Sign in to use this feature.

Years

Between: -

Subjects

remove_circle_outline
remove_circle_outline
remove_circle_outline
remove_circle_outline
remove_circle_outline
remove_circle_outline
remove_circle_outline
remove_circle_outline
remove_circle_outline

Journals

remove_circle_outline
remove_circle_outline
remove_circle_outline
remove_circle_outline
remove_circle_outline
remove_circle_outline
remove_circle_outline
remove_circle_outline
remove_circle_outline
remove_circle_outline
remove_circle_outline
remove_circle_outline

Article Types

Countries / Regions

remove_circle_outline
remove_circle_outline
remove_circle_outline
remove_circle_outline
remove_circle_outline
remove_circle_outline

Search Results (1,878)

Search Parameters:
Keywords = surface electrical resistance

Order results
Result details
Results per page
Select all
Export citation of selected articles as:
21 pages, 4492 KB  
Article
Effects of Extracellular Resistance on Neuronal Sensitivity Under Weak Alternating Electric Field Stimulation: A Computational Study
by Xiangyu Li, Shuaikang Zheng, Chunhua Yuan and Xianwen Gao
Biomimetics 2026, 11(4), 264; https://doi.org/10.3390/biomimetics11040264 - 10 Apr 2026
Viewed by 28
Abstract
Weak alternating electric fields are widely used in neuromodulation techniques such as transcranial alternating current stimulation (tACS), yet the precise biophysical mechanisms underlying neuronal responses remain incompletely understood. Current computational models often neglect the electrical properties of the extracellular microenvironment, limiting their predictive [...] Read more.
Weak alternating electric fields are widely used in neuromodulation techniques such as transcranial alternating current stimulation (tACS), yet the precise biophysical mechanisms underlying neuronal responses remain incompletely understood. Current computational models often neglect the electrical properties of the extracellular microenvironment, limiting their predictive accuracy. Motivated by experimentally observed frequency-dependent modulation of neuronal activity, we developed a two-compartment model of hippocampal CA3 pyramidal neurons in which extracellular resistance is explicitly parameterized and systematically examined as a key factor influencing neuronal response properties under external electric fields. Within a dual-compartment Hodgkin–Huxley framework, the neuron is divided into a “soma–basal dendrite unit” and an “apical dendrite unit,” accounting for voltage polarization induced by external fields. Using phase-locking ratio curves and three-dimensional parameter response surface, we systematically characterized neuronal sensitivity to field parameters and examined how potassium equilibrium potential (VK) and extracellular resistance (Rout) modulate these responses. Our results demonstrate that increasing Rout enhances neuronal responsiveness to external fields, while VK variations primarily regulate intrinsic excitability. These findings provide mechanistic insights into the frequency-dependent modulation of neuronal responses under weak electric fields, consistent with phenomena observed in biological neural systems, and provide a mechanistic and theoretical framework for understanding the joint effects of electric field amplitude and frequency on neuronal sensitivity to weak electric fields, which may help inform future neuromodulation strategies. Full article
(This article belongs to the Section Bioinspired Sensorics, Information Processing and Control)
Show Figures

