Rando, Giulia Grassi, Anna Maria Perna and Paola Di Gregorio
Animals 2026, 16(7), 1003; https://doi.org/10.3390/ani16071003 - 25 Mar 2026
Viewed by 244
Abstract
Beef flavor is a trait difficult to evaluate since different senses (taste, touch, and smell) are involved in its perception. In the last 20 years, 102 Quantitative Trait Loci (QTLs), associated with the variability of different beef flavor notes, have been reported. These [...] Read more.
Beef flavor is a trait difficult to evaluate since different senses (taste, touch, and smell) are involved in its perception. In the last 20 years, 102 Quantitative Trait Loci (QTLs), associated with the variability of different beef flavor notes, have been reported. These QTLs are spread on all chromosomes, including BTA X. In these QTL regions, 2509 genes are located and, among them, 594 are involved in the metabolic processes of lipids, proteins, and carbohydrates, the main meat components for the production of volatile substances responsible for flavor. Only 19 of these genes (ACSM2B, ACSM3, ACSM4, ACSM5, CHID1, DHCR7, EDEM3, GDE1, HEXB, IGF2, INS, NDUFAB1, PIGC, PNPLA2, PRDX6, SCNN1B, SIAE, SMG1, and UMOD) are also present in the QTL regions affecting pork flavor. The applied approach allowed us to strongly restrict the number of candidate genes to affect the variability of both beef and pork flavor. Full article
(This article belongs to the Section Animal Products)
17 pages, 300 KB  
Article
Fruit and Vegetable Parenting Practices in Preschoolers: Initial Examination and Cultural Equivalency of a New Measure
by Lenka H. Shriver and Cheryl Buehler
Nutrients 2026, 18(6), 974; https://doi.org/10.3390/nu18060974 - 19 Mar 2026
Viewed by 358
Abstract
Background: Encouraging fruit and vegetable (FV) consumption early in childhood is important for long-term healthy eating. Though parents play an important role in shaping children’s FV-related taste preferences and consumption, validated instruments assessing the range of parenting practices that specifically support young [...] Read more.
Background: Encouraging fruit and vegetable (FV) consumption early in childhood is important for long-term healthy eating. Though parents play an important role in shaping children’s FV-related taste preferences and consumption, validated instruments assessing the range of parenting practices that specifically support young children’s FV intake are scarce. Furthermore, little attention has been given to low-income families, cultural inclusivity, and FV practices across different settings. The current study sought to conduct an initial examination and explore the measurement equivalency of a new FV parenting practices questionnaire (FVPPQ) across racially/ethnically diverse groups that address these gaps. Methods: Data for this paper came from a large project focused on parents’ FV parenting practices with young children enrolled in Head Start programs in the southern part of the U.S. Inclusion criteria were (a) parent/legal guardian being eighteen or older, (b) being the primary person responsible for child feeding, and (c) the child not requiring a special diet (e.g., diabetic). Using a multi-phases project approach, we (1) developed a preliminary conceptual map of parenting practice domains by reviewing existing measures on FV parenting practices; (2) completed and content-analyzed data from 18 focus groups (n = 62) to identify and further revise the preliminary conceptual map of domains, (3) administered a questionnaire with 11 domains of FV parenting practices, and then (4) empirically explored and reduced the measure while evaluating its content, construct, and criterion validity, and cultural equivalency across Non-Hispanic White, Hispanic White, and Black parents (n = 281). Results: Findings from Phases 1 and 2 generated a 107-item questionnaire that was reduced during phase 3 through a series of principal component and confirmatory factor analyses to the final FVPPQ with 21 items in four unique domains, showing good variability and inter-item consistency reliability: (1) Availability (5 items); (2) modeling (5 items); child-focused (5 items); and pressure (6 items). Three of the four domains evidenced cultural equivalency. Conclusions: The FVPPQ with four unique subscales demonstrated good content, construct validity, and partial measurement equivalency across racially/ethnically diverse groups of parents. Further confirmatory validation is warranted in larger samples, but the FVPPQ might be a promising and easily administered measure for research and applied interventions in nutrition, health behavior, and parenting contexts. Full article
(This article belongs to the Section Nutrition and Public Health)
21 pages, 1102 KB  
Article
Strawberry Production in Soilless Culture Systems: A Comparative Analysis of Volatile Metabolites, Quality, and Sensory Traits in Three Cultivars
by Livia Malorni, Tiziana Di Renzo, Cristina Matarazzo, Milena Petriccione, Elvira Ferrara, Giuseppe Capriolo, Gianluca Baruzzi, Paolo Sbrighi and Rosaria Cozzolino
Foods 2026, 15(6), 1072; https://doi.org/10.3390/foods15061072 - 18 Mar 2026
Viewed by 297
Abstract
Strawberry aroma and flavor are key determinants of consumer acceptance and market value, yet their relationship with physico-chemical and functional traits remains complex and cultivar-dependent. This study aimed to characterize the volatile profile, quality parameters, antioxidant capacity, microbial load, and sensory attributes of [...] Read more.
Strawberry aroma and flavor are key determinants of consumer acceptance and market value, yet their relationship with physico-chemical and functional traits remains complex and cultivar-dependent. This study aimed to characterize the volatile profile, quality parameters, antioxidant capacity, microbial load, and sensory attributes of three strawberry cultivars (‘Rossetta’, ‘Melissa’, and ‘Gioelita’) grown in soilless culture systems and harvested at the commercial ripening stage. ‘Melissa’ showed significantly higher total soluble solids (8.65 °Brix) than ‘Rossetta’ (7.78 °Brix) and ‘Gioelita’ (7.47 °Brix), while titratable acidity was highest in ‘Gioelita’ (4.97 mg CA/L). Regarding phytochemical traits, ‘Melissa’ exhibited the greatest total polyphenol, flavonoid, and antioxidant capacity values, followed by ‘Rossetta’ and ‘Gioelita’. Sixty-four volatile organic compounds (VOCs) were identified, semi-quantified, and combined with physico-chemical and sensory data related to odor and taste perception. Principal component analysis was applied to evaluate cultivar discrimination and identify the key discriminatory volatiles. The results revealed clear separation among cultivars based on their compositional and sensory profiles. ‘Rossetta’ was characterized by a higher abundance of esters, lactones, and mesifuran and received the highest sensory scores for sweetness and overall flavor, consistent with its elevated anthocyanin content. ‘Gioelita’ was associated with key esters contributing to strawberry flavor and with higher titratable acidity and perceived acidity. ‘Melissa’ showed a balanced volatile composition, higher antioxidant capacity, and greater phenolic content but also had higher microbial counts. Overall, the integration of chemical and sensory analyses provided useful insights into cultivar-specific quality traits relevant for breeding and production strategies. Full article
(This article belongs to the Special Issue Volatile Aroma Compounds—Food Sensory and Nutrition Attributes)
Show Figures

Graphical abstract

18 pages, 523 KB  
Article
Sensory Acceptability and Sensory Profiles of Flavoured Foods for Special Medical Purposes: A Quantitative Descriptive Analysis
by Agata Kiciak, Wiktoria Staśkiewicz-Bartecka, Natalia Kuczka, Małgorzata Słoma-Krześlak, Kommi Kalpana and Marek Kardas
J. Clin. Med. 2026, 15(6), 2188; https://doi.org/10.3390/jcm15062188 - 13 Mar 2026
Viewed by 399
Abstract
Background/Objectives Foods for special medical purposes are an important component of nutritional management in patients at risk of malnutrition or already affected by it. The aim of the study was to evaluate the sensory properties and sensory acceptability of selected powdered foods for [...] Read more.
Background/Objectives Foods for special medical purposes are an important component of nutritional management in patients at risk of malnutrition or already affected by it. The aim of the study was to evaluate the sensory properties and sensory acceptability of selected powdered foods for special medical purposes (FSMPs) from a single manufacturer with different flavour variants using quantitative descriptive analysis. Methods: The study was conducted under laboratory conditions in accordance with the PN-EN ISO 8589:2010 standard. A semi-trained panel of 49 participants took part in the sensory evaluation. Five powdered FSMP products with comparable nutritional composition and different flavour variants were analyzed. Quantitative descriptive analysis (QDA) was applied using a 10-point rating scale, along with a ranking method to assess consumer preferences. Statistical analysis was performed using Welch’s one-way analysis of variance followed by post hoc tests, with the level of significance set at p < 0.05. Results: Statistically significant differences were observed between the analyzed variants for most of the assessed sensory attributes. Preparations with white chocolate and raspberry, strawberry, and vanilla flavours showed the highest sensory acceptability, characterized by a harmonious taste, creamy texture, and low intensity of undesirable sensory attributes. The neutral variant received the lowest overall ratings. The coffee-flavoured product was distinguished by a high aroma intensity but also by a greater intensity of attributes negatively affecting sensory acceptability. Conclusions: The findings indicate that flavour plays a significant role in determining the sensory acceptability of FSMP products. Considering sensory characteristics in the development and selection of FSMP preparations may increase their consumption and enhance the effectiveness of nutritional interventions in clinical practice. Full article
(This article belongs to the Section Clinical Nutrition & Dietetics)
Show Figures

Graphical abstract

25 pages, 18685 KB  
Article
A Novel Strategy for Rapid Quantification of Multiple Quality Indicators and Grade Discrimination of Atractylodis macrocephalae Rhizoma Based on Electronic Nose, Electronic Tongue and Machine-Learning Algorithms
by Ruiqi Yang, Jiayu Wang, Yushi Wang, Xingyu Guo, Yunqi Sun, Ziyue Song, Keyao Zhu, Yuanyu Zhao and Yonghong Yan
Molecules 2026, 31(5), 881; https://doi.org/10.3390/molecules31050881 - 6 Mar 2026
Viewed by 380
Abstract
Atractylodes macrocephala Rhizoma (AMR) is a frequently used medicinal herb for treating gastrointestinal disorders, with its quality influenced by factors such as origin and cultivation duration. Traditional quality control methods for AMR are time-consuming and invasive, making the development of faster and more [...] Read more.
Atractylodes macrocephala Rhizoma (AMR) is a frequently used medicinal herb for treating gastrointestinal disorders, with its quality influenced by factors such as origin and cultivation duration. Traditional quality control methods for AMR are time-consuming and invasive, making the development of faster and more efficient alternatives urgently needed. This study aims to utilize electronic nose (E-nose) and electronic tongue (E-tongue) to achieve the acquisition of odor–taste two-dimensional information of AMR. Integrating this approach with machine learning (ML) enables intelligent transformation from “experience-driven” to “data-driven” quality assessment, thereby developing a rapid and cost-effective quality control strategy for AMR. Feature-extraction and feature-selection techniques were employed to optimize back-propagation neural network (BPNN) classification and regression models for eight key quality markers, selecting the optimal feature subset. Additionally, nine machine-learning algorithms were applied with the optimal feature subset to establish classification models for different AMR grades and quantitative regression models for eight components based on E-nose and E-tongue data. The results demonstrated that the E-tongue combined with the k-nearest neighbors (KNN) algorithm could achieve a rapid classification of AMR grades with an accuracy of 95.56%. It also successfully predicted the contents of the extract, volatile oil, polysaccharides, atractylenolide I, atractylenolide II, atractylenolide III, bis-atractylenolide, and atractylone, with the test set’s coefficient of determination (R2) values of 0.8874, 0.8313, 0.9628, 0.8406, 0.8736, 0.8532, 0.7758, and 0.8101, respectively. In conclusion, this study provides a comprehensive and rapid solution for AMR grade classification and quality evaluation, significantly improving efficiency compared with traditional methods. This strategy holds substantial promise for real-world applications, as it enables a high-throughput, non-destructive screening of AMR in settings such as post-harvest processing and market quality surveillance, thereby supporting the sustainable and intelligent development of the herbal medicine industry. Full article
Show Figures

