Sign in to use this feature.

Years

Between: -

Subjects

remove_circle_outline
remove_circle_outline
remove_circle_outline
remove_circle_outline
remove_circle_outline
remove_circle_outline

Journals

Article Types

Countries / Regions

Search Results (32)

Search Parameters:
Keywords = subsea object

Order results
Result details
Results per page
Select all
Export citation of selected articles as:
18 pages, 3225 KB  
Article
Autonomous Tracking of Steel Lazy Wave Risers Using a Hybrid Vision–Acoustic AUV Framework
by Ali Ghasemi and Hodjat Shiri
J. Mar. Sci. Eng. 2025, 13(7), 1347; https://doi.org/10.3390/jmse13071347 - 15 Jul 2025
Viewed by 542
Abstract
Steel lazy wave risers (SLWRs) are critical in offshore hydrocarbon transport for linking subsea wells to floating production facilities in deep-water environments. The incorporation of buoyancy modules reduces curvature-induced stress concentrations in the touchdown zone (TDZ); however, extended operational exposure under cyclic environmental [...] Read more.
Steel lazy wave risers (SLWRs) are critical in offshore hydrocarbon transport for linking subsea wells to floating production facilities in deep-water environments. The incorporation of buoyancy modules reduces curvature-induced stress concentrations in the touchdown zone (TDZ); however, extended operational exposure under cyclic environmental and operational loads results in repeated seabed contact. This repeated interaction modifies the seabed soil over time, gradually forming a trench and altering the riser configuration, which significantly impacts stress patterns and contributes to fatigue degradation. Accurately reconstructing the riser’s evolving profile in the TDZ is essential for reliable fatigue life estimation and structural integrity evaluation. This study proposes a simulation-based framework for the autonomous tracking of SLWRs using a fin-actuated autonomous underwater vehicle (AUV) equipped with a monocular camera and multibeam echosounder. By fusing visual and acoustic data, the system continuously estimates the AUV’s relative position concerning the riser. A dedicated image processing pipeline, comprising bilateral filtering, edge detection, Hough transform, and K-means clustering, facilitates the extraction of the riser’s centerline and measures its displacement from nearby objects and seabed variations. The framework was developed and validated in the underwater unmanned vehicle (UUV) Simulator, a high-fidelity underwater robotics and pipeline inspection environment. Simulated scenarios included the riser’s dynamic lateral and vertical oscillations, in which the system demonstrated robust performance in capturing complex three-dimensional trajectories. The resulting riser profiles can be integrated into numerical models incorporating riser–soil interaction and non-linear hysteretic behavior, ultimately enhancing fatigue prediction accuracy and informing long-term infrastructure maintenance strategies. Full article
(This article belongs to the Section Ocean Engineering)
Show Figures

Figure 1

23 pages, 2846 KB  
Article
Research on Dynamic Calculation Methods for Deflection Tools in Deepwater Shallow Soft Formation Directional Wells
by Yufa He, Yu Chen, Xining Hao, Song Deng and Chaowei Li
Processes 2025, 13(6), 1947; https://doi.org/10.3390/pr13061947 - 19 Jun 2025
Viewed by 551
Abstract
The shallow, soft subsea formations, characterized by low strength and poor stability, lead to complex interactions between the screw motor drilling tool and the wellbore wall during directional drilling, complicating the accurate evaluation of the tool’s deflection capability. To address this issue, this [...] Read more.
The shallow, soft subsea formations, characterized by low strength and poor stability, lead to complex interactions between the screw motor drilling tool and the wellbore wall during directional drilling, complicating the accurate evaluation of the tool’s deflection capability. To address this issue, this paper proposes an integrated mechanical analysis method combining three-dimensional finite element analysis and transient dynamic analysis. By establishing a finite element model using 12-DOF (degree-of-freedom) spatial rigid-frame Euler–Bernoulli beam elements, coupled with well trajectory coordinate transformation and Rayleigh damping matrix, a precise description of drill string dynamic behavior is achieved. Furthermore, the introduction of pipe–soil dynamics and the p-y curve method improves the calculation of contact reaction forces between drilling tools and formation. Case studies demonstrate that increasing the tool face rotation angle intensifies lateral forces at the bit and stabilizer, with the predicted maximum dogleg severity within the first 10 m ahead of the bit progressively increasing. When the tool face rotation angle exceeds 2.5°, the maximum dogleg severity reaches 17.938°/30 m. With a gradual increase in the drilling pressure, the maximum bending stress on the drilling tool, maximum lateral cutting force, and stabilizer lateral forces progressively decrease, while vertical cutting forces and bit lateral forces gradually increase. However, the predicted maximum dogleg severity increases within the first 10 m ahead of the bit remain relatively moderate, suggesting the necessity for the multi-objective optimization of drilling pressure and related parameters prior to actual operations. Full article
(This article belongs to the Special Issue Modeling, Control, and Optimization of Drilling Techniques)
Show Figures

