Sign in to use this feature.

Years

Between: -

Subjects

remove_circle_outline
remove_circle_outline
remove_circle_outline
remove_circle_outline
remove_circle_outline
remove_circle_outline
remove_circle_outline
remove_circle_outline
remove_circle_outline

Journals

remove_circle_outline
remove_circle_outline
remove_circle_outline
remove_circle_outline
remove_circle_outline
remove_circle_outline
remove_circle_outline

Article Types

Countries / Regions

remove_circle_outline
remove_circle_outline
remove_circle_outline
remove_circle_outline
remove_circle_outline
remove_circle_outline

Search Results (313)

Search Parameters:
Keywords = socio-environmental vulnerabilities

Order results
Result details
Results per page
Select all
Export citation of selected articles as:
21 pages, 877 KB  
Article
Determination of Typologies of Andean Suburban Agroecosystems in Southern Ecuador
by Pablo Quichimbo, Santiago Guanuche, Leticia Jiménez, Sandra Banegas, Hugo Cedillo and Raúl Vanegas
Sustainability 2025, 17(21), 9760; https://doi.org/10.3390/su17219760 (registering DOI) - 1 Nov 2025
Abstract
The identification of producer typologies is a crucial tool for understanding the heterogeneity of agroecosystems and designing targeted policies. Andean agroecosystems, particularly those in rapidly suburbanizing areas, have been understudied in this regard, creating a critical knowledge gap. This study addressed this void [...] Read more.
The identification of producer typologies is a crucial tool for understanding the heterogeneity of agroecosystems and designing targeted policies. Andean agroecosystems, particularly those in rapidly suburbanizing areas, have been understudied in this regard, creating a critical knowledge gap. This study addressed this void by determining the typologies of smallholder agroecosystems in the suburban periphery of Cuenca, Ecuador, by applying an unsupervised machine learning technique, Partitioning Around Medoids (PAM) Clustering, to survey data from 293 farmers. Our analysis revealed three distinct typologies, highlighting a socio-economic and productive gradient defined by income sources, market access, and agrochemical use. The typologies range from economically vulnerable households to more commercially oriented and environmentally sustainable ones, underscoring the complex interplay between livelihoods strategies and environmental management. This research provides one of the first empirical typologies of suburban Andean agroecosystems, demonstrating the value of unsupervised learning for capturing farm heterogeneity in data-scarce contexts. The findings offer a robust evidence base for moving beyond one-size-fits-all approaches, enabling the design of differentiated agricultural and territorial policies that enhance sustainability, equity, and resilience at the rural–urban interface. Full article
(This article belongs to the Section Sustainable Agriculture)
Show Figures

Figure 1

36 pages, 953 KB  
Review
Dengue Fever Resurgence in Iran: An Integrative Review of Causative Factors and Control Strategies
by Seyed Hassan Nikookar, Saeedeh Hoseini, Omid Dehghan, Mahmoud Fazelidinan and Ahmadali Enayati
Trop. Med. Infect. Dis. 2025, 10(11), 309; https://doi.org/10.3390/tropicalmed10110309 - 31 Oct 2025
Abstract
Dengue fever, a mosquito-borne viral disease, has become a significant global health concern in recent decades, particularly in Iran. This integrative review provides a comprehensive assessment of the epidemiological trends of dengue fever in Iran from its initial emergence to the present, identifying [...] Read more.
Dengue fever, a mosquito-borne viral disease, has become a significant global health concern in recent decades, particularly in Iran. This integrative review provides a comprehensive assessment of the epidemiological trends of dengue fever in Iran from its initial emergence to the present, identifying and evaluating factors contributing to both the emergence and re-emergence of the disease at national and international levels. The review highlights critical global determinants influencing dengue transmission, including climate change, environmental modifications, unplanned urbanization, increased international travel and trade, and the pivotal roles of public awareness and healthcare infrastructure. Climatic variables, such as rising temperatures and altered precipitation patterns, create favorable conditions for mosquito breeding, enabling vectors like Aedes aegypti and Aedes albopictus to expand into new regions. We also explore how environmental changes, unplanned urbanization and other factors further exacerbate the situation. Control strategies addressing these factors are presented. In Iran, the incidence of dengue fever is increasing, yet research remains limited. The highest number of local cases has been reported in Chabahar and Bandar Lengeh, Hormozgan and Sistan and Baluchestan Provinces, respectively. Eleven key factors—culminating in socio-cultural practices, climate change, unplanned urbanization, cross-border mobility, and gaps in vector control and healthcare infrastructure—have been identified as contributing to recent outbreaks in Iran. In conclusion, our review underscores that mitigating dengue vulnerability in Iran requires an urgent, multi-faceted strategy targeting improved urban water management, enhanced cross-border surveillance, and strengthened healthcare system capacity. Full article
(This article belongs to the Section Vector-Borne Diseases)
Show Figures

Figure 1

26 pages, 3187 KB  
Article
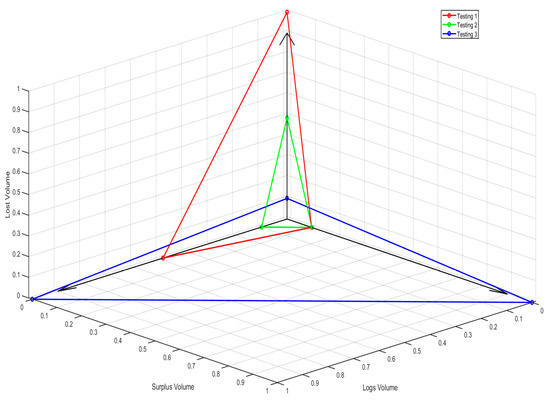
Integrating Social Conflicts into Sustainable Decision-Making of the Forest-to-Lumber Supply Chain
by Jorge Félix Mena-Reyes, Raúl Soto-Concha, Francisco P. Vergara, Virna Ortiz-Araya, John Willmer Escobar and Rodrigo Linfati
Forests 2025, 16(11), 1644; https://doi.org/10.3390/f16111644 - 28 Oct 2025
Viewed by 194
Abstract
The sustainable management of forest supply chains is particularly challenging in regions affected by socio-territorial conflicts, such as southern Chile, