Sign in to use this feature.

Years

Between: -

Subjects

remove_circle_outline
remove_circle_outline
remove_circle_outline
remove_circle_outline
remove_circle_outline
remove_circle_outline
remove_circle_outline
remove_circle_outline
remove_circle_outline

Journals

remove_circle_outline
remove_circle_outline
remove_circle_outline
remove_circle_outline
remove_circle_outline
remove_circle_outline
remove_circle_outline
remove_circle_outline
remove_circle_outline
remove_circle_outline
remove_circle_outline

Article Types

Countries / Regions

remove_circle_outline
remove_circle_outline
remove_circle_outline
remove_circle_outline

Search Results (347)

Search Parameters:
Keywords = spin liquid

Order results
Result details
Results per page
Select all
Export citation of selected articles as:
10 pages, 1833 KB  
Article
Observation of Complete Orbital Two-Channel Kondo Effect in van der Waals Ferromagnet Fe3GaTe2
by Chunhao Bao, Zhiyue Li, Xiaolong Yin, Jifeng Shao, Longxiang Li, Xiaoming Ma, Shu Guo and Tingyong Chen
Nanomaterials 2026, 16(2), 123; https://doi.org/10.3390/nano16020123 - 16 Jan 2026
Viewed by 173
Abstract
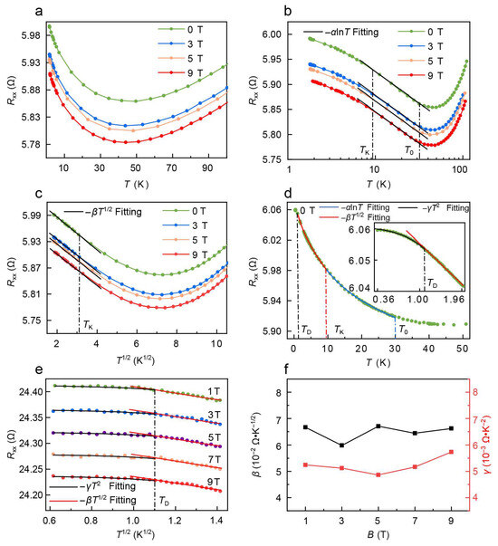
The orbital two-channel Kondo (2CK) effect is one of the crucial systems with non-Fermi liquid (NFL) behavior. But the full three-regime transport evidence has never been observed in one sample. Here, all three resistive regimes for the orbital 2CK effect induced by two-level [...] Read more.
The orbital two-channel Kondo (2CK) effect is one of the crucial systems with non-Fermi liquid (NFL) behavior. But the full three-regime transport evidence has never been observed in one sample. Here, all three resistive regimes for the orbital 2CK effect induced by two-level systems (TLSs) have been observed in the van der Waals ferromagnet Fe3GaTe2. Electron behavior undergoes a continuous transition from electron scattering to NFL behavior, and subsequently to Fermi liquid behavior. The magnetic field does not affect any regimes, indicating the nonmagnetic origin of the TLSs in Fe3GaTe2. In addition, instead of topological Hall, the slope of a linear negative magnetoresistance is related to spin-magnon scattering and could be utilized to infer the emergence of spin textures. Our findings indicate that Fe3GaTe2 may be an ideal platform to study electron correlation and topological phenomena. Full article
(This article belongs to the Section Physical Chemistry at Nanoscale)
Show Figures

Figure 1

16 pages, 3094 KB  
Article
Effects of Lipopolysaccharides from Hafnia alvei PCM1200, Proteus penneri 12, and Proteus vulgaris 9/57 on Liposomal Membranes Composed of Natural Egg Yolk Lecithin (EYL) and Synthetic DPPC: An EPR Study and Computer Simulations
by Dariusz Man, Barbara Pytel and Izabella Pisarek
Membranes 2026, 16(1), 38; https://doi.org/10.3390/membranes16010038 - 8 Jan 2026
Viewed by 244
Abstract
The aim of this study was to investigate the effects of three lipopolysaccharides (LPS), obtained from Hafnia alvei PCM 1200, Proteus penneri 12, and Proteus vulgaris 9/57, on the fluidity of liposomal lipid membranes. The experiments were performed on liposomes composed of egg [...] Read more.
The aim of this study was to investigate the effects of three lipopolysaccharides (LPS), obtained from Hafnia alvei PCM 1200, Proteus penneri 12, and Proteus vulgaris 9/57, on the fluidity of liposomal lipid membranes. The experiments were performed on liposomes composed of egg yolk lecithin (EYL) in the liquid-crystalline phase and synthetic lecithin (DPPC) in the gel phase. The experimental results were compared with data obtained from a computational model of the membrane surface layer. Membrane fluidity was assessed using EPR spectroscopy with the spin probes TEMPO (surface layer; changes in the F parameter) and 16-DOXYL (hydrophobic core; changes in the τ parameter). In EYL liposomes, all LPS samples induced a reduction in surface-layer fluidity (decrease in the F/F0 ratio). In contrast, effects on the hydrophobic core (τ/τ0) were observed only at low dopant concentrations (<0.2%), above which membrane fluidity plateaued. In DPPC membranes, the response was more complex: local minima in F/F0 and maxima in τ/τ0 were detected, indicating transient alterations in membrane stiffening and plasticization that depended on the specific LPS applied. Computational simulations of the membrane surface further confirmed the greater susceptibility of low-mobility systems (corresponding to the gel phase) to dopant-induced perturbations. In the model, the best agreement with the EPR data was obtained when an effective dopant charge of q = 3 was assumed. Full article
Show Figures

Figure 1

19 pages, 4385 KB  
Article
Physicochemical Recycling of Cotton from Textile Waste Driven by the Ionic Liquid [DBNH][AcO] via Wet Spinning Through Factorial Design of Experiments
by Paula Mercado-Martínez, Sergi Gonzalez-Zaragozá, Javier Pascual-Bernabéu, Karen Gutiérrez-Silva, Gorka Marco-Velasco, Josep Pasqual Cerisuelo, Jose D. Badia-Valiente and Amparo Cháfer
Appl. Sci. 2026, 16(2), 648; https://doi.org/10.3390/app16020648 - 8 Jan 2026
Viewed by 156
Abstract
The textile industry is positioned as one of the most significant contributors to waste generation but remains with low implementation of post-consumer recycling practices. In response to this challenge, this study focuses on the physicochemical recycling of cotton derived from textile waste aided [...] Read more.
The textile industry is positioned as one of the most significant contributors to waste generation but remains with low implementation of post-consumer recycling practices. In response to this challenge, this study focuses on the physicochemical recycling of cotton derived from textile waste aided by a protic ionic liquid, 1,5-diazabicyclo [4.3.0]non-5-ene acetate ([DBNH][OAc]), as a green alternative solvent for dissolving cotton and generating a dope, which is then transformed into a filament through the wet spinning technique. A dedicated setup was developed for the spinning process, and an experimental design based on a statistical factorial approach was applied to optimise the spinning conditions, as temperature, die diameter and velocity of extrusion. The mechanical properties of the filaments, including tenacity and elongation at break, were analysed to assess their performance. The statistical model facilitated the simultaneous optimisation of both responses—tenacity and elongation—resulting in the following optimal conditions: a temperature of 95 °C, a flow rate of 70 μL·min−1, and an extrusion diameter of 0.4 mm. The results demonstrate that both the selected solvent and wet spinning are effective in producing filaments suitable for reuse in the textile industry. Remarkably, filaments derived from textile waste exhibited superior mechanical properties compared to those obtained from virgin white cotton. Full article
(This article belongs to the Section Green Sustainable Science and Technology)
Show Figures

