Sign in to use this feature.

Years

Between: -

Subjects

remove_circle_outline
remove_circle_outline
remove_circle_outline
remove_circle_outline
remove_circle_outline
remove_circle_outline
remove_circle_outline
remove_circle_outline
remove_circle_outline

Journals

Article Types

Countries / Regions

Search Results (40)

Search Parameters:
Keywords = subcycling

Order results
Result details
Results per page
Select all
Export citation of selected articles as:
18 pages, 5879 KB  
Article
Study on HILS Implementation of FPGA-Based PFC Circuits Using Sub-Cycle Average Models
by Tae-Hun Kim, Won-Cheol Hong, Su-Han Pyo, Byeong-Hyeon An and Tae-Sik Park
Energies 2025, 18(24), 6443; https://doi.org/10.3390/en18246443 - 9 Dec 2025
Viewed by 211
Abstract
This paper presents a Field-Programmable Gate Array (FPGA)-based Hardware-in-the-Loop (HIL) simulation of an Interleaved Boost Power Factor Correction (PFC) converter using the Sub-Cycle Average (SCA) modeling technique. The main objective is to achieve accurate real-time simulation performance given the hardware constraints of low-cost [...] Read more.
This paper presents a Field-Programmable Gate Array (FPGA)-based Hardware-in-the-Loop (HIL) simulation of an Interleaved Boost Power Factor Correction (PFC) converter using the Sub-Cycle Average (SCA) modeling technique. The main objective is to achieve accurate real-time simulation performance given the hardware constraints of low-cost FPGAs. By combining the SCA modeling approach with a time-averaging correction method, the proposed model effectively reduces sampling delays and duty-cycle estimation errors arising from asynchronous Pulse Width Modulation (PWM) signal acquisition. The SCA-based converter model and time-averaging correction technique were implemented in MATLAB/Simulink R2024b using the HDL Coder environment. To validate real-time simulation accuracy, power factor improvement was evaluated for a two-phase Interleaved Boost PFC operating at a switching frequency of 60 kHz. Experimental results confirm that the proposed approach enables accurate Controller–HIL testing of power converters, even when implemented on low-cost FPGA platforms such as the Zybo Z7-10 evaluation board. Full article
(This article belongs to the Section F3: Power Electronics)
Show Figures

Figure 1

24 pages, 3309 KB  
Article
High-Fidelity Monte Carlo Modelling of the HTGR Fuel Cycle for Fuel Utilization Optimization and Nuclear Safety Assurance
by Jerzy Cetnar
Energies 2025, 18(24), 6410; https://doi.org/10.3390/en18246410 - 8 Dec 2025
Viewed by 403
Abstract
This paper presents a numerical study of fuel cycle performance and time–space characteristics of a research-scale high temperature gas-cooled reactor (HTGR) using high-fidelity Monte Carlo simulations with continuous-energy and double-heterogeneity modeling. Three core geometries (V1, V2, V3) and three fuel enrichment levels (5%, [...] Read more.
This paper presents a numerical study of fuel cycle performance and time–space characteristics of a research-scale high temperature gas-cooled reactor (HTGR) using high-fidelity Monte Carlo simulations with continuous-energy and double-heterogeneity modeling. Three core geometries (V1, V2, V3) and three fuel enrichment levels (5%, 8%, 12%) were analyzed with axial batch refueling strategies. Results show a strong dependence of fuel utilization on geometry and enrichment. The V2 configuration achieves the best performance, with sub-cycle lengths up to 550 days and fuel utilization over 91% at 12% enrichment. V1 and V3 yield shorter cycles but maintain stable power and temperature profiles. In all cases, fuel temperature remained below 1200 K, ensuring a wide safety margin. The similarity of power distributions for different enrichments indicates that a single core design can accommodate various fuel types without compromising safety. These findings support the selection of V2 as a reference configuration for a future HTGR research reactor. Full article
(This article belongs to the Special Issue Advanced Nuclear Energy Systems: Design and Engineering Innovations)
Show Figures

