Strength Properties and Microscopic Experimental Study of Modified Sawdust Based on Solid Waste Synergistic Utilization
Highlights
- Research on the synergistic utilization of sawdust and other solid wastes using sawdust as the main raw material.
- Comparative study of the strength and wet/dry cycle resistance of different modified sawdust.
- Micro-analysis of modified sawdust with different solid waste admixtures.
- Derived the optimal mixing ratio of modified sawdust.
Abstract
1. Introduction
2. Test Materials and Methods
2.1. Raw Materials
2.1.1. Sawing Mud
2.1.2. Cement
2.1.3. Fly Ash, Silt, and Red Mud
2.2. Experimental Design
2.3. Sample Preparation
2.4. Test Methods
- (1)
- Unconfined compressive strength test
- (2)
- Expansion and contraction tests
- (3)
- Dry and wet cycle test
- (4)
- SEM-EDS test
3. Results and Discussion
3.1. Strength Performance Analysis of Modified Saw Muds
3.1.1. Comparison of Strengths After Different Numbers of Maintenance Days Under the Same Mixing Ratio
3.1.2. Comparison of Strengths of Different Mixing Ratios Under the Same Number of Maintenance Days
3.1.3. Comparison of Strengths Before and After Water Immersion
3.2. Analysis of Strength Properties of Modified Saw Muds After Dry and Wet Cycle Action
3.2.1. Strength Effect of Fly Ash Dosage After Dry and Wet Cycling
3.2.2. Strength Effect of Silt Admixture After Wet and Dry Cycling
3.2.3. Strength Effect of Red Mud Dosage After Wet and Dry Cycling
3.2.4. Comprehensive Comparison of the Strengths of Different Materials After Wet and Dry Cycling
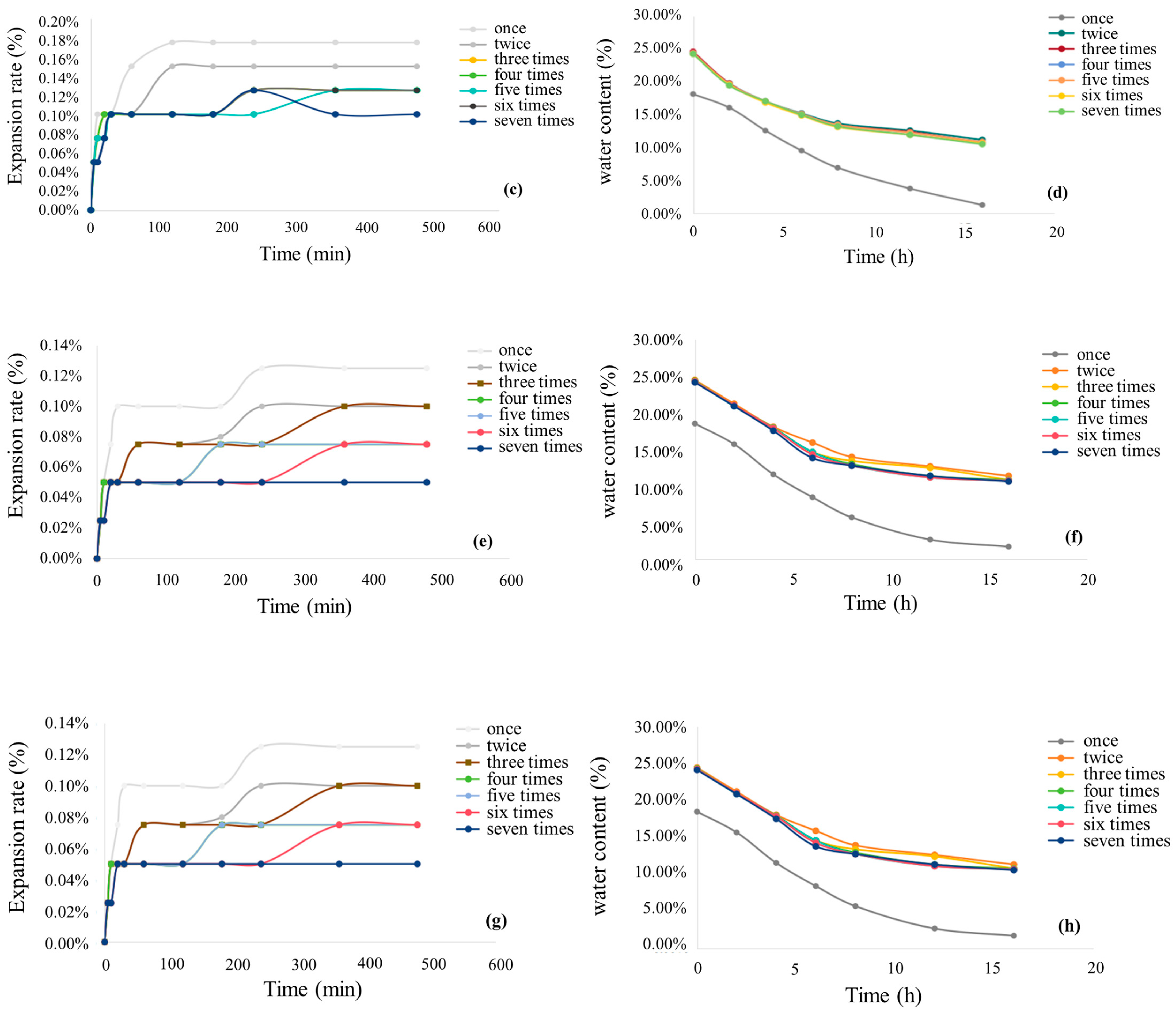
3.3. Analysis of Expansion and Contraction Characteristics of Modified Saw Muds
3.4. Expansion and Contraction Characterization of Modified Saw Muds After Dry and Wet Cycling Effects
3.5. Analysis of SEM-EDS Test Results
3.5.1. Microstructures of Modified Saw Muds
3.5.2. Microstructures of Modified Saw Muds After Wet and Dry Cycles
4. Conclusions
- (1)
