Sign in to use this feature.

Years

Between: -

Subjects

remove_circle_outline
remove_circle_outline
remove_circle_outline
remove_circle_outline
remove_circle_outline
remove_circle_outline
remove_circle_outline

Journals

Article Types

Countries / Regions

Search Results (150)

Search Parameters:
Keywords = somatic maintenance

Order results
Result details
Results per page
Select all
Export citation of selected articles as:
15 pages, 760 KB  
Article
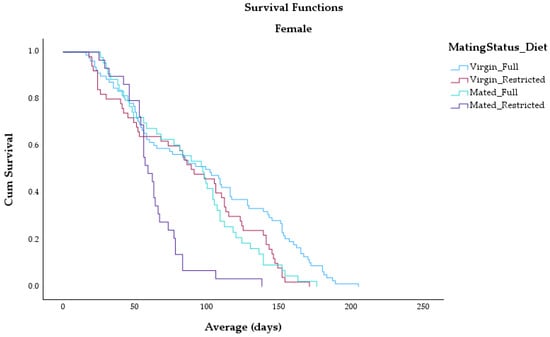
Sex-Specific Effects of Protein Limitation and Mating on Longevity in Bactrocera oleae
by Evangelia I. Balampekou, Thomas M. Koutsos, Dimitrios S. Koveos and Nikos A. Kouloussis
Agronomy 2026, 16(8), 787; https://doi.org/10.3390/agronomy16080787 (registering DOI) - 11 Apr 2026
Abstract
Longevity in the olive fruit fly, Bactrocera oleae, is a plastic trait shaped by the synergistic interaction between reproductive effort, sex, and protein availability. This study investigated how the survival of 800 individuals is affected by protein limitation and mating status. Results [...] Read more.
Longevity in the olive fruit fly, Bactrocera oleae, is a plastic trait shaped by the synergistic interaction between reproductive effort, sex, and protein availability. This study investigated how the survival of 800 individuals is affected by protein limitation and mating status. Results from Cox proportional hazards analysis demonstrate that mating and protein deprivation significantly increase mortality risk. Under protein-deprived conditions, mating increased the mortality hazard by 146.5% for males and 121.5% for females compared to virgins. Notably, a significant Sex × Diet interaction (p = 0.022) confirmed that among virgin individuals, the relative mortality hazard increase under protein scarcity was nearly double for males (97.5%) compared to females (51.1%), indicating a higher statistical tolerance for nutritional stress in females. Furthermore, statistical validation confirmed that diet exhibited a significant time-dependent effect (p = 0.029), indicating that nutritional deficits act cumulatively over the fly’s lifespan. These findings suggest that B. oleae longevity is governed by dynamic, synergistic pressures, with females exhibiting a lower hazard of death under resource-limited conditions, an insight essential for refining demographic models in integrated pest management (IPM) strategies. Full article
(This article belongs to the Section Pest and Disease Management)
Show Figures

Figure 1

19 pages, 3100 KB  
Article
Genome-Wide Identification and Characterization of WOX Genes in Amorphophallus konjac and Functional Analysis of AbWOX2 in Amorphophallus bulbifer During Somatic Embryogenesis
by Yaxin Liu, Zemei Li, Fuyuan Lu, Liangrui Yang, Lishan Liu, Zhen Tian, Jinmin Zhou, Siyi Ge and Xuewei Wu
Horticulturae 2026, 12(4), 466; https://doi.org/10.3390/horticulturae12040466 - 9 Apr 2026
Viewed by 137
Abstract
Background: Konjac (Amorphophallus spp.) is an economically important crop valued for the glucomannan content in its corms. Currently, the konjac industry faces germplasm degeneration due to long-term asexual propagation. Developing tissue culture and genetic transformation techniques is essential for its genetic improvement. [...] Read more.
Background: Konjac (Amorphophallus spp.) is an economically important crop valued for the glucomannan content in its corms. Currently, the konjac industry faces germplasm degeneration due to long-term asexual propagation. Developing tissue culture and genetic transformation techniques is essential for its genetic improvement. The WUSCHEL-related homeobox (WOX) transcription factors are critical regulators of somatic embryogenesis and stem cell maintenance in plants. Methods: In this study, we performed genome-wide identification and characterization of WOX genes in the A. konjac reference genome. Furthermore, comparative transcriptomic analyses and functional verification were conducted in A. bulbifer. Results: A total of 12 AkWOX genes were identified in A. konjac, and their structural features were documented. Comparative transcriptomic analysis of A. bulbifer revealed that AbWOX genes were differentially expressed between embryogenic calli (EC) and non-embryogenic calli (nEC). Notably, AbWOX2 was significantly upregulated in EC. Overexpression of AbWOX2 significantly promoted callus proliferation and shoot regeneration in A. bulbifer. Furthermore, AbWOX2-overexpressing lines exhibited a 5.3-fold increase in genetic transformation efficiency (from 5.12% to 27.31%) compared to the control. Conclusions: We characterized the diverse expression patterns of the WOX gene family in Amorphophallus. Crucially, we identified specific individual members—most notably the markedly upregulated AbWOX2—that function as pivotal drivers of somatic embryogenesis and serve as promising candidates for enhancing regeneration and genetic engineering efficiency in Amorphophallus species. Full article
Show Figures