Graphical abstract

25 pages, 3379 KB  
Article
A Comprehensive Study of Large-Format Pouch Cell Thermal Behaviour and Electrical Performance when Incorporating Cell Clamping
by Xujian Zhang, Giles Prentice, David Ainsworth and James Marco
Batteries 2026, 12(4), 132; https://doi.org/10.3390/batteries12040132 - 10 Apr 2026
Viewed by 41
Abstract
In battery systems, external mechanical compression is commonly applied to pouch/prismatic cells to improve their electrical performance and mechanical integrity. However, cell clamping can hinder system heat rejection by introducing an additional thermal insulation layer. A novel battery clamping scheme was designed with [...] Read more.
In battery systems, external mechanical compression is commonly applied to pouch/prismatic cells to improve their electrical performance and mechanical integrity. However, cell clamping can hinder system heat rejection by introducing an additional thermal insulation layer. A novel battery clamping scheme was designed with reduced contact area to explore the system thermal behaviour under different cooling regimes. Experimental data obtained from battery characterisation and performance tests is analysed with a thermal-coupled equivalent circuit model to quantify changes in cell impedance and system thermal properties. By reducing the clamping area by 70%, the temperature rise of the cell was decreased by 0.5 °C in comparison to the reference condition of a cell with no clamping during a 1C discharge under natural convection. Under immersion cooling using BOT2100 dielectric liquid, the thermal benefit was amplified, resulting in temperature reductions of 0.9 °C at 1C and 4 °C at 3C. The principal conclusion of this work is that reshaping the clamping plate has the potential to reduce ohmic heating by lowering battery internal resistance, which outweighs the additional thermal resistance introduced by partial surface coverage. This novel experimental approach demonstrates the potential to improve battery thermal management through geometry-optimised cell clamping, particularly for high-power applications, and further directs the community towards cell clamping solution designed to optimise both thermal and mechanical cell performance. Full article
15 pages, 6296 KB  
Article
Evaluation of the Effectiveness of Coastal Water Electrical Resistivity Tomography for Stratigraphic Division Based on Mathematical Modeling and Experimental Data
by Yiqiang Ren, Vladimir Vasilievich Glazunov and Natalya Nikolaevna Efimova
Processes 2026, 14(8), 1211; https://doi.org/10.3390/pr14081211 - 10 Apr 2026
Viewed by 116
Abstract
Electrical resistivity tomography (ERT) serves as an auxiliary tool for marine engineering geological investigation. Through modeling, the effectiveness of this method was evaluated in areas affected by hydrological and underwater environmental changes, with a focus on the submarine geological structure in nearshore environments. [...] Read more.
Electrical resistivity tomography (ERT) serves as an auxiliary tool for marine engineering geological investigation. Through modeling, the effectiveness of this method was evaluated in areas affected by hydrological and underwater environmental changes, with a focus on the submarine geological structure in nearshore environments. The effects of pore water mineralization and cation exchange capacity on the resistivity of seabed sedimentary layers were investigated via rock physics modeling, and the corresponding relationship curves were obtained. Physical simulation experiments were also conducted to validate the rock physics modeling results. This process quantitatively analyzed the factors influencing the resistivity of nearshore seabed sediments, obtained the resistivity of each sedimentary layer, and interpreted the causes of resistivity variations. Resistivity models of different terrains were established for sandy clay seabed sediments with varying water salinities. The innovative use of submarine electrical resistivity tomography was proposed, and its feasibility and advantages were confirmed through numerical simulations. Field tests along the Baltic Sea coast demonstrated that, compared with previous methods, submarine electrical resistivity tomography offers higher resolution and improved exploration performance. Full article
Show Figures

Figure 1

19 pages, 4855 KB  
Article
Development of a Thermal Helipad for UAVs and Detection with Deep Learning
by Ersin Demiray, Mehmet Konar and Seda Arık Hatipoğlu
Drones 2026, 10(4), 266; https://doi.org/10.3390/drones10040266 - 7 Apr 2026
Viewed by 302
Abstract
For Unmanned Aerial Vehicles (UAVs), optical sensing for reliable landing and the detection of the landing area is a crucial element. In low-light conditions, at night, and in foggy weather, where optical sensing is not feasible, thermal imaging can be utilised. Although this [...] Read more.
For Unmanned Aerial Vehicles (UAVs), optical sensing for reliable landing and the detection of the landing area is a crucial element. In low-light conditions, at night, and in foggy weather, where optical sensing is not feasible, thermal imaging can be utilised. Although this situation has been widely researched, most UAV landing approaches rely on GNSS assistance or single-mode detection, which limits their robustness and scalability in real-world operations. This study proposes an actively heated thermal helicopter landing pad designed using electrically powered resistive heating elements and a high-emissivity surface coating. Furthermore, optical and thermal images collected during actual UAV flight experiments under daytime and night-time conditions were processed using image fusion techniques with AVGF, DWTF, GPF, LPF, MPF, and HWTF fusions, and their performance in deep learning models was compared. The obtained optical, thermal, and fused datasets are used to train and evaluate deep learning-based helicopter landing pad detection models based on the YOLOv8 architecture. Experimental results show that models trained with single-mode data exhibit limited cross-domain generalisation, while fusion-based learning significantly improves detection robustness in optical and thermal domains. Among the evaluated methods, LPF, MPF and HWTF provide the most consistent performance improvements. The findings indicate that electrically heated thermal helicopter landing pads, when combined with image fusion and deep learning-based detection, can increase the landing detectability of UAVs at night and in low-visibility conditions. This detection-focused approach contributes to UAV flight safety by enhancing the visibility of the landing area without relying on active infrared markers or additional navigation infrastructure. Full article
Show Figures