- The strength of modified sawdust after 7 days of maintenance met the requirements of the strength standard of pavement subgrade, in which the modified sawdust with 6% fly ash dosing performed the best. In addition, the strength was high when 8% solid waste was added, while 10% dosing resulted in lower strength. SEM tests showed that with increasing maintenance time, the pore space was reduced, the C-S-H gel and crystal structure increased, the strength was improved, and the needlelike organization was positively correlated with the strength.
- (2)
- In the dry and wet cycle stage, the specimens with 8% fly ash dosing showed good resistance to dry and wet, and the strength continued to increase. The strengths of the modified sawdusts with 3% and 10% solid waste dosing was lower than that of the modified sawdust without solid waste dosing after dry and wet cycles, and the resistance to dry and wet was poor.
- (3)
- The expansion and shrinkage of the modified saw muds were lower than 0.5%, showing good volume stability. After the first dry and wet cycle, the shrinkage of the modified sawdust decreased significantly, with little change in subsequent cycles. The expansion rate gradually decreased with increasing numbers of cycles.
- (4)
- Under the condition that the cement doping was fixed at 6%, the modified sawdust with the MCF-6 proportion (sawdust–cement–fly ash = 88:6:6) had the best performance, and its strength was sufficient to meet the demand of road subgrade and part of the base layer. At the same time, the modified sawdust mixed with 8% solid waste (sawdust–cement–solid waste = 86:6:8) also showed good performance.
- (5)
- The direction of future development can focus on further optimizing the amount of solid wastes and the mixing ratio in order to prepare higher-performance modified sawdust. At the same time, an in-depth study of the long-term stability of modified sawdust under different environmental conditions after solid waste incorporation will help to improve the application range and economic benefits of modified sawdust. In addition, exploring the application potential of more types of solid wastes in modified sawdust, as well as their impact on the environment, is an important part of future research. Through these studies, industrial by-products can be better utilized to promote sustainable development and provide more economical and environmentally friendly material options for road construction.