Figure 1

16 pages, 1562 KB  
Article
Sleep Maintenance Insomnia in Older Adults: Cardiometabolic Comorbidities and Evidence of Antiviral Pathways Activation from Blood Transcriptome and dsRNA Expression Analyses
by Ekaterina Spektor, Daniil Poberezhniy, Mikhail Ivanov, Elena Zelenova, Aleksandra Mamchur, Lorena Matkava, Antonina Rumyantseva, Elena Loshakova, Sergey Mitrofanov, Sergey Kucher, Vasilisa Petrova, Lilit Maytesyan, Marina Bocharova, Irina Strazhesko, Olga Tkacheva, Vladimir Yudin, Anton Keskinov, Veronika Skvortsova, Sergey Yudin and Daria Kashtanova
Int. J. Mol. Sci. 2026, 27(6), 2771; https://doi.org/10.3390/ijms27062771 - 18 Mar 2026
Viewed by 435
Abstract
Aging is associated with a high prevalence of insomnia, which is linked to somatic and neuropsychiatric diseases, as well as metabolic and immunological dysfunction. This study aims to identify alterations in the transcriptome profiles and functional metabolic pathways in older adults with different [...] Read more.
Aging is associated with a high prevalence of insomnia, which is linked to somatic and neuropsychiatric diseases, as well as metabolic and immunological dysfunction. This study aims to identify alterations in the transcriptome profiles and functional metabolic pathways in older adults with different types of sleep disorders. This cross-sectional study included 1002 participants (60–90 years) who were screened for sleep disorders using the Pittsburgh Sleep Quality Index (PSQI) questionnaire. Two types of sleep disorders were identified in the study cohort, i.e., sleep onset insomnia and sleep maintenance insomnia. Both types of insomnia were further analyzed for associations with clinical characteristics, laboratory testing results, and socioeconomic backgrounds. The transcriptomic profiles of peripheral blood samples were examined in 236 individuals, supplemented with differential gene and dsRNA expression analyses (DESeq2). Both sleep onset insomnia and middle insomnia were associated with depression, chronic pain syndrome, and osteoarthritis, while only middle insomnia was associated with cardiometabolic diseases. No associations were observed between sleep onset insomnia or reduced sleep duration and transcriptomic profiles. In contrast, 244 genes were differentially expressed in patients with middle insomnia, indicating the activation of pathways related to viral infection response and inhibition of protein synthesis. Additionally, differential expression analysis of double-stranded RNA (dsRNA) identified 2139 significant changes. Middle insomnia in older adults is associated with transcriptomic changes indicative of an activated antiviral immune response, likely resulting from changes in dsRNA expression levels. The chronic inflammation arising from these transcriptomic alterations may underlie the observed association between middle insomnia and cardiometabolic conditions. Full article
(This article belongs to the Section Molecular Neurobiology)
Show Figures

Graphical abstract

23 pages, 2970 KB  
Article
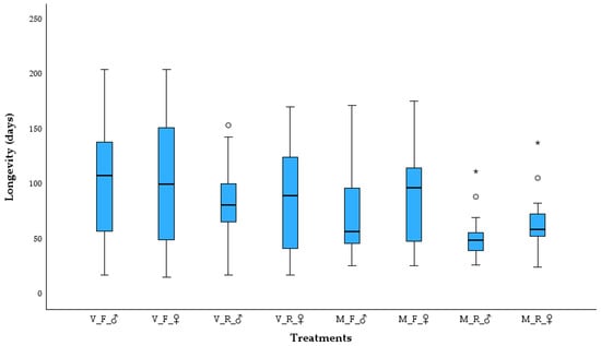
Survival Analysis of Bactrocera oleae Starvation Resistance During Senescence: The Interactive Influence of Diet, Mating Status, and Sex
by Evangelia I. Balampekou, Thomas M. Koutsos, Dimitrios S. Koveos and Nikos A. Kouloussis
Insects 2026, 17(3), 296; https://doi.org/10.3390/insects17030296 - 9 Mar 2026
Viewed by 550
Abstract
Starvation resistance is a critical fitness trait for the olive fruit fly, Bactrocera oleae (Rossi) (Diptera: Tephritidae), influencing survival and reproductive success in fluctuating environments. This study investigates how age (15, 30, and 45 days), diet (full vs. restricted), and mating status (virgin [...] Read more.
Starvation resistance is a critical fitness trait for the olive fruit fly, Bactrocera oleae (Rossi) (Diptera: Tephritidae), influencing survival and reproductive success in fluctuating environments. This study investigates how age (15, 30, and 45 days), diet (full vs. restricted), and mating status (virgin vs. mated) affect the species’ capacity to withstand food deprivation. A multifactorial experiment was conducted on 3600 adults, with survival data analyzed using Kaplan–Meier curves, Log-Rank tests, and Tukey’s HSD. The findings indicate that 15-day-old individuals generally exhibit superior starvation resistance compared to older cohorts. However, these patterns vary by sex and nutritional history. In virgin males on a restricted diet, resistance does not decline linearly with age, while in mated males on a full diet, age has no significant influence on survival. Conversely, in mated females on a full diet, a significant decline in resistance is observed only between the ages of 15 and 45 days. Additionally, for mated adults on a restricted diet, age was found to have a significant influence on survival. These results suggest that starvation resistance in B. oleae is not merely a function of chronological age but emerges from complex resource allocation trade-offs between somatic maintenance and reproductive investment. Full article
(This article belongs to the Special Issue Biology and Management of Tephritid Fruit Flies)
Show Figures

