Sign in to use this feature.

Years

Between: -

Subjects

remove_circle_outline
remove_circle_outline
remove_circle_outline
remove_circle_outline
remove_circle_outline
remove_circle_outline
remove_circle_outline
remove_circle_outline
remove_circle_outline

Journals

remove_circle_outline
remove_circle_outline
remove_circle_outline
remove_circle_outline

Article Types

Countries / Regions

remove_circle_outline
remove_circle_outline
remove_circle_outline
remove_circle_outline
remove_circle_outline

Search Results (312)

Search Parameters:
Keywords = synchronous tuning

Order results
Result details
Results per page
Select all
Export citation of selected articles as:
22 pages, 6708 KB  
Article
Enhanced Model Predictive Speed Control of PMSMs Based on Duty Ratio Optimization with Integrated Load Torque Disturbance Compensation
by Tarek Yahia, Abdelsalam A. Ahmed, M. M. Ahmed, Amr El Zawawi, Z. M. S. Elbarbary, M. S. Arafath and Mosaad M. Ali
Machines 2025, 13(10), 891; https://doi.org/10.3390/machines13100891 - 30 Sep 2025
Abstract
This paper proposes an enhanced Model Predictive Direct Speed Control (MPDSC) framework for Permanent Magnet Synchronous Motor (PMSM) drives, integrating duty ratio optimization and load torque disturbance compensation to significantly improve both transient and steady-state performance. Traditional finite-control-set MPC strategies, which apply a [...] Read more.
This paper proposes an enhanced Model Predictive Direct Speed Control (MPDSC) framework for Permanent Magnet Synchronous Motor (PMSM) drives, integrating duty ratio optimization and load torque disturbance compensation to significantly improve both transient and steady-state performance. Traditional finite-control-set MPC strategies, which apply a single voltage vector per sampling interval, often suffer from steady-state ripples, elevated total harmonic distortion (THD), and high computational complexity due to exhaustive switching evaluations. The proposed approach addresses these limitations through a novel dual-stage cost function structure: the first cost function optimizes dynamic response via predictive control of speed error, while the second adaptively minimizes torque ripple and harmonic distortion by adjusting the active–zero voltage vector duty ratio without the need for manual weight tuning. Robustness against time-varying disturbances is further enhanced by integrating a real-time load torque observer into the control loop. The scheme is validated through both MATLAB/Simulink R2020a simulations and real-time experimental testing on a dSPACE 1202 rapid control prototyping platform across small- and large-scale PMSM configurations. Experimental results confirm that the proposed controller achieves a transient speed deviation of just 0.004%, a steady-state ripple of 0.01 rpm, and torque ripple as low as 0.0124 Nm, with THD reduced to approximately 5.5%. The duty ratio-based predictive modulation ensures faster settling time, improved current quality, and greater immunity to load torque disturbances compared to recent duty-ratio MPC implementations. These findings highlight the proposed DR-MPDSC as a computationally efficient and experimentally validated solution for next-generation PMSM drive systems in automotive and industrial domains. Full article
(This article belongs to the Section Electrical Machines and Drives)
Show Figures