Figure 1

16 pages, 10702 KB  
Communication
Surface Roughness Analysis of Subsea Cables/Umbilicals
by Ahmed Reda, Han Eng Low and Mohamed A. Shahin
J. Mar. Sci. Eng. 2025, 13(1), 111; https://doi.org/10.3390/jmse13010111 - 9 Jan 2025
Cited by 1 | Viewed by 1271
Abstract
Surface roughness is an important factor influencing subsea cable/umbilical–soil interaction. The cable/umbilical goes through several steps before being laid on the seabed, including production, spooling, unspooling, and installation on the seabed. Yet, there is no standard method for assessing the outer sheath roughness, [...] Read more.
Surface roughness is an important factor influencing subsea cable/umbilical–soil interaction. The cable/umbilical goes through several steps before being laid on the seabed, including production, spooling, unspooling, and installation on the seabed. Yet, there is no standard method for assessing the outer sheath roughness, whether extruded or roving, of subsea cables/umbilicals, and outer sheath roughness has not been measured in many cable/umbilical–soil test datasets. The lack of a universally agreed method for assessing and preparing surface roughness stems from the diverse applications of cables/umbilicals, each of which is subject to varying environmental conditions and operational requirements. Such diversity complicates the establishment of a single standard. The objective of this paper is to present the measurements used to determine the surface roughness of the extruded outer and roving outer sheath of subsea cables/umbilicals. The surface roughness of the outer sheath of subsea cables/umbilicals is required for the soil interface direct shear tests, and the corresponding results are essential for determining the friction factors of the cable/umbilical–soil interaction on the seabed. Full article
(This article belongs to the Section Ocean Engineering)
Show Figures

Figure 1

19 pages, 3049 KB  
Article
Investigation of Influence of High Pressure on the Design of Deep-Water Horizontal Separator and Droplet Evolution
by Yuehong Cui, Ming Zhang, Haiyan Wang, Hualei Yi, Meng Yang, Lintong Hou, Shuo Liu and Jingyu Xu
Processes 2024, 12(12), 2619; https://doi.org/10.3390/pr12122619 - 21 Nov 2024
Viewed by 1204
Abstract
Under deep-water high-pressure conditions, the multiphase flow characteristics within separators show significant differences compared to conventional separators. When designing subsea separators, it is crucial to consider the impact of pressure to ensure that the design meets the separation objectives while remaining cost effective. [...] Read more.
Under deep-water high-pressure conditions, the multiphase flow characteristics within separators show significant differences compared to conventional separators. When designing subsea separators, it is crucial to consider the impact of pressure to ensure that the design meets the separation objectives while remaining cost effective. This study enhances the theoretical foundations of subsea separator design by analyzing droplet motion behaviors under high pressure and incorporating these influences into a rational design framework. A horizontal separator was designed and integrated into a laboratory-scale separation system for experimental validation. Through the comprehensive testing of separation efficiencies and process dynamics, it was found that increased pressures resulted in a decrease in oil droplet sizes; at pressures exceeding 6 MPa, droplet diameters were observed to drop below 100 μm. This reduction in droplet size extends the required separation time, necessitating larger separator dimensions at higher operational pressures to maintain adequate separation quality. Numerical simulations complement experimental findings by clarifying the underlying separation mechanisms under high-pressure conditions and offering design recommendations for separators deployed in deep-water environments. Full article
(This article belongs to the Section Manufacturing Processes and Systems)
Show Figures