Figure 1

15 pages, 5390 KB  
Article
Sequential Multilayer Design with SnO2-Layer Decoration for Inhibiting Photocorrosion of Cu2O Photocathode
by Jiawei Yan, Kai Takagi, Zhidong Wei, Masaya Motodate, Jiasheng Chi, Yong Zhu, Chiaki Terashima, Wenfeng Shangguan and Akira Fujishima
Catalysts 2026, 16(1), 37; https://doi.org/10.3390/catal16010037 - 1 Jan 2026
Viewed by 358
Abstract
The Cu2O-based photocathode has been widely applied in photoelectrocatalytic hydrogen evolution and carbon dioxide reduction systems. However, the poor stability of Cu2O caused by photocorrosion highly restricts the application. In this work, a multilayer configuration is designed as Cu [...] Read more.
The Cu2O-based photocathode has been widely applied in photoelectrocatalytic hydrogen evolution and carbon dioxide reduction systems. However, the poor stability of Cu2O caused by photocorrosion highly restricts the application. In this work, a multilayer configuration is designed as Cu2O/ZnO/SnO2 via sequential depositions of electrodeposition and spin-coating. The liquid-phase epitaxial growths of the Cu2O and ZnO layers are achieved by sequential electrodepositions on a FTO/Au substrate. The decoration of a uniform SnO2 layer onto Cu2O/ZnO is realized by a SnO2 QDs coating and provides dual functions for boosted electron transfer and surface reaction. The protection of the SnO2 layer is fulfilled by the inhibition of Cu+ transformation, resulted from the compact covering of SnO2 QDs onto the exposed surface of the Cu2O and ZnO layers. Consequently, the enhanced photocurrent density and improved stability are obtained for Cu2O/ZnO/SnO2 compared to bare Cu2O and Cu2O/ZnO sample photocathodes. The necessary role of SnO2 QDs serving as electron transfer and protection layers studied in this work reveals the remarkable potential in the modification of other vulnerable electrode materials. Full article
Show Figures

Graphical abstract

15 pages, 2839 KB  
Article
Comprehensive Characterization of Organic Pollutants in Wastewater from Acrylic Fiber Production
by Laizhen Xie, Mengting Cheng and Xianliang Qiao
Water 2026, 18(1), 24; https://doi.org/10.3390/w18010024 - 21 Dec 2025
Viewed by 375
Abstract
China is the world’s largest producer of acrylic fiber, and the wastewater generated from its production contains a significant amount of biologically refractory organic pollutants. However, comprehensive screening studies on organic compounds in such wastewater remain limited, which hampers effective wastewater treatment and [...] Read more.
China is the world’s largest producer of acrylic fiber, and the wastewater generated from its production contains a significant amount of biologically refractory organic pollutants. However, comprehensive screening studies on organic compounds in such wastewater remain limited, which hampers effective wastewater treatment and ecological risk management to some extent. In this study, high-resolution mass spectrometry (HRMS) was combined with comprehensive two-dimensional gas chromatography (GC×GC) and ultra-performance liquid chromatography, along with multiple characterization techniques—including proton nuclear magnetic resonance spectroscopy, infrared spectroscopy, and fluorescence spectroscopy—to qualitatively analyze organic compounds present in wastewater from four stages of wet-spun acrylic fiber production: acrylonitrile mixed wastewater, polymerization wastewater, spinning wastewater, and final mixed wastewater. The results indicated that sulfonate esters, various other esters, alkanes, heterocyclic compounds, aromatic compounds, and substances containing multiple conjugated systems were commonly present across all four sample types, potentially contributing to the poor biodegradability of the wastewater. Additionally, a higher abundance of volatile organic compounds was detected in the mixed wastewater, while acrylonitrile appeared to be more concentrated in the spinning wastewater. The complementary use of spectral analysis, proton nuclear magnetic resonance, and HRMS provided a robust analytical foundation for identifying organic pollutants in acrylic fiber production wastewater. Full article
Show Figures