Figure 1

13 pages, 3565 KB  
Article
Dynamic Imprint and Recovery Mechanisms in Hf0.2Zr0.8O2 Anti-Ferroelectric Capacitors with FORC Characterization
by Yuetong Huo, Jianguo Li, Zeping Weng, Yaru Ding, Lijian Chen, Jiabin Qi, Yiming Qu and Yi Zhao
Electronics 2025, 14(23), 4593; https://doi.org/10.3390/electronics14234593 - 23 Nov 2025
Viewed by 330
Abstract
The conventional static imprint effect in HfxZr1−xO2 (HZO) ferroelectric (FE) devices, which degrades data retention, is generally characterized by a shift in the hysteresis loop along the electric field axis. Unlike the static imprint effect, the dynamic imprint [...] Read more.
The conventional static imprint effect in HfxZr1−xO2 (HZO) ferroelectric (FE) devices, which degrades data retention, is generally characterized by a shift in the hysteresis loop along the electric field axis. Unlike the static imprint effect, the dynamic imprint effect emerges under dynamic electric fields or actual operating conditions, making the FE film exceptionally sensitive to switching pulse parameters and domain history. In HZO anti-ferroelectric (AFE) devices, this dynamic imprint effect alters the coercive field distribution associated with domain switching and poses a significant challenge to long-term stable device operation. This study systematically investigates the dynamic imprint effect and its recovery process using a comprehensive integration of first-order reversal curve (FORC) analysis, transient current-voltage (I-V), and polarization-voltage (P-V) characterization. By analyzing localized imprint behavior under sub-cycling conditions, mechanisms and recovery pathways of imprint in AFE devices are proposed. Finally, possible physics-based mechanisms describing imprint behaviors and recovery behaviors are discussed, providing insights for optimizing AFE memory technology performance and reliability. Full article
(This article belongs to the Special Issue Integration of Emerging Memory and Neuromorphic Architecture Chips)
Show Figures

Figure 1

19 pages, 3273 KB  
Article
Thermo-Economic Investigation of an ORC-Based Carnot Battery Driven by the Ocean Temperature Gradient
by Liuchen Liu, Yining Yang and Jiarui Dai
Energies 2025, 18(22), 6005; https://doi.org/10.3390/en18226005 - 16 Nov 2025
Viewed by 348
Abstract
Carnot Batteries with thermal integration stand as one of the most promising approaches to tackling contemporary global energy problems. Currently, research on Carnot Battery systems utilizing the ocean thermal gradient is still in its early stages. This paper establishes a holistic thermo-economic model [...] Read more.
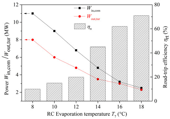
Carnot Batteries with thermal integration stand as one of the most promising approaches to tackling contemporary global energy problems. Currently, research on Carnot Battery systems utilizing the ocean thermal gradient is still in its early stages. This paper establishes a holistic thermo-economic model to assess the system’s performance. Through working fluid screening and subsequent multi-objective optimization, this study identifies the optimal working fluid and clarifies the system’s thermal economy at the optimal design point. With round-trip efficiency and total cost as metrics, a sensitivity analysis identified key parameter effects on the system. This was followed by a multi-objective optimization, where the TOPSIS method selected the optimal solution. It was found that, when Ammonia and R1234yf were used as the working fluids in the RC and ORC sub-cycles, respectively, the system can achieve peak performances of 71.79% round-trip efficiency and 36.24% exergy efficiency. Moreover, the RC evaporation temperature exerts the most significant influence on the overall thermodynamic performance. Multi-objective optimization successfully identified a balanced thermo-economic design, yielding an optimal solution with a round-trip efficiency of 65.30% at a total cost of USD 65.90 M. These results offer critical insights for the design and optimization of this promising ocean thermal-powered Carnot Battery system. Full article
(This article belongs to the Section K: State-of-the-Art Energy Related Technologies)
Show Figures