Figure 1

21 pages, 1416 KB  
Article
A Novel Medium Access Policy Based on Reinforcement Learning in Energy-Harvesting Underwater Sensor Networks
by Çiğdem Eriş, Ömer Melih Gül and Pınar Sarısaray Bölük
Sensors 2024, 24(17), 5791; https://doi.org/10.3390/s24175791 - 6 Sep 2024
Cited by 9 | Viewed by 1929
Abstract
Underwater acoustic sensor networks (UASNs) are fundamental assets to enable discovery and utilization of sub-sea environments and have attracted both academia and industry to execute long-term underwater missions. Given the heightened significance of battery dependency in underwater wireless sensor networks, our objective is [...] Read more.
Underwater acoustic sensor networks (UASNs) are fundamental assets to enable discovery and utilization of sub-sea environments and have attracted both academia and industry to execute long-term underwater missions. Given the heightened significance of battery dependency in underwater wireless sensor networks, our objective is to maximize the amount of harvested energy underwater by adopting the TDMA time slot scheduling approach to prolong the operational lifetime of the sensors. In this study, we considered the spatial uncertainty of underwater ambient resources to improve the utilization of available energy and examine a stochastic model for piezoelectric energy harvesting. Considering a realistic channel and environment condition, a novel multi-agent reinforcement learning algorithm is proposed. Nodes observe and learn from their choice of transmission slots based on the available energy in the underwater medium and autonomously adapt their communication slots to their energy harvesting conditions instead of relying on the cluster head. In the numerical results, we present the impact of piezoelectric energy harvesting and harvesting awareness on three lifetime metrics. We observe that energy harvesting contributes to 4% improvement in first node dead (FND), 14% improvement in half node dead (HND), and 22% improvement in last node dead (LND). Additionally, the harvesting-aware TDMA-RL method further increases HND by 17% and LND by 38%. Our results show that the proposed method improves in-cluster communication time interval utilization and outperforms traditional time slot allocation methods in terms of throughput and energy harvesting efficiency. Full article
Show Figures

Figure 1

23 pages, 4290 KB  
Article
A Method for Recognition and Coordinate Reference of Autonomous Underwater Vehicles to Inspected Objects of Industrial Subsea Structures Using Stereo Images
by Valery Bobkov and Alexey Kudryashov
J. Mar. Sci. Eng. 2024, 12(9), 1514; https://doi.org/10.3390/jmse12091514 - 2 Sep 2024
Viewed by 1210
Abstract
To date, the development of unmanned technologies using autonomous underwater vehicles (AUVs) has become an urgent demand for solving the problem of inspecting industrial subsea structures. A key issue here is the precise localization of AUVs relative to underwater objects. However, the impossibility [...] Read more.
To date, the development of unmanned technologies using autonomous underwater vehicles (AUVs) has become an urgent demand for solving the problem of inspecting industrial subsea structures. A key issue here is the precise localization of AUVs relative to underwater objects. However, the impossibility of using GPS and the presence of various interferences associated with the dynamics of the underwater environment do not allow high-precision navigation based solely on a standard suite of AUV navigation tools (sonars, etc.). An alternative technology involves the processing of optical images that, at short distances, can provide higher accuracy of AUV navigation compared to the technology of acoustic measurement processing. Although there have been results in this direction, further development of methods for extracting spatial information about objects from images recorded by a camera is necessary in the task of calculating the exact mutual position of the AUV and the object. In this study, in the context of the problem of subsea production system inspection, we propose a technology to recognize underwater objects and provide coordinate references to the AUV based on stereo-image processing. Its distinctive features are the use of a non-standard technique to generate a geometric model of an object from its views (foreshortening) taken from positions of a pre-made overview trajectory, the use of various characteristic geometric elements when recognizing objects, and the original algorithms for comparing visual data of the inspection trajectory with an a priori model of the object. The results of experiments on virtual scenes and with real data showed the effectiveness of the proposed technology. Full article
(This article belongs to the Special Issue Autonomous Marine Vehicle Operations—2nd Edition)
Show Figures

