Sign in to use this feature.

Years

Between: -

Subjects

remove_circle_outline
remove_circle_outline
remove_circle_outline
remove_circle_outline
remove_circle_outline
remove_circle_outline
remove_circle_outline
remove_circle_outline
remove_circle_outline

Journals

Article Types

Countries / Regions

Search Results (27)

Search Parameters:
Keywords = tailing silt

Order results
Result details
Results per page
Select all
Export citation of selected articles as:
17 pages, 4305 KB  
Article
Performance and Leaching Behavior of Hybrid Geopolymer–Cement Mortars Incorporating Copper Mine Tailings and Silt
by Dionella Jitka B. Quinagoran, James Albert Narvaez, Joy Marisol Maniaul, John Kenneth A. Cruz, Djoan Kate T. Tungpalan, Eduardo R. Magdaluyo and Karlo Leandro D. Baladad
Recycling 2026, 11(1), 20; https://doi.org/10.3390/recycling11010020 - 16 Jan 2026
Viewed by 244
Abstract
Mine waste remains a persistent challenge for the minerals industry, posing significant environmental concerns if not properly managed. The 1996 Marcopper Mining Disaster in Marinduque, Philippines, left a legacy of mine tailings that continue to threaten local ecosystems and communities. This study investigates [...] Read more.
Mine waste remains a persistent challenge for the minerals industry, posing significant environmental concerns if not properly managed. The 1996 Marcopper Mining Disaster in Marinduque, Philippines, left a legacy of mine tailings that continue to threaten local ecosystems and communities. This study investigates the valorization and stabilization of Marcopper river sediments laden with mine tailings using a combined geopolymerization and cement hydration approach. Hybrid mortar samples were prepared with 7.5%, 15%, 22.5%, and 30% mine tailings by weight, utilizing potassium hydroxide (KOH) as an alkaline activator at concentrations of 1 M and 3 M, combined with Ordinary Portland Cement (OPC). The mechanical properties of the hybrid geopolymer cement mortars were assessed via unconfined compression tests, and their crystalline structure, phase composition, surface morphology, and chemical bonding were also analyzed. Static leaching tests were performed to evaluate heavy metal mobility in the geopolymer matrix. The compression tests yielded strength values ranging from 24.22 MPa to 53.99 MPa, meeting ASTM C150 strength requirements. In addition, leaching tests confirmed the effective encapsulation and immobilization of heavy metals, demonstrating the potential of this method for mitigating the environmental risks associated with mine tailings. Full article
Show Figures

Graphical abstract

23 pages, 5185 KB  
Article
Comparative Analysis of the NorSand and HS Small Constitutive Models for Evaluating Static Liquefaction in a Silt Derived from Mine Tailings
by Matias Muñoz-Gaete, Ricardo Gallardo, Edison Atencio, Ricardo Moffat, Pablo F. Parra, Carlos Cacciuttolo and William Araujo
Appl. Sci. 2025, 15(15), 8726; https://doi.org/10.3390/app15158726 - 7 Aug 2025
Cited by 2 | Viewed by 1856
Abstract
The representation and assessment of static liquefaction in mine tailings is a significant challenge due to the severe environmental and social damage it can cause. This phenomenon, known for its catastrophic nature, is triggered when the undrained shear strength is exceeded by a [...] Read more.
The representation and assessment of static liquefaction in mine tailings is a significant challenge due to the severe environmental and social damage it can cause. This phenomenon, known for its catastrophic nature, is triggered when the undrained shear strength is exceeded by a static loading stress. In this study, the constitutive models HSS and NS were evaluated to calibrate the experimental curves from an isotropically consolidated undrained (CIU) triaxial test on a low-plasticity silt derived from mine tailings. An axisymmetric model was developed in Plaxis 2D for calibration, followed by a sensitivity analysis of the parameters of both constitutive models, using the RMSE to validate their accuracy. The results indicate that the proposed methodology adequately simulates the experimental curves, achieving an RMSE of 8%. After calibration, a numerical model was implemented to evaluate the propagation of the PFS of a mine tailings storage facility using both models, in terms of excess pore pressures, shear strains, and p’-q diagrams at three control points. The results show that both models are capable of representing the PFS; however, the HSS model reproduces the experimental curves more accurately, establishing itself as an ideal tool for simulating undrained behavior and, consequently, the phenomenon of static liquefaction in mine tailings. Full article
(This article belongs to the Special Issue Mining Engineering: Present and Future Prospectives)
Show Figures

