Exploration and Comparison of High-Throughput Sequencing Analysis of Endophytic Fungal Communities in Morinda tinctoria and Pithecellobium dulce
Abstract
1. Introduction
2. Materials and Methods
2.1. Sample Collection
2.2. Soil Analysis
2.3. DNA Extraction and Sequencing
2.4. Sequencing Data Analysis and Statistical Modeling
3. Results
3.1. Soil Nutrient and Physicochemical Profile Across Plant Samples
3.2. Taxonomical Diversity
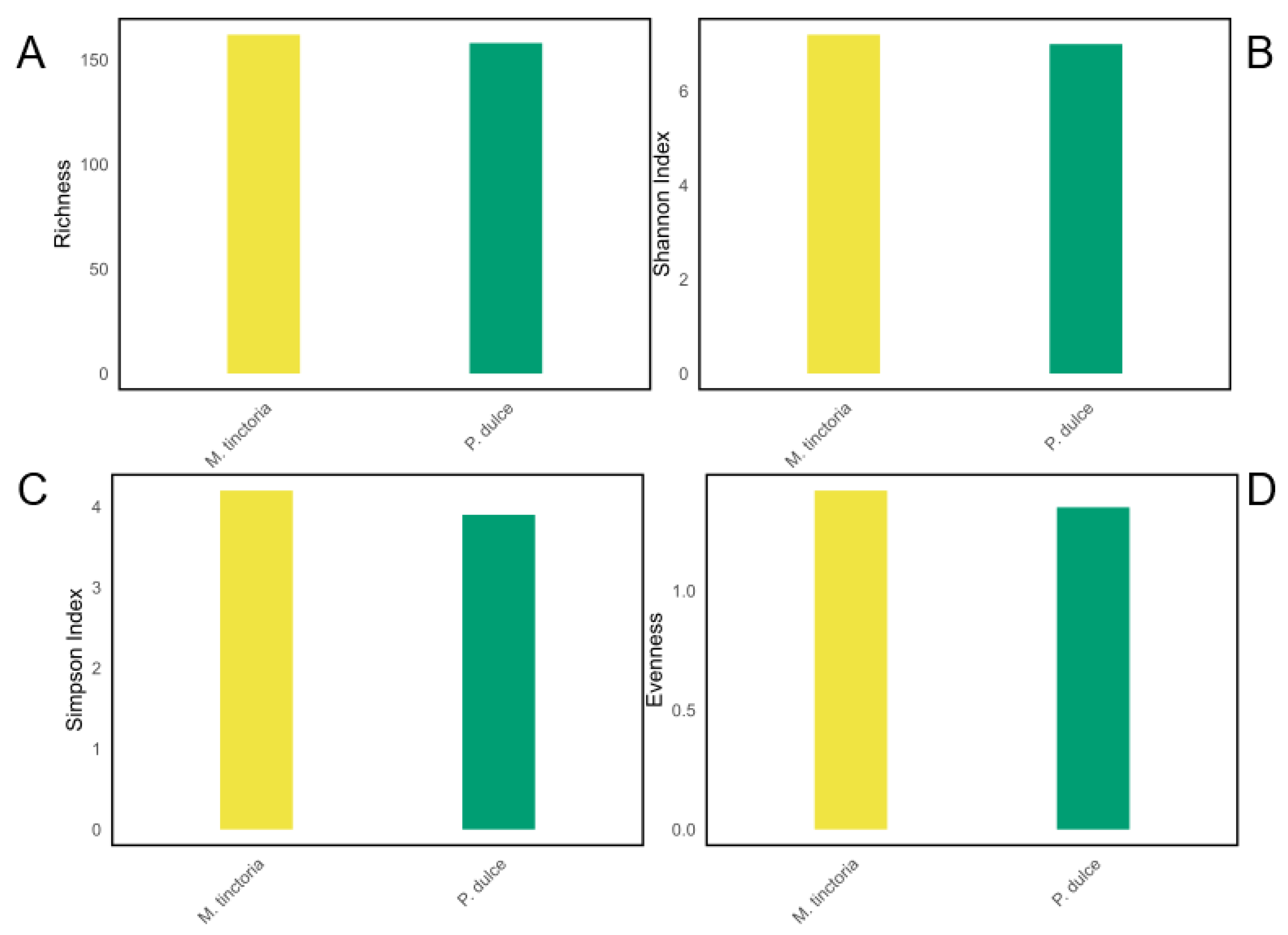
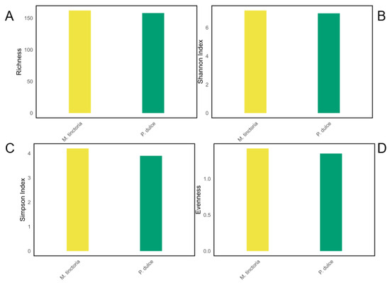
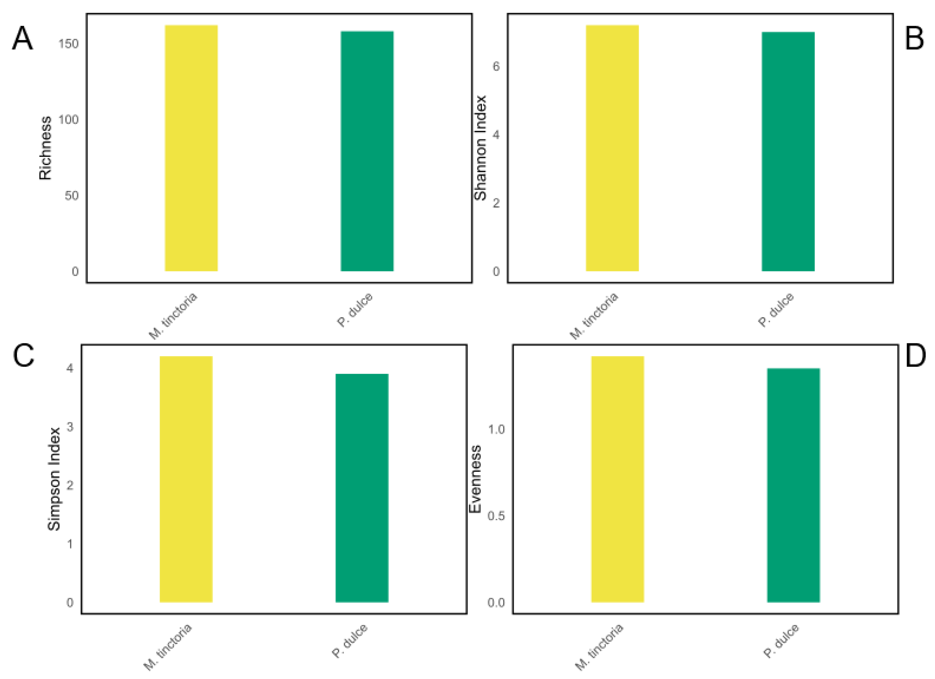
3.3. Fungal Diversity Analysis
4. Discussion
4.1. Soil Parameters
4.2. Functional Traits
4.3. Alpha Diversity and Microbial Richness
Supplementary Materials
Author Contributions
Funding
Institutional Review Board Statement
Informed Consent Statement
Data Availability Statement
Acknowledgments
Conflicts of Interest
References
- Wang, X.; Chen, J.; Lee, S.; Ju, Z.; Akhand, A.; Liu, H. Compartment-specific microbial communities highlight the ecological roles of fungi in a subtropical seagrass ecosystem. Appl. Environ. Microbiol. 2025, 91, e0060625. [Google Scholar] [CrossRef] [PubMed]
- Rani, K.; Kumar, K.; Navpute, G.; Panwar, A.; Kaur, A.; Kaushik, P. Microbiome Interactions Affect Plant Physiology and Immunity to Environmental Stresses. Preprints 2023, 2023080054. [Google Scholar]
- Zhao, C.; Onyino, J.; Gao, X. Current advances in the functional diversity and mechanisms underlying endophyte–plant interactions. Microorganisms 2024, 12, 779. [Google Scholar] [CrossRef]
- Vandana, P.; Kumari, A.; Kumari, K.; Puzari, K.R. Endophytes: An insight into plant’s hidden treasure. Int. J. Plant Soil Sci. 2024, 36, 589–609. [Google Scholar] [CrossRef]
- Gowtham, H.G.; Hema, P.; Murali, M.; Shilpa, N.; Nataraj, K.; Basavaraj, G.L.; Singh, S.B.; Aiyaz, M.; Udayashankar, A.C.; Amruthesh, K.N. Fungal Endophytes as Mitigators against Biotic and Abiotic Stresses in Crop Plants. J. Fungi 2024, 10, 116. [Google Scholar] [CrossRef]
- Sneha, M.J.X.; Thangavel, M.; Mani, I.; Rajapriya, P.; Ponnuraj, N.; Pandi, M. Endophytic Fungal Diversity in Hardwickia binata: Bridging the Gap between Traditional and Modern Techniques. Microbiol. Res. 2024, 15, 823–840. [Google Scholar] [CrossRef]
- Rajguru, B.; Shri, M.; Bhatt, V.D. Exploring microbial diversity in the rhizosphere: A comprehensive review of metagenomic approaches and their applications. 3 Biotech 2024, 14, 224. [Google Scholar] [CrossRef]