Figure 1

20 pages, 3544 KB  
Article
Research on Position Tracking Performance Optimization of Permanent Magnet Synchronous Motors Based on Improved Active Disturbance Rejection Control
by Yu Xu, Zihao Huang and Dejun Liu
Appl. Sci. 2025, 15(19), 10467; https://doi.org/10.3390/app151910467 - 26 Sep 2025
Abstract
This study tackles the challenges associated with permanent magnet synchronous motor (PMSM) position control under complex operating conditions—characterized by strong coupling, nonlinearity, and time-varying parameters—which often lead to slow response, low control accuracy, and weak disturbance rejection capability. A high-performance control system is [...] Read more.
This study tackles the challenges associated with permanent magnet synchronous motor (PMSM) position control under complex operating conditions—characterized by strong coupling, nonlinearity, and time-varying parameters—which often lead to slow response, low control accuracy, and weak disturbance rejection capability. A high-performance control system is developed based on an active disturbance rejection controller (ADRC), with three key improvements proposed. Firstly, a modified nonlinear function is designed to suppress chattering. Secondly, a delay compensation module is integrated to synchronize the input signals of the extended state observer (ESO). Finally, an automated parameter tuning method is introduced using the Newton-Raphson optimization algorithm. Comparative simulations are conducted to validate the effectiveness of the proposed system, demonstrating its advantages of rapid response, minimal overshoot, and enhanced disturbance rejection capability. For the proposed strategy, the maximum position tracking error is 0.1 rad, the adjustment time is 0.15 s, the dynamic speed drop is 0.025 rad, and the recovery time is 0.15 s—all comprehensive performance indicators outperform those of other control strategies. Additionally, automated parameter tuning eliminates the need for manual adjustments, reduces operational complexity, and improves tuning accuracy, thereby significantly advancing the position control performance of PMSMs. Full article
(This article belongs to the Special Issue Power Electronics and Motor Control)
Show Figures

Figure 1

29 pages, 6907 KB  
Article
Force-Closure-Based Weighted Hybrid Force/Position Fuzzy Coordination Control for Dual-Arm Robots
by Jun Dai, Yi Zhang and Weiqiang Dou
Actuators 2025, 14(10), 471; https://doi.org/10.3390/act14100471 - 26 Sep 2025
Abstract
There is a strong coupling between two arms in cooperative operations of dual-arm robots. To enhance the coordination and cooperation ability of dual-arm robots, a force-closure-based weighted hybrid force/position fuzzy coordination control method is proposed. Firstly, to improve the grasping stability of dual-arm [...] Read more.
There is a strong coupling between two arms in cooperative operations of dual-arm robots. To enhance the coordination and cooperation ability of dual-arm robots, a force-closure-based weighted hybrid force/position fuzzy coordination control method is proposed. Firstly, to improve the grasping stability of dual-arm robots, the force-closure dynamic constraints are established by combining the friction cone constraints with the force and torque balance constraints. Then the optimal distribution of contact force is performed according to the minimum energy consumption principle. Secondly, to enhance the coordination of dual-arm robots, the weighted hybrid force/position control method is modified by adding the synchronization error between two arms. Then the Lyapunov method is adopted to prove the stability of the proposed coordination control method. Thirdly, the fuzzy self-tuning technique is adopted to adjust the control gains automatically. Lastly, a simulation and experiment are performed for collaborative transport. The results show that, compared with the position coordination control and the traditional hybrid force/position control, the weighted hybrid force/position fuzzy coordination control can improve control accuracy and has good cooperation ability and strong robustness. Therefore, the proposed method can effectively realize the coordination control of dual-arm robots. Full article
(This article belongs to the Section Actuators for Robotics)
Show Figures

Figure 1

22 pages, 3275 KB  
Review
Permanent Magnet Synchronous Motor Drive System for Agricultural Equipment: A Review
by Chao Zhang, Xiongwei Xia, Hong Zheng and Hongping Jia
Agriculture 2025, 15(19), 2007; https://doi.org/10.3390/agriculture15192007 - 25 Sep 2025
Abstract
The electrification of agricultural equipment is a critical pathway to address the dual challenges of increasing global food production and ensuring sustainable agricultural development. As the core power unit, the permanent magnet synchronous motor (PMSM) drive system faces severe challenges in achieving high [...] Read more.
The electrification of agricultural equipment is a critical pathway to address the dual challenges of increasing global food production and ensuring sustainable agricultural development. As the core power unit, the permanent magnet synchronous motor (PMSM) drive system faces severe challenges in achieving high performance, robustness, and reliable control in complex farmland environments characterized by sudden load changes, extreme operating conditions, and strong interference. This paper provides a comprehensive review of key technological advancements in PMSM drive systems for agricultural electrification. First, it analyzes solutions to enhance the reliability of power converters, including high-frequency silicon carbide (SiC)/gallium nitride (GaN) power device packaging, thermal management, and electromagnetic compatibility (EMC) design. Second, it systematically elaborates on high-performance motor control algorithms such as Direct Torque Control (DTC) and Model Predictive Control (MPC) for improving dynamic response; robust control strategies like Sliding Mode Control (SMC) and Active Disturbance Rejection Control (ADRC) for enhancing resilience; and the latest progress in fault-tolerant control architectures incorporating sensorless technology. Furthermore, the paper identifies core challenges in large-scale applications, including environmental adaptability, real-time multi-machine coordination, and high reliability requirements. Innovatively, this review proposes a closed-loop intelligent control paradigm encompassing environmental disturbance prediction, control parameter self-tuning, and actuator dynamic response. This paradigm provides theoretical support for enhancing the autonomous adaptability and operational quality of agricultural machinery in unstructured environments. Finally, future trends involving deep AI integration, collaborative hardware innovation, and agricultural ecosystem construction are outlined. Full article
(This article belongs to the Section Agricultural Technology)
Show Figures

Figure 1

26 pages, 1605 KB  
Article
Variable Bayesian-Based Maximum Correntropy Criterion Cubature Kalman Filter with Application to Target Tracking
by Yu Ma, Guanghua Zhang, Songtao Ye and Dou An
Entropy 2025, 27(10), 997; https://doi.org/10.3390/e27100997 - 24 Sep 2025
Viewed by 115
Abstract
Target tracking in typical radar applications faces critical challenges in complex environments, including nonlinear dynamics, non-Gaussian noise, and sensor outliers. Current robustness-enhanced approaches remain constrained by empirical kernel tuning and computational trade-offs, failing to achieve balanced noise suppression and real-time efficiency. To address [...] Read more.
Target tracking in typical radar applications faces critical challenges in complex environments, including nonlinear dynamics, non-Gaussian noise, and sensor outliers. Current robustness-enhanced approaches remain constrained by empirical kernel tuning and computational trade-offs, failing to achieve balanced noise suppression and real-time efficiency. To address these limitations, this paper proposes the variational Bayesian-based maximum correntropy criterion cubature Kalman filter (VBMCC-CKF), which integrates variational Bayesian inference with CKF to establish a fully adaptive robust filtering framework for nonlinear systems. The core innovation lies in constructing a joint estimation framework of state and kernel size, where the kernel size is modeled as an inverse-gamma distributed random variable. Leveraging the conjugate properties of Gaussian-inverse gamma distributions, the method synchronously optimizes the state posterior distribution and kernel size parameters via variational Bayesian inference, eliminating reliance on manual empirical adjustments inherent to conventional correntropy-based filters. Simulation confirms the robust performance of the VBMCC-CKF framework in both single and multi-target tracking under non-Gaussian noise conditions. For the single-target case, it achieves a reduction in trajectory average root mean square error (Avg-RMSE) by at least 14.33% compared to benchmark methods while maintaining real-time computational efficiency. Integrated with multi-Bernoulli filtering, the method achieves a 40% lower optimal subpattern assignment (OSPA) distance even under 10-fold covariance mutations, accompanied by superior hit rates (HRs) and minimal trajectory position RMSEs in cluttered environments. These results substantiate its precision and adaptability for dynamic tracking scenarios. Full article
(This article belongs to the Section Information Theory, Probability and Statistics)
Show Figures