Figure 1

15 pages, 1939 KB  
Article
Tailings Reuse in Low-Permeability Reactive Geochemical Barriers
by Roberto Rodríguez-Pacheco, Joanna Butlanska and Aldo Onel Oliva-González
Processes 2025, 13(6), 1870; https://doi.org/10.3390/pr13061870 - 13 Jun 2025
Viewed by 618
Abstract
This paper presents the physical, hydrogeological, and geochemical characterizations of two types of tailings: one from the nickel–cobalt (Ni–Co) and the other from the lead–zinc (Pb–Zn) industries. The study is restricted only to Ni and Zn ions behavior. The mineralogical composition of the [...] Read more.
This paper presents the physical, hydrogeological, and geochemical characterizations of two types of tailings: one from the nickel–cobalt (Ni–Co) and the other from the lead–zinc (Pb–Zn) industries. The study is restricted only to Ni and Zn ions behavior. The mineralogical composition of the studied tailings is primarily composed of oxides and hydroxides of iron, aluminum, and silica. Based on their grain size, these wastes are geotechnically classified as low plasticity silts, with permeability ranging from 10−8 m/s to less than 10−9 m/s. Batch and column flow tests, along with metal transport tests using heavy metal-contaminated wastewater, reveal that these tailings have an adsorption capacity for metals such as nickel (Ni) and zinc (Zn) ranging from 2000 to 6000 mg/kg of solid. This high adsorption capacity surpasses that of many clayey soils used for sealing municipal, industrial, mining, and metallurgical waste deposits. Additionally, these wastes can neutralize the acidity of wastewater. The results indicate that the mineralogical composition and pH of these tailings are key factors determining their adsorption characteristics and mechanisms. Due to their characteristics, these tailings could be evaluated for use as low-permeability reactive geochemical barriers (LPRGB) in the conditioning of repositories for the storage of industrial, urban, mining and metallurgical waste. This would allow large volumes of tailings to be repurposed effectively. Full article
Show Figures