Figure 1

18 pages, 4761 KB  
Article
Submesoscale Eddies Identified by SWOT and Their Comparison with Mesoscale Eddies in the Tropical Western Pacific
by Lunyi Cao, Yongchui Zhang, Yang Wang, Mei Hong, Yongliang Wei, Chunhua Qiu and Xingyue Xia
Remote Sens. 2025, 17(18), 3242; https://doi.org/10.3390/rs17183242 - 19 Sep 2025
Viewed by 1141
Abstract
Conventional altimeter satellites, such as TOPEX/Poseidon and Jason series, can identify ocean mesoscale eddies (MEs) but cannot effectively distinguish submesoscale eddies (SMEs) due to horizontal resolution limitations. The emergence of the Surface Water and Ocean Topography (SWOT) satellite has enabled the resolution (or [...] Read more.
Conventional altimeter satellites, such as TOPEX/Poseidon and Jason series, can identify ocean mesoscale eddies (MEs) but cannot effectively distinguish submesoscale eddies (SMEs) due to horizontal resolution limitations. The emergence of the Surface Water and Ocean Topography (SWOT) satellite has enabled the resolution (or detection) of SMEs. At present, Data Unification and Altimeter Combination System (DUACS) (MEs-resolving) and SWOT (SMEs-resolving) satellites operate concurrently in orbit, however a systematic comparison and analysis of their observational outputs has yet to be conducted. Using a closed-contour scalar analysis method, this study identifies SMEs in the tropical western Pacific Ocean and compares the results with those from the dataset. The latitude-dependent Rossby deformation radius is employed to differentiate MEs from SMEs. For MEs, SWOT detects 176 per 10.5-day sub-cycle, while DUACS detects 162, which are roughly equivalent. For SMEs, SWOT identifies 273 per sub-cycle, far exceeding the 13 detected by DUACS. For amplitudes, DUACS measures 5.22 cm and 3.67 cm for MEs and SMEs, respectively, while the values reported by the SWOT satellite are 6.13 cm and 4.49 cm. In both datasets, cyclonic eddies are more prevalent in all cases except for the SMEs detected by SWOT, where anticyclonic eddies slightly outnumber cyclonic eddies. Additionally, during the trial operation and scientific orbit phases, SWOT is able to resolve 29 SMEs per orbit. The results indicate that high-resolution data can distinguish phenomena that conventional satellite altimeters cannot capture, providing valuable references for the analysis and application of SME characteristics. Full article
Show Figures

Figure 1

17 pages, 1718 KB  
Article
A Fifth-Generation-Based Synchronized Measurement Method for Urban Distribution Networks
by Jie Zhang, Bo Pang, Linghao Zhang and Sihao Tang
Energies 2025, 18(17), 4767; https://doi.org/10.3390/en18174767 - 8 Sep 2025
Viewed by 809
Abstract
This work proposes a 5G-based synchronized measurement method for urban distribution networks. First, downlink frequency synchronization is achieved by cross-correlating the Primary and Secondary Synchronization Signals (PSSs/SSSs) within gNB-broadcast Synchronization Signal Blocks (SSBs), enabling accurate alignment with the 5G system clock. Then, uplink [...] Read more.
This work proposes a 5G-based synchronized measurement method for urban distribution networks. First, downlink frequency synchronization is achieved by cross-correlating the Primary and Secondary Synchronization Signals (PSSs/SSSs) within gNB-broadcast Synchronization Signal Blocks (SSBs), enabling accurate alignment with the 5G system clock. Then, uplink phase synchronization is refined using Timing Advance (TA) feedback to compensate for propagation delays. Based on the recovered 5G Pulse Per Second (PPS) signal, a dynamic compensation algorithm is applied to discipline the SAR ADC sampling process. This algorithm tracks crystal oscillator drift, accumulates sub-cycle deviations, and corrects integer timer counts only when the error exceeds ±0.5. Simulations under a 228 MHz oscillator and 1200 samples per cycle demonstrate that the accumulated phase error remains below 0.00008°, satisfying IEEE C37.118 precision requirements. Compared with traditional GPS-based synchronization methods, the proposed solution offers greater deployment flexibility and can operate reliably in GPS-denied environments such as indoors and urban canyons. Full article
Show Figures