Figure 1

42 pages, 9085 KB  
Review
In2O3: An Oxide Semiconductor for Thin-Film Transistors, a Short Review
by Christophe Avis and Jin Jang
Molecules 2025, 30(24), 4762; https://doi.org/10.3390/molecules30244762 - 12 Dec 2025
Viewed by 1792
Abstract
With the discovery of amorphous oxide semiconductors, a new era of electronics opened. Indium gallium zinc oxide (IGZO) overcame the problems of amorphous and poly-silicon by reaching mobilities of ~10 cm2/Vs and demonstrating thin-film transistors (TFTs) are easy to manufacture on [...] Read more.
With the discovery of amorphous oxide semiconductors, a new era of electronics opened. Indium gallium zinc oxide (IGZO) overcame the problems of amorphous and poly-silicon by reaching mobilities of ~10 cm2/Vs and demonstrating thin-film transistors (TFTs) are easy to manufacture on transparent and flexible substrates. However, mobilities over 30 cm2/Vs have been difficult to reach and other materials have been introduced. Recently, polycrystalline In2O3 has demonstrated breakthroughs in the field. In2O3 TFTs have attracted attention because of their high mobility of over 100 cm2/Vs, which has been achieved multiple times, and because of their use in scaled devices with channel lengths down to 10 nm for high integration in back-end-of-the-line (BEOL) applications and others. The present review focuses first on the material properties with the understanding of the bandgap value, the importance of the position of the charge neutrality level (CNL), the doping effect of various atoms (Zr, Ge, Mo, Ti, Sn, or H) on the carrier concentration, the optical properties, the effective mass, and the mobility. We introduce the effects of the non-parabolicity of the conduction band and how to assess them. We also introduce ways to evaluate the CNL position (usually at ~EC + 0.4 eV). Then, we describe TFTs’ general properties and parameters, like the field effect mobility, the subthreshold swing, the measurements necessary to assess the TFT stability through positive and negative bias temperature stress, and the negative bias illumination stress (NBIS), to finally introduce In2O3 TFTs. Then, we will introduce vacuum and non-vacuum processes like spin-coating and liquid metal printing. We will introduce the various dopants and their applications, from mobility and crystal size improvements with H to NBIS improvements with lanthanides. We will also discuss the importance of device engineering, introducing how to choose the passivation layer, the source and drain, the gate insulator, the substrate, but also the possibility of advanced engineering by introducing the use of dual gate and 2 DEG devices on the mobility improvement. Finally, we will introduce the recent breakthroughs where In2O3 TFTs are integrated in neuromorphic applications and 3D integration. Full article
Show Figures

Figure 1

16 pages, 5350 KB  
Article
Mechanism of Interfacial Slippage in the Micro-Triangle and Composite Fiber Membrane Characteristics in Rotary-Force Spinning
by Jianwei Ma, Meng Zhang, Shuo Zhao, Zhiming Zhang, Zhen Chen and Qiaoling Ji
Polymers 2025, 17(23), 3235; https://doi.org/10.3390/polym17233235 - 4 Dec 2025
Viewed by 365
Abstract
Composite fiber membranes fabricated via rotational-force spinning have become widely applied in biomedicine, energy, and environmental fields owing to their excellent properties. Improving their functional performance and fabrication quality has therefore become a key research focus. Rotational-force spinning is a simple and efficient [...] Read more.
Composite fiber membranes fabricated via rotational-force spinning have become widely applied in biomedicine, energy, and environmental fields owing to their excellent properties. Improving their functional performance and fabrication quality has therefore become a key research focus. Rotational-force spinning is a simple and efficient technique in which high-speed motor rotation ejects polymer solutions from a nozzle to form fibers. However, the influence of polymer flow behavior within the nozzle on fiber formation remains insufficiently understood. In this study, the flow characteristics within the micro-triangle and the liquid–liquid slip phenomenon were investigated using a core–shell spinning device. Numerical simulations were conducted to analyze velocity differences between two polymer solutions under varying motor speeds and polyoxyethylene (PEO) concentrations. The results demonstrate that increasing PEO concentration and motor speed decreases slip velocity, thereby stabilizing the flow. Complementary experiments were performed using PEO and hydroxyethyl cellulose (HEC) solutions under controlled conditions. Mechanical testing, scanning electron microscopy (SEM), and thermogravimetric analysis (TG) were employed to assess the mechanical performance, thermal stability, morphology, and fiber diameter distribution of the composite membranes. Overall, the findings highlight the critical role of liquid–liquid slip in fiber formation and provide valuable insights for the controlled fabrication of high-quality composite fibers, offering a foundation for future research. Full article
(This article belongs to the Section Polymer Composites and Nanocomposites)
Show Figures