Figure 1

24 pages, 4411 KB  
Article
Characterization of Historical Tailings Dam Materials for Li-Sn Recovery and Potential Use in Silicate Products—A Case Study of the Bielatal Tailings Dam, Eastern Erzgebirge, Saxony, Germany
by Kofi Moro, Nils Hoth, Marco Roscher, Fabian Kaulfuss, Johanes Maria Vianney and Carsten Drebenstedt
Sustainability 2025, 17(10), 4469; https://doi.org/10.3390/su17104469 - 14 May 2025
Cited by 3 | Viewed by 1708
Abstract
The characterization of historical tailings bodies is crucial for optimizing environmental management and resource recovery efforts. This study investigated the Bielatal tailings dam (Altenberg, Germany), examining its internal structure, material distribution influenced by historical flushing technology, and the spatial distribution of valuable elements. [...] Read more.
The characterization of historical tailings bodies is crucial for optimizing environmental management and resource recovery efforts. This study investigated the Bielatal tailings dam (Altenberg, Germany), examining its internal structure, material distribution influenced by historical flushing technology, and the spatial distribution of valuable elements. To evaluate the tailings resource potential, drill core sampling was conducted at multiple points at a depth of 7 m. Subsequent analyses included geochemical characterization using sodium peroxide fusion, lithium borate fusion, X-ray fluorescence (XRF), and a scanning electron microscope with energy dispersive X-ray spectroscopy (SEM-EDX). Particle size distribution analysis via a laser particle size analyzer and wet sieving was conducted alongside milieu parameter (pH, Eh, EC) analysis. A theoretical assessment of the tailings’ potential for geopolymer applications was conducted by comparing them with other tailings used in geopolymer research and relevant European standards. The results indicated average concentrations of lithium (Li) of 0.1 wt%, primarily hosted in Li-mica phases, and concentrations of tin (Sn) of 0.12 wt%, predominantly occurring in cassiterite. Particle size analysis revealed that the tailings material is generally fine-grained, comprising approximately 60% silt, 32% fine sand, and 8% clay. These textural characteristics influenced the spatial distribution of elements, with Li and Sn enriched in fine-grained fractions predominantly concentrated in the dam’s central and western sections, while coarser material accumulated near injection points. Historical advancements in mineral processing, particularly flotation, had significantly influenced Sn distribution, with deeper layers showing higher Sn enrichment, except for the final operational years, which also exhibited elevated Sn concentrations. Due to the limitations of X-ray fluorescence (XRF) in detecting Li, a strong correlation between rubidium (Rb) and Li was established, allowing Li quantification via Rb measurements across varying particle sizes, redox conditions, and geological settings. This demonstrated that Rb can serve as a reliable proxy for Li quantification in diverse contexts. Geochemical and mineralogical analyses revealed a composition dominated by quartz, mica, topaz, and alkali feldspars. The weakly acidic to neutral conditions (pH 5.9–7.7) and reducing redox potential (Eh, 570 to 45 mV) of the tailings material indicated a minimal risk of acid mine drainage. Preliminary investigations into using Altenberg tailings as geopolymer materials suggested that their silicon-rich composition could serve as a substitute for coal fly ash in construction; however, pre-treatment would be needed to enhance reactivity. This study underscores the dual potential of tailings for element recovery and sustainable construction, emphasizing the importance of understanding historical processing techniques for informed resource utilization. Full article
(This article belongs to the Special Issue Geological Engineering and Sustainable Environment)
Show Figures

Figure 1

26 pages, 13387 KB  
Article
Three-Dimensional Groundwater and Geochemical Reactive Transport Modeling to Assess Reclamation Techniques at the Quémont 2 Mine, Rouyn-Noranda, Canada
by Mohamed Jalal El Hamidi, Abdelkabir Maqsoud, Tikou Belem and Marie-Elise Viger
Water 2025, 17(8), 1191; https://doi.org/10.3390/w17081191 - 15 Apr 2025
Viewed by 1528
Abstract
Many countries employ mining and ore processing techniques to concentrate and extract precious natural resources. However, the slow leaching of numerous dissolved elements and compounds from large quantities of waste rock and mine tailings can significantly threaten groundwater quality in the affected region. [...] Read more.
Many countries employ mining and ore processing techniques to concentrate and extract precious natural resources. However, the slow leaching of numerous dissolved elements and compounds from large quantities of waste rock and mine tailings can significantly threaten groundwater quality in the affected region. When exposed to oxygen and water, sulfide minerals in mine tailing oxidize, potentially forming acid mine drainage (AMD). Various reclamation techniques can inhibit AMD generation, including monolayer cover combined with an elevated water table (EWT), hydraulic barrier, and cover with capillary barrier effect (CCBE). Selecting the most suitable technique requires consideration of site-specific hydrogeological conditions (e.g., water table depth) and available cover materials. Numerical modeling tools such as PHT3D and MT3D can help identify optimal reclamation methods during preliminary planning stages. The 119-hectare Quémont 2 mine site near Rouyn-Noranda city will undergo reclamation following the closure of its tailings storage facilities (TSF). A three-dimensional numerical groundwater and solute-transport model were constructed and calibrated to simulate the site’s hydrogeological behavior post-closure, enabling selection of the most effective AMD control technique. Subsequently, a three-dimensional multicomponent reactive transport model incorporating various cover designs was developed, with simulations considering climate change impacts. The PHT3D model code, which integrates the PHREEQC geochemical model with the MT3D three-dimensional transport simulator, was employed to evaluate cover performance on the Quémont 2 TSF. Four reclamation configurations were tested: Cell #1 (80 cm single-layer clay cover), Cell #2 (60 cm single-layer clay-sand cover), Cell #3 (60 cm single-layer clay-silt cover), and Cell #4 (120 cm multilayer clay-sand-clay sequence). Simulations were conducted under various climate change scenarios (Representative Concentration Pathways—RCPs 2.6, 4.5, and 8.5). This paper describes the numerical model, cover materials, and modeling results both with and without covers. Results indicate that Cells #1 and #4, completely reduced sulfate in groundwater, suggesting these configurations would provide the most effective reclamation solutions for the Quémont 2 mine site. Full article
Show Figures