Figure 1

21 pages, 12189 KB  
Article
Experimental Investigation and Modelling of the Incipient Fault of Low-Voltage XLPE Cables in Wet Environments
by Chen Zeng, Yunhe Wang, Miaomiao Wu, Yanru Lei, Jing Yong and Xiaojing Wang
Appl. Sci. 2025, 15(8), 4524; https://doi.org/10.3390/app15084524 - 19 Apr 2025
Viewed by 804
Abstract
The study of incipient faults due to insulation defects in cables is crucial for preventing electrical fires and ensuring personal safety. However, research on incipient faults in low-voltage cables remains relatively underexplored compared to that on medium-voltage cables. This paper focuses on low-voltage [...] Read more.
The study of incipient faults due to insulation defects in cables is crucial for preventing electrical fires and ensuring personal safety. However, research on incipient faults in low-voltage cables remains relatively underexplored compared to that on medium-voltage cables. This paper focuses on low-voltage cross-linked polyethylene (XLPE) cables and investigates the changes in voltage and current caused by insulation defects in different wet conditions. The main findings are that the voltage applied to the cable with defective insulation shows sub-cycle disturbances that become more frequent. The current in the cable conductor shows a pulsed shape, coincident with the voltage disturbances. Over time, the sub-cycle disturbances gradually disappear, instead, the steady-state leakage current emerges. The wet conditions affect waveforms of the voltage/current disturbance and the frequency of occurrence. The findings provide detailed and unique characteristics of the voltage and current during the cable incipient fault, which are different from those of the incipient fault in the medium-voltage cables. The simulation and analysis support the experimental results. Based on the experimental results, a model is developed for further research on LV-cable incipient fault detection and protection. Full article
Show Figures

Figure 1

15 pages, 14778 KB  
Article
Localized Vector Optical Nondiffracting Subcycle Pulses
by Klemensas Laurinavičius and Sergej Orlov
Appl. Sci. 2024, 14(24), 11538; https://doi.org/10.3390/app142411538 - 11 Dec 2024
Cited by 1 | Viewed by 1200
Abstract
Structured light is essential in various fields such as imaging, communications, computing, laser microprocessing, and ultrafast and nonlinear optics. The structuring of light can occur in terms of space, amplitude, phase, polarization, time, frequency, and duration. One of the intriguing properties that can [...] Read more.
Structured light is essential in various fields such as imaging, communications, computing, laser microprocessing, and ultrafast and nonlinear optics. The structuring of light can occur in terms of space, amplitude, phase, polarization, time, frequency, and duration. One of the intriguing properties that can be obtained is resistance to the diffractive spread and dispersive broadening of the pulsed beams. This happens when temporal properties such as frequency are coupled with spatial properties like angles of propagation of plane-wave components. In this case, pulsed light beams exhibit characteristics similar to optical bullets, resisting both diffraction and material dispersion. This study questions whether free-space optical bullets that possess nondiffracting and nondispersive properties are possible with subcycle durations. We report on the possibility to create nondiffracting and nondispersing localized subcycle pulsed beams and their complex polarization topologies when controlling the group velocity of these light structures. Full article
(This article belongs to the Special Issue Ultrafast and Nonlinear Laser Applications)
Show Figures

Figure 1

31 pages, 10502 KB  
Article
Flexible Simulation Platform for Generating Realistic Waveforms with Voltage Notches
by Joaquín E. Caicedo, Olga Zyabkina, Edwin Rivas and Jan Meyer
Appl. Sci. 2024, 14(23), 11031; https://doi.org/10.3390/app142311031 - 27 Nov 2024
Viewed by 1277
Abstract
Voltage notches are steady-state sub-cycle waveform distortions caused by the normal operation of line-commutated power converters, significantly impacting power quality in industrial low-voltage (LV) networks. Despite their common occurrence, research on this phenomenon is still incipient, and realistic simulation platforms are lacking. This [...] Read more.
Voltage notches are steady-state sub-cycle waveform distortions caused by the normal operation of line-commutated power converters, significantly impacting power quality in industrial low-voltage (LV) networks. Despite their common occurrence, research on this phenomenon is still incipient, and realistic simulation platforms are lacking. This paper introduces a detailed MATLAB (R2024a)/Simulink-based simulation platform that models a benchmark low-voltage industrial installation, including a six-pulse controlled rectifier, linear loads, and a capacitor bank for power factor correction. Systematic simulations are performed with the platform to examine the sensitivity of notch characteristics to key parameters within plausible ranges, such as short-circuit power at the point of common coupling, commutation reactance, firing angle, snubber circuits, and rated power of the rectifier. In addition, parameters such as the rated power of linear loads and the compensation power of the capacitor bank are examined. Other influencing parameters including background voltage unbalance and distortion are also modeled and considered. A comparative analysis with field measurements from German industrial LV networks validates the plausibility and suitability of the simulations. Building upon this platform, a Monte Carlo simulation approach is adopted to generate extensive datasets of realistic voltage notch waveforms by randomly varying these key parameters. A case study conducted under conditions typical of German LV networks demonstrates the applicability of the simulations. To support further research, the simulation platform and exemplary synthetic waveforms are provided alongside the paper, serving as a valuable tool for testing and designing strategies for analysis, detection, and monitoring of voltage notches. Full article
(This article belongs to the Special Issue Analysis, Modelling and Simulation in Electrical Power Systems)
Show Figures