Graphical abstract

26 pages, 5140 KB  
Review
DNA Methylation Dynamics in Plant Abiotic Stress Response: Mechanisms, Memory, and Breeding Applications
by Huanqing Huang, Chenyu Guo, Shiping Cheng and Zhe Wang
Genes 2026, 17(3), 301; https://doi.org/10.3390/genes17030301 - 28 Feb 2026
Viewed by 541
Abstract
Abiotic stresses such as drought, salinity, extreme temperatures, and heavy metal contamination severely limit global crop productivity and threaten food security. Plants have evolved epigenetic strategies, particularly DNA methylation, to perceive, adapt to, and memorize environmental challenges. This review systematically elucidates the dynamic [...] Read more.
Abiotic stresses such as drought, salinity, extreme temperatures, and heavy metal contamination severely limit global crop productivity and threaten food security. Plants have evolved epigenetic strategies, particularly DNA methylation, to perceive, adapt to, and memorize environmental challenges. This review systematically elucidates the dynamic regulatory mechanisms of DNA methylation—including establishment via RNA-directed DNA methylation (RdDM), maintenance by methyltransferases (MET1, CMT), and active removal by demethylases (ROS1)—in plant responses to diverse abiotic stresses. We highlight how stress-induced methylation reprogramming modulates gene expression, chromatin states, and physiological adaptations, contributing to both somatic and transgenerational stress memory. Furthermore, we discuss advanced detection technologies for profiling methylation patterns and evaluate their applications in epigenetic breeding, such as exploiting heritable epialleles, RdDM-based gene silencing, and methylation markers for heterosis prediction. Despite significant progress, translating epigenetic insights into predictable breeding tools remains challenging. Future efforts should focus on establishing causal links between methylation changes and stress phenotypes, improving epigenome editing precision, and integrating multi-omics approaches for the development of climate-resilient crops. This work provides a comprehensive epigenetic perspective for enhancing crop adaptability and sustainable agriculture. Full article
(This article belongs to the Special Issue 5Gs in Crop Genetic and Genomic Improvement: 2025–2026)
Show Figures