Figure 1

19 pages, 15200 KB  
Article
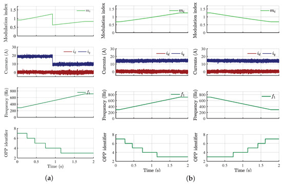
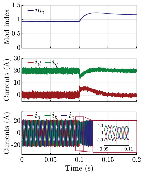
Integrated FCS-MPC with Synchronous Optimal Pulse-Width Modulation for Enhanced Dynamic Performance in Two-Level Voltage-Source Inverters
by Aathira Karuvaril Vijayan, Pedro F. da Costa Gonçalves, Battur Batkhishig, Babak Nahid-Mobarakeh and Ali Emadi
Electronics 2025, 14(19), 3757; https://doi.org/10.3390/electronics14193757 - 23 Sep 2025
Viewed by 107
Abstract
The adoption of synchronous optimal pulse-width modulation (SOPWM) in two-level voltage-source inverters (2L-VSIs) offers low switching-to-fundamental-frequency ratio (SFR) operation while maintaining reduced current total harmonic distortion (THD). Despite these advantages, the performance of SOPWM is highly sensitive to signal noise in the modulation [...] Read more.
The adoption of synchronous optimal pulse-width modulation (SOPWM) in two-level voltage-source inverters (2L-VSIs) offers low switching-to-fundamental-frequency ratio (SFR) operation while maintaining reduced current total harmonic distortion (THD). Despite these advantages, the performance of SOPWM is highly sensitive to signal noise in the modulation index and reference voltage angle. To prevent degradation, conventional PI controllers are conservatively tuned with slow dynamic response, which limits overall system performance. Finite control set model predictive control (FCS-MPC) integrated with SOPWM offers a promising solution, combining the fast dynamic response of FCS-MPC with the optimal steady-state performance of SOPWM. Nevertheless, the intricate tuning of weighting factors in FCS-MPC presents a significant challenge, particularly in balancing between enhanced harmonic performance and fast dynamic response. This paper introduces a simplified FCS-MPC approach that eliminates the need for complex weighting factor tuning while retaining the excellent dynamic performance of FCS-MPC and ensuring the low current THD achieved by SOPWM under steady-state conditions. The efficacy of the proposed method is validated through MATLAB/Simulink (R2023b) simulations and experimental results. Full article
Show Figures

Figure 1

21 pages, 6380 KB  
Article
Real-Time PI Gain Auto-Tuning for SPMSM Drives Based on Time-Domain Response Characteristics
by Yunchan Bae and Jang-Mok Kim
Energies 2025, 18(18), 4899; https://doi.org/10.3390/en18184899 - 15 Sep 2025
Viewed by 231
Abstract
This paper proposes an iterative auto-tuning algorithm for PI controllers in permanent magnet synchronous motor (PMSM) drive systems. The controller gains are initially set using motor-parameter-based formulas derived from pole–zero cancelation, providing a theoretical first-order approximation. To address discrepancies caused by practical non-idealities [...] Read more.
This paper proposes an iterative auto-tuning algorithm for PI controllers in permanent magnet synchronous motor (PMSM) drive systems. The controller gains are initially set using motor-parameter-based formulas derived from pole–zero cancelation, providing a theoretical first-order approximation. To address discrepancies caused by practical non-idealities such as delays, nonlinearities, and unmodeled dynamics, the proposed method iteratively refines the gains based on real-time measurements of time-domain performance indices. In each iteration, rise time, peak time, and percent overshoot are evaluated against predefined target values, and gain compensation terms are calculated accordingly. These compensations are applied to update the controller gains until all performance indices fall within the desired range, at which point the tuning process terminates automatically. The effectiveness of the proposed algorithm is validated through both MATLAB/Simulink simulations and real-time hardware experiments, demonstrating significant improvements in transient response, overshoot suppression, and closed-loop stability compared to conventional tuning approaches. Full article
Show Figures

