Sign in to use this feature.

Years

Between: -

Subjects

remove_circle_outline
remove_circle_outline
remove_circle_outline
remove_circle_outline
remove_circle_outline

Journals

Article Types

Countries / Regions

Search Results (12)

Search Parameters:
Keywords = solar panel and excessive heat

Order results
Result details
Results per page
Select all
Export citation of selected articles as:
21 pages, 7653 KB  
Article
Efficacy of Hybrid Photovoltaic–Thermal and Geothermal Heat Pump System for Greenhouse Climate Control
by Chung Geon Lee, Geum Choon Kang, Jae Kyung Jang, Sung-Wook Yun, Jong Pil Moon, Hong-Seok Mun and Eddiemar Baguio Lagua
Energies 2025, 18(20), 5386; https://doi.org/10.3390/en18205386 - 13 Oct 2025
Cited by 2 | Viewed by 1171
Abstract
This study evaluated the performance of a hybrid heat pump system integrating photovoltaic–thermal (PVT) panels with a standing column well (SCW) geothermal system in a strawberry greenhouse. The PVT panels, installed over 10% of the area of a 175 m3 greenhouse, stored [...] Read more.
This study evaluated the performance of a hybrid heat pump system integrating photovoltaic–thermal (PVT) panels with a standing column well (SCW) geothermal system in a strawberry greenhouse. The PVT panels, installed over 10% of the area of a 175 m3 greenhouse, stored excess solar heat in an aquifer to offset the reduced efficiency of the geothermal source during extended operation. The results showed that the hybrid system can supply 11,253 kWh of heat energy during the winter, maintaining the night time indoor temperature at 10 °C even when outdoor conditions dropped to −10.5 °C. The PVT system captured 11,125 kWh of solar heat during heating the off season, increasing the heat supply up to 22,378 kWh annually. Additionally, the system generated 3839 kWh of electricity, which significantly offset the 36.72% of the annual pump system electricity requirements, enhancing the system coefficient of performance (COP) of 3.38. Strawberry production increased by 4% with 78% heating cost saving compared to a kerosene boiler system. The results show that the PVT system effectively supports the geothermal system, improving heating performance and demonstrating the feasibility of hybrid renewable energy in smart farms to enhance efficiency, reduce fossil fuel use, and advance carbon neutrality. Full article
Show Figures

Figure 1

23 pages, 2046 KB  
Article
Energy and Ecological Concept of a Zero-Emission Building Using Renewable Energy Sources—Case Study in Poland
by Anna Barwińska-Małajowicz, Marian Banaś, Teresa Piecuch, Radosław Pyrek, Krzysztof Szczotka and Jakub Szymiczek
Energies 2024, 17(23), 5817; https://doi.org/10.3390/en17235817 - 21 Nov 2024
Cited by 3 | Viewed by 2144
Abstract
Zero-emission buildings, which do not emit CO2 or other greenhouse gases throughout their entire life cycle, play a crucial role in sustainable development and the fight against climate change. Achieving carbon neutrality in construction requires considering emissions associated with material production, construction, [...] Read more.
Zero-emission buildings, which do not emit CO2 or other greenhouse gases throughout their entire life cycle, play a crucial role in sustainable development and the fight against climate change. Achieving carbon neutrality in construction requires considering emissions associated with material production, construction, operation, as well as demolition and disposal. These buildings utilize energy-efficient technologies, renewable energy sources, and low-carbon materials, minimizing their environmental impact. The building sector accounts for a significant percentage of global greenhouse gas emissions, making it a key area for climate action. In Poland, where aging and energy-inefficient buildings prevail, the need for a transition towards zero-emission buildings is particularly urgent. This paper assesses the feasibility and hurdles of retrofitting existing buildings to achieve zero emissions by utilizing renewable energy systems like solar photovoltaic and heat pump technologies. The publication discusses the technical, economic, and legal aspects of this transformation, with particular emphasis on the Polish context and available support programs. The purpose of this publication is to disseminate practical knowledge and foster innovation among architects, investors, and decision-makers engaged in the development of a sustainable built environment. A key example is Net Zero Energy Buildings (NZEBs), which generate as much energy as they consume over a year through technologies such as photovoltaic panels, solar collectors, and heat pumps. NZEBs combine effective insulation, energy-efficient systems, and smart energy management to minimize consumption, and may even produce excess energy that feeds back into the grid. Despite challenges in construction and maintenance, the increasing adoption of zero-emission and NZEBs worldwide reflects their long-term ecological, economic, and health benefits. The focus of this publication is to analyze the potential for transforming standard buildings, as defined by current regulations, into zero-emission buildings powered entirely by renewable energy sources. This case study analyzes the energy potential of a residential building located in Krakow, Poland. The building’s energy efficiency potential was assessed through computer simulations using Audytor OZC software (version 7.0 Pro, Sankom), taking into account local climate conditions and building standards. The study analyzed the impact of various strategies, such as upgrading thermal insulation, using energy-efficient windows, and installing photovoltaic panels, on energy consumption and CO2 emissions. Full article
(This article belongs to the Collection Energy Efficiency and Environmental Issues)
Show Figures