Graphical abstract

16 pages, 2048 KB  
Article
Taste Modulation of White Tea by Red/Blue-LED-Assisted Withering Revealed via Non-Volatile Metabolomics
by Dan Wu, Yongyi Deng, Jiabao Xing, Lianghua Wen, Jiawei Ma, Dubin Dong and Fanrong Cao
Foods 2026, 15(5), 836; https://doi.org/10.3390/foods15050836 - 3 Mar 2026
Viewed by 339
Abstract
Background: Red/blue- light-emitting diode (LED)-assisted withering provides a controllable spectral input to steer tea quality, yet metabolite-level evidence linking spectrum composition to quantitative taste phenotypes in white tea remains insufficient. Methods: Fresh leaves were withered under supplemental red/blue LEDs—S0, S1, S2, S3, S4, [...] Read more.
Background: Red/blue- light-emitting diode (LED)-assisted withering provides a controllable spectral input to steer tea quality, yet metabolite-level evidence linking spectrum composition to quantitative taste phenotypes in white tea remains insufficient. Methods: Fresh leaves were withered under supplemental red/blue LEDs—S0, S1, S2, S3, S4, and S5—and the resulting white teas were evaluated by quantitative descriptive analysis (QDA), untargeted metabolomics, weighted gene co-expression network analysis (WGCNA), and high-performance liquid chromatography (HPLC) quantification of caffeine, gallic acid, and eight catechin monomers. Results: Red/blue-mixed spectrum enhanced the overall sensory quality relative to the incandescent lamp; S3 maximized sweetness and freshness, whereas S4 minimized bitterness and astringency and achieved the highest overall score. Untargeted metabolomics showed the largest deviation for S0 vs. S4. A total of 18 common metabolites were identified between the S0 and light-supplemented withering treatments, dominated by saccharides and related derivatives. WGCNA linked a saccharide-centered module to higher sweetness/freshness/smoothness and a lipid-oxylipin-centered module to stronger bitterness/astringency. HPLC independently confirmed that S4 contained the lowest catechins and caffeine, supporting its reduced bitter/astringent attributes. Conclusions: Overall, the application of mixed red-blue spectra offered a promising approach to enhancing the palatability of white tea by coordinately intensifying saccharide metabolism while simultaneously suppressing key bitter and astringent components. Our study provided a scientific basis for standardizing white tea processing to enhance sensory quality. Full article
(This article belongs to the Topic Advances in Analysis of Food and Beverages, 2nd Edition)
Show Figures

Figure 1

26 pages, 2943 KB  
Article
Proteomic Analysis of Lotus-Derived NnAP2 Regulation of Soluble Sugar and Starch Content in Potato (Solanum tuberosum)
by Yuanrong Pan, Zhongyuan Lin, Lirong Xiang, Rebecca Njeri Damaris, Xiangying Wei and Dingding Cao
Plants 2026, 15(4), 566; https://doi.org/10.3390/plants15040566 - 11 Feb 2026
Viewed by 417
Abstract
The starch content of lotus (Nelumbo nucifera) rhizomes is a key determinant of their taste and overall quality. In our previous work, a candidate transcription factor, NnAP2, was identified and its coding-region single-nucleotide polymorphisms (SNPs) were significantly associated with rhizome [...] Read more.
The starch content of lotus (Nelumbo nucifera) rhizomes is a key determinant of their taste and overall quality. In our previous work, a candidate transcription factor, NnAP2, was identified and its coding-region single-nucleotide polymorphisms (SNPs) were significantly associated with rhizome enlargement and carbohydrate-related traits. Owing to limitations in stable genetic transformation systems in lotus, potato (Solanum tuberosum) was employed as a heterologous model to investigate the regulatory role of NnAP2 in starch and soluble sugar metabolism. Overexpression of two allelic variants of the NnAP2 transcription factor (CC and TT) in potato resulted in pronounced differences between CC- and TT-overexpressing lines (NnAP2CC-OE and NnAP2TT-OE) in microtuber carbohydrate composition and proteome dynamics, accompanied by divergence in transgene copy number and substantial variation in transgene expression levels among independent lines. Six months after planting transgenic lines NnAP2CC-OE and NnAP2TT-OE, the NnAP2CC-OE micro-tubers exhibited significantly higher starch content and lower soluble sugar levels compared with NnAP2TT-OE. To uncover the underlying molecular basis, profiling of proteoforms was conducted on leaves, stems and tubers of both genotypes through a label-free proteomic strategy. A total of 51,299 peptides matched to 7292 proteins. Principal component analysis demonstrated clear separation of treatment groups, indicating robust differential accumulation of proteoforms. In total, 1715 differentially expressed proteins (DEPs) were identified across tissues (fold change ≥ 1.5 or ≤0.67, p  <  0.05), of which 1516 (88.4%) were tissue-specific. GO and KEGG enrichment analyses revealed that in leaves, DEPs were enriched for amino sugar metabolism, protein transporter activity and cell-wall macromolecule modification; in stems, enrichment included response to biotic stimulus, defense response and transporter activity; in tubers, DEPs were strongly enriched for carbohydrate metabolic processes, starch and sucrose metabolism, the TCA cycle and nucleotide sugar biosynthesis. Key starch-biosynthetic enzymes (e.g., ADP-glucose pyrophosphorylase, UDP-glucose-4-epimerase) were up-regulated in NnAP2CC-OE tubers relative to NnAP2TT-OE, while soluble sugar synthesis pathways (e.g., trehalose-6-phosphate synthase) were down-regulated. Together, these data suggest that elevated NnAP2CC expression in transgenic potato is associated with allele-dependent shifts in central carbon allocation between starch and soluble sugar pathways, as revealed by comparative analyses between NnAP2CC-OE and NnAP2TT-OE. This study provides a comprehensive proteoform framework for allelic variation in an AP2 transcription factor involved in source–sink carbon partitioning and tuber starch accumulation in potato. Full article
Show Figures