Figure 1

20 pages, 4706 KB  
Article
A SMA-SVM-Based Prediction Model for the Tailings Discharge Volume After Tailings Dam Failure
by Gaolin Liu, Bing Zhao, Xiangyun Kong, Yingming Xin, Mingqiang Wang and Yonggang Zhang
Water 2025, 17(4), 604; https://doi.org/10.3390/w17040604 - 19 Feb 2025
Cited by 2 | Viewed by 1335
Abstract
Tailings ponds can recycle water resources through the water recirculation system by clarifying and purifying the wastewater discharged from the mining production process. Due to factors such as flooding and heavy rainfall, once a tailings dams burst, the spread of heavy metals in [...] Read more.
Tailings ponds can recycle water resources through the water recirculation system by clarifying and purifying the wastewater discharged from the mining production process. Due to factors such as flooding and heavy rainfall, once a tailings dams burst, the spread of heavy metals in the tailings causes underground and surface water pollution, endangering the lives and properties of people downstream. To effectively assess the potential impact of tailings dams bursting, many problems such as the difficulty of taking values in predicting the volume of silt penetration through empirical formulae, model testing, and numerical simulation need to be solved. In this study, 65 engineering cases were collected to develop a sample dataset containing dam height and storage capacity. The Support Vector Machine (SVM) algorithm was used to develop a nonlinear regression model for tailings discharge volume after tailings dam failure. In addition, the model penalty parameter C and kernel function g were optimized using the powerful global search capability of the Slime Mold Algorithm (SMA) to develop an SMA–SVM prediction model for tailings discharge volume. The results indicate that the volume of tailings discharged increases nonlinearly with increasing dam height and tailings storage capacity. The SMA-SVM model showed higher prediction accuracy compared to the predictions made by the Random Forest (RF), Radial Basis Function (RBF), and Least Squares SVM (LS-SVM) algorithms. The average absolute error in tailings discharge volume compared to actual values was 30,000 m3, with an average relative error of less than 25%. This is very close to practical engineering scenarios. The ability of the SMA-SVM optimization algorithm to produce predictions with minimal error relative to actual values was further confirmed by the combination of numerical simulations. In addition, the numerical simulations revealed the flow characteristics and inundation area of the discharged sediment during tailings dam failure, and the research results can provide reference for water resource protection and downstream safety prevention and control of tailings ponds. Full article
(This article belongs to the Section Hydraulics and Hydrodynamics)
Show Figures