Figure 1

21 pages, 307 KB  
Article
Psychosomatic Features of Irritable Bowel Syndrome: The Role of Alexithymia in Patient Health-Related Quality of Life—A Cross-Sectional Study
by Emanuele Maria Merlo, Liam Alexander MacKenzie Myles and Angela Alibrandi
Healthcare 2026, 14(5), 562; https://doi.org/10.3390/healthcare14050562 - 24 Feb 2026
Viewed by 393
Abstract
Background: Psychological factors such as alexithymia, somatization, and their associated effects on health are consistently observed as key characteristics in the onset, maintenance, and chronic course of irritable bowel syndrome (IBS). This study aimed to investigate the presence and role of alexithymia, [...] Read more.
Background: Psychological factors such as alexithymia, somatization, and their associated effects on health are consistently observed as key characteristics in the onset, maintenance, and chronic course of irritable bowel syndrome (IBS). This study aimed to investigate the presence and role of alexithymia, psychosomatic syndromes, and health status in individuals affected by IBS. Methods: The sample comprised 143 patients diagnosed with IBS, ranging in age from 18 to 78 years (M = 30.90, SD = 14.39), with a predominance of females (81.8%). The diagnostic protocol included a sociodemographic questionnaire, the Toronto Alexithymia Scale-20 (TAS-20), the Diagnostic Criteria for Psychosomatic Research-Structured Interview (DPCR-SI), and the SF-36 Health Survey. Descriptive, correlational, and generalised regression analyses were conducted to examine the relationships among these variables. Results: The findings revealed significant positive correlations between alexithymia and psychosomatic syndromes, while significant negative correlations were observed with health status. Furthermore, alexithymia was identified as a predictor of increased psychosomatic syndrome severity and reduced health status. Conclusions: These results highlight the critical role of alexithymia in IBS and underscore the importance of developing targeted interventions to address this psychological factor in affected individuals. Full article
16 pages, 1042 KB  
Review
Metabolic Regulation in the Maintenance of Drosophila Testis Stem Cells
by Jiao Liu, Peixin Xu, Yichen Liu, Yuke Xie, Zixuan Liu and Gyeong Hun Baeg
Int. J. Mol. Sci. 2026, 27(4), 1884; https://doi.org/10.3390/ijms27041884 - 15 Feb 2026
Viewed by 609
Abstract
Stem cells maintain tissue homeostasis through precisely regulated self-renewal and differentiation, processes largely dependent on metabolic control. The Drosophila testis provides an ideal model system to study metabolism regulation of stem cell homeostasis due to many advantages, including its well-defined stem cell niche [...] Read more.
Stem cells maintain tissue homeostasis through precisely regulated self-renewal and differentiation, processes largely dependent on metabolic control. The Drosophila testis provides an ideal model system to study metabolism regulation of stem cell homeostasis due to many advantages, including its well-defined stem cell niche architecture and genetic tractability. Recent studies have revealed that germline stem cells (GSCs) and somatic cyst stem cells (CySCs) exhibit distinct metabolic profiles. In particular, GSCs exhibit a metabolic feature closely associated with mitochondrial dynamics, lipid metabolism, and redox homeostasis, all of which are essential for maintaining their stem identity through the regulation of TOR (Target of Rapamycin) signaling. Nutrient sensing through the insulin/TOR, BMP, and JAK-STAT pathways integrates nutritional cues with developmental programs. Lipid metabolism and membrane homeostasis further contribute to the maintenance of stem cells. Metabolic intermediates function as signaling molecules, modulating niche-stem cell interactions and epigenetic modifications in stem cells. Hence, dysregulation of metabolic homeostasis can lead to stem cell depletion and age-related reproductive decline. This review synthesizes the current understanding of metabolic regulation in Drosophila testis stem cell maintenance, identifies critical knowledge gaps, and explores future research directions such as spatial/temporal metabolomics approaches. Lastly, we highlight how these insights may help understand mammalian stem cell biology and regenerative medicine. Full article
(This article belongs to the Section Molecular Endocrinology and Metabolism)
Show Figures

Figure 1

18 pages, 1127 KB  
Article
Genomic Insights into Cutaneous Squamous Cell Carcinoma
by Grace S. Saglimbeni, Tyson J Morris, Beau Hsia and Abubakar Tauseef
Cancers 2026, 18(4), 558; https://doi.org/10.3390/cancers18040558 - 9 Feb 2026
Cited by 1 | Viewed by 661
Abstract
Background: Cutaneous squamous cell carcinoma (cSCC) represents one of the most common keratinocyte-derived malignancies encountered in clinical practice; however, its genomic landscape remains far less comprehensively characterized than that of other cutaneous cancers. This study aims to identify key molecular drivers and [...] Read more.
Background: Cutaneous squamous cell carcinoma (cSCC) represents one of the most common keratinocyte-derived malignancies encountered in clinical practice; however, its genomic landscape remains far less comprehensively characterized than that of other cutaneous cancers. This study aims to identify key molecular drivers and potential therapeutic targets by comprehensively characterizing the genomic landscape of cSCC using data from the American Association for Cancer Research (AACR) Project Genomics, Evidence, Neoplasia, Information, Exchange (GENIE) consortium. Methods: A retrospective cohort analysis of cSCC samples was performed utilizing AACR Project GENIE data accessed via the cBioPortal platform (v18.0-public) on 22 November 2025. Analyses included identification of recurrent somatic and copy-number alterations, pairwise gene–gene co-occurrence testing using Fisher’s exact tests with Benjamini–Hochberg False Discovery Rate (FDR) correction, and exploratory subgroup comparisons by sex and race, with statistical significance defined as p < 0.05. Results: Recurrent mutations were identified in TP53 (83.5%), NOTCH1 (56.3%), KMT2D (47.0%), CDKN2A (44.4%), TERT (41.4%), ROS1 (34.3%), FAT1 (33.3%), NOTCH2 (31.2%), ERBB4 (28.4%), and KMT2A (24.3%), reflecting disruption of the p53 pathway, cell-cycle control, Notch signaling, epigenetic regulation, telomere maintenance, RTK/MAPK pathways, and Wnt signaling. Statistically significant co-occurrence patterns were observed, and exploratory subgroup analyses evaluated mutation frequency differences by sex and race. Conclusions: This large, multi-institutional genomic analysis defines recurrent mutational and structural alterations in cSCC and highlights an integrated pattern of pathway disruption involving genomic integrity, differentiation, epigenetic control, and proliferative signaling. These findings enhance current understandings of the molecular architecture underlying this common yet genomically understudied malignancy and provide a foundation for future mechanistic studies and development of targeted diagnostic and therapeutic strategies. Full article
(This article belongs to the Special Issue Advances in Dermato-Oncology)
Show Figures