Author Contributions
Funding
Data Availability Statement
Conflicts of Interest
References
- Ghani, A.; Khan, F.A.; Khan, S.W.; Haq, I.U.; Li, D.; Khan, D.; Qureshi, Q.B.A.I.L. Experimental Study on the Mechanical Behavior of Concrete Incorporating Fly Ash and Marble Powder Waste. Sci. Rep. 2024, 14, 19147. [Google Scholar] [CrossRef]
- Jain, K.L.; Sancheti, G.; Gupta, L.K. Durability Performance of Waste Granite and Glass Powder Added Concrete. Constr. Build. Mater. 2020, 252, 119075. [Google Scholar] [CrossRef]
- Lozano-Lunar, A.; Dubchenko, I.; Bashynskyi, S.; Rodero, A.; Fernández, J.M.; Jiménez, J.R. Performance of Self-Compacting Mortars with Granite Sludge as Aggregate. Constr. Build. Mater. 2020, 251, 118998. [Google Scholar] [CrossRef]
- Yang, H.; Zhang, W.; Zhu, Y.; Shao, Y.; Shao, Y.; Zhang, X. Preparation and Characterisation of Sodium Nitrate/Stone-Sawing Mud Shape-Stabilized Phase Change Materials for Medium-High Temperature Thermal Energy Storage. J. Energy Storage 2022, 56, 106047. [Google Scholar] [CrossRef]
- Tušar, M.; Kakar, M.R.; Poulikakos, L.D.; Pasquini, E.; Baliello, A.; Pasetto, M.; Porot, L.; Wang, D.; Cannone Falchetto, A.; Dalmazzo, D.; et al. RILEM TC 279 WMR Round Robin Study on Waste Polyethylene Modified Bituminous Binders: Advantages and Challenges. Road Mater. Pavement Des. 2023, 24, 311–339. [Google Scholar] [CrossRef]
- Riccardi, C.; Indacoechea, I.; Wang, D.; Lastra-González, P.; Cannone Falchetto, A.; Castro-Fresno, D. Low Temperature Performances of Fiber-Reinforced Asphalt Mixtures for Surface, Binder, and Base Layers. Cold Reg. Sci. Technol. 2023, 206, 103738. [Google Scholar] [CrossRef]
- Riccardi, C.; Wang, D.; Wistuba, M.P.; Walther, A. Effects of Polyacrylonitrile Fibres and High Content of RAP on Mechanical Properties of Asphalt Mixtures in Binder and Base Layers. Road Mater. Pavement Des. 2023, 24, 2133–2155. [Google Scholar] [CrossRef]
- Wang, Z.; Li, H.; Huang, F.; Yang, Z.; Wen, J.; Yi, Z. Bond Properties between Railway High-Strength Manufactured Sand Concrete and Steel Bars. Constr. Build. Mater. 2024, 416, 135179. [Google Scholar] [CrossRef]
- Vikas, K.; Ramana, G.V. Viability of Bulk Utilization of Granite Sludge Powder (GSP) to Enhance the Geotechnical Behavior of Expansive Soil. Mater. Today Proc. 2023, 12, S2214785323025026. [Google Scholar] [CrossRef]
- Amani, A.; Babazadeh, A.; Sabohanian, A.; Khalilianpoor, A. Mechanical Properties of Concrete Pavements Containing Combinations of Waste Marble and Granite Powders. Int. J. Pavement Eng. 2021, 22, 1531–1540. [Google Scholar] [CrossRef]
- Zhao, X.; Sheng, Y.; Lv, H.; Jia, H.; Liu, Q.; Ji, X.; Xiong, R.; Meng, J. Laboratory Investigation on Road Performances of Asphalt Mixtures Using Steel Slag and Granite as Aggregate. Constr. Build. Mater. 2022, 315, 125655. [Google Scholar] [CrossRef]