Figure 1

21 pages, 4888 KB  
Article
Evaluating Consolidation Behaviors in High Water Content Oil Sands Tailings Using a Centrifuge
by Mahmoud Ahmed, Nicholas A. Beier and Heather Kaminsky
Geotechnics 2025, 5(1), 3; https://doi.org/10.3390/geotechnics5010003 - 7 Jan 2025
Cited by 1 | Viewed by 1841
Abstract
The composition of oil sands tailings is a complex mixture of water, fine clay, sand, silt, and residual bitumen that remains after the extraction of bitumen. Effective tailings disposal management requires an understanding of the mechanisms controlling water movement, surface settlement rates and [...] Read more.
The composition of oil sands tailings is a complex mixture of water, fine clay, sand, silt, and residual bitumen that remains after the extraction of bitumen. Effective tailings disposal management requires an understanding of the mechanisms controlling water movement, surface settlement rates and extents (hydraulic conductivity and compressibility), and strength variation with depth. This investigation examines the self-weight consolidation behavior of oil sands tailings, typically assessed by utilizing large strain consolidation (LSC) methods such as the multi-step large strain consolidation (MLSC) test and seepage-induced consolidation test (SICT). These methods, however, are time consuming and often take weeks or years to complete. As an alternative, centrifuge testing, including both geotechnical beam type and benchtop devices, was utilized to evaluate the consolidation behaviors of three untreated high water content oil sands tailing slurries: two high-plasticity fluid fine tailing (FFT) samples and one low plasticity FFT. The centrifuge-derived compressibility data closely matched the LSC testing compressibility data within the centrifuge stress range. However, the hydraulic conductivity obtained from centrifuge testing was up to an order of magnitude higher than the LSC test results. Comparing centrifuge and large strain modeling results indicates that centrifuge test data demonstrate average void ratios 10–33% lower than those predicted by simulations using LSC parameters, highlighting a notable deviation. To examine the scale effect on result accuracy, validation tests indicated that the benchtop centrifuge (BTC) yielded comparable results to the geotechnical beam centrifuge (GBC) for the same prototype, saving time, resources, and sample volumes in the assessment of tailings consolidation behavior. These tests concluded that the small radius of the benchtop centrifuge had a minimal impact on the results. Full article
Show Figures

Figure 1

23 pages, 15251 KB  
Article
Strength Properties and Microscopic Experimental Study of Modified Sawdust Based on Solid Waste Synergistic Utilization
by Yu Cheng, Na Jiang, Wentong Wang and Lu Jin
Materials 2024, 17(23), 5808; https://doi.org/10.3390/ma17235808 - 27 Nov 2024
Viewed by 1264
Abstract
Sawdust is the cutting tailings produced during stone processing, which is difficult to deal with and has a huge stock. Therefore, it is particularly important to enhance the comprehensive utilization of sawdust. The aim of this study was to synergistically utilize sawdust with [...] Read more.
Sawdust is the cutting tailings produced during stone processing, which is difficult to deal with and has a huge stock. Therefore, it is particularly important to enhance the comprehensive utilization of sawdust. The aim of this study was to synergistically utilize sawdust with other industrial wastes (fly ash, silt, and red mud), add cement as a curing agent to prepare modified sawdust, and analyze its performance through an unconfined compressive strength test, dry and wet cycle tests, and SEM. The results showed that the compressive strength of modified sawdust with different solid waste dosages was more than 2.5 MPa after 7 days of maintenance, the strength was basically more than 4 MPa after 28 days of maintenance, and 8% solid waste dosage had the best effect. In addition, the modified saw mud with 8% fly-ash dosage had superior wet and dry cycle resistance, with expansion and shrinkage lower than 0.5% and good stability. This study provides a new idea for the synergistic utilization of saw mud and other solid wastes, and it is recommended to consider 8% solid waste dosage to optimize the performance in practical applications. Full article
Show Figures

Figure 1

13 pages, 4902 KB  
Article
Granular Soils and Contaminant Modeling in Tailing Dams
by Hadi Farhadian, Behshad Jodeiri Shokri and Ali Mirzaghorbanali
Minerals 2024, 14(11), 1134; https://doi.org/10.3390/min14111134 - 9 Nov 2024
Cited by 2 | Viewed by 1259
Abstract
The granular soils of tailings, encompassing clay, gravel, sand, and silt, play a pivotal role in the behavior and stability of tailings dams. Different types of granular soils significantly influence the tailings material’s strength, compressibility, and permeability. This study highlights the importance of [...] Read more.
The granular soils of tailings, encompassing clay, gravel, sand, and silt, play a pivotal role in the behavior and stability of tailings dams. Different types of granular soils significantly influence the tailings material’s strength, compressibility, and permeability. This study highlights the importance of understanding the relationship between soil types and contaminant properties when analyzing solute transport through numerical modeling. Consequently, various soil types were incorporated into the initial tailings dam model to simulate contaminant transport based on solute transport analysis. The findings underscored the essential role of granular soils in contaminant dispersion within tailings dams. Finer particles, such as clay and silt, demonstrated higher adsorption capacities, which slow contaminant movement. In contrast, coarser materials, like sand and gravel, enable faster transport, increasing the potential for rapid dispersion. Full article
Show Figures