Graphical abstract

15 pages, 2880 KB  
Article
Electrical and Electronic Quality Improvement of Multicrystalline Silicon Solar Cells via Hydrogen Plasma Treatment
by Ameny El Haj, Achref Mannai, Hassen Nouri, Karim Choubani, Mohammed A. Almeshaal, Wissem Dimassi and Mohamed Ben Rabha
Inorganics 2026, 14(4), 105; https://doi.org/10.3390/inorganics14040105 - 7 Apr 2026
Viewed by 216
Abstract
In this work, the impact of hydrogen plasma treatment on the electrical and electronic quality of multicrystalline silicon (mc-Si) was systematically investigated using plasma-enhanced chemical vapor deposition (PE-CVD). Hydrogen radicals generated in the plasma effectively passivate dangling bonds, reducing electrically active defects and [...] Read more.
In this work, the impact of hydrogen plasma treatment on the electrical and electronic quality of multicrystalline silicon (mc-Si) was systematically investigated using plasma-enhanced chemical vapor deposition (PE-CVD). Hydrogen radicals generated in the plasma effectively passivate dangling bonds, reducing electrically active defects and enhancing material quality. Optimized PE-CVD conditions were applied to promote efficient hydrogen incorporation and surface modification. Optical characterization, including reflectivity measurements and FT-IR spectroscopy, confirms the formation of Si–H bonds and a significant reduction in surface reflectivity of up to 66% at 600 nm. Electrical and optoelectronic analyses reveal pronounced improvements in carrier lifetime and diffusion length, increased by 200% and 79%, respectively. In addition, dark current–voltage (I–V) measurements show a 32% decrease in series resistance and a 51% increase in shunt resistance, indicating enhanced charge transport and suppressed leakage currents. These macroscopic electrical improvements are supported by light beam-induced current (LBIC) measurements, which demonstrate a 14% increase in grain boundary current, confirming effective hydrogen passivation and reduced recombination. Overall, hydrogen plasma PE-CVD treatment is shown to significantly improve the electronic quality and photovoltaic performance of mc-Si solar cells. Full article
(This article belongs to the Special Issue New Semiconductor Materials for Energy Conversion, 2nd Edition)
Show Figures

Figure 1

19 pages, 2237 KB  
Article
Electric Contact Resistance of 3D-Printed Al5086 Aluminum
by Martin Ralchev, Valentin Mateev and Iliana Marinova
Machines 2026, 14(4), 400; https://doi.org/10.3390/machines14040400 - 6 Apr 2026
Viewed by 249
Abstract
Additive manufacturing by Selective Laser Melting (SLM) or, precisely, Laser Powder Bed Fusion (L-PBF), offers new opportunities for producing electrically functional metal components with tailored geometric designs and material properties. In this study, the electrical contact resistance and related properties of 3D-printed samples [...] Read more.
Additive manufacturing by Selective Laser Melting (SLM) or, precisely, Laser Powder Bed Fusion (L-PBF), offers new opportunities for producing electrically functional metal components with tailored geometric designs and material properties. In this study, the electrical contact resistance and related properties of 3D-printed samples made from Al5086 aluminum alloy are tested. The benefits of Al5086 include flexibility without cracking, welding ability and exceptional resistance to corrosion in saltwater and industrial environments. This makes it an excellent candidate for power electric applications due to its good electrical conductivity and corrosion resistance. In this study, an analysis is performed to assess the impact of internal volumetric properties and surface parameters on general contact resistance performance. This analysis combines advanced testing procedures and parameter identification of the electric contact resistance model. This study investigates how these parameters affect contact resistance, which is a critical factor in the reliability of electrical devices. Electrical contact resistance was measured using a dedicated test setup that applied consistent pressure and maintained directional alignment. The results show that the printing direction of the samples slightly affects resistance values due to the continuity of current paths along the build direction, likely due to homogenous inter-layer boundaries and mechanical stress distribution. These findings suggest that both print orientation and internal structure must be considered when designing 3D-printed contact elements for electrical applications. Overall, this study demonstrates the feasibility of using L-PBF-fabricated aluminum components in electric applications where both electrical and structural performances are essential. Full article
Show Figures