Figure 1

17 pages, 6804 KB  
Article
Prediction of Heat Transfer in a Hybrid Solar–Thermal–Photovoltaic Heat Exchanger Using Computational Fluid Dynamics
by Sandro Guadalupe Pérez Grajales, Teresa Hernández Ortíz, Rogelio Martinez-Oropeza, Tabai Torres, López-Pérez Luis Adrián, Javier Delgado-Gonzaga, Armando Huicochea and David Juárez-Romero
Processes 2024, 12(10), 2296; https://doi.org/10.3390/pr12102296 - 20 Oct 2024
Viewed by 2515
Abstract
Solar energy is one of the main renewable energy resources due to its abundance. It can be used for two purposes, thermal or photovoltaic applications. However, when the resource obtained is mixed, it is called photovoltaic thermal hybrid, where the solar panels generate [...] Read more.
Solar energy is one of the main renewable energy resources due to its abundance. It can be used for two purposes, thermal or photovoltaic applications. However, when the resource obtained is mixed, it is called photovoltaic thermal hybrid, where the solar panels generate electricity and are provided with a heat exchanger to absorb energy through a water flow. This is one of the techniques used by the scientific community to reduce the excess temperature generated by solar radiation in the cells, improving the electrical efficiency of photovoltaic systems and obtaining fluid with higher temperature. In this work, the thermal behavior of a heat exchanger equipped with fins in its interior to increase the thermal efficiency of the system was analyzed using CFD (Computational Fluid Dynamics). The results showed that the average fluid outlet temperature was 75.31 °C, considering an incident irradiance of 1067 W/m2 and a fluid inlet temperature of 27 °C. The operating conditions were obtained from published experimental studies, achieving 97.7% similarity between the two. This was due to the boundary conditions of the heat flux (1067 W/m2) impinging directly on the coupled cells and the heat exchanger in a working area of 0.22 m2. Full article
(This article belongs to the Special Issue Solar Technologies and Photovoltaic Systems)
Show Figures

Figure 1

21 pages, 9524 KB  
Article
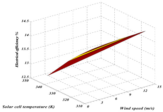
Evaluation of Efficiency Enhancement in Photovoltaic Panels via Integrated Thermoelectric Cooling and Power Generation
by Muhammad Faheem, Muhammad Abu Bakr, Muntazir Ali, Muhammad Awais Majeed, Zunaib Maqsood Haider and Muhammad Omer Khan
Energies 2024, 17(11), 2590; https://doi.org/10.3390/en17112590 - 27 May 2024
Cited by 11 | Viewed by 3770
Abstract
Among renewable resources, solar energy is abundant and cost effective. However, the efficiency and performance of photovoltaic panels (PVs) are adversely affected by the rise in the surface temperature of solar cells. This paper analyzes the idea of utilizing thermoelectric modules (TEMs) to [...] Read more.
Among renewable resources, solar energy is abundant and cost effective. However, the efficiency and performance of photovoltaic panels (PVs) are adversely affected by the rise in the surface temperature of solar cells. This paper analyzes the idea of utilizing thermoelectric modules (TEMs) to enhance the efficiency and performance of PV panels. The proposed hybrid solar thermoelectric generation (HSTEG) system employs TEMs as thermoelectric coolers (TECs) to enhance panel efficiency and as thermoelectric generators (TEGs) to convert excess heat into additional electricity. This study includes an extensive evaluation of the proposed idea using MATLAB Simulink and experimental validation in indoor as well as outdoor environments. The use of TECs for the active cooling of the PV system leads to an increase in its efficiency by 9.54%. Similarly, the passive cooling by TECs along with the additional power generated by the TEGs from the excessive heat led to an increase in the efficiency of the PV system of 15.50%. The results demonstrate the HSTEG system’s potential to significantly improve PV panel efficiency and energy generation, offering a promising avenue for advancing solar energy technology. Full article
(This article belongs to the Section A1: Smart Grids and Microgrids)
Show Figures