Figure 1

12 pages, 8148 KB  
Article
Multi-Module Fusion Model for Submarine Pipeline Identification Based on YOLOv5
by Bochen Duan, Shengping Wang, Changlong Luo and Zhigao Chen
J. Mar. Sci. Eng. 2024, 12(3), 451; https://doi.org/10.3390/jmse12030451 - 3 Mar 2024
Cited by 6 | Viewed by 2228
Abstract
In recent years, the surge in marine activities has increased the frequency of submarine pipeline failures. Detecting and identifying the buried conditions of submarine pipelines has become critical. Sub-bottom profilers (SBPs) are widely employed for pipeline detection, yet manual data interpretation hampers efficiency. [...] Read more.
In recent years, the surge in marine activities has increased the frequency of submarine pipeline failures. Detecting and identifying the buried conditions of submarine pipelines has become critical. Sub-bottom profilers (SBPs) are widely employed for pipeline detection, yet manual data interpretation hampers efficiency. The present study proposes an automated detection method for submarine pipelines using deep learning models. The approach enhances the YOLOv5s model by integrating Squeeze and Excitation Networks (SE-Net) and S2-MLPv2 attention modules into the backbone network structure. The Slicing Aided Hyper Inference (SAHI) module is subsequently introduced to recognize original large-image data. Experimental results conducted in the Yellow Sea region demonstrate that the refined model achieves a precision of 82.5%, recall of 99.2%, and harmonic mean (F1 score) of 90.0% on actual submarine pipeline data detected using an SBP. These results demonstrate the efficiency of the proposed method and applicability in real-world scenarios. Full article
Show Figures

Figure 1

19 pages, 11331 KB  
Article
Advanced Underwater Measurement System for ROVs: Integrating Sonar and Stereo Vision for Enhanced Subsea Infrastructure Maintenance
by Jiawei Zhang, Fenglei Han, Duanfeng Han, Jianfeng Yang, Wangyuan Zhao and Hansheng Li
J. Mar. Sci. Eng. 2024, 12(2), 306; https://doi.org/10.3390/jmse12020306 - 9 Feb 2024
Cited by 3 | Viewed by 3735
Abstract
In the realm of ocean engineering and maintenance of subsea structures, accurate underwater distance quantification plays a crucial role. However, the precision of such measurements is often compromised in underwater environments due to backward scattering and feature degradation, adversely affecting the accuracy of [...] Read more.
In the realm of ocean engineering and maintenance of subsea structures, accurate underwater distance quantification plays a crucial role. However, the precision of such measurements is often compromised in underwater environments due to backward scattering and feature degradation, adversely affecting the accuracy of visual techniques. Addressing this challenge, our study introduces a groundbreaking method for underwater object measurement, innovatively combining image sonar with stereo vision. This approach aims to supplement the gaps in underwater visual feature detection with sonar data while leveraging the distance information from sonar for enhanced visual matching. Our methodology seamlessly integrates sonar data into the Semi-Global Block Matching (SGBM) algorithm used in stereo vision. This integration involves introducing a novel sonar-based cost term and refining the cost aggregation process, thereby both elevating the precision in depth estimations and enriching the texture details within the depth maps. This represents a substantial enhancement over existing methodologies, particularly in the texture augmentation of depth maps tailored for subaquatic environments. Through extensive comparative analyses, our approach demonstrates a substantial reduction in measurement errors by 1.6%, showing significant promise in challenging underwater scenarios. The adaptability and accuracy of our algorithm in generating detailed depth maps make it particularly relevant for underwater infrastructure maintenance, exploration, and inspection. Full article
(This article belongs to the Section Ocean Engineering)
Show Figures