Figure 1

18 pages, 8255 KB  
Article
Analysis of Liquefaction in Tailings Deposits by Fem Modeling of Undrained Cyclic Triaxial
by Alan Reyes, Joaquín Bravo, Ricardo Gallardo-Sepúlveda, Jorge Eduardo Oviedo-Veas and Edgar Giovanny Díaz-Segura
Minerals 2024, 14(10), 991; https://doi.org/10.3390/min14100991 - 30 Sep 2024
Cited by 1 | Viewed by 2241
Abstract
In this article, a numerical calibration procedure for undrained cyclic triaxial tests is presented to evaluate the liquefaction potential in sand and silt samples from mining tailings in northern Chile. The numerical modeling of an axisymmetric specimen involved two stages: isotropic consolidation using [...] Read more.
In this article, a numerical calibration procedure for undrained cyclic triaxial tests is presented to evaluate the liquefaction potential in sand and silt samples from mining tailings in northern Chile. The numerical modeling of an axisymmetric specimen involved two stages: isotropic consolidation using the Hardening Soil Small (HSS) model and a cycling phase employing the UBC3D-PLM model to simulate the onset of liquefaction using the criterion that the excess pore pressure ratio Ru should exceed 0.8. The results demonstrate that the UBC3D-PLM modeling calibrated with experimental data from cyclic triaxial tests effectively represents the excess pore pressure in both sandy and silty soils from mining tailings. The accuracy of the modeling decreases when a single set of parameters is applied to the same soil at different cyclic stress ratios (CSR), highlighting the need for specific calibrations for each loading. Full article
Show Figures

Figure 1

13 pages, 6480 KB  
Article
On the Behavior of Bauxite Tailings under a Wide Range of Stresses
by Rosanne Rodrigues Santos Maciel Gonçalves, Matheus de Rezende Dutra, Bruna Zakharia Hoch, Hugo Carlos Scheuermann Filho, Fernando Schnaid and Lucas Festugato
Mining 2024, 4(3), 629-641; https://doi.org/10.3390/mining4030035 - 31 Aug 2024
Viewed by 1427
Abstract
Despite its vital importance to the contemporary economy, some drawbacks are mainly associated with waste derived from mining activity. This waste consists of tailings that are hydraulically disposed of in large impoundments, the tailings dams. As the dams are enlarged to accommodate higher [...] Read more.
Despite its vital importance to the contemporary economy, some drawbacks are mainly associated with waste derived from mining activity. This waste consists of tailings that are hydraulically disposed of in large impoundments, the tailings dams. As the dams are enlarged to accommodate higher amounts of materials, the stress states at which the deposited tailings are submitted change. This may be a concern for the stability of such structures once the geotechnical behavior of this material may be complex and challenging to predict, considering the existing approaches. Thus, the present study concerns the mechanical response of bauxite tailings under a wide span of stresses, ranging from 25 kPa to 4000 kPa. One-dimensional compression tests and isotropically drained and undrained triaxial tests were carried out on intact and remolded samples of the bauxite tailings. The after-shearing grain size distribution was characterized via sedimentation analysis. The results have shown a stress-dependency of the critical state friction angle for the intact material, which may be related to fabric alterations derived from structure deterioration and particle breakage. Overall, this research provides valuable insights into the response of structured and de-structured bauxite tailings, which are helpful for future constitutive modeling of such material. Full article
Show Figures