Figure 1

18 pages, 10771 KB  
Article
Advancement in Agriculture Approaches with Agrivoltaics Natural Cooling in Large Scale Solar PV Farms
by Noor Fadzlinda Othman, Mohammad Effendy Ya’acob, Li Lu, Ahmad Hakiim Jamaluddin, Ahmad Suhaizi Mat Su, Hashim Hizam, Rosnah Shamsudin and Juju Nakasha Jaafar
Agriculture 2023, 13(4), 854; https://doi.org/10.3390/agriculture13040854 - 12 Apr 2023
Cited by 6 | Viewed by 4957
Abstract
The increasing concerns about the impact of large-scale solar photovoltaic farms on the environment and the energy crisis have raised many questions. This issue is mainly addressed by the integration of agriculture advancement in solar photovoltaic systems infrastructure facilities, commonly known as agrivoltaic. [...] Read more.
The increasing concerns about the impact of large-scale solar photovoltaic farms on the environment and the energy crisis have raised many questions. This issue is mainly addressed by the integration of agriculture advancement in solar photovoltaic systems infrastructure facilities, commonly known as agrivoltaic. Through the use of these systems, the production of crops can be increased, and the efficiency of PV panels can be improved. Accordingly, adopting such synergistic paths forward can contribute toward building resilient energy-generation and food-production systems. The utilization of cooling techniques can provide a potential solution for the excessive heating of PV cells and lower cell temperatures. Effective cooling applied to PV cells significantly improves their electrical efficiency, as well as increasing their lifespan because of decreasing thermal stresses. This paper shares an overview of both active and passive cooling approaches in solar PV applications with an emphasis on newly developed agrivoltaic natural cooling systems. Actual data analysis at the 2 MWp Puchong agrivoltaic farm shows a significant value of 3% increase of the DC generation (on average) which is most beneficial to solar farm operators. Full article
(This article belongs to the Special Issue Advances in Agricultural Engineering Technologies and Application)
Show Figures

Figure 1

28 pages, 6875 KB  
Review
Integration of Renewable Energy Sources into Low-Temperature District Heating Systems: A Review
by Ioan Sarbu, Matei Mirza and Daniel Muntean
Energies 2022, 15(18), 6523; https://doi.org/10.3390/en15186523 - 7 Sep 2022
Cited by 31 | Viewed by 8604
Abstract
This article presents a complex and exhaustive review of the integration of renewable energy sources (RES) (specifically solar, geothermal, and hydraulic energies and heat pumps (HPs)) and the improvement of water pumping in district heating systems (DHSs) focused on low-temperature systems, to increase [...] Read more.
This article presents a complex and exhaustive review of the integration of renewable energy sources (RES) (specifically solar, geothermal, and hydraulic energies and heat pumps (HPs)) and the improvement of water pumping in district heating systems (DHSs) focused on low-temperature systems, to increase energy efficiency and environmental protection. For this aim, the main components of a DHS and the primary RES with applications in DHSs were described briefly. Finally, several case studies regarding the DHS in Timisoara, Romania, were analysed. Thus, by integrating water source HP (WSHP) systems in cooperation with solar thermal and photovoltaic (PV) collectors and reducing the supply temperature from 110 °C to 30 °C in DHS, which supplies the water radiators to consumers in a district of this city in a 58/40 °C regime of temperatures and produces domestic hot water (DHW) required by consumers at 52 °C, a thermal energy saving of 75%, a reduction in heat losses on the transmission network of 90% and a diminution of CO2 emissions of 77% were obtained. Installed PV panels generate 1160 MWh/year of electricity that is utilised to balance the electricity consumption of HP systems. Additionally, mounting pumps as turbines (PATs) for the recovery of excess hydraulic energy in the entire heating network resulted in electricity production of 378 MW, and the variable frequency drive’s (VFD) method for speed control for a heating station pump resulted in roughly 38% more energy savings than the throttle control valve technique. Full article
(This article belongs to the Section G: Energy and Buildings)
Show Figures