Figure 1

20 pages, 2389 KB  
Article
Aging Stability and Radical Activity of Plasma-Activated Water Treated in Liquid- and Gas-Phase Reactors
by Ivan Karlo Cingesar, Višnja Stulić, Franka Markić, Senada Muratović, Mia Kurek, Zoran Herceg, Nadica Maltar-Strmečki and Tomislava Vukušić Pavičić
Molecules 2025, 30(23), 4585; https://doi.org/10.3390/molecules30234585 - 28 Nov 2025
Viewed by 514
Abstract
Plasma-activated water (PAW) is a liquid enriched with reactive oxygen and nitrogen species (RONS), which impart antimicrobial and bioactive properties. In this study, PAW generated in liquid or gas phase under nitrogen or oxygen atmospheres was characterized in terms of pH, electrical conductivity, [...] Read more.
Plasma-activated water (PAW) is a liquid enriched with reactive oxygen and nitrogen species (RONS), which impart antimicrobial and bioactive properties. In this study, PAW generated in liquid or gas phase under nitrogen or oxygen atmospheres was characterized in terms of pH, electrical conductivity, oxidation-reduction potential, surface tension, and concentrations of H2O2 and NO2. Hydroxyl radical (•OH) formation was confirmed using DIPPMPO as a spin-trapping probe, while antioxidant activity was determined directly in treated water for the first time. The stability of reactive species was assessed over three months at room temperature, 4 °C, and −18 °C. Results indicate that plasma effects on physicochemical parameters depend strongly on the process gas. From a long-term storage perspective, samples maintained at 4 °C stabilized at higher H2O2 and NO2 concentrations. Antioxidant activity persisted for up to 60 days, though at low levels. EPR analysis revealed that hydroxyl radical concentration increased slightly during storage, with 60-day samples showing higher signal intensities compared to fresh PAW. Overall, the findings provide new insights into PAW composition, radical dynamics, and stability, highlighting the influence of gas atmosphere and storage conditions on its properties and supporting its potential for applications in the food, agriculture, and biomedical sectors. Full article
(This article belongs to the Collection Advances in Food Chemistry)
Show Figures

Graphical abstract

16 pages, 2519 KB  
Article
Optical Limiting in a Novel Photonic Material—DNA Biopolymer Functionalized with the Spirulina Natural Dye
by Petronela Gheorghe and Adrian Petris
Molecules 2025, 30(23), 4577; https://doi.org/10.3390/molecules30234577 - 28 Nov 2025
Viewed by 319
Abstract
The results of an experimental comparative study on absorptive nonlinear optical properties of deoxyribonucleic acid (DNA)–cetyltrimethylammonium chloride (CTMA) biopolymer functionalized with spirulina natural dye, as solutions in butanol, and on the same nonlinear optical properties of similar solutions with spirulina only, are presented. [...] Read more.
The results of an experimental comparative study on absorptive nonlinear optical properties of deoxyribonucleic acid (DNA)–cetyltrimethylammonium chloride (CTMA) biopolymer functionalized with spirulina natural dye, as solutions in butanol, and on the same nonlinear optical properties of similar solutions with spirulina only, are presented. The spectroscopic characterisation of the investigated complexes is performed by Ultraviolet–Visible-Near-Infrared (UV-VIS-NIR) spectroscopy and Attenuated Total Reflection Fourier-transform Infrared (ATR-FTIR) spectroscopy. Their optical limiting functionality is experimentally demonstrated at the wavelength of 1550 nm (an important telecommunication wavelength) using ultrashort laser pulses (~120 fs). Important parameters that characterise the optical limiting (nonlinear absorption coefficient β, and saturation intensity, Isat) are determined by the Intensity-scan (I-scan) method in the investigated materials. The results of our experimental investigation reveal, for the first time to the best of our knowledge, a significant absorptive nonlinear optical response of spirulina natural dye and its potential for optical limiting. The favourable effect of the DNA biopolymer on the nonlinear optical response of the investigated solutions, resulting in the enhancement of their nonlinear optical properties, is demonstrated. Thus, the investigated DNA–CTMA–spirulina liquid compound is a promising novel “green” material for passive optical limiting devices to protect sensitive optical and optoelectronic devices from high-intensity near-infrared laser beams. Also, from dye-doped DNA compounds as solutions it is possible to obtain, by different methods (e.g., spin-coating, drop casting), thin films as the base of all-optical solid-state limiting devices. Full article
Show Figures