Figure 1

12 pages, 809 KB  
Article
I3oT (Industrializable Industrial Internet of Things) Tool for Continuous Improvement in Production Line Efficiency by Means of Sub-Bottleneck Detection Method
by Javier Llopis, Antonio Lacasa, Nicolás Montés and Eduardo Garcia
Machines 2024, 12(11), 760; https://doi.org/10.3390/machines12110760 - 29 Oct 2024
Cited by 1 | Viewed by 1458
Abstract
The present paper shows how to develop an I3oT (Industrializable Industrial Internet of Things) tool for continuous improvement in production line efficiency by means of the sub-bottleneck detection method. There is a large amount of scientific literature related to the detection of bottlenecks [...] Read more.
The present paper shows how to develop an I3oT (Industrializable Industrial Internet of Things) tool for continuous improvement in production line efficiency by means of the sub-bottleneck detection method. There is a large amount of scientific literature related to the detection of bottlenecks in production lines. However, there is no scientific literature that develops tools to improve production lines based on the bottlenecks that go beyond rebalancing tasks. This article explores the concept of a sub-bottleneck. In order to detect sub-bottlenecks in a massive way, the use of one of the I3oT (Industrializable Industrial Internet of Things) tools developed in our previous work, the mini-terms, is proposed. These mini-terms use the existing sensors for the normal operation of the production lines to measure the sub-cycle times and use them to predict the deterioration of the machine components found in the production lines. The sub-bottleneck algorithms proposed are used in two real twin lines at the Ford manufacturing plant in Almussafes (Valencia), the (3LH) and (3RH), to show how the lines can be continuously improved by means of sub-bottleneck detection. Full article
Show Figures

Figure 1

30 pages, 33212 KB  
Article
A Study on Adaptive Implicit–Explicit and Explicit–Explicit Time Integration Procedures for Wave Propagation Analyses
by Delfim Soares, Isabelle de Souza Sales, Lucas Ruffo Pinto and Webe João Mansur
Acoustics 2024, 6(3), 651-680; https://doi.org/10.3390/acoustics6030036 - 23 Jul 2024
Cited by 1 | Viewed by 2058
Abstract
This study delves into the effectiveness of two time integration techniques, namely the adaptive implicit–explicit (imp–exp) and explicit–explicit (exp–exp) methods, which stand as efficient formulations for tackling intricate systems characterized by multiple time scales. The imp–exp technique combines implicit and explicit procedures by [...] Read more.
This study delves into the effectiveness of two time integration techniques, namely the adaptive implicit–explicit (imp–exp) and explicit–explicit (exp–exp) methods, which stand as efficient formulations for tackling intricate systems characterized by multiple time scales. The imp–exp technique combines implicit and explicit procedures by employing implicit formulations for faster components and explicit calculations for slower ones, achieving high accuracy and computational efficiency. Conversely, the exp–exp method, a variation of explicit methods with sub-cycling, excels in handling locally stiff systems by employing smaller sub-steps to resolve rapid changes while maintaining stability. For both these approaches, numerical damping may be activated by adaptive time integration parameters, allowing numerical dissipation to be locally applied, if necessary, as a function of the considered discrete model and its computed responses, enabling a highly effective numerical dissipative algorithm. Furthermore, both these techniques stand as very simple and straightforward formulations as they rely solely on single-step displacement–velocity relations, describing truly self-starting procedures, and they stand as entirely automated methodologies, requiring no effort nor expertise from the user. This work provides comparative studies of the adaptive imp–exp and exp–exp approaches to assess their accuracy and efficiency across a wide range of scenarios, with emphasis on geophysical applications characterized by multiscale problems, aiming to establish under which circumstances one approach should be preferred over the other. Full article
Show Figures