Figure 1

17 pages, 1156 KB  
Article
Comparison of the Physicochemical Properties, Phenolic Compounds and Aromatic Profiles in White Grape Berries and Wines from the Changli Region
by Haijun Ma, Haohao Zhao, Yunqing Ma, Yubo Hua, Yanzhi Cui, Wenhuai Kang and Ling Qin
Foods 2026, 15(4), 639; https://doi.org/10.3390/foods15040639 - 10 Feb 2026
Viewed by 359
Abstract
This study systematically evaluated six white grape cultivars and their wines from Changli, China, through multi-analytical techniques (HPLC, LC-MS/MS, HS-SPME -GC-MS, etc.) to compare oenological parameters, organic acid profiles, phenolic compositions, and aromatic volatiles. Results indicated that the total sugar contents in Aranèle [...] Read more.
This study systematically evaluated six white grape cultivars and their wines from Changli, China, through multi-analytical techniques (HPLC, LC-MS/MS, HS-SPME -GC-MS, etc.) to compare oenological parameters, organic acid profiles, phenolic compositions, and aromatic volatiles. Results indicated that the total sugar contents in Aranèle (202.11 g/L) and Viognier (201.12 g/L) berries were significantly higher than those in other varieties. Compared with other varieties, Roussanne grape juice and wine had a higher content of phenolic components, and the fermented Chardonnay wine exhibited a higher proanthocyanidin content. In the flavor profile of the wines, the contents of ethyl octanoate, isoamyl acetate, and α-ionene in Semillon wine (total volatile components in Semillon: 56,147.3 μg/L) were significantly higher than those in the other wines. Additionally, Aranèle wine had the highest phenethyl alcohol content. The principal component analysis (PCA), performed on combined normalized data of organic acids, phenolic components, and volatile compounds, revealed distinct clustering of the six white wines. The first and second principal components explained 41.63% and 43.37% of the total variance, respectively, demonstrating clear differentiation among the six white wines. Sensory analysis revealed no distinct differences in appearance among the six white wines, whereas significant variations were observed in aroma and taste profiles. Full article
(This article belongs to the Section Drinks and Liquid Nutrition)
Show Figures