Figure 1

11 pages, 8288 KB  
Technical Note
Measuring the In Situ Density and Moisture Content of Filtered Tailings Using an Electrical Density Gauge
by Yawu Liang, Nicholas Beier, Justin Bieber and Prempeh Owusu
Minerals 2024, 14(3), 231; https://doi.org/10.3390/min14030231 - 25 Feb 2024
Cited by 1 | Viewed by 2157
Abstract
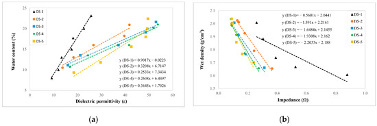
Due to the logistical challenges associated with using nuclear densitometers at remote sites, the industry is seeking an alternative method to determine the in situ density and moisture content during the construction of filtered tailings facilities. This study aims to investigate the impact [...] Read more.
Due to the logistical challenges associated with using nuclear densitometers at remote sites, the industry is seeking an alternative method to determine the in situ density and moisture content during the construction of filtered tailings facilities. This study aims to investigate the impact of salinity on soil electrical properties and evaluate the feasibility of using an electrical density gauge (EDG) to measure the in situ density and moisture content of saline filtered tailings. The results indicate a dependence of electrical measurements on salinity. To develop procedures for soil calibration models of filtered tailings, standard Proctor tests were first conducted using Devon silt. These procedures were then applied to the filtered tailings to establish correlations between electrical properties (dielectric constant, impedance, capacitance-to-resistance ratio) and physical properties (density and moisture content) at varying salinities. It is suggested to build the soil calibration model using an EDG within a water content range of 10% to 18%. Furthermore, the effectiveness of the developed calibration models has been validated, demonstrating the applicability of the EDG instrument for filtered tailings in a saline environment. However, applying the salinity correction is crucial when the sample has a considerably different salinity than the calibration model. Full article
(This article belongs to the Section Environmental Mineralogy and Biogeochemistry)
Show Figures

Figure 1

16 pages, 5669 KB  
Article
Lab Investigation Using a Box Model and Image Analysis of a Contaminant Back-Diffusion Process from Low-Permeability Layers
by Paolo Viotti, Antonella Luciano, Giuseppe Mancini and Fabio Tatti
Sustainability 2023, 15(24), 16950; https://doi.org/10.3390/su152416950 - 18 Dec 2023
Cited by 1 | Viewed by 1784
Abstract
Contaminants stored in low-permeability soils can continue to threaten the adjacent groundwater system even after the aquifer is considered remediated. The redistribution of contaminants from low-to-high-permeability aquifer zones (Back-Diffusion) can generate a long-term plume tail, commonly considered one of the main obstacles to [...] Read more.
Contaminants stored in low-permeability soils can continue to threaten the adjacent groundwater system even after the aquifer is considered remediated. The redistribution of contaminants from low-to-high-permeability aquifer zones (Back-Diffusion) can generate a long-term plume tail, commonly considered one of the main obstacles to effective groundwater remediation. In this paper, a laboratory test was performed to reproduce the redistribution process from low-permeability silt lenses (k ≈ 1 × 10−7 m/s) to high-permeability sand aquifers (k ≈ 1 × 10−3 m/s). The target of the experimental and numerical approach was finalized to verify what influence the shape and position of the lenses could have, with respect to the bulk flow, on the time necessary to complete the depletion of the dissolved substances present in the lenses. For this purpose, an image analysis procedure was used to estimate the diffusive flux of contaminants released by these low-permeability zones in different boundary conditions. The results obtained in the laboratory test were used to calibrate a numerical model implemented to simulate the Back-Diffusion process. Once calibrated, the numerical model was used to simulate further scenarios to evaluate the influence of the location and shape of the low-permeability lenses on the time necessary to diminish its contaminant content when subjected to a steady-state flow. The numerical model was also used to investigate the effect of different groundwater velocities on the depletion time of the process. The results show that the shape and position of the lens have an important impact on the time necessary to empty the lens, and an increase in the velocity field in the bulk medium (flow rate rising from 1.6 l/h to 2.5 l/h) does not correspond to diminishing total depletion times, as the process is mainly governed by diffusive transport inside the lens. This appears to be significant when the remediation approach relies on pumping technology. Future research will verify the behavior of the released plume in a strongly heterogeneous porous medium. Full article
(This article belongs to the Special Issue Groundwater Systems and Pollution)
Show Figures