Figure 1

10 pages, 1684 KB  
Article
CPU Performance Improvement Using Novel Thermally Conductive Carbon Nano Grease
by Travis Grablander, Greg Christensen, Craig Bailey, Ding Lou, Haiping Hong and Hammad Younes
Lubricants 2022, 10(8), 172; https://doi.org/10.3390/lubricants10080172 - 27 Jul 2022
Cited by 2 | Viewed by 3458
Abstract
Electronics depend on their ability to shed operational heat to maintain operating temperature. Inferior grease can create preventable problems in electronics. This is typically achieved through a thermal grease or paste. If this grease fails to dissipate heat or maintain thermal contact, then [...] Read more.
Electronics depend on their ability to shed operational heat to maintain operating temperature. Inferior grease can create preventable problems in electronics. This is typically achieved through a thermal grease or paste. If this grease fails to dissipate heat or maintain thermal contact, then the equipment will have faults. Greases with less-than-optimal performance create excessive wear, heat, and reduced life expectancy. This can cause equipment failures and malfunctions at the most inopportune moments. Thermal greases are applied to Central Processors (CPU) and Graphics Processors (GPU) in avionics LRUs, computers, Solar panels, HVAC systems, and other electronics. A high-performance novel nano grease will shed excess heat and increase device life expectancy. The fabricated nano greases show improvements of up to 80% in thermal conductivity measurements. CPU testing resulted in a 100% decrease in the standard deviation of temperature variation from commercial greases. Full article
(This article belongs to the Special Issue Thermally and Electrically Conductive Nanomaterials Lubricants)
Show Figures

Figure 1

25 pages, 22596 KB  
Project Report
Design Considerations for Reducing Battery Storage in Off-Grid, Stand-Alone, Photovoltaic-Powered Cold Storage in Rural Applications
by Johan Meyer and Sune von Solms
Energies 2022, 15(9), 3468; https://doi.org/10.3390/en15093468 - 9 May 2022
Cited by 7 | Viewed by 4918
Abstract
This paper presents design considerations for the design and implementation of stand-alone photovoltaic-powered containerized cold storage solutions for rural off-grid applications. The work presented is based on a case study of an off-grid photovoltaic-powered cold storage unit located in rural South Africa. Although [...] Read more.
This paper presents design considerations for the design and implementation of stand-alone photovoltaic-powered containerized cold storage solutions for rural off-grid applications. The work presented is based on a case study of an off-grid photovoltaic-powered cold storage unit located in rural South Africa. Although solar-powered solutions for off-grid rural applications are very attractive and offer many benefits, including increased food security, skills development, income generation, and productivity due to the presence of solar power, the application of cold storage requires careful consideration of the design aspects to ensure that the solution is feasible and sustainable. The challenge of maintaining low temperatures inside a cold storage system in an excessively warm environment, such as that frequently encountered in most African rural settings, has stimulated discussions of design considerations for optimal efficiency. Not only are the design aspects of the PV panel mounting and tilt associated with the geographic location of the application, but the heating implications are also derived from the physical orientation of the storage unit. Results from mathematical models are substantiated with field data collected from a case deployment. The design considerations for the sizing of the electrical components in the system are presented. The paper concludes by answering the research question as to what design aspects should be considered for an off-grid, PV-powered containerized cold storage system to reduce the size of the battery storage unit. Full article
(This article belongs to the Special Issue Optimal Design of Off-Grid Power Systems)
Show Figures