- Akbulut, Z.F.; Yavuz, D.; Tawfik, T.A.; Smarzewski, P.; Guler, S. Enhancing Concrete Performance through Sustainable Utilization of Class-C and Class-F Fly Ash: A Comprehensive Review. Sustainability 2024, 16, 4905. [Google Scholar] [CrossRef]
- Nayak, D.K.; Abhilash, P.P.; Singh, R.; Kumar, R.; Kumar, V. Fly Ash for Sustainable Construction: A Review of Fly Ash Concrete and Its Beneficial Use Case Studies. Clean. Mater. 2022, 6, 100143. [Google Scholar] [CrossRef]
- Saha, A.K. Effect of Class F Fly Ash on the Durability Properties of Concrete. Sustain. Environ. Res. 2018, 28, 25–31. [Google Scholar] [CrossRef]
- Jagadesh, P.; Oyebisi, S.; Muthu, A.H.; Sarulatha, A.; Supikshaa, K.; Vhishva Laxmy, V.P. Microscopic Analyses and Performance Characteristics of Granite Powder Blended Cement. Constr. Build. Mater. 2024, 426, 136006. [Google Scholar] [CrossRef]
- Jain, A.; Chaudhary, S.; Gupta, R. Mechanical and Microstructural Characterization of Fly Ash Blended Self-Compacting Concrete Containing Granite Waste. Constr. Build. Mater. 2022, 314, 125480. [Google Scholar] [CrossRef]
- Lieberman, R.N.; Knop, Y.; Palmerola, N.M.; Muñoz, C.; Cohen, H.; Izquiredo, M.; Lorenzo, J.A.; Taboas, B.; Font, O.; Querol, X. Production of Environmentally Friendly Sand-like Products from Granitoid Waste Sludge and Coal Fly Ash for Civil Engineering. J. Clean. Prod. 2019, 238, 117880. [Google Scholar] [CrossRef]
- Chajec, A. Granite Powder vs. Fly Ash for the Sustainable Production of Air-Cured Cementitious Mortars. Materials 2021, 14, 1208. [Google Scholar] [CrossRef]
- Lucena, L.C.D.F.L.; Juca, J.F.T.; Soares, J.B.; Tavares Marinho Filho, P.G. Use of Wastewater Sludge for Base and Subbase of Road Pavements. Transp. Res. Part. D Transp. Environ. 2014, 33, 210–219. [Google Scholar] [CrossRef]
- Senjun, H.; Bo, Z.; Xiaoqing, S.; Shuai, Z.; Xiaodong, W.; Xuebing, W.; Jun, W. Investigation on Resource Utilization of Saline Sludge to Roadbed Material. In Proceedings of 2022 7th International Conference on Environmental Engineering and Sustainable Development (CEESD 2022), Nanjing, China, 28–30 October 2022; Huang, G., Ed.; Environmental Science and Engineering. Springer International Publishing: Cham, Switzerland, 2023; pp. 53–61, ISBN 978-3-031-28192-1. [Google Scholar]
- Xiao, Z.-Y.; Xu, W. Assessment of Strength Development in Cemented Coastal Silt Admixed Granite Powder. Constr. Build. Mater. 2019, 206, 470–482. [Google Scholar] [CrossRef]
- Wang, S.; Jin, H.; Deng, Y.; Xiao, Y. Comprehensive Utilization Status of Red Mud in China: A Critical Review. J. Clean. Prod. 2021, 289, 125136. [Google Scholar] [CrossRef]
- Zhang, J.; Yao, Z.; Wang, K.; Wang, F.; Jiang, H.; Liang, M.; Wei, J.; Airey, G. Sustainable Utilization of Bauxite Residue (Red Mud) as a Road Material in Pavements: A Critical Review. Constr. Build. Mater. 2021, 270, 121419. [Google Scholar] [CrossRef]
- Fu, T.; Wei, J.; Bao, H.; Liang, J. Multiscale Study on the Modification Mechanism of Red Mud Modified Asphalt. Adv. Mater. Sci. Eng. 2020, 2020, 2150215. [Google Scholar] [CrossRef]
- Dong, Y.; Jiang, C.; Zhang, L.; Wang, D.; Huang, S.; Cheng, X. Waste-bearing Foamed Ceramic from Granite Scrap and Red Mud. Int. J. Appl. Ceram. Technol. 2022, 19, 2686–2700. [Google Scholar] [CrossRef]
- Muraleedharan, M.; Nadir, Y. Factors Affecting the Mechanical Properties and Microstructure of Geopolymers from Red Mud and Granite Waste Powder: A Review. Ceram. Int. 2021, 47, 13257–13279. [Google Scholar] [CrossRef]
- Chakkor, O.; Altan, M.F.; Canpolat, O. Elevated Temperature, Freezing–Thawing and Mechanical Properties of Limestone, Marble, and Basalt Powders Reinforced Metakaolin–Red Mud-Based Geopolymer Mortars. Iran. J. Sci. Technol. Trans. Civ. Eng. 2022, 46, 3241–3258. [Google Scholar] [CrossRef]
- Wan, H.; Hu, Y.; Liu, G.; Qu, Y. Study on the Structure and Properties of Autoclaved Aerated Concrete Produced with the Stone-Sawing Mud. Constr. Build. Mater. 2018, 184, 20–26. [Google Scholar] [CrossRef]
- Woźniak, Z.Z.; Chajec, A.; Sadowski, Ł. Effect of the Partial Replacement of Cement with Waste Granite Powder on the Properties of Fresh and Hardened Mortars for Masonry Applications. Materials 2022, 15, 9066. [Google Scholar] [CrossRef]
- Chajec, A. The Use of Granite Powder Waste in Cementitious Composites. J. Mater. Res. Technol. 2023, 25, 4761–4783. [Google Scholar] [CrossRef]
- Eskander, S.B.; Bayoumi, T.A.; Tawfik, M.E.; Mansour, H. Newly Developed Cement–Ground Granite Scraps Composite for Solidification/Stabilization of Radioactive Wastes: Characterization and Evaluation of the Mechanical Durability. Polym. Bull. 2023, 80, 6635–6655. [Google Scholar] [CrossRef]
- Nega, D.M.; Yifru, B.W.; Taffese, W.Z.; Ayele, Y.K.; Yehualaw, M.D. Impact of Partial Replacement of Cement with a Blend of Marble and Granite Waste Powder on Mortar. Appl. Sci. 2023, 13, 8998. [Google Scholar] [CrossRef]
- Sadek, D.M.; El-Attar, M.M.; Ali, H.A. Reusing of Marble and Granite Powders in Self-Compacting Concrete for Sustainable Development. J. Clean. Prod. 2016, 121, 19–32. [Google Scholar] [CrossRef]
- JTG/T F20-2015; Highway Pavement Subgrade Construction Technical Details. People’s Transportation Press: Beijing, China, 2015.
- JTG 3441-2024; Test Procedure for Inorganic Binding Material Stabilization Materials for Highway Engineering. Ministry of Transport of the People’s Republic of China: Beijing, China, 2024.
- GB50112-2013; Technical Specification for Construction in Expansive Soil Areas. China Construction Industry Press: Beijing, China, 2013.
- GB/T50082-2024; Standard for Test Methods for Long-Term Performance and Durability of Concrete. China Construction Industry Press: Beijing, China, 2024.

