Figure 1

12 pages, 1651 KB  
Article
Compressive Stress Dewaterability Limit in Fluid Fine Tailings
by Alebachew Demoz
Minerals 2023, 13(12), 1514; https://doi.org/10.3390/min13121514 - 2 Dec 2023
Cited by 4 | Viewed by 1579
Abstract
Reclamation of fluid fine tailing (FFT) storage facilities to their pre-disturbance equivalent landforms is hampered because micrometer size fines, whose surface-area-to-volume ratio is remarkably high, are occupied with siloxane and hydroxy groups, which bind water strongly. The purpose of this study is to [...] Read more.
Reclamation of fluid fine tailing (FFT) storage facilities to their pre-disturbance equivalent landforms is hampered because micrometer size fines, whose surface-area-to-volume ratio is remarkably high, are occupied with siloxane and hydroxy groups, which bind water strongly. The purpose of this study is to differentiate the forms of water physically distributions in FFT and determine their propensities for dewaterability under compressive stresses. Two thermal and two mechanical methods were used to analyze water distributions in FFT. Dynamic and isothermal thermogravimetric analyses of FFT gave a transition from predominately bulk water to coevolution with water of higher enthalpy of vaporization at 81% (w/w) solids. Differential scanning calorimeter studies were used to determine the non-freezable water amount, with the premise that water that does not freeze by −30 °C is also unlikely to be removable by compressive stresses encountered in tailing treatment processes. The solid weight percent of FFTs with the non-freezable water was 79.6%. A 1D finite-strain model simulation using the constitutive relations of void ratio and effective stress, void ratio, and hydraulic conductivity show that deep-pits filled with such clayey-silt FFT will consolidate to a maximum solids content of 74% (w/w). For separation by centrifugation, the solids content plateaued to a mean of 74% (w/w) for total centrifugal force of ≥30 mega Newtons. These solid contents represent upper thresholds and demonstrate dewatering limit property of an FFT under compressive stresses. Full article
Show Figures

Figure 1

15 pages, 10256 KB  
Article
Analysis of the Dynamic Stability of Tailing Dams: An Experimental Study on the Dynamic Characteristics of Tailing Silt
by Fuqi Kang, Guangjin Wang, Yaoji Li, Binting Cai, Shujian Li, Lei Zhao and Xiaoshuang Li
Appl. Sci. 2023, 13(9), 5250; https://doi.org/10.3390/app13095250 - 22 Apr 2023
Cited by 3 | Viewed by 3066
Abstract
With the improvement in tailing mining-grade requirements and in mineral processing technology, tailing materials tend to be fine-grained. Under the action of earthquakes, a tailing dam is prone to liquefaction, which endangers the safety and stability of the dam. To further explore the [...] Read more.
With the improvement in tailing mining-grade requirements and in mineral processing technology, tailing materials tend to be fine-grained. Under the action of earthquakes, a tailing dam is prone to liquefaction, which endangers the safety and stability of the dam. To further explore the dynamic properties of tailing silt under cyclic stress, through a series of dynamic triaxial experiments, we investigated the growth of the hysteresis curve, the development of pore pressure, and the energy dissipation law of tailing silt. The experimental findings indicated that increasing the density of the sample significantly improves its liquefaction resistance and the pore pressure development curve can be fitted using the BiDoseResp function. At the same cyclic stress ratio, the sample’s anti-liquefaction strength did not rise monotonically with increasing confining pressure but changed variably at values near a specified low confining pressure; when the sample density rose under the same settings, the specific confining pressure reduced. We also further discussed the evolution law of the stress–strain curves of tailing silt. The results further explored the dynamic characteristics of tailing silt, which can provide some reference for the seismic design and reinforcement measures of many fine-grained tailing dams. Full article
Show Figures

Figure 1

Back to TopTop