Figure 1

20 pages, 1200 KB  
Review
Arteriovenous Malformations (AVMs): Molecular Pathogenesis, Clinical Features, and Emerging Therapeutic Strategies
by Nga Le, Yan Li, Gianni Walker, Bao-Ngoc Nguyen, Arash Bornak, Sapna K. Deo, Omaida C. Velazquez and Zhao-Jun Liu
Biomolecules 2025, 15(12), 1661; https://doi.org/10.3390/biom15121661 - 27 Nov 2025
Cited by 1 | Viewed by 1480
Abstract
Arteriovenous malformations (AVMs) are fast-flow vascular malformations formed by direct artery-to-vein shunts without an intervening capillary bed, which increases the risk of hemorrhage and organ-specific damage. A synthesis of recent advances shows that AVMs arise from interplay between germline susceptibility (ENG, [...] Read more.
Arteriovenous malformations (AVMs) are fast-flow vascular malformations formed by direct artery-to-vein shunts without an intervening capillary bed, which increases the risk of hemorrhage and organ-specific damage. A synthesis of recent advances shows that AVMs arise from interplay between germline susceptibility (ENG, ACVRL1, SMAD4, RASA1, EPHB4), somatic mosaicism (KRAS, MAP2K1, PIK3CA), perturbed signaling (TGF-β/BMP, Notch, VEGF, PI3K/AKT, RAS/MAPK), hemodynamic stress, and inflammation. Multimodal imaging—digital subtraction angiography (DSA), MRI/MRA with perfusion and susceptibility sequences, CTA, Doppler ultrasound, and 3D rotational angiography—underpins diagnosis and risk stratification, while arterial spin labeling and 4D flow techniques refine hemodynamic assessment. Management is individualized and multidisciplinary, combining endovascular embolization, microsurgical resection, and stereotactic radiosurgery (SRS); a non-surgical approach and monitoring remain reasonable for some asymptomatic AVMs. Device and technique innovations (detachable-tip microcatheters, pressure-cooker approaches, and newer liquid embolics such as PHIL and Squid) have broadened candidacy, and precision-medicine strategies, including pathway-targeted pharmacotherapy, are emerging for syndromic and somatic-mutation–driven AVMs. Animal models and computational/radiomics tools increasingly guide hypothesis generation and treatment selection. We outline practical updates and future priorities: integrated genomic-imaging risk scores, genotype-informed medical therapy, rational hybrid sequencing, and long-term outcome standards focused on hemorrhage prevention and quality of life. Full article
(This article belongs to the Section Molecular Medicine)
Show Figures

Figure 1

23 pages, 4766 KB  
Article
Synergistic Integration of Graphene Nanoparticles in Colloidal TiO2 for Grätzel Cells (DSSC)
by Luigi Madeo, Anastasia Macario, Peppino Sapia and Pierantonio De Luca
J. Compos. Sci. 2025, 9(11), 612; https://doi.org/10.3390/jcs9110612 - 6 Nov 2025
Viewed by 1012
Abstract
This study presents the development and characterization of Grätzel cells (DSSCs), part of third-generation photovoltaic technologies, fabricated with and without the addition of graphene nanoparticles. A TiO2 paste was prepared by combining colloidal solutions of Polyethylene Glycol (PEG) and Titanium Tetrachloride (TiCl [...] Read more.
This study presents the development and characterization of Grätzel cells (DSSCs), part of third-generation photovoltaic technologies, fabricated with and without the addition of graphene nanoparticles. A TiO2 paste was prepared by combining colloidal solutions of Polyethylene Glycol (PEG) and Titanium Tetrachloride (TiCl4), and then deposited on FTO (Fluorine-doped Tin Oxide) glass substrates via spin coating and sensitized with N719 dye. Each cell was assembled using two FTO electrodes, a photoanode (TiO2/N719) and a platinum-coated counter electrode, separated by a liquid iodide/triiodide-based electrolyte to complete the redox cycle. The core objective was to optimize the graphene nanoparticle concentration within the TiO2 matrix to improve photovoltaic performance. Samples with 0.1%, 0.2%, and 0.5% graphene were tested under simulated illumination (AM 1.5G), evaluating photocurrent, efficiency, and Fill Factor (FF). Optical analysis included desorption of N719 using NaOH to quantify intrinsic light absorption. Graphene’s high transparency and charge transport properties positively affected light harvesting. Results showed that graphene dosage is critical; 0.1% yielded the best efficiency, while excess concentrations diminished electronic and optical behavior. Controlled integration of graphene nanoparticles enhances DSSC performance and supports the development of more efficient and sustainable solar cells. Full article
(This article belongs to the Section Composites Applications)
Show Figures