Figure 1

26 pages, 1577 KB  
Review
Genetic and Environmental Factors Underlying the Flavor and Color Profiles of Vegetables
by Ayşe Nur Şavkan, Yeşim Dal-Canbar, Hasan Can and Önder Türkmen
Horticulturae 2026, 12(2), 185; https://doi.org/10.3390/horticulturae12020185 - 2 Feb 2026
Viewed by 652
Abstract
The flavor and color profiles of vegetables are crucial in determining their nutritional value, health benefits, taste, and visual appeal. The genomic characteristics of plants control these traits. Components such as sugars, organic acids, amino acids, phenolic compounds, and essential oils, as well [...] Read more.
The flavor and color profiles of vegetables are crucial in determining their nutritional value, health benefits, taste, and visual appeal. The genomic characteristics of plants control these traits. Components such as sugars, organic acids, amino acids, phenolic compounds, and essential oils, as well as color pigments like anthocyanin, chlorophyll, carotenoid, and betalain, are synthesized in plants based on their genetic structure. Environmental factors like temperature, water, light, and soil can affect the production and intensity of these components. Long-term environmental changes, such as climate change, can significantly alter the dynamics of these components. This comprehensive review focuses on the genetic and environmental interactions underlying the flavor and color profiles of vegetables, with particular emphasis on the analysis of quantitative trait loci (QTL) associated with these traits. The article discusses the identification of genes that regulate taste and color in vegetables and how these genes have been localized in QTL mapping studies. It also discusses the influence of environmental factors on taste and color, as well as gene–environment interactions. Furthermore, it focuses on how this information can be used to improve plant breeding and sustainable agriculture and emphasizes that data from QTL analyses provide valuable insights into the integration of genetic and environmental approaches to improve vegetable quality and meet consumer preferences. In conclusion, the review aims to be a valuable resource for both researchers and professionals interested in the genetic and environmental aspects of taste and color in vegetables. Full article
(This article belongs to the Special Issue Metabolites Biosynthesis in Horticultural Crops)
Show Figures

Figure 1

17 pages, 1060 KB  
Article
Influence of Live Music and Tasting Assessment on Hedonic and Emotional Responses of Wine in Public Tasting Events
by Roberto Marangoni, Isabella Taglieri, Alessandro Bianchi, Chiara Sanmartin, Pierina Díaz-Guerrero, Alessandro Tonacci, Francesco Sansone and Francesca Venturi
Foods 2026, 15(3), 504; https://doi.org/10.3390/foods15030504 - 1 Feb 2026
Viewed by 533
Abstract
Wine represents one of the most complex food matrices from a sensory perspective, as its appreciation emerges from the interaction between chemical composition, perceptual mechanisms, and contextual influences. Contemporary research in oenology and sensory science increasingly recognizes wine evaluation as an integrated perceptual [...] Read more.
Wine represents one of the most complex food matrices from a sensory perspective, as its appreciation emerges from the interaction between chemical composition, perceptual mechanisms, and contextual influences. Contemporary research in oenology and sensory science increasingly recognizes wine evaluation as an integrated perceptual event shaped by cognition, memory, and affect, rather than a simple response to aroma or flavor cues. Live music is widely used in hospitality settings to enhance consumer experience; however, its specific influence on wine appreciation and emotional responses remains insufficiently explored, particularly in real-world contexts. This study investigates how two contrasting musical atmospheres—melancholic/relaxing and upbeat/motivational—modulate hedonic evaluations and emotional profiles during public wine tastings, compared with a no-music condition. Data were collected across five live tasting events (5 Wednesdays of Emotions) using structured questionnaires that included hedonic ratings and multidimensional emotional measures. Statistical analyses were conducted using non-parametric tests, meta-analytic p-value combination, and cumulative link mixed models for ordinal data. The presence of music significantly enhanced overall wine appreciation compared to the silent condition, although the magnitude and direction of the effect varied across individuals and musical styles. Upbeat/motivational music generally produced stronger and more consistent increases in liking than melancholic/relaxing music. Emotional responses—particularly positive surprise—emerged as key mediators of hedonic improvement and showed strong associations with overall liking. Preference profiling revealed distinct response patterns, indicating that auditory modulation of wine perception is not uniform across consumers. These findings support a crossmodal interpretation in which music shapes wine appreciation primarily through emotion-based and expectancy-related mechanisms rather than through direct sensory enhancement. By demonstrating these effects in ecologically valid tasting environments, the study highlights the role of auditory context as a meaningful component of multisensory wine experiences. Full article
Show Figures