Figure 1

20 pages, 3317 KB  
Article
Study on the Effect of N-Carbamylglutamate (NCG) on Reproductive Performance and Regulation Mechanism of Primary Lake Sheep
by Tianli Gao, Chunyang Li, Juanshan Zheng, Yingpai Zhaxi, Yuan Cai, Rongxin Zang, Huixia Liu, Yanmei Yang, Sai Li, Xiaodi Shi and Chen Huang
Animals 2026, 16(3), 464; https://doi.org/10.3390/ani16030464 - 2 Feb 2026
Viewed by 478
Abstract
The aim of this study was to investigate the effects of dietary supplementation with 0.11% N-carbamylglutamate (NCG) during early pregnancy (0–90 days) on reproductive performance and fetal development, and to elucidate the underlying placental regulatory mechanisms in primiparous Hu sheep. Twenty-two 10-month-old sexually [...] Read more.
The aim of this study was to investigate the effects of dietary supplementation with 0.11% N-carbamylglutamate (NCG) during early pregnancy (0–90 days) on reproductive performance and fetal development, and to elucidate the underlying placental regulatory mechanisms in primiparous Hu sheep. Twenty-two 10-month-old sexually mature primiparous Hu sheep meeting the mating criteria were randomly assigned to two groups. The control group was fed a basal diet, while the NCG group received the basal diet supplemented with 0.11% NCG, with both feeding regimens maintained for 90 days. By measuring uterine and fetal growth indices, maternal plasma biochemical parameters, and amino acid levels, as well as assessing cotyledon indices and observing cotyledon morphology and histological structure, basic data related to placental function and fetal growth in pregnant ewes was collected. Combined with transcriptomic sequencing of maternal placental tissue, the mechanism by which NCG influences placental function and fetal growth and development in pregnant ewes was further investigated. The supplementation of NCG could increase the number of fetuses, total weight of fetuses, the number of corpus luteum and the ratio of fetuses to corpus luteum, but the difference was not significant (p > 0.05). The levels of plasma NO, inducible Nitric Oxide Synthase (iNOS) and several amino acids were significantly increased (p < 0.05). In ewes’ uteri, the average uterine weight, number of uterine glands, total cotyledon weight, and average weight per cotyledon were significantly increased (p < 0.05), whereas uterine mucosal thickness was markedly decreased. The Quantitative Real-time PCR (q-PCR) results for differentially expressed genes were consistent with those of transcriptomic analysis, showing significant changes in the expression levels of certain differentially expressed genes in maternal placental tissues. These changes regulated pathways such as vascular endothelial growth factor (VEGF), insulin-like growth factor (IGF), phosphatidylinositol 3-kinase–protein kinase B (PI3K–AKT) signaling pathways and Mitogen-Activated Protein Kinase (MAPK) pathway, which are involved in angiogenesis, energy supply and metabolism, and somatic growth and development. Dietary supplementation with NCG during early pregnancy can significantly improve the reproductive performance of primiparous Hu sheep, optimize the intrauterine environment and nutrient supply, and thereby facilitate pregnancy maintenance and fetal development. The underlying mechanism may involve promoting endogenous arginine synthesis in ewes, increasing plasma levels of NO, arginine, and certain amino acids, which collectively validate the positive effects of NCG on the reproductive performance and growth of Hu sheep during early pregnancy at the molecular level. Full article
(This article belongs to the Section Animal Reproduction)
Show Figures

Figure 1

19 pages, 1638 KB  
Article
Genomic Profiling of Highly Aggressive Musculoskeletal Sarcomas Identifies Potential Therapeutic Targets: A Single-Center Experience
by Alessandro Parra, Emanuela Palmerini, Maria Antonella Laginestra, Cristina Ferrari, Stefania Cocchi, Elisa Simonetti, Evelin Pellegrini, Alessandra De Feo, Giovanna Magagnoli, Giorgio Frega, Davide Maria Donati, Marco Gambarotti, Toni Ibrahim, Katia Scotlandi, Lorena Landuzzi and Laura Pazzaglia
Cancers 2026, 18(1), 139; https://doi.org/10.3390/cancers18010139 - 31 Dec 2025
Viewed by 749
Abstract
Background/Objectives: Targeted gene sequencing (TGS) for Comprehensive Genomic Profiling (CGP) use in sarcomas has recently increased in clinical practice. We report on TGS real-world data over a period of 3 years (2022–2025) at the IRCCS Istituto Ortopedico Rizzoli, with the aim of identifying [...] Read more.
Background/Objectives: Targeted gene sequencing (TGS) for Comprehensive Genomic Profiling (CGP) use in sarcomas has recently increased in clinical practice. We report on TGS real-world data over a period of 3 years (2022–2025) at the IRCCS Istituto Ortopedico Rizzoli, with the aim of identifying potential actionable targets and providing therapeutic indications for advanced sarcoma patients. Methods: We analyzed 22 advanced sarcoma patients by using the VariantPlex Pan Solid Tumor kit panel, including 185 genes. In nine cases, saliva samples for germinal DNA analysis were available. Sequencing was performed on the NextSeq-500 Platform and analyzed with Archer Analysis software. The Cancer Genome Interpreter and OncoKB Database tools were used to find potential actionable targets. Results: We found the most frequent genetic variants, including missense, deletion, duplication, and delins, in the NOTCH4, AR, BARD1, MUC16, and ROS1 genes. Copy Number alterations affected the CDKN2A, CDKN2B, TP53, RHOA, MYC, CCND3, and DDR2 genes mainly in osteosarcoma samples. In four patients, longitudinal analyses of subsequent lesions showed the maintenance of most genomic alterations and enrichment in missense or splice variants in PMS2, SMARCA4, ARID1A, AKT1, BMPR1A, and PTEN, indicating the occurrence of tumor evolution. Germline variants subtraction identified the specific somatic tumor mutations. Advantages and disadvantages of our approach were considered in order to refine the analysis setting and better select possible actionable targets. Conclusions: Early access to genomic analyses, routine germline assessment, and broad gene panels would help in identifying possible targeted drugs with sufficient evidence of activity beneficial to each patient. In the clinical management of advanced sarcoma patients, when analyzing cost-effectiveness and sustainability, the role of the Molecular Tumor Board in the governance of the complexity introduced by mutational oncology should be considered. Full article
Show Figures

Figure 1

13 pages, 253 KB  
Article
Clinical Variables Associated with Physician-Driven Inclusion in a Special Management Program for Complex Patients
by Vered Mintzer, Eugene Merzon, Ariel Israel, Shai Ashkenazi, Ayala Blau, Eli Magen, Shlomo Vinker, Ilan Green and Avivit Golan-Cohen
J. Clin. Med. 2026, 15(1), 202; https://doi.org/10.3390/jcm15010202 - 26 Dec 2025
Viewed by 663
Abstract
Background/Objectives: The increasing rate of complex patients with multiple chronic somatic and/or mental disorders in modern medicine is challenging, necessitating special management programs. The aim of the present study was to identify clinical variables and the use of health services associated with the [...] Read more.
Background/Objectives: The increasing rate of complex patients with multiple chronic somatic and/or mental disorders in modern medicine is challenging, necessitating special management programs. The aim of the present study was to identify clinical variables and the use of health services associated with the primary-physician-driven inclusion of complex patients in the “Team Management for Complex Patients” (TMCP) special program. Methods: Using validated electronic medical records of a nationwide health maintenance organization, a case–control study was performed. The study compared parameters before enrollment of complex patients included in the TMCP program with those of complex patients during the same time period who were not included, and were matched using a propensity score for age, sex, socioeconomic status, place of residence, ethnicity, smoking status, physical activity, and the balance before the day of enrollment for the major body measurements and laboratory results. Results: The control group was well-balanced, except for the South region and no physical activity. Several respiratory, cardiac, gastrointestinal, neurological, inflammatory and autoimmune diseases were significantly more common among patients included in the TMCP program than among those not included. Complex patients included in the program presented significantly higher previous rates of attending outpatient urgent care centers, visiting hospital emergency departments, hospitalization, and medication use. Conclusions: Although limited by subjective inclusion criteria and potential confounding, the present comparative study identified clinical variables associated with the identification of complex patients for enrollment into a special managed program. These associations may inform future work to develop and validate criteria to support physician decision-making in selecting complex patients for managed programs and designing healthcare resources for patients who need them most. We currently meticulously follow the outcomes of the patients included in the special managed program. Full article
(This article belongs to the Section Clinical Guidelines)
17 pages, 314 KB  
Article
Vagally Mediated Heart Rate Variability and Attachment-Related Avoidance in Pediatric Migraine: A Mediated Pathway to Somatic Symptoms Severity
by Filippo Cellucci, Chiara Morale, Giulia Di Vincenzo, Giovanni Di Nardo, Alessandro Ferretti, Pasquale Parisi, Valeria Carola and Giampaolo Nicolais
Children 2025, 12(12), 1602; https://doi.org/10.3390/children12121602 - 25 Nov 2025
Viewed by 841
Abstract
Background/Objectives: Pediatric migraine is a prevalent and disabling condition often accompanied by functional somatic symptoms and emotional dysregulation. Emerging evidence suggests that autonomic imbalance and insecure attachment patterns may both contribute to the development and maintenance of somatic distress. However, the interplay [...] Read more.
Background/Objectives: Pediatric migraine is a prevalent and disabling condition often accompanied by functional somatic symptoms and emotional dysregulation. Emerging evidence suggests that autonomic imbalance and insecure attachment patterns may both contribute to the development and maintenance of somatic distress. However, the interplay between physiological regulation and relational dynamics remains insufficiently understood, particularly in pediatric clinical populations. This study investigated whether attachment-related anxiety and avoidance toward both mother and father and resting Vagally Mediated Heart Rate Variability (vmHRV) were associated with somatic symptom severity in adolescents with migraine. Additionally, it tested whether attachment dimensions mediate the association between resting vmHRV and somatic symptoms. Methods: Sixty-one adolescents (aged 11–17 years) with a clinical diagnosis of migraine completed self-report measures assessing somatic symptoms (CSI-24) and attachment dimensions toward each parent (ECR-RC). Resting vmHRV (RMSSD) was recorded during a five-minute baseline. Correlational analyses, multiple regressions, and bootstrapped mediation models were conducted. Results: Higher somatic symptom severity was significantly associated with both attachment anxiety and avoidance toward both parents. Regression models showed that attachment anxiety and avoidance to the mother, along with attachment avoidance to the father, predicted somatic symptoms. Although vmHRV was not directly associated with symptom severity, mediation analysis revealed that attachment avoidance to the father fully mediated the relationship between lower resting vmHRV and increased somatic complaints. Conclusions: These findings highlight the relevance of relational factors in pediatric migraine and suggest that avoidant attachment—particularly toward the father—may serve as a psychological mechanism linking autonomic dysregulation to somatic symptomatology. The results support integrative, biopsychosocial models for understanding and treating primary headache in youth, emphasizing the potential of combining attachment-focused and physiological interventions in clinical practice. Full article
(This article belongs to the Special Issue Advances in Child–Parent Attachment and Children's Peer Relations)
Show Figures