Graphical abstract

15 pages, 3412 KB  
Article
Wet-Spun Disulphide LCE Fibres for Continuous Production of Fibrous Artificial Muscles
by Joshua C. Ince, Alan R. Duffy and Nisa V. Salim
Polymers 2025, 17(20), 2789; https://doi.org/10.3390/polym17202789 - 18 Oct 2025
Cited by 1 | Viewed by 748
Abstract
Liquid Crystalline Elastomers (LCEs) are a class of shape-changing polymers with exceptional mechanical properties and potential as artificial muscles/polymer actuators. Much work has been dedicated to expanding the methods available for processing LCEs into various forms using different manufacturing techniques such as 3D [...] Read more.
Liquid Crystalline Elastomers (LCEs) are a class of shape-changing polymers with exceptional mechanical properties and potential as artificial muscles/polymer actuators. Much work has been dedicated to expanding the methods available for processing LCEs into various forms using different manufacturing techniques such as 3D printing, film casting, and microfluidic processing. Recently, several works have reported processing LCEs into long fibres and have highlighted the advantages that fibrous LCEs boast over LCE films. However, the development of alternative methods to produce fibrous LCEs is warranted to fully expedite this field of research. In this study, a method for continuous production of disulphide crosslinked LCE fibres via the technique of wet spinning is explored and reported on. Furthermore, the results show that the mechanical properties, actuation force, and actuation strain can be tuned by adjusting how much crosslinker is incorporated into the wet-spinning dope solution. Depending on the given formulation, the reported fibres could repeatedly actuate in response to thermal energy with actuation forces ranging from 0.002 to 0.02 N per fibre and actuation strains ranging from 9.7 to 33%. Full article
(This article belongs to the Section Smart and Functional Polymers)
Show Figures

Graphical abstract

30 pages, 6686 KB  
Article
Interplay of the Mass Transport and Reaction Kinetics for Lateral Flow Immunoassay Integrated on Lab-on-Disc
by Snehan Peshin, Anthony Gavin, Nakajima Rie, Aarti Jain, Philip Felgner, Marc J. Madou and Lawrence Kulinsky
Sensors 2025, 25(20), 6271; https://doi.org/10.3390/s25206271 - 10 Oct 2025
Viewed by 1004
Abstract
Lateral Flow Assays (LFAs) are ubiquitous test platforms due to their affordability and simplicity but are often limited by low sensitivity and lack of flow control. The present work demonstrates the combination of LFAs with centrifugal microfluidic platforms that allows for enhancement of [...] Read more.
Lateral Flow Assays (LFAs) are ubiquitous test platforms due to their affordability and simplicity but are often limited by low sensitivity and lack of flow control. The present work demonstrates the combination of LFAs with centrifugal microfluidic platforms that allows for enhancement of LFAs’ sensitivity via the increase in the dwell time of the analyte at the test line as well as by passing a larger sample volume through the LFA strip. The rate of advancement of the liquid front in the radially positioned NC strip is retarded by the centrifugal force generated on spinning disc; therefore, the dwell time of the liquid front above the test line of LFA is increased. Additionally, integrating a waste reservoir enables passive replenishment of additional sample volume increases total probed volume by approximately 20% (from 50 μL to 60 μL). Comprehensive analysis, including COMSOL multiphysics simulation, was performed to deduce the importance of parameters such as channel height (100–300 μm), disc spin rate (0–2000 rpm), and reaction kinetics (fast vs. slow binding kinetics). The analysis was validated by the experimental observation of the slower-reacting CD79b protein on the test strip. For slower-reacting targets like CD79b, fluorescence intensity increased by ~40% compared to the static LFA. A new merit number, TRc (Transport Reaction Constant), is introduced, which refines the traditional Damköhler number (Da) by including the thickness of the liquid layer (such as the height of the microchannel), which affects the final sensitivity of the assays and is designed to reflect the role channel height plays for surface-based assays (in contrast to the bulk assays). Full article
(This article belongs to the Special Issue Sensors and Actuators for Lab-on-Chip Applications)
Show Figures