- Hardoim, P.R.; Van Overbeek, L.S.; Berg, G.; Pirttilä, A.M.; Compant, S.; Campisano, A.; Döring, M.; Sessitsch, A. The Hidden World within Plants: Ecological and Evolutionary Considerations for Defining Functioning of Microbial Endophytes. Microbiol. Mol. Biol. Rev. 2015, 79, 293–320. [Google Scholar] [CrossRef]
- Balachandran, G.B.; Narayanasamy, P.; Alexander, A.B.; David, P.W.; Mariappan, R.K.; Ramachandran, M.E.; Indran, S.; Rangappa, S.M.; Siengchin, S. Multi-analytical investigation of the physical, chemical, morphological, tensile, and structural properties of Indian mulberry (Morinda tinctoria) bark fibers. Heliyon 2023, 9, e21239. [Google Scholar] [CrossRef]
- Vargas-Madriz, Á.F.; Kuri-García, A.; Vargas-Madriz, H.; Chávez-Servín, J.L.; Ferriz-Martínez, R.A.; Hernández-Sandoval, L.G.; Guzmán-Maldonado, S.H. Phenolic profile and antioxidant capacity of Pithecellobium dulce (Roxb) Benth: A review. J. Food Sci. Technol. 2020, 57, 4316–4336. [Google Scholar] [CrossRef] [PubMed]
- Kiranmayee, M.; Riazunnisa, K. Bioactive phytochemical compounds characterization, anti-oxidant and anti-microbial activity of the methanol and acetonitrile leaf extracts of Pithecellobium dulce. Phytomed. Plus 2025, 5, 100760. [Google Scholar] [CrossRef]
- Aldarhami, A.; Bazaid, A.S.; Alhamed, A.S.; Alghaith, A.F.; Ahamad, S.R.; Alassmrry, Y.A.; Alharazi, T.; Snoussi, M.; Qanash, H.; Alamri, A.; et al. Antimicrobial potential of Pithecellobium dulce seed extract against pathogenic bacteria: In silico and in vitro evaluation. BioMed Res. Int. 2023, 2023, 2848198. [Google Scholar] [CrossRef]
- Thangavel, M.; Sneha, M.J.X.; Mani, I.; Surendrababu, A.; Rajapriya, P.; Arulselvan, P.; Alarfaj, A.A.; Thangavelu, I.; Pandi, M. Diversity of Endophytic Fungi in Plant Species: Traditional vs. High-Throughput Sequencing Approaches. Chem. Biodivers. 2025, 22, e202402792. [Google Scholar] [CrossRef] [PubMed]
- Piper, C.S. Soil and Plant Analysis; Asian Publishing House: Seoul, Republic of Korea, 1967. [Google Scholar]
- Black, C.A. Part 2: Chemical and Microbiological Properties. In Methods of Soil Analysis: Physical and Mineralogical Properties, Including Statistics of Measurement and Sampling; American Society of Agronomy, Inc.: Madison, WI, USA, 1965; Volume 9, pp. 1387–1388. [Google Scholar]
- Walkley, A.; Black, I.A. An Examination of the Degtjareff Method for Determining Soil Organic Matter, and a Proposed Modification of the Chromic Acid Titration Method. Soil Sci. 1934, 37, 29–38. [Google Scholar] [CrossRef]
- Subbiah, B.V.; Asija, G.L. A Rapid Method for the Estimation of Nitrogen in Soil. Curr. Sci. 1956, 26, 259–260. [Google Scholar]
- Olsen, S.R. Estimation of Available Phosphorus in Soils by Extraction with Sodium Bicarbonate; US Department of Agriculture: Washington, DC, USA, 1954. [Google Scholar]
- Hanway, J.J.; Heidal, H. Soil Analysis Methods as Used in Iowa State College Soil Testing Laboratory. Iowa State Coll. Agric. Bull. 1952, 57, 1. [Google Scholar]
- Lindsay, W.L.; Norvell, W. Development of a DTPA Soil Test for Zinc, Iron, Manganese, and Copper. Soil Sci. Soc. Am. J. 1978, 42, 421–428. [Google Scholar] [CrossRef]
- Bolyen, E.; Rideout, J.R.; Dillon, M.R.; Bokulich, N.A.; Abnet, C.C.; Al-Ghalith, G.A.; Alexander, H.; Alm, E.J.; Arumugam, M.; Asnicar, F.; et al. Reproducible, interactive, scalable and extensible microbiome data science using QIIME 2. Nat. Biotechnol. 2019, 37, 852–857, Correction in Nat. Biotechnol. 2019, 37, 1091. [Google Scholar] [CrossRef] [PubMed]
- Põlme, S.; Abarenkov, K.; Nilsson, R.H.; Lindahl, B.D.; Clemmensen, K.E.; Kauserud, H.; Nguyen, N.; Kjøller, R.; Bates, S.T.; Baldrian, P.; et al. FungalTraits: A user-friendly traits database of fungi and fungus-like stramenopiles. Fungal Divers. 2020, 105, 1–16, Correction in Fungal Divers. 2021, 107, 129–132. [Google Scholar] [CrossRef]
- R Core Team. R: A Language and Environment for Statistical Computing; R Foundation for Statistical Computing: Vienna, Austria, 2022; Available online: https://www.R-project.org (accessed on 11 February 2025).
- Prasad, M.N.V.; Kumar, C. (Eds.) Agroecological Approaches for Sustainable Soil Management; John Wiley & Sons, Inc.: Hoboken, NJ, USA, 2023; Available online: https://search.ebscohost.com/login.aspx?direct=true&scope=site&db=nlebk&db=nlabk&AN=3653646 (accessed on 11 July 2025).
- Sande, T.J.; Tindwa, H.J.; Alovisi, A.M.T.; Shitindi, M.J.; Semoka, J.M. Enhancing sustainable crop production through integrated nutrient management: A focus on vermicompost, bio-enriched rock phosphate, and inorganic fertilizers–A systematic review. Front. Agron. 2024, 6, 1422876. [Google Scholar] [CrossRef]