Figure 1

21 pages, 718 KB  
Review
Secondary Somatic Embryogenesis in Plants: From Cellular Mechanisms to Biotechnological Potential
by Milica D. Bogdanović and Katarina B. Ćuković
Plants 2025, 14(22), 3413; https://doi.org/10.3390/plants14223413 - 7 Nov 2025
Cited by 1 | Viewed by 1998
Abstract
Secondary somatic embryogenesis (SSE) is a powerful tool in plant biotechnology, enabling the continuous production of embryos from primary somatic embryos (PSEs) and offering broad applications across agriculture, forestry, horticulture, and pharmaceutical industries. Depending on culture conditions, SSE may proceed directly from the [...] Read more.
Secondary somatic embryogenesis (SSE) is a powerful tool in plant biotechnology, enabling the continuous production of embryos from primary somatic embryos (PSEs) and offering broad applications across agriculture, forestry, horticulture, and pharmaceutical industries. Depending on culture conditions, SSE may proceed directly from the surface of PSEs or indirectly via callus formation, with the outcome strongly influenced by exogenous plant growth regulators (PGRs). A key advantage of SSE is its cyclic nature, which offers a valuable strategy to maintain embryogenic potential over extended culture periods, generating true-to-type embryos without reliance on the original explant, while significantly increasing the multiplication rate, often making SSE more productive than PSE in many species. This review explores in detail the cellular origin and developmental pathways of secondary embryos, the maintenance of embryogenic competence through cyclic embryogenesis, as well as genetic and epigenetic aspects and the biotechnological applications of this process. Moreover, it addresses challenges regarding strong genotype dependence, variability in embryo quality and morphology, limitations in maturation and conversion potential, and the gradual decline of embryogenic competence with successive cycles, all of which need to be overcome to ensure the stability and reproducibility of SSE and maximize its impact. Full article
Show Figures