Graphical abstract

19 pages, 4960 KB  
Article
Delayed Potassium Application Alters Protein Accumulation While Improving Eating Quality and Yield in Rice
by Mingming Hu, Chaoyue Wu, Guangyi Chen and Tian Li
Plants 2026, 15(3), 437; https://doi.org/10.3390/plants15030437 - 30 Jan 2026
Viewed by 390
Abstract
Potassium plays a critical role in improving rice yield and quality; however, the effects of delayed K application on grain protein metabolism and eating quality remain unclear. This study evaluated four potassium fertilizer management modes designed with basal fertilizer: panicle fertilizer, with ratios [...] Read more.
Potassium plays a critical role in improving rice yield and quality; however, the effects of delayed K application on grain protein metabolism and eating quality remain unclear. This study evaluated four potassium fertilizer management modes designed with basal fertilizer: panicle fertilizer, with ratios of 10:0 (K1, control), 8:2 (K2), 6:4 (K3), and 4:6 (K4). Grain protein and protein fractions, free amino acids (FAA), key protein synthesis enzyme activities, starch RVA profile, taste value, processing and appearance quality, and yield were measured. With the delayed application of potassium fertilizer, grain GS, and GOGAT activities decreased by 3.15–7.67% and 6.92–13.06%, while GOT and GPT activities declined by 3.72–13.99% and 2.94–3.32% compared with K1. Consequently, FAA, albumin, globulin, prolamin, and glutelin contents all decreased, and grain protein content was significantly reduced, by 0.18–0.44 percentage points. In contrast, peak viscosity and breakdown increased, setback decreased, and taste value improved by 4.35–10.14%. Meanwhile, head rice rate increased, chalky grain rate and chalkiness decreased, and yield under K4 treatment increased significantly by 3.48%. Delayed potassium fertilizer application (K4 treatment) helps to reduce the activity of key enzymes involved in protein synthesis, decrease protein and its component contents, while simultaneously improving yield and eating quality. Full article
(This article belongs to the Section Crop Physiology and Crop Production)
Show Figures

Figure 1

13 pages, 418 KB  
Article
Synergistic Mechanisms and Comprehensive Functional Evaluation of Bioactive Components from Olive and Chinese Olive
by Hongyang Pan, Zhaojun Wang and Jie Chen
Molecules 2026, 31(2), 359; https://doi.org/10.3390/molecules31020359 - 20 Jan 2026
Viewed by 282
Abstract
Olive and Chinese olive are rich sources of bioactive compounds with reported sensory and hepatoprotective activities; however, the synergistic effect between their functional components have not been systematically evaluated. In this study, DF3 (functional fraction isolated from olive) and GF3 (functional fraction isolated [...] Read more.
Olive and Chinese olive are rich sources of bioactive compounds with reported sensory and hepatoprotective activities; however, the synergistic effect between their functional components have not been systematically evaluated. In this study, DF3 (functional fraction isolated from olive) and GF3 (functional fraction isolated from Chinese olive) were obtained using a combination of solvent extraction, supercritical fluid extraction, and polyamide column chromatography. To investigate potential synergistic effects, the two fractions were blended at different ratios (1:1, 2:1, and 1:2), and their taste-modulating properties, antioxidant capacity, and anti-intoxication and hepatoprotective activities were assessed using sensory analysis, radical scavenging assays, and biochemical indicators. Compared with the individual fractions, the blended formulations exhibited enhanced taste intensity, improved antioxidant capacity, and stronger hepatoprotective effects, as evidenced by greater reductions in alanine aminotransferase (ALT) and aspartate aminotransferase (AST) levels. Quantitative assessment using a combination index approach revealed a clear positive interaction between DF3 and GF3, with the GF3–DF3 (2:1) blend showing the most pronounced overall enhancement across multiple functional endpoints. Overall, this study provides a systematic and quantitative evaluation of synergistic effect between functional bioactive fractions and offers methodological guidance for the rational optimization of functional formulations. Full article
Show Figures

Figure 1

Back to TopTop