Figure 1

28 pages, 6355 KB  
Article
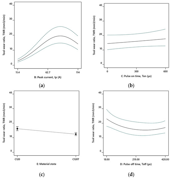
Investigation of the Impact of Intensive EDM Regimes on Electrode Wear When Machining C120 Steel Parts
by Eugen Herghelegiu, Carol Schnakovszky, Nicolae-Catalin Tampu, Maria-Crina Radu, Bogdan-Alexandru Chirita, Ionel Crinel Raveica, Ionel Olaru, Bogdan Nita and Andrei Zaharia
Appl. Sci. 2026, 16(7), 3464; https://doi.org/10.3390/app16073464 - 2 Apr 2026
Viewed by 169
Abstract
The purpose of any electrode in die-sinking EDM is to transmit electrical impulses that facilitate workpiece erosion with minimum or no self-erosion. The performance of the electrode depends on the properties of the material that it is made of, application, and the workpiece [...] Read more.
The purpose of any electrode in die-sinking EDM is to transmit electrical impulses that facilitate workpiece erosion with minimum or no self-erosion. The performance of the electrode depends on the properties of the material that it is made of, application, and the workpiece material. This study focused on employing intensive machining regimes that increase productivity while maintaining electrode wear as low as possible to enhance cost-effectiveness. The experimental tests were organized using the response surface method and the analysis of the results is based on the ANOVA method. The findings revealed that the WCu 75/25 outperforms the other two in wear resistance and CuZn39Pb2 is the most wear prone. It was revealed that WCu 75/25 electrode at Ip ≈ 90 A and Ton between 360 and 390 µs represents the globally best solution for a minimum wear. Full article
Show Figures

Figure 1

12 pages, 3127 KB  
Article
Stabilizing the Sealing Performance of EPDM by the Incorporation of a ZIF-8 Network
by Jiahui Chen, Qian Peng, Huadong Liu, Xingtao Xiao, Xiaotao Fu, Hanlin Wen, Zhicheng Huang, Fangqiang Wang and Xiaoliang Zeng
Polymers 2026, 18(7), 874; https://doi.org/10.3390/polym18070874 - 2 Apr 2026
Viewed by 307
Abstract
Ethylene–propylene–diene monomer rubber (EPDM) is commonly used as a gas-tight sealing material in electrical equipment. Factors such as media exposure, thermal oxidative stress, and abrasion frequently cause deterioration of EPDM’s mechanical properties, significantly compromising the reliability of electrical equipment. Traditional activator ZnO provides [...] Read more.
Ethylene–propylene–diene monomer rubber (EPDM) is commonly used as a gas-tight sealing material in electrical equipment. Factors such as media exposure, thermal oxidative stress, and abrasion frequently cause deterioration of EPDM’s mechanical properties, significantly compromising the reliability of electrical equipment. Traditional activator ZnO provides limited enhancement to the properties of EPDM. The reaction between Zn2+ on the surface of zinc oxide interacts with the accelerator during curing of rubber, forming zinc chelates, which interact with sulfur to form zinc polysulfide complexes. But the release of zinc complexes has adverse effects on humans and ecosystems. To reduce ZnO usage and further improve the performance of EPDM in terms of mechanical properties and aging resistance, zeolitic imidazolate framework-8 (ZIF-8) is developed as a multifunctional additive in this work. Mechanical testing demonstrates that the incorporation of ZIF-8 enhances the mechanical performance and resistance to thermal oxidative aging of EPDM. Crosslink density testing, FTIR, and XPS show that ZIF-8 promotes the crosslinking reaction during rubber curing, resulting in improved mechanical performance for EPDM. Analysis of crosslinking density testing and SEM images shows that EPDM-ZIF-8 composite exhibits a slower increase in crosslinking density during thermal oxidative aging. TGA results indicate that ZIF-8 enhances the thermal stability of EPDM, which leads to improved aging resistance properties. This study provides new insights for the design and development of rubber composite materials, offering a reliable solution to the challenge of seal failure in electrical equipment. Full article
Show Figures