- Antonangelo, J.A.; Sun, X.; Zhang, H. The roles of co-composted biochar (COMBI) in improving soil quality, crop productivity, and toxic metal amelioration. J. Environ. Manag. 2021, 277, 111443. [Google Scholar] [CrossRef]
- Sathiyadash, K.; Rajendran, K.; Karthikeyan, V.; Muthukumar, T. Modulation of plant micronutrient uptake by arbuscular mycorrhizal fungi. In Probiotics and Plant Health; Springer: Singapore, 2017; pp. 337–352. [Google Scholar]
- Fang, L.; Lakshmanan, P.; Su, X.; Shi, Y.; Chen, Z.; Zhang, Y.; Sun, W.; Wu, J.; Xiao, R.; Chen, X. Impact of residual antibiotics on microbial decomposition of livestock manures in Eutric Regosol: Implications for sustainable nutrient recycling and soil carbon sequestration. J. Environ. Sci. 2025, 147, 498–511. [Google Scholar] [CrossRef]
- Sarkar, B.; Singh, M.; Mandal, S.; Churchman, G.J.; Bolan, N.S. Clay minerals—Organic matter interactions in relation to carbon stabilization in soils. In The Future of Soil Carbon; Academic Press: Salt Lake City, UT, USA, 2018; pp. 71–86. [Google Scholar]
- Jiménez-Vázquez, A.; Jaimes-López, R.; Morales-Bautista, C.M.; Pérez-Rodríguez, S.; Gochi-Ponce, Y.; Estudillo-Wong, L.A. Catalytic Applications of Natural Iron Oxides and Hydroxides: A Review. Catalysts 2025, 15, 236. [Google Scholar] [CrossRef]
- Rodriguez-Ramos, J.C.; Cale, J.A.; Cahill Jr, J.F.; Simard, S.W.; Karst, J.; Erbilgin, N. Changes in soil fungal community composition depend on functional group and forest disturbance type. New Phytol. 2021, 229, 1105–1117. [Google Scholar] [CrossRef]
- Delgado-Baquerizo, M.; Singh, B.K.; Liu, Y.R.; Sáez-Sandino, T.; Coleine, C.; Muñoz-Rojas, M.; Trivedi, P. Integrating ecological and evolutionary frameworks for SynCom success. New Phytol. 2025, 246, 1922–1933. [Google Scholar] [CrossRef]
- Lu, H.; Wei, T.; Lou, H.; Shu, X.; Chen, Q. A critical review on communication mechanism within plant-endophytic fungi interactions to cope with biotic and abiotic stresses. J. Fungi 2021, 7, 719. [Google Scholar] [CrossRef]
- Pan, H.; Wei, D.; Yang, L.; Fu, X.; Zhu, D.; Lu, X.; Liu, Y. Phyllospheric fungal diversity in decomposing larch leaf litter: A comparative study of epiphytic and endophytic fungi. Front. Microbiol. 2024, 15, 1489889. [Google Scholar] [CrossRef] [PubMed]