| Brochure | Chemical Composition (%) | |||||||||
|---|---|---|---|---|---|---|---|---|---|---|
| Al2O3 | SiO2 | Fe2O3 | SO3 | TiO2 | MgO | CaO | K2O | Na2O | Loss | |
| Saw mud | 14.73 | 70.24 | 0.12 | 0.24 | / | 1.13 | 1.05 | 4.52 | 4.21 | 3.76 |
| Cement | 5.12 | 20.12 | 3.62 | 2.38 | / | 2.07 | 63.56 | / | 0.53 | 2.6 |
| Fly ash | 29.7 | 51.36 | 5.26 | / | 1.13 | 1.39 | 3.18 | 4.52 | 0.34 | 3.12 |
| Silt | 12.26 | 60.99 | 4.22 | 10.43 | / | 1.69 | 1.86 | 1.75 | 2.97 | 3.83 |
| Red mud | 19.81 | 28.09 | 25.54 | / | 2.15 | 0.29 | 1.71 | 0.31 | 10.17 | 11.93 |
| Fineness 0.08/% | Specific Surface Area m2/kg | Densities kg/m3 | Standard Consistency % | Stability (Boiling Method) | Solidification Time (Min) | Flexural Strength (MPa) | Compressive Strength (MPa) | |||
|---|---|---|---|---|---|---|---|---|---|---|
| Condensation | Congeal | 3 Days | 7 Days | 3 Days | 7 Days | |||||
| 0.4 | 345 | 3120 | 24.60 | Qualified | 95 | 156 | 6.3 | 7.8 | 28.0 | 39.5 |
| Samples | Liquid–Plastic Limits | ||
|---|---|---|---|
| Plastic Limit/% | Liquid Limit/% | Plastic Limit Index | |
| Saw mud | 36 | 20.5 | 15.5 |
| Fly ash | 41.6 | 31.5 | 10.1 |
| Silt | 27.4 | 17.21 | 16.7 |
| Red mud | 28.2 | 22.5 | 25.7 |
| Dopant | Type of Admixture (%) | ||
|---|---|---|---|
| Fly Ash | Silt | Red Mud | |
| 5% | 2.7 | 2.6 | 2.7 |
| 10% | 4 | 3.1 | 3.2 |
| 15% | 4.2 | 2.2 | 2.2 |
| 20% | 5.4 | 2.6 | 2.8 |
| Serial Number | Cement (%) | Fly Ash (%) | Silt (%) | Red Mud (%) | |
|---|---|---|---|---|---|
| Modified sawdust not mixed with solid waste | MC | 6 | - | - | - |
| Incorporation of fly ash series | MCF-3 | 6 | 3 | - | - |
| MCF-6 | 6 | 6 | - | - | |
| MCF-8 | 6 | 8 | - | - | |
| MCF-10 | 6 | 10 | - | - | |
| Mixture with silt series | MCS-3 | 6 | - | 3 | - |
| MCS-6 | 6 | - | 6 | - | |
| MCS-8 | 6 | - | 8 | - | |
| MCS-10 | 6 | - | 10 | - | |
| Mixture with red mud series | MCR-3 | 6 | - | - | 3 |
| MCR-6 | 6 | - | - | 6 | |
| MCR-8 | 6 | - | - | 8 | |
| MCR-10 | 6 | - | - | 10 |
Disclaimer/Publisher’s Note: The statements, opinions and data contained in all publications are solely those of the individual author(s) and contributor(s) and not of MDPI and/or the editor(s). MDPI and/or the editor(s) disclaim responsibility for any injury to people or property resulting from any ideas, methods, instructions or products referred to in the content. |
© 2024 by the authors. Licensee MDPI, Basel, Switzerland. This article is an open access article distributed under the terms and conditions of the Creative Commons Attribution (CC BY) license (https://creativecommons.org/licenses/by/4.0/).
Share and Cite
Cheng, Y.; Jiang, N.; Wang, W.; Jin, L. Strength Properties and Microscopic Experimental Study of Modified Sawdust Based on Solid Waste Synergistic Utilization. Materials 2024, 17, 5808. https://doi.org/10.3390/ma17235808
Cheng Y, Jiang N, Wang W, Jin L. Strength Properties and Microscopic Experimental Study of Modified Sawdust Based on Solid Waste Synergistic Utilization. Materials. 2024; 17(23):5808. https://doi.org/10.3390/ma17235808
Chicago/Turabian StyleCheng, Yu, Na Jiang, Wentong Wang, and Lu Jin. 2024. "Strength Properties and Microscopic Experimental Study of Modified Sawdust Based on Solid Waste Synergistic Utilization" Materials 17, no. 23: 5808. https://doi.org/10.3390/ma17235808
APA StyleCheng, Y., Jiang, N., Wang, W., & Jin, L. (2024). Strength Properties and Microscopic Experimental Study of Modified Sawdust Based on Solid Waste Synergistic Utilization. Materials, 17(23), 5808. https://doi.org/10.3390/ma17235808