Figure 1

11 pages, 2895 KB  
Article
Substitution Effect of a Single Nitrogen Atom on π-Electronic Systems of Linear Polycyclic Aromatic Hydrocarbons (PAHs): Theoretically Visualized Coexistence of Mono- and Polycyclic π-Electron Delocalization
by Jong Min Lim, Sangdeok Shim, Hoa Thi Bui, Jimin Kim, Ho-Joong Kim, Yoon Hwa and Sung Cho
Molecules 2024, 29(4), 784; https://doi.org/10.3390/molecules29040784 - 8 Feb 2024
Cited by 8 | Viewed by 2669
Abstract
We theoretically investigated the nitrogen substitution effect on the molecular structure and π-electron delocalization in linear nitrogen-substituted polycyclic aromatic hydrocarbons (N-PAHs). Based on the optimized molecular structures and magnetic field-induced parameters of fused bi- and tricyclic linear N-PAHs, we found that the local [...] Read more.
We theoretically investigated the nitrogen substitution effect on the molecular structure and π-electron delocalization in linear nitrogen-substituted polycyclic aromatic hydrocarbons (N-PAHs). Based on the optimized molecular structures and magnetic field-induced parameters of fused bi- and tricyclic linear N-PAHs, we found that the local π-electron delocalization of subcycles (e.g., mono- and bicyclic constituent moieties) in linear N-PAHs is preserved, despite deviation from ideal structures of parent monocycles. The introduction of a fused five-membered ring with a pyrrolic N atom (N-5MR) in linear N-PAHs significantly perturbs the π-electronic condition of the neighboring fused six-membered ring (6MR). Monocyclic pyrrole exhibits substantial bond length alternations, strongly influencing the π-electronic systems of both the fused N-5MR and 6MR in linear N-PAHs, depending on the location of shared covalent bonds. A fused six-membered ring with a graphitic N atom in an indolizine moiety cannot generate monocyclic π-electron delocalization but instead contributes to the formation of polycyclic π-electron delocalization. This is evidenced by bifurcated diatropic ring currents induced by an external magnetic field. In conclusion, the satisfaction of Hückel’s 4n + 2 rule for both mono- and polycycles is crucial for understanding the overall π-electron delocalization. It is crucial to consider the unique characteristics of the three types of substituted N atoms and the spatial arrangement of 5MR and 6MR in N-PAHs. Full article
Show Figures

Graphical abstract

12 pages, 1850 KB  
Communication
RFID Adaptive Parallel Response Collision Tree Algorithm Based on Lock-Bit
by Xuan Luo, Xiaolin Jia and Yajun Gu
Sensors 2024, 24(2), 389; https://doi.org/10.3390/s24020389 - 9 Jan 2024
Cited by 4 | Viewed by 1804
Abstract
This paper proposes the Lock-Position-Based RFID Adaptive Parallel Collision Tree (LAPCT) algorithm to address the issues of excessive time slots required in the identification process of collision tree algorithms for multiple tags and the high communication complexity between the reader and multiple tags. [...] Read more.
This paper proposes the Lock-Position-Based RFID Adaptive Parallel Collision Tree (LAPCT) algorithm to address the issues of excessive time slots required in the identification process of collision tree algorithms for multiple tags and the high communication complexity between the reader and multiple tags. The LAPCT algorithm adopts a single-query multiple-response mechanism and dynamically divides the response sub-cycle numbers in the identification cycle based on an adaptive strategy. It uses Manchester encoding to lock collision positions and generate a common query prefix, effectively reducing the number of reader queries. This reduction in queries decreases the total number of required time slots and transmitted bits during the reader–tag communication process, thereby improving the efficiency of multiple tag recognition. Theoretical and simulation experiments demonstrate that compared to similar algorithms, the LAPCT algorithm achieves a maximum reduction of 37% in total time slots required, a maximum improvement of 30% in recognition efficiency, and a maximum reduction of 90% in communication complexity. Furthermore, with an increase in the number of tags, the performance advantages of the LAPCT algorithm become more pronounced, making it suitable for large-scale tag scenarios. Full article
(This article belongs to the Section Physical Sensors)
Show Figures