Figure 1

18 pages, 3550 KB  
Article
Dispersion Mechanism of Conductive Phase Materials and Micro-Mechanical Properties of ERCC
by Qiaoling Min, Mengxi Zhang, Da Feng, Yinpeng He, Honggang Li and Yixin Wang
Materials 2026, 19(7), 1411; https://doi.org/10.3390/ma19071411 - 1 Apr 2026
Viewed by 297
Abstract
Temperature control and crack prevention are crucial for mass concrete structures in cold regions. Electrically conductive roller-compacted concrete (ERCC) provides a promising route to shift surface temperature regulation from passive protection to active control. To develop an ERCC material suitable for engineering applications, [...] Read more.
Temperature control and crack prevention are crucial for mass concrete structures in cold regions. Electrically conductive roller-compacted concrete (ERCC) provides a promising route to shift surface temperature regulation from passive protection to active control. To develop an ERCC material suitable for engineering applications, this study first established a quantitative relationship between interparticle interaction energy and particle spacing to elucidate the effect of carbon black (CB) dispersion and agglomeration on concrete performance. The dispersion quality of CB was then evaluated by sedimentation tests, UV absorbance, and resistivity measurements. The absorbance of CB suspensions containing PCE, SDS, and TA increased by 79.9%, 80.1%, and 100.4%, respectively, compared with the suspension without dispersant, and TA gave the lowest mortar resistivity. Mechanical tests and mesoscopic simulations showed that coarse aggregate volume fraction and CB dosage had stronger effects on the compressive strength and elastic modulus of ERCC than aggregate gradation and specimen size. After calibration using the ERCC-2-TA mixture, the average errors between simulation and experiment were 0.7% for compressive strength and 0.4% for elastic modulus. For engineering applications, the recommended ERCC parameters were a coarse aggregate volume fraction of 40%, a CB content of 4–5% and a water-to-binder ratio of 0.45–0.50 for roads, and a CB content of 8% with a water-to-binder ratio of 0.55 for dams. Full article
Show Figures

Figure 1

17 pages, 566 KB  
Article
Life Cycle Assessment of Microplastic Fouling Mitigation Strategies in Membrane Filtration
by Rendra Hakim Hafyan, Vithushan Indrakumar, Judy Lee and Siddharth Gadkari
Membranes 2026, 16(4), 136; https://doi.org/10.3390/membranes16040136 - 1 Apr 2026
Viewed by 297
Abstract
While membrane technologies are critical for preventing microplastics (MPs) release into aquatic ecosystems, MPs-induced fouling remains a persistent bottleneck, necessitating energy-intensive cleaning strategies that introduce their own environmental burdens. This study presents a systematic life cycle assessment (LCA) of fouling mitigation strategies, rigorously [...] Read more.
While membrane technologies are critical for preventing microplastics (MPs) release into aquatic ecosystems, MPs-induced fouling remains a persistent bottleneck, necessitating energy-intensive cleaning strategies that introduce their own environmental burdens. This study presents a systematic life cycle assessment (LCA) of fouling mitigation strategies, rigorously comparing hydraulic forward flushing and nitrogen (N2) gas scouring across both unmodified and plasma-modified (acrylic acid, cyclopropylamine, and hexamethyldisiloxane) polysulfone membranes. Results reveal a stark divergence between operational performance and environmental sustainability. Baseline operations and the hydraulic flushing of unmodified membranes have environmentally costly global warming potential (GWP) ~150 kg CO2-eq/m3), driven primarily by high electricity consumption and frequent membrane replacement. Conversely, cyclopropylamine (CPAm) plasma-modified membranes emerging as the optimal strategy, reducing global warming potential to 68 kg CO2-eq/m3 and cutting electricity demand by 44% through superior fouling resistance. Crucially, the study uncovers a significant trade-off regarding gas scouring: While it achieves the highest technical performance (minimal flux decline of 0.33% h−1), the upstream burdens of N2 supply increased environmental impacts by over 100% across all categories. These findings challenge the assumption that maximum fouling control equates to sustainability, suggesting that surface engineering via plasma modification, rather than aggressive physical cleaning, offers the most viable pathway for sustainable MPs remediation. Full article
Show Figures