Figure 1

38 pages, 9487 KB  
Article
The Optimization of a Subsea Pipeline Installation Configuration Using a Genetic Algorithm
by Damir Karabaić, Marko Kršulja, Sven Maričić and Lovro Liverić
J. Mar. Sci. Eng. 2024, 12(1), 156; https://doi.org/10.3390/jmse12010156 - 12 Jan 2024
Cited by 2 | Viewed by 4833
Abstract
The most commonly used subsea pipeline installation method is the S-Lay method. A very important and complex task in an S-Lay installation engineering analysis is to find the optimal pipelay vessel installation configuration for every distinctive pipeline route section. Installation loads in the [...] Read more.
The most commonly used subsea pipeline installation method is the S-Lay method. A very important and complex task in an S-Lay installation engineering analysis is to find the optimal pipelay vessel installation configuration for every distinctive pipeline route section. Installation loads in the pipeline are very sensitive to small changes in the configuration of the pipeline supports during laying and other influential parameters, such as the tensioner force, stinger angle, trim and draft of the pipelay vessel. Therefore, the process of an engineering installation analysis is very demanding, and there is a need for an automated optimization process. For that purpose, installation engineering methodology criteria and requirements are formalized into a nonlinear optimization problem with mixed continuous and discrete variables. A special tailored multi-objective genetic algorithm is developed that can be adjusted to any desired combination of criteria and offshore standards’ requirements. The optimization algorithm is applied to the representative test cases. The optimization procedure efficiency and quality of the achieved solution prove that the developed genetic algorithm operators and the whole optimization approach are adequate for the presented application. Full article
(This article belongs to the Section Ocean Engineering)
Show Figures

Figure 1

23 pages, 5420 KB  
Article
Performance Comparison of Sea Cucumber Detection by the Yolov5 and DETR Approach
by Xin Yuan, Shutong Fang, Ning Li, Qiansheng Ma, Ziheng Wang, Mingfeng Gao, Pingpeng Tang, Changli Yu, Yihan Wang and José-Fernán Martínez Ortega
J. Mar. Sci. Eng. 2023, 11(11), 2043; https://doi.org/10.3390/jmse11112043 - 25 Oct 2023
Cited by 9 | Viewed by 2973
Abstract
Sea cucumber detection represents an important step in underwater environmental perception, which is an indispensable part of the intelligent subsea fishing system. However, water turbidity decreases the clarity of underwater images, presenting a challenge to vision-based underwater target detection. Therefore, accurate, real-time, and [...] Read more.
Sea cucumber detection represents an important step in underwater environmental perception, which is an indispensable part of the intelligent subsea fishing system. However, water turbidity decreases the clarity of underwater images, presenting a challenge to vision-based underwater target detection. Therefore, accurate, real-time, and lightweight detection models are required. First of all, the development of subsea target detection is summarized in this present work. Object detection methods based on deep learning including YOLOv5 and DETR, which are, respectively, examples of one-stage and anchor-free object detection approaches, have been increasingly applied in underwater detection scenarios. Based on the state-of-the-art underwater sea cucumber detection methods and aiming to provide a reference for practical subsea identification, adjacent and overlapping sea cucumber detection based on YOLOv5 and DETR are investigated and compared in detail. For each approach, the detection experiment is carried out on the derived dataset, which consists of a wide variety of sea cucumber sample images. Experiments demonstrate that YOLOv5 surpasses DETR in low computing consumption and high precision, particularly in the detection of small and dense features. Nevertheless, DETR exhibits rapid development and holds promising prospects in underwater object detection applications, owing to its relatively simple architecture and ingenious attention mechanism. Full article
(This article belongs to the Section Ocean Engineering)
Show Figures