Figure 1

32 pages, 10843 KB  
Article
Performance Analysis and Multi-Objective Optimization of a Cooling-Power-Desalination Combined Cycle for Shipboard Diesel Exhaust Heat Recovery
by Qizhi Gao, Senyao Zhao, Zhixiang Zhang, Ji Zhang, Yuan Zhao, Yongchao Sun, Dezhi Li and Han Yuan
Sustainability 2023, 15(24), 16942; https://doi.org/10.3390/su152416942 - 18 Dec 2023
Cited by 6 | Viewed by 2218
Abstract
This study presents a novel cooling-power-desalination combined cycle for recovering shipboard diesel exhaust heat, integrating a freezing desalination sub-cycle to regulate the ship’s cooling-load fluctuations. The combined cycle employs ammonia–water as the working fluid and efficiently utilizes excess cooling capacity to pretreat reverse [...] Read more.
This study presents a novel cooling-power-desalination combined cycle for recovering shipboard diesel exhaust heat, integrating a freezing desalination sub-cycle to regulate the ship’s cooling-load fluctuations. The combined cycle employs ammonia–water as the working fluid and efficiently utilizes excess cooling capacity to pretreat reverse osmosis desalination. By adjusting the mass flow rate of the working fluid in both the air conditioning refrigeration cycle and the freezing desalination sub-cycle, the combined cycle can dynamically meet the cooling-load demand under different working conditions and navigation areas. To analyze the cycle’s performance, a mathematical model is established for energy and exergy analysis, and key parameters including net output work, comprehensive efficiency, and heat exchanger area are optimized using the MOPSO algorithm. The results indicate that the system achieves optimal performance when the generator temperature reaches 249.95 °C, the sea water temperature is 22.29 °C, and 42% ammonia–water is used as the working fluid. Additionally, an economic analysis of frozen seawater desalination as RO seawater desalination pretreatment reveals a substantial cost reduction of 22.69%, showcasing the advantageous features of this proposed cycle. The research in this paper is helpful for waste energy recovery and sustainable development. Full article
(This article belongs to the Section Sustainable Engineering and Science)
Show Figures

Figure 1

15 pages, 10707 KB  
Article
Polar Ocean Tides—Revisited Using Cryosat-2
by Ole Baltazar Andersen, Stine Kildegaard Rose and Michael G. Hart-Davis
Remote Sens. 2023, 15(18), 4479; https://doi.org/10.3390/rs15184479 - 12 Sep 2023
Cited by 9 | Viewed by 2803
Abstract
With the availability of more than 9 years of Cryosat-2, it is possible to revisit polar ocean tides, which have traditionally been difficult to determine from satellite altimetry. The SAMOSA+ physical retracker is a stable retracker developed particularly for Cryosat-2. Being a physical [...] Read more.
With the availability of more than 9 years of Cryosat-2, it is possible to revisit polar ocean tides, which have traditionally been difficult to determine from satellite altimetry. The SAMOSA+ physical retracker is a stable retracker developed particularly for Cryosat-2. Being a physical retracker, it enables the determination of the sea state bias. Correcting for the sea state bias enables more reliable sea level estimates compared with traditional empirical retrackers used before. Cryosat-2 data have been analyzed for residual ocean tides to the FES2014 ocean tide model in the Arctic Ocean and Antarctic Ocean using the response formalism. We utilize data from the sub-cycle of Cryosat-2, which follows a repeating pattern of approximately 28.33 days. This sub-repeat period makes it an advantageous alias period for the majority of significant constituents. This allowed for the estimation and mapping of the major tidal constituents in the open ocean and also in floating ice shelves from data extracted from leads in the sea ice. A novel empirical ocean tide model designed specifically for the polar region, DTU22, is introduced. Our findings reveal substantial enhancements in semi-diurnal tides within the Arctic Ocean and improvement in diurnal constituents within the Southern Ocean. In the Southern Ocean, the diurnal constituents are particularly improved using the empirical model by more than a factor of two to around 3 cm for both constituents compared with FES2014b. These outcomes underscore the significance of incorporating the reprocessed and retracted Cryosat-2 data into tidal modeling, highlighting its pivotal role in advancing the field. Full article
(This article belongs to the Special Issue Advances in Satellite Altimetry)
Show Figures

Figure 1

Back to TopTop