Graphical abstract

22 pages, 11760 KB  
Article
Microstructure and Arc Erosion Performance of CuCr50NiX Coatings by Infrared-Blue Hybrid Laser Cladding
by Yusen Duan, Xiuhua Guo, Jiang Feng, Chaomin Zhang, Kexing Song, Zhihua Wang, Kai Li and Yanyan Fan
Materials 2026, 19(7), 1389; https://doi.org/10.3390/ma19071389 - 31 Mar 2026
Viewed by 319
Abstract
In this study, CuCr50NiX (X = 0, 0.1, 0.5, and 0.9 wt.%) coatings were successfully fabricated on a pure copper substrate via infrared-blue hybrid laser cladding. The effects of Ni addition on the microstructure, mechanical and electrical properties, and arc erosion resistance [...] Read more.
In this study, CuCr50NiX (X = 0, 0.1, 0.5, and 0.9 wt.%) coatings were successfully fabricated on a pure copper substrate via infrared-blue hybrid laser cladding. The effects of Ni addition on the microstructure, mechanical and electrical properties, and arc erosion resistance under 24 V/30 A conditions were systematically investigated. The results demonstrate that Ni refines the Cr phase and promotes the formation of a (Cr, Ni) solid solution and nanoscale Cr7Ni3 precipitates during non-equilibrium solidification. The coating with 0.5 wt.% Ni exhibits optimal comprehensive performance. It achieves a high microhardness of 174.2 HV0.5, representing a 149% increase compared to the copper substrate (72 HV0.5). Simultaneously, it maintains a good electrical conductivity of 29.8% IACS. Arc erosion morphology transforms from localized deep pits (CuCr50) to uniform, shallow characteristics (CuCr50Ni0.5), accompanied by reduced cathode mass loss. This enhanced performance is attributed to the refined and dispersed Cr distribution, which facilitates dynamic arc root movement, together with improved phase boundary stability conferred by the (Cr, Ni) solid solution and Cr7Ni3 precipitates. This work provides a novel strategy for developing high-performance, long-life electrical contact components through surface alloying design and laser additive manufacturing. Full article
Show Figures