Figure 1

13 pages, 4451 KB  
Article
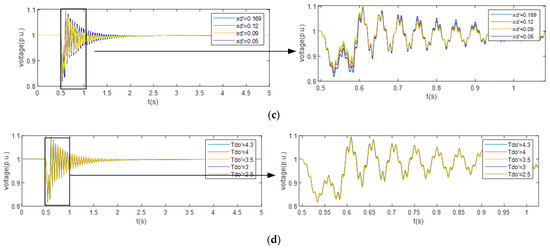
Inverters That Mimic a Synchronous Condenser to Improve Voltage Stability in Power System
by Yang Yang, Zaijun Wu, Xiangjun Quan, Junjie Xiong, Zijing Wan and Zetao Wei
Processes 2025, 13(9), 2927; https://doi.org/10.3390/pr13092927 - 13 Sep 2025
Viewed by 267
Abstract
The shift to renewable energy generation increases risks of frequency and voltage instability. This transition can cause significant voltage and frequency fluctuations during load changes, generation interruptions, and grid faults. One potential solution is the deployment of synchronous condensers to mitigate these issues; [...] Read more.
The shift to renewable energy generation increases risks of frequency and voltage instability. This transition can cause significant voltage and frequency fluctuations during load changes, generation interruptions, and grid faults. One potential solution is the deployment of synchronous condensers to mitigate these issues; however, this approach may also increase operational and maintenance costs. To address this limitation, this paper proposes a method called the virtual synchronous condenser (VSCon) that enables renewable energy systems such as PV-solar energy systems or wind farms to emulate the behavior of synchronous condensers. Unlike traditional VSGs with simplified models, VSCon uses the mathematical equivalent circuit of a real synchronous condenser. This enables sub-transient and inertial behavior. Voltage support improves by adjusting sub-transient reactance, and frequency support enhances by tuning inertia and damping coefficients, thereby enhancing the local voltage and frequency stability. The proposed approach has been validated through case studies, demonstrating both its effectiveness and practicality. Full article
Show Figures

Figure 1

19 pages, 7025 KB  
Article
Physical Information-Driven Optimization Framework for Neural Network-Based PI Controllers in PMSM Servo Systems
by Zhiru Song and Yunkai Huang
Symmetry 2025, 17(9), 1474; https://doi.org/10.3390/sym17091474 - 7 Sep 2025
Viewed by 364
Abstract
In industrial scenarios, the control of permanent magnet synchronous servo motors is mostly achieved with proportional–integral controllers, which require manual adjustment of control parameters. At the same time, the performance of the servo system is usually disturbed by internal characteristic changes, load changes, [...] Read more.
In industrial scenarios, the control of permanent magnet synchronous servo motors is mostly achieved with proportional–integral controllers, which require manual adjustment of control parameters. At the same time, the performance of the servo system is usually disturbed by internal characteristic changes, load changes, and external factors. Therefore, preset control parameters may not achieve the desired optimal performance. Many scholars use intelligent algorithms, such as neural networks, to adaptively tune control parameters. However, the offline pre-training of neural networks is often time- and resource-consuming. Due to the lack of a model pre-training process in the neural network online self-tuning process, randomly setting the initial network weight seriously affects the position tracking performance of the servo control system in the start-up phase. In this paper, the physical model and the traditional frequency domain-tuning method of the three-closed-loop permanent magnet synchronous servo system are analyzed. Combined with the neural network PI control parameter self-tuning method and physical symmetry, a physical information-driven optimization framework is proposed. To demonstrate its superiority, the neural network PI controller and the proposed optimization framework are used to control the single-axis sine wave trajectory. The results show that the optimization framework proposed can effectively improve the position tracking control performance of the servo control system in the start-up phase by setting the threshold of the servo control parameters, reduce the position tracking control error to 0.75 rads in the start-up phase, and reduce the position tracking drop caused by a sudden load by 25%. This method achieves the independent optimization adjustment of control parameters under position tracking control, providing a reference for the intelligent control of permanent magnet synchronous servo motors. Full article
(This article belongs to the Special Issue Symmetry/Asymmetry in Intelligent Control System)
Show Figures

Figure 1

16 pages, 2759 KB  
Article
Research on Linear Active Disturbance Rejection Control of Electrically Excited Motor for Vehicle Based on ADP Parameter Optimization
by Heping Ling, Junzhi Zhang and Hua Pan
Actuators 2025, 14(9), 440; https://doi.org/10.3390/act14090440 - 4 Sep 2025
Viewed by 296
Abstract
In the three-motor hybrid architecture, the auxiliary drive uses electrically excited synchronous motor (EESM), which has the advantages of high torque density, wide speed range and strong anti-demagnetization ability. However, the strong electromagnetic coupling between the field winding and the armature winding leads [...] Read more.
In the three-motor hybrid architecture, the auxiliary drive uses electrically excited synchronous motor (EESM), which has the advantages of high torque density, wide speed range and strong anti-demagnetization ability. However, the strong electromagnetic coupling between the field winding and the armature winding leads to the difficulty of current control, and the traditional PID has limitations in dynamic response and immunity. In order to solve this problem, a linear active disturbance rejection control (LADRC) method for the rotor of EESM is proposed in this paper, linear extended state observer (LESO) is used to estimate and compensate the system internal and external disturbances (such as winding coupling and parameter perturbation) in real time. The method only uses the input and output of the system and does not depend on any mechanical parameters, so that the torque response is improved by 50%, and the steady-state fluctuation is reduced by 10.2%. In addition, an adaptive dynamic programming (ADP) parameter optimization strategy is proposed to solve the bandwidth parameter tuning problem of LADRC algorithm in complex operating conditions, and the related mathematical analysis of optimality properties is given. Finally, the proposed method is compared with the traditional PI controller in several operating conditions of EESM, and the effectiveness of the proposed method is validated by the corresponding results. Full article
(This article belongs to the Section Control Systems)
Show Figures

Figure 1

23 pages, 10980 KB  
Article
High Disturbance-Resistant Speed Control for Permanent Magnet Synchronous Motors: A BPNN Self-Tuning Improved Sliding Mode Strategy Without Load Observer
by Yuansheng Huo, Chengwei Zhang, Qing Gao, Tao Yang and Lirong Ren
Machines 2025, 13(9), 810; https://doi.org/10.3390/machines13090810 - 4 Sep 2025
Viewed by 392
Abstract
Sliding mode control (SMC) provides robustness and disturbance rejection in permanent magnet synchronous motor (PMSM) control but faces the challenge of speed degradation during sudden load disturbance changes without a load observer. This paper proposes a backpropagation neural network-adjusted improved SMC (BPNN-ISMC). A [...] Read more.
Sliding mode control (SMC) provides robustness and disturbance rejection in permanent magnet synchronous motor (PMSM) control but faces the challenge of speed degradation during sudden load disturbance changes without a load observer. This paper proposes a backpropagation neural network-adjusted improved SMC (BPNN-ISMC). A simplified PMSM model is established by ignoring the disturbance term. An improved arrival law is developed by optimizing the constant-speed approach term of the traditional exponential arrival law and embedding an adaptive term. A BPNN is designed with performance metrics including speed error, its derivative, and maximum error to improve training efficiency. Speed/position estimation combines a sliding mode observer with an extended Kalman filter to suppress jitter. Simulation results demonstrate the significant advantages of the BPNN-ISMC method: in set-point control, overshoot suppression is evident, and the relative error during the stable phase after sudden load disturbance increases is reduced by 93.62% compared to the ISMC method and by 99.80% compared to the SMC method. Compared to the ADRC method, although the steady-state errors are the same, the BPNN-ISMC method exhibits smaller speed fluctuations during sudden changes. In servo control, the root mean square error of speed tracking is reduced by 18.83% compared to the ISMC method, by 89.70% compared to the SMC method, and by 37.14% compared to the ADRC method. This confirms the dynamic performance improvement achieved through adaptive adjustment of neural network parameters. Full article
(This article belongs to the Section Electrical Machines and Drives)
Show Figures