- Calderon, R.B.; Dangi, S.R. Arbuscular Mycorrhizal Fungi and Rhizobium Improve Nutrient Uptake and Microbial Diversity Relative to Dryland Site-Specific Soil Conditions. Microorganisms 2024, 12, 667. [Google Scholar] [CrossRef] [PubMed]
- Mohanta, T.K.; Al-Harrasi, A. Fungal genomes: Suffering with functional annotation errors. IMA Fungus 2021, 12, 32. [Google Scholar] [CrossRef] [PubMed]
- Pure, N.J. Bioprospecting Nigerian Ethnomedicinal Plants for Novel Anti-Tuberculosis Drug Development: Challenges, Opportunities, and Future Directions. Nig. J. Pure Appl. Sci. 2025, 38, 5285. [Google Scholar]
- Musilova, L.; Ridl, J.; Polivkova, M.; Macek, T.; Uhlik, O. Effects of secondary plant metabolites on microbial populations: Changes in community structure and metabolic activity in contaminated environments. Int. J. Mol. Sci. 2016, 17, 1205. [Google Scholar] [CrossRef]
- Hamed, K.E.; Alsaif, A.N.; Alhewairini, S.S.; Sayyed, R.Z. Comprehensive analysis of microbiome biodiversity in popular date palm (Phoenix dactylifera L.) fruit varieties. Sci. Rep. 2024, 14, 20658. [Google Scholar] [CrossRef] [PubMed]
- Zhang, Y.; Li, S.; Li, H.; Wang, R.; Zhang, K.-Q.; Xu, J. Fungi–nematode interactions: Diversity, ecology, and biocontrol prospects in agriculture. J. Fungi 2020, 6, 206. [Google Scholar] [CrossRef]
- Xiao, J.; Chen, C.; Fu, Z.; Wang, S.; Luo, F. Assessment of the Safety and Probiotic properties of Enterococcus faecium B13 Isolated from Fermented Chili. Microorganisms 2024, 12, 994. [Google Scholar] [CrossRef] [PubMed]
- Bhalla, T.C.; Savitri. Yeasts and traditional fermented foods and beverages. In Yeast Diversity in Human Welfare; Springer: Singapore, 2017; pp. 53–82. [Google Scholar]
- Vandana, U.K.; Rajkumari, J.; Singha, L.P.; Satish, L.; Alavilli, H.; Sudheer, P.D.; Chauhan, S.; Ratnala, R.; Satturu, V.; Mazumder, P.B.; et al. The endophytic microbiome as a hotspot of synergistic interactions, with prospects of plant growth promotion. Biology 2021, 10, 101. [Google Scholar] [CrossRef]
- Thangavel, M.; Mani, I.; Surendrababu, A.; Pandi, M. Diversity of endophytic mycobiota through metagenomic approach and bioprospecting the phytoconstituent. Adv. Chem. Res. 2023, 2, 1–12. [Google Scholar] [CrossRef]
- Adeleke, B.S.; Babalola, O.O. Roles of plant endosphere microbes in agriculture-a review. J. Plant Growth Regul. 2022, 41, 1411–1428. [Google Scholar] [CrossRef]








| Soil Nutrients | M. tinctoria | P. dulce |
|---|---|---|