Graphical abstract

24 pages, 8561 KB  
Article
Evaluation of Subsurface Moisture Dynamics and Leakage Pathways Through Geoelectrical Mapping: Insights from Nagi Lake, South Sikkim
by Anil Kumar Misra, Vikram Gupta, Abhishek Kumar, Sambit Ghosh, Nikhil Raj Khatri, Rajesh Joshi, Mayank Joshi, Samir Rai and Manish Subba
Water 2026, 18(7), 823; https://doi.org/10.3390/w18070823 - 30 Mar 2026
Viewed by 271
Abstract
Sikkim, located in the northeastern Himalaya, is highly vulnerable to natural hazards and increasing depletion of surface and subsurface water resources, particularly springs and lakes. In South Sikkim, several lakes exhibit rapid drainage behavior, among which Nagi Lake shows near-complete water loss shortly [...] Read more.
Sikkim, located in the northeastern Himalaya, is highly vulnerable to natural hazards and increasing depletion of surface and subsurface water resources, particularly springs and lakes. In South Sikkim, several lakes exhibit rapid drainage behavior, among which Nagi Lake shows near-complete water loss shortly after rainfall, indicating the presence of subsurface leakage pathways. This study investigates shallow subsurface moisture dynamics and identifies potential seepage-prone zones beneath the Nagi Lake basin using geoelectrical methods. Electrical resistivity profiling was conducted along seven survey lines during the non-rainy season (October–November 2025) to minimize the influence of transient rainfall-induced moisture variations. Profiling was carried out using the Wenner method, achieving investigation depths of approximately 6.5–9 m. Additionally, Vertical Electrical Sounding (VES) using the Schlumberger configuration was performed at selected locations to examine deeper subsurface conditions. Resistivity results indicate that profiles L1, L2, L3, L4, and L7 contain relatively higher moisture restricted to the upper ~5 m, whereas profiles L5 and L6 exhibit persistently low resistivity values from the surface to depths of ~9 m, suggesting sustained subsurface moisture accumulation. The downward extension of low-resistivity zones along L5 and L6 indicates possible preferential seepage pathways or localized subsurface water storage. VES results further reveal a higher density of subsurface anomalies below ~14 m in these areas. These low-resistivity anomalies are interpreted as potential subsurface flow pathways. Although confirmation of active seepage requires additional hydrological or time-lapse investigations, the findings provide important baseline geophysical insights for lake rejuvenation. Full article
(This article belongs to the Section Water Quality and Contamination)
Show Figures

Figure 1

17 pages, 1706 KB  
Article
Electrochemical Properties and Rate-Limiting Processes in Nd2NiO4+δ Cathode for Intermediate-Temperature Solid Oxide Fuel Cells
by Sinuhe U. Costilla-Aguilar, M. J. Escudero-Berzal, J. F. López-Perales, Edén A. Rodríguez, Daniel Arturo Acuña Leal, A. Torres-Castro and R. F. Cienfuegos-Pelaes
Inorganics 2026, 14(4), 96; https://doi.org/10.3390/inorganics14040096 - 29 Mar 2026
Viewed by 637
Abstract
Nd2NiO4+δ was investigated as a Ruddlesden–Popper (RP) cathode material for intermediate-temperature solid oxide fuel cells (IT-SOFCs), with particular emphasis on its electrochemical performance and oxygen reduction reaction mechanism. The material was synthesized via a polymeric sol–gel route derived from Pechini’s [...] Read more.
Nd2NiO4+δ was investigated as a Ruddlesden–Popper (RP) cathode material for intermediate-temperature solid oxide fuel cells (IT-SOFCs), with particular emphasis on its electrochemical performance and oxygen reduction reaction mechanism. The material was synthesized via a polymeric sol–gel route derived from Pechini’s method and evaluated in symmetric cells using Ce0.9Gd0.1O2−δ (GDC) as the electrolyte. X-ray diffraction confirmed the formation of a single RP phase and good chemical compatibility with GDC after thermal treatments at 800 °C. Cathode layers with thicknesses of 8–12 µm were deposited by dip-coating. Electrical conductivity measurements revealed a thermally activated semiconducting behavior governed by Ni2+/Ni3+ small-polaron hopping, with an activation energy of ~1.08 eV. Electrochemical impedance spectroscopy showed a strong temperature dependence of the area-specific resistance, decreasing from 9.18 Ω·cm2 at 600 °C to 0.39 Ω·cm2 at 800 °C. Distribution of relaxation times (DRT) analysis enabled the identification of the dominant electrochemical processes, indicating that oxygen surface exchange reactions are more favorable than charge transfer at the cathode–electrolyte interface, which remains the main limiting step. These results demonstrate that Nd2NiO4+δ is a promising cathode for IT-SOFC operation, while further optimization of the electrode–electrolyte interface is required to enhance its oxygen reduction kinetics. Full article
(This article belongs to the Special Issue Novel Ceramics and Refractory Composites)
Show Figures