Figure 1

24 pages, 1074 KB  
Article
Research on Dual-Loop ADRC for PMSM Based on Opposition-Based Learning Hybrid Optimization Algorithm
by Longda Wang, Zhang Wu, Yang Liu and Yan Chen
Algorithms 2025, 18(9), 559; https://doi.org/10.3390/a18090559 - 4 Sep 2025
Viewed by 448
Abstract
To enhance the speed regulation accuracy and robustness of permanent magnet synchronous motor (PMSM) drives under complex operating conditions, this paper proposes a dual-loop active disturbance rejection control strategy optimized by an opposition-based learning hybrid optimization algorithm (DLADRC-OBLHOA). First, the vector control system [...] Read more.
To enhance the speed regulation accuracy and robustness of permanent magnet synchronous motor (PMSM) drives under complex operating conditions, this paper proposes a dual-loop active disturbance rejection control strategy optimized by an opposition-based learning hybrid optimization algorithm (DLADRC-OBLHOA). First, the vector control system and ADRC model of the PMSM are established. Then, a nonlinear function, ifal, is introduced to improve the performance of the speed-loop ADRC. Meanwhile, an active disturbance rejection controller is also introduced into the current loop to suppress current disturbances. To address the challenge of tuning multiple ADRC parameters, an opposition-based learning hybrid optimization algorithm (OBLHOA) is developed. This algorithm integrates chaotic mapping for population initialization and employs opposition-based learning to enhance global search capability. The proposed OBLHOA is utilized to optimize the speed-loop ADRC parameters, thereby achieving high-precision speed control of the PMSM system. Its optimization performance is validated on 12 benchmark functions from the IEEE CEC2022 test suite, demonstrating superior convergence speed and solution accuracy compared to conventional heuristic algorithms. The proposed strategy achieves superior speed regulation accuracy and reliability under complex operating conditions when deployed on high-performance processors, but its effectiveness may diminish on resource-limited hardware. Moreover, simulation results show that the DLADRC-OBLHOA control strategy outperforms PI control, traditional ADRC, and ADRC-ifal in terms of tracking accuracy and disturbance rejection capability. Full article
Show Figures

Figure 1

27 pages, 11538 KB  
Article
Adaptive Transient Power Angle Control for Virtual Synchronous Generators via Physics-Embedded Reinforcement Learning
by Jiemai Gao, Siyuan Chen, Shixiong Fan, Jun Jason Zhang, Deping Ke, Hao Jun, Kezheng Jiang and David Wenzhong Gao
Electronics 2025, 14(17), 3503; https://doi.org/10.3390/electronics14173503 - 1 Sep 2025
Viewed by 512
Abstract
With the increasing integration of renewable energy sources and power electronic converters, Grid-Forming (GFM) technologies such as Virtual Synchronous Generators (VSGs) have emerged as key enablers of future power systems. However, conventional VSG control strategies with fixed parameters often fail to maintain transient [...] Read more.
With the increasing integration of renewable energy sources and power electronic converters, Grid-Forming (GFM) technologies such as Virtual Synchronous Generators (VSGs) have emerged as key enablers of future power systems. However, conventional VSG control strategies with fixed parameters often fail to maintain transient stability under dynamic grid conditions. This paper proposes a novel adaptive GFM control framework based on physics-informed reinforcement learning, targeting transient power angle stability in systems with high renewable penetration. An adaptive controller, termed the 3N-D controller, is developed to periodically update the virtual inertia and damping coefficients of VSGs based on real-time system observations, enabling anticipatory adjustments to evolving operating conditions. The controller leverages a reinforcement learning architecture embedded with physical priors, which captures the high-order differential relationships between rotor angle dynamics and control variables. This approach enhances generalization, reduces data dependency, and mitigates the risk of local optima. Comprehensive simulations on the IEEE-39 bus system with varying VSG penetration levels validate the proposed method’s effectiveness in improving system stability and control flexibility. The results demonstrate that the physics-embedded GFM strategy can significantly enhance the transient stability and adaptability of future power grids. Full article
Show Figures