Figure 1

26 pages, 14293 KB  
Article
Real-Time Detection of Slug Flow in Subsea Pipelines by Embedding a Yolo Object Detection Algorithm into Jetson Nano
by Weiliang Qiao, Hongtongyang Guo, Enze Huang, Xin Su, Wenhua Li and Haiquan Chen
J. Mar. Sci. Eng. 2023, 11(9), 1658; https://doi.org/10.3390/jmse11091658 - 24 Aug 2023
Cited by 6 | Viewed by 3426
Abstract
In the multiple-phase pipelines in terms of the subsea oil and gas industry, the occurrence of slug flow would cause damage to the pipelines and related equipment. Therefore, it is very necessary to develop a real-time and high-precision slug flow identification technology. In [...] Read more.
In the multiple-phase pipelines in terms of the subsea oil and gas industry, the occurrence of slug flow would cause damage to the pipelines and related equipment. Therefore, it is very necessary to develop a real-time and high-precision slug flow identification technology. In this study, the Yolo object detection algorithm and embedded deployment are applied initially to slug flow identification. The annotated slug flow images are used to train seven models in Yolov5 and Yolov3. The high-precision detection of the gas slug and dense bubbles in the slug flow image in the vertical pipe is realized, and the issue that the gas slug cannot be fully detected due to being blocked by dense bubbles is solved. After model performance analysis, Yolov5n is verified to have the strongest comprehensive detection performance, during which, mAP0.5 is 93.5%, mAP0.5:0.95 is 65.1%, and comprehensive mAP (cmAP) is 67.94%; meanwhile, the volume of parameters and Flops are only 1,761,871 and 4.1 G. Then, the applicability of Yolov5n under different environmental conditions, such as different brightness and adding random obstructions, is analyzed. Finally, the trained Yolov5n is deployed to the Jetson Nano embedded device (NVIDIA, Santa Clara, CA, USA), and TensorRT is used to accelerate the inference process of the model. The inference speed of the slug flow image is about five times of the original, and the FPS has increased from 16.7 to 83.3. Full article
Show Figures

Figure 1

22 pages, 21743 KB  
Article
The Influence of a Key Indicator kv on the Diffusion Range of Underwater Oil Spill
by Hong Ji, Yaxin Wang, Ting Wang, Ke Yang and Zhixiang Xing
Processes 2023, 11(8), 2332; https://doi.org/10.3390/pr11082332 - 3 Aug 2023
Cited by 3 | Viewed by 1545
Abstract
As oil spills cause harm to the survival and environment of the ocean, the objective of the present paper is to study the oil migration range using the key indicator kv, which is defined as the ratio of oil spill speed [...] Read more.
As oil spills cause harm to the survival and environment of the ocean, the objective of the present paper is to study the oil migration range using the key indicator kv, which is defined as the ratio of oil spill speed to ocean current speed. The correctness of diffusion models created and estimated for subsea oil spills can be verified by experiments. We also considered the effect of key indicators on the horizontal and vertical dispersion ranges of oil spills. The study’s findings show that, under various kv settings, the horizontal and vertical spreading heights of oil spills both increase as kv rises. When kv is equal, the leakage velocity and water flow velocity increase synchronously, and over time, the horizontal distance and vertical diffusion height of the oil spill gradually increase. In the early stages of an oil spill, when kv = 50, 100, or 150, the vertical spreading velocity will rapidly decrease. The vertical spreading speed of spilled oil increases as kv rises when the water flow rate remains constant. The horizontal migration distance grows as kv decreases when the leakage rate is constant. Fitting curves for the vertical rise height and horizontal spreading distance for the same and various kv settings were also obtained in order to anticipate the migration mode of oil spills. This is critical for dealing with environmental damage caused by maritime oil spills, as well as emergency responses. Full article
(This article belongs to the Special Issue Control, Removal and Optimization of Environmental Contaminants)
Show Figures

Figure 1

22 pages, 19078 KB  
Article
A Location-Allocation Model with Obstacle and Capacity Constraints for the Layout Optimization of a Subsea Transmission Network with Line-Shaped Conduction Structures
by Cheng Hong, Yuxi Wang and Segen F. Estefen
J. Mar. Sci. Eng. 2023, 11(6), 1171; https://doi.org/10.3390/jmse11061171 - 2 Jun 2023
Cited by 3 | Viewed by 2548
Abstract
The idea of this paper comes from the need for a practical layout design for the subsea pipe line network and the power transmission network of offshore wind farms with subsea cables, which are both subsea transmission networks with line-shaped conduction structures. In [...] Read more.
The idea of this paper comes from the need for a practical layout design for the subsea pipe line network and the power transmission network of offshore wind farms with subsea cables, which are both subsea transmission networks with line-shaped conduction structures. In this paper, this practical need is treated as an location-allocation problem, with the objective of minimizing the total cost, and a mixed-integer linear programming model (MILP) for layout optimization is developed. Through the model, the locations of service centers and theit corresponding sizes, the allocations between customers and service centers, as well as the transmission routes can all be figured out. This work makes two key contributions. First, facilities’ capacity restrictions and the avoidance of subsea obstacles are both integrated, making the description of the layout closer to practical situations. Secondly, a “global to local” search process based on the Delaunay triangulation method is constructed to solve the model, resulting in a high-quality solution. An offshore field layout design scenario is taken as a case study, through which the validity, feasibility, and stability of the proposed model, as well as the solution strategy, are presented. Furthermore, in the case study, the effect of the manifold number on the layout optimization is analyzed, indicating the flexibility of the model’s applications. Full article
Show Figures