Figure 1

31 pages, 8081 KB  
Article
Improvement of Extracted Power of Pole Mounted Solar Panels by Effective Cooling Using Aluminum Heat Sink under Hot Weather and Variable Wind Speed Conditions
by Youssef Hassan, Mohamed Orabi, Abdulaziz Alshreef, Omar M. Al-Rabghi, Badr A. Habeebullah, Abdelali El Aroudi and Mohamed A. Ismeil
Energies 2020, 13(12), 3159; https://doi.org/10.3390/en13123159 - 18 Jun 2020
Cited by 2 | Viewed by 4024
Abstract
The increase in operating temperature of PV generators leads to degradation of their performance. These adverse effects of high temperatures are considered as one of the most important problems that solar panel operation faces in hot weather areas. A lot of research has [...] Read more.
The increase in operating temperature of PV generators leads to degradation of their performance. These adverse effects of high temperatures are considered as one of the most important problems that solar panel operation faces in hot weather areas. A lot of research has been undertaken to study this aspect and find ways of limiting the harm caused by such high temperatures. To overcome this harm and to maintain the operating temperature of the PV cells within the optimum range specified by manufacturers, cooling the solar panels often becomes indispensable. This paper discusses the heat transfer through the solar panel layers and studies the effect of high temperature on the solar panel performance in a hot desert environment. It also presents the development of a new solar panel structure viz. by installing an aluminum heat sink to reduce the effect of temperature rise and thus improve the solar panel performance. The study focuses on a pole-mounted solar panel for a street lighting apparatus in extremely hot desert conditions with fluctuating wind speeds. It will be shown that adding an aluminum heat sink to the solar panel bottom mitigates the effect of increased temperature and hence modifies the solar panel operating point by increasing both the efficiency and the lifetime. The solar cell temperature is decreased by 16.4% as a result of the aluminum heat sink installation on the solar panel back sheet and consequently, the accumulated energy produced by the the solar panel is increased by 13.23% per day. Full article
(This article belongs to the Section A2: Solar Energy and Photovoltaic Systems)
Show Figures

Graphical abstract

21 pages, 14417 KB  
Article
Numerical and Experimental Study of an Asymmetric CPC-PVT Solar Collector
by Pouriya Nasseriyan, Hossein Afzali Gorouh, João Gomes, Diogo Cabral, Mazyar Salmanzadeh, Tiffany Lehmann and Abolfazl Hayati
Energies 2020, 13(7), 1669; https://doi.org/10.3390/en13071669 - 3 Apr 2020
Cited by 24 | Viewed by 4382
Abstract
Photovoltaic (PV) panels and thermal collectors are commonly known as mature technologies to capture solar energy. The efficiency of PV cells decreases as operating cell temperature increases. Photovoltaic Thermal Collectors (PVT) offer a way to mitigate this performance reduction by coupling solar cells [...] Read more.
Photovoltaic (PV) panels and thermal collectors are commonly known as mature technologies to capture solar energy. The efficiency of PV cells decreases as operating cell temperature increases. Photovoltaic Thermal Collectors (PVT) offer a way to mitigate this performance reduction by coupling solar cells with a thermal absorber that can actively remove the excess heat from the solar cells to the Heat Transfer Fluid (HTF). In order for PVT collectors to effectively counter the negative effects of increased operating cell temperature, it is fundamental to have an adequate heat transfer from the cells to the HTF. This paper analyzes the operating temperature of the cells in a low concentrating PVT solar collector, by means of both experimental and Computational Fluid Dynamics (CFD) simulation results on the Solarus asymmetric Compound Parabolic Concentrator (CPC) PowerCollector (PC). The PC solar collector features a Compound Parabolic Concentrator (CPC) reflector geometry called the Maximum Reflector Concentration (MaReCo) geometry. This collector is suited for applications such as Domestic Hot Water (DHW). An experimental setup was installed in the outdoor testing laboratory at Gävle University (Sweden) with the ability to measure ambient, cell and HTF temperature, flow rate and solar radiation. The experimental results were validated by means of an in-house developed CFD model. Based on the validated model, the effect of collector tilt angle, HTF, insulation (on the back side of the reflector), receiver material and front glass on the collector performance were considered. The impact of tilt angle is more pronounced on the thermal production than the electrical one. Furthermore, the HTF recirculation with an average temperature of 35.1 °C and 2.2 L/min flow rate showed that the electrical yield can increase by 25%. On the other hand, by using insulation, the thermal yield increases up to 3% when working at a temperature of 23 °C above ambient. Full article
(This article belongs to the Section A2: Solar Energy and Photovoltaic Systems)
Show Figures