Figure 1

20 pages, 4010 KB  
Article
Transient Stability Analysis and Enhancement Strategies for AC Side of Hydro-Wind-PV VSC-HVDC Transmission System
by Xinwei Li, Yanjun Ma, Jie Fang, Kai Ma, Han Jiang, Zheren Zhang and Zheng Xu
Appl. Sci. 2025, 15(17), 9456; https://doi.org/10.3390/app15179456 - 28 Aug 2025
Viewed by 329
Abstract
To analyze and enhance the transient stability of a hydro-wind-PV VSC-HVDC transmission system, this paper establishes a transient stability analytical model and proposes strategies for stability improvement. Based on the dynamic interaction mechanisms of multiple types of power sources, an analytical model integrating [...] Read more.
To analyze and enhance the transient stability of a hydro-wind-PV VSC-HVDC transmission system, this paper establishes a transient stability analytical model and proposes strategies for stability improvement. Based on the dynamic interaction mechanisms of multiple types of power sources, an analytical model integrating GFM converters, GFL converters, and SGs is first developed. The EAC is employed to investigate how the factors such as current-limiting thresholds and fault locations influence transient stability. Subsequently, a parameter tuning method based on optimal phase angle calculation and delayed control of current-limiting modes is proposed. Theoretical analysis and PSCAD simulations demonstrate that various factors affect transient stability by influencing the PLL of converters and the electromagnetic power of synchronous machines. The energy transfer path during transient processes is related to fault locations, parameter settings of current-limiting modes in converters, and the operational states of equipment. The proposed strategy significantly improves the transient synchronization stability of multi-source coupled systems. The research findings reveal the transient stability mechanisms of hydro-wind-PV VSC-HVDC transmission systems, and the proposed stability enhancement method combines theoretical innovation with engineering practicality, providing valuable insights for the planning and design of such scenarios. Full article
(This article belongs to the Section Electrical, Electronics and Communications Engineering)
Show Figures

Figure 1

28 pages, 4648 KB  
Article
Dual-Vector Predictive Current Control Strategy for PMSM Based on Voltage Phase Angle Decision and Improved Sliding Mode Controller
by Xiaozhuo Xu, Haokuan Tian and Zan Zhang
Machines 2025, 13(9), 767; https://doi.org/10.3390/machines13090767 - 27 Aug 2025
Viewed by 382
Abstract
To mitigate the computational complexity inherent in permanent magnet synchronous motor (PMSM) control systems, this paper presents a dual-vector model predictive current control (DV-MPCC) strategy integrated with an improved exponential reaching law-based sliding mode controller (IEAL-SMC). A voltage phase angle decision-making mechanism is [...] Read more.
To mitigate the computational complexity inherent in permanent magnet synchronous motor (PMSM) control systems, this paper presents a dual-vector model predictive current control (DV-MPCC) strategy integrated with an improved exponential reaching law-based sliding mode controller (IEAL-SMC). A voltage phase angle decision-making mechanism is introduced to alleviate computational load and enhance the accuracy of voltage vector selection: this mechanism enables rapid determination of optimal control sectors and facilitates efficient screening of candidate vectors within the finite control set (FCS). To further boost the system’s disturbance rejection capability, a modified SMC scheme employing a softsign function-based exponential reaching law is developed for the speed loop. By adaptively tuning the smoothing parameters, this modified SMC achieves a well-balanced trade-off between fast dynamic response and effective chattering suppression—two key performance metrics in PMSM control. Experimental validations indicate that, in comparison with the conventional DV-MPCC approach, the proposed strategy not only improves the efficiency of voltage vector selection but also demonstrates superior steady-state precision and dynamic responsiveness across a broad range of operating conditions. Full article
(This article belongs to the Section Electrical Machines and Drives)
Show Figures

Figure 1

Back to TopTop