Figure 1

16 pages, 10239 KB  
Article
Flow-Induced Forces for a Group of One Large and Several Small Structures in the Sheared Turbulent Flow
by Henry Francis Annapeh and Victoria Kurushina
Fluids 2023, 8(5), 158; https://doi.org/10.3390/fluids8050158 - 17 May 2023
Cited by 3 | Viewed by 1829
Abstract
Evaluating the hydrodynamic force fluctuations acting on each structure in a group of subsea objects of different cross-section shapes, sizes and relative positions represents a challenge due to the sensitivity of the vortex shedding process, especially for a variety of sheared flows. The [...] Read more.
Evaluating the hydrodynamic force fluctuations acting on each structure in a group of subsea objects of different cross-section shapes, sizes and relative positions represents a challenge due to the sensitivity of the vortex shedding process, especially for a variety of sheared flows. The present study uses the numerical 2D computational fluid dynamics model to estimate the flow-induced forces on a group of small circular and D-shaped cylinders in the linear and parabolic sheared flow, which are placed in proximity to a larger structure of the squared cross-section. This allows us to evaluate loads, which are affected by the presence of subsea equipment located on the seabed. The average Reynolds number of the considered linear flow profile is 3900, while the parabolic flow profile has the maximum Reynolds number of 3900. The k-ω SST turbulence model is used for simulations. The work demonstrates the effect of the cross-sectional shape of smaller cylinders on hydrodynamic coefficients, explores the effect from the spacing in between the structures and highlights differences between loads in the linearly sheared and parabolic flow. The results obtained show that the presence of the squared cylinder notably influences the mean drag coefficient on the first cylinder, for both circular and D-shaped cylinders. The parabolic sheared flow profile in this series leads to the highest mean drag and the highest amplitudes of the fluctuating drag and lift coefficients. Full article
(This article belongs to the Special Issue Next-Generation Methods for Turbulent Flows)
Show Figures

Figure 1

18 pages, 17798 KB  
Article
A Normalized Terzaghi Model and Time-Step FEA for Predicting the Adsorption of a Cylindrical Object in Subsea Salvage
by Yibo Nan, Feihong Yun, Shaoming Yao, Ming Liu and Liquan Wang
Machines 2023, 11(2), 245; https://doi.org/10.3390/machines11020245 - 7 Feb 2023
Viewed by 1515
Abstract
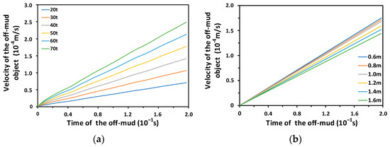
This paper proposes a normalized Terzaghi model modified based on finite element analysis to predict the adsorption force of a cylindrical object for salvage from the seabed. The maximum relative error is less than 5% compared with finite element analysis. Furthermore, the time-step [...] Read more.
This paper proposes a normalized Terzaghi model modified based on finite element analysis to predict the adsorption force of a cylindrical object for salvage from the seabed. The maximum relative error is less than 5% compared with finite element analysis. Furthermore, the time-step finite element method is adopted to analyze the effects of the lifting force and bury depth. With increased lifting force, the critical displacement is reduced slightly, soil separation on the bottom of the object occurs earlier, and the velocity increases more quickly at the same burial depth. In addition, the soil displacement on the bottom stops increasing earlier, and the off-mud process is completed earlier. With increased burial depth, soil separation takes considerably longer, velocity increases more slowly, the maximum soil displacement is increased, and the off-mud process takes longer to complete. Full article
(This article belongs to the Section Machine Design and Theory)
Show Figures

Figure 1

Back to TopTop