Graphical abstract

68 pages, 19331 KB  
Article
Design of Power, Propulsion, and Thermal Sub-Systems for a 3U CubeSat Measuring Earth’s Radiation Imbalance
by Jack Claricoats and Sam M. Dakka
Aerospace 2018, 5(2), 63; https://doi.org/10.3390/aerospace5020063 - 11 Jun 2018
Cited by 20 | Viewed by 24290
Abstract
The paper presents the development of the power, propulsion, and thermal systems for a 3U CubeSat orbiting Earth at a radius of 600 km measuring the radiation imbalance using the RAVAN (Radiometer Assessment using Vertically Aligned NanoTubes) payload developed by NASA (National Aeronautics [...] Read more.
The paper presents the development of the power, propulsion, and thermal systems for a 3U CubeSat orbiting Earth at a radius of 600 km measuring the radiation imbalance using the RAVAN (Radiometer Assessment using Vertically Aligned NanoTubes) payload developed by NASA (National Aeronautics and Space Administration). The propulsion system was selected as a Mars-Space PPTCUP -Pulsed Plasma Thruster for CubeSat Propulsion, micro-pulsed plasma thruster with satisfactory capability to provide enough impulse to overcome the generated force due to drag to maintain an altitude of 600 km and bring the CubeSat down to a graveyard orbit of 513 km. Thermal analysis for hot case found that the integration of a black high-emissivity paint and MLI was required to prevent excessive heating within the structure. Furthermore, the power system analysis successfully defined electrical consumption scenarios for the CubeSat’s 600 km orbit. The analysis concluded that a singular 7 W solar panel mounted on a sun-facing side of the CubeSat using a sun sensor could satisfactorily power the electrical system throughout the hot phase and charge the craft’s battery enough to ensure constant electrical operation during the cold phase, even with the additional integration of an active thermal heater. However, when the inevitable end-of-life degradation of the solar cell was factored into the analysis, an approximate power deficit of 2 kJ was found. This was supplemented by additional solar cell integrated into the antenna housing face. Full article
Show Figures

Graphical abstract

14 pages, 459 KB  
Article
Energy and Cost Saving of a Photovoltaic-Phase Change Materials (PV-PCM) System through Temperature Regulation and Performance Enhancement of Photovoltaics
by Ahmad Hasan, Sarah Josephine McCormack, Ming Jun Huang and Brian Norton
Energies 2014, 7(3), 1318-1331; https://doi.org/10.3390/en7031318 - 5 Mar 2014
Cited by 197 | Viewed by 13529
Abstract
The current research seeks to maintain high photovoltaic (PV) efficiency and increased operating PV life by maintaining them at a lower temperature. Solid-liquid phase change materials (PCM) are integrated into PV panels to absorb excess heat by latent heat absorption mechanism and regulate [...] Read more.
The current research seeks to maintain high photovoltaic (PV) efficiency and increased operating PV life by maintaining them at a lower temperature. Solid-liquid phase change materials (PCM) are integrated into PV panels to absorb excess heat by latent heat absorption mechanism and regulate PV temperature. Electrical and thermal energy efficiency analysis of PV-PCM systems is conducted to evaluate their effectiveness in two different climates. Finally costs incurred due to inclusion of PCM into PV system and the resulting benefits are discussed in this paper. The results show that such systems are financially viable in higher temperature and higher solar radiation environment. Full article
Show Figures

Back to TopTop