Figure 1

13 pages, 2794 KB  
Article
Industrial-Scale Copper Wear Reduction in the Electrical Discharge Machining Through Hydrostatic Extrusion
by Jacek Skiba, Mariusz Kulczyk, Sylwia Przybysz-Gloc, Monika Skorupska, Mariusz Kobus and Kamil Nowak
Materials 2026, 19(7), 1314; https://doi.org/10.3390/ma19071314 - 26 Mar 2026
Viewed by 322
Abstract
The study focused on the development and optimization of plastic deformation of pure M1E copper using an unconventional hydrostatic extrusion (HE) process aimed at improving the performance of electrodes used in electrical discharge machining (EDM). The process was designed to refine the microstructure [...] Read more.
The study focused on the development and optimization of plastic deformation of pure M1E copper using an unconventional hydrostatic extrusion (HE) process aimed at improving the performance of electrodes used in electrical discharge machining (EDM). The process was designed to refine the microstructure while maintaining the high electrical conductivity required for EDM applications. Optimization of a three-stage HE process (cumulative strain ε = 2.51) resulted in the formation of an ultrafine-grained structure (d2 ≈ 370 nm), leading to a significant increase in mechanical strength (UTS ≈ 400 MPa) while preserving very high electrical conductivity (~99% IACS). This combination of properties is particularly important for EDM electrodes, as it allows improved wear resistance without compromising electrical performance. Due to the application-oriented nature of the study, the HE-processed copper was tested under industrial EDM conditions. Wear tests were conducted using seven electrodes of different geometries required for the production of a sample injection mold. The results demonstrated a substantial reduction in electroerosion wear of HE-processed electrodes (30–90%) compared with undeformed copper, together with up to 25% improvement in surface quality. These findings indicate that hydrostatic extrusion is an effective method for producing high performance EDM electrode materials with improved durability and machining quality. Full article
Show Figures

Graphical abstract

19 pages, 7252 KB  
Article
Core–Shell Polyaniline–Carbon Nanotube Electrodes with Engineered Interfaces for High-Performance Ionic Polymer–Gel Composite Actuators
by Jintao Zhao, Yang Cao, Zhenjie Zhang, Dongyu Yang and Mingchuan Jia
Gels 2026, 12(4), 270; https://doi.org/10.3390/gels12040270 - 25 Mar 2026
Viewed by 297
Abstract
Ionic polymer–metal composites consist of an ion-conducting polymer–gel membrane sandwiched between two flexible electrodes, representing a class of soft electroactive materials capable of large deformation under low voltage. The gel membrane, swollen with solvent, facilitates ion migration under an electric field, enabling actuation. [...] Read more.
Ionic polymer–metal composites consist of an ion-conducting polymer–gel membrane sandwiched between two flexible electrodes, representing a class of soft electroactive materials capable of large deformation under low voltage. The gel membrane, swollen with solvent, facilitates ion migration under an electric field, enabling actuation. Tailoring the interfacial architecture between the electrode and the polymer–gel membrane is pivotal for advancing high-performance IPMC actuators. This study presents a comparative investigation of three core–shell nanocomposite electrodes, fabricated via in situ polymerization, for IPMC applications. Among these, the polyaniline-coated multi-walled carbon nanotube composite exhibits a deliberately designed hierarchical structure, with a specific surface area of 32.345 m2·g−1 and a conductive doped polyaniline shell, as confirmed through XPS analysis. This optimized interface enables superior charge storage and transport, endowing the corresponding electrode with a specific capacitance of 40.28 mF·cm−2 at 100 mV·s−1—3.2 times greater than that of conventional silver-based electrodes—along with a reduced sheet resistance. When integrated with a Nafion ion–gel membrane, the PANI@MWCNT electrode achieves a 67% increase in force density and a larger displacement output compared to standard devices, directly correlated with its enhanced electrical and electrochemical properties. This work highlights the critical role of core–shell interfacial engineering in governing electromechanical performance at the electrode–gel interface and offers a practical design strategy for developing high-performance, cost-effective IPMC actuators for soft robotics, flexible electronics, and related applications. Full article
(This article belongs to the Section Gel Chemistry and Physics)
Show Figures

Graphical abstract

Back to TopTop