Figure 1

41 pages, 882 KB  
Article
D-Branes, AdS/CFT, Dynamical Uhlmann Gauge, and Stabilisation of a Closed Causal Loop Geometry
by Andrei T. Patrascu
Universe 2025, 11(8), 274; https://doi.org/10.3390/universe11080274 - 17 Aug 2025
Viewed by 883
Abstract
I show here that if we construct D-branes not in the form of infinite superpositions of string modes, in order to satisfy the technical condition of coherence by means of eigenstates of annihilation operators, but instead insist on an approximate but much more [...] Read more.
I show here that if we construct D-branes not in the form of infinite superpositions of string modes, in order to satisfy the technical condition of coherence by means of eigenstates of annihilation operators, but instead insist on an approximate but much more physical and practical definition based on phase coherence, we obtain finite (and hence realistic) superpositions of string modes that would form realistic D-branes that would encode (at least as a semiclassical approximation) various quantum properties. Re-deriving the AdS/CFT duality by starting in the pre-Maldacena limit from such realistic D-branes would lead to quantum properties on the AdS side of the duality. Causal structures can be modified in various many-particle systems, including strings, D-branes, photons, or spins; however, there is a distinction between the emergence of an effective causal structure in the inner degrees of freedom of a material, in the form of a correlation-generated effective metric, for example, in a spin liquid system, and the emergence of a causal structure in an open propagating system by using classical light. I will show how an Uhlmann gauge construction would add stability to a modified causal structure that would retain the shape of a closed causal loop. Various other ideas related to the quantum origin of the string length are also discussed and an analogy of the emergence of string length from quantum correlations with the emergence of wavelength of an electromagnetic wave from coherence conditions of photon modes is presented. Full article
Show Figures

Figure 1

14 pages, 1889 KB  
Article
Determination of Phenylurea Herbicides in Water Samples by Magnet-Integrated Fabric Phase Sorptive Extraction Combined with High Performance Liquid Chromatography
by Natalia Manousi, Apostolia Tsiasioti, Abuzar Kabir and Erwin Rosenberg
Molecules 2025, 30(15), 3135; https://doi.org/10.3390/molecules30153135 - 26 Jul 2025
Cited by 2 | Viewed by 991
Abstract
In this study, a magnet-integrated fabric phase sorptive extraction (MI-FPSE) protocol was developed in combination with high pressure liquid chromatography—diode array detection (HPLC-DAD) for the simultaneous determination of five phenylurea pesticides (i.e., chlorbromuron, diuron, linuron, metoxuron, monuron) in environmental water samples. To produce [...] Read more.
In this study, a magnet-integrated fabric phase sorptive extraction (MI-FPSE) protocol was developed in combination with high pressure liquid chromatography—diode array detection (HPLC-DAD) for the simultaneous determination of five phenylurea pesticides (i.e., chlorbromuron, diuron, linuron, metoxuron, monuron) in environmental water samples. To produce the MI-FPSE device, two individual sol-gel coated carbowax 20 M (CW 20 M) cellulose membranes were fabricated and stitched to each other, while a magnetic rod was inserted between them to give the resulting device the ability to spin and serve as a stand-alone microextraction platform. The adsorption and desorption step of the MI-FPSE protocol was optimized to achieve high extraction efficiency and the MI-FPSE-HPLC-DAD method was validated in terms of linearity, sensitivity, selectivity, accuracy, and precision. The limits of detection (LODs) were found to be 0.3 μg L−1. The relative recoveries were 85.2–110.0% for the intra-day and 87.7–103.2% for the inter-day study. The relative standard deviations were better than 13% in all cases. The green character and the practicality of the developed procedure were assessed using ComplexGAPI and Blue Analytical Grade Index metric tools, showing good method performance. Finally, the developed method was successfully used for the analysis of tap, river, and lake water samples. Full article
Show Figures

Graphical abstract

Back to TopTop