| Nitrogen (mg kg−1) | 125 | 116 |
| Phosphorus (mg kg−1) | 6.4 | 5.01 |
| Potassium (mg kg−1) | 71 | 62 |
| Electrical conductivity (dS/m) | 0.74 | 0.74 |
| Organic carbon (mg L−1 C) | 2.43 | 7.93 |
| pH | 7.89 | 7.81 |
| Iron (mg kg−1) | 2.42 | 2.47 |
| Magnesium (mg kg−1) | 1.39 | 1.69 |
| Zinc (mg kg−1) | 1.65 | 1.42 |
| Copper (mg kg−1) | 1.69 | 1.61 |
| Boron (mg kg−1) | 0.36 | 0.37 |
Disclaimer/Publisher’s Note: The statements, opinions and data contained in all publications are solely those of the individual author(s) and contributor(s) and not of MDPI and/or the editor(s). MDPI and/or the editor(s) disclaim responsibility for any injury to people or property resulting from any ideas, methods, instructions or products referred to in the content. |
© 2025 by the authors. Licensee MDPI, Basel, Switzerland. This article is an open access article distributed under the terms and conditions of the Creative Commons Attribution (CC BY) license (https://creativecommons.org/licenses/by/4.0/).
Share and Cite
Sneha, M.J.X.; Mani, I.; Thangavel, M.; Kumar, S.S.; Rajapriya, P.; Ponnuraj, N.; Pandi, M. Exploration and Comparison of High-Throughput Sequencing Analysis of Endophytic Fungal Communities in Morinda tinctoria and Pithecellobium dulce. Microbiol. Res. 2025, 16, 237. https://doi.org/10.3390/microbiolres16110237
Sneha MJX, Mani I, Thangavel M, Kumar SS, Rajapriya P, Ponnuraj N, Pandi M. Exploration and Comparison of High-Throughput Sequencing Analysis of Endophytic Fungal Communities in Morinda tinctoria and Pithecellobium dulce. Microbiology Research. 2025; 16(11):237. https://doi.org/10.3390/microbiolres16110237
Chicago/Turabian StyleSneha, Michael Joe Xavier, Israel Mani, Myithili Thangavel, Senthuran Suresh Kumar, Pandy Rajapriya, Nagendraprabhu Ponnuraj, and Mohan Pandi. 2025. "Exploration and Comparison of High-Throughput Sequencing Analysis of Endophytic Fungal Communities in Morinda tinctoria and Pithecellobium dulce" Microbiology Research 16, no. 11: 237. https://doi.org/10.3390/microbiolres16110237
APA StyleSneha, M. J. X., Mani, I., Thangavel, M., Kumar, S. S., Rajapriya, P., Ponnuraj, N., & Pandi, M. (2025). Exploration and Comparison of High-Throughput Sequencing Analysis of Endophytic Fungal Communities in Morinda tinctoria and Pithecellobium dulce. Microbiology Research, 16(11), 237. https://doi.org/10.3390/microbiolres16110237