Figure 1

25 pages, 2907 KB  
Article
Machine-Milking Practices, Animal Welfare-Related Reactions and Quality of Milk Produced in Dairy Sheep Farms
by Dimitra V. Liagka, George C. Fthenakis, Stella N. Kalonaki, Konstantina S. Dimoveli, Daphne T. Lianou, Vasia S. Mavrogianni, Charalambia K. Michael, Mariangela Caroprese, Vassiliki Spyrou and Natalia G. C. Vasileiou
Animals 2025, 15(21), 3078; https://doi.org/10.3390/ani15213078 - 23 Oct 2025
Cited by 1 | Viewed by 790
Abstract
There is a scarcity of relevant information in the international literature regarding the welfare of dairy ewes during the milking process and the potential impact on the quality of the produced milk. Hence, there is a scope to further study potential interactions between [...] Read more.
There is a scarcity of relevant information in the international literature regarding the welfare of dairy ewes during the milking process and the potential impact on the quality of the produced milk. Hence, there is a scope to further study potential interactions between the milking process and animal welfare in dairy sheep flocks. The specific objectives of this study were (i) the evaluation of the frequency of reactions potentially associated with the reduced welfare of dairy sheep during the milking process, (ii) the identification of predictors associated with the presence of these reactions, and (iii) the evaluation of associations with the quality of milk produced on a farm. The study was conducted in 52 dairy sheep farms in Greece. The farms were visited, and the milking process was observed and monitored, and the reactions of ewes during the milking process were recorded; samples from the bulk-tank milk were collected for somatic cell and total bacterial counting. Univariable and multivariable analyses were performed. The median duration of milking per row was 7.9 min, and the median duration of the milking process was 105 min. The reaction observed less often from ewes was vocalisation (in 9.6% of farms), and the one observed more frequently was ‘spot stepping’ (in 98.1% of farms). In total, eight different predictors were identified for the displaying of the various reactions observed and recorded; of these, two were related to the milking parlour and six were related to the milking process. Moreover, three different predictors were identified for the milk quality parameters; of these, one was related to the milking parlour and two were related to the milking process. Finally, a mild correlation was seen between the proportion of ewes that attempted to remove the milking cluster, and the somatic cell counts in the bulk-tank milk (p = 0.023). The results confirmed that incorrect practices during machine-milking can be stress factors for dairy sheep. In light of the present findings, procedures by milkers should be carefully carried out, which will contribute to minimising the nervousness and aggravation of ewes during milking. Stress factors can adversely affect the quality of milk produced on the farm. The findings underline that maintenance of animal welfare is linked to high product quality. This connection can further extend to consumer perceptions: the ethical treatment of dairy sheep is considered as an important facet of the overall food quality and sustainable production. Full article
(This article belongs to the Special Issue Advances in Small Ruminant Welfare)
Show Figures

Figure 1

12 pages, 10576 KB  
Article
Agarose Gel-Supported Culture of Cryopreserved Calf Testicular Tissues
by Daozhen Jiang, Wenqian Zhu, Rui Yang, Boyang Zhang, Yingshu Pan, Yifei Mao, Yueqi Wang, Yan Zhang, Bo Tang and Xueming Zhang
Vet. Sci. 2025, 12(10), 1005; https://doi.org/10.3390/vetsci12101005 - 17 Oct 2025
Viewed by 886
Abstract
Optimizing the cultivation system is crucial for tissue culture. The culture of cryopreserved testicular tissues is of great importance for the germplasm preservation of endangered animals and especially to ensure high-quality and high-output livestock. In this study, we compared two cultivation systems (Agarose-Supported [...] Read more.
Optimizing the cultivation system is crucial for tissue culture. The culture of cryopreserved testicular tissues is of great importance for the germplasm preservation of endangered animals and especially to ensure high-quality and high-output livestock. In this study, we compared two cultivation systems (Agarose-Supported system and Direct Adherent system) by evaluating their effects on tissue morphology, cell proliferation, apoptosis, gene expression, and endocrine function in cryopreserved testicular tissues from 30-day-old calves. The testicular tissues were cultured for 18 and 27 days with three biological replicates per group, aiming to identify which system better supports tissue preservation, cellular viability, and spermatogenic differentiation. This allowed us to clarify how different cultivation systems influence the structural maintenance and developmental potential of immature bovine testicular tissues. Histological and gene expression analyses revealed that the Agarose-Supported system better preserved the seminiferous cord architecture and supported the development of the seminiferous epithelium compared to the Direct Adherent system. The Agarose system significantly reduced the apoptosis and enhanced the expression of some key genes, including spermatogonial stem cell (SSC) markers (GFRα-1, UCHL1), meiotic marker (SYCP3), mature sperm marker (CRISP1), and testicular somatic cell markers (STAR, SOX9, ACTA2). The Agarose-Supported system also benefited spermatogenic differentiation and testosterone secretion. These findings demonstrate that the Agarose-Supported system facilitates the in vitro development of spermatogenic cells and Leydig cells in post-cryopreserved immature bovine testicular tissues. Full article
(This article belongs to the Special Issue Current Method and Perspective in Animal Reproduction)
Show Figures

Graphical abstract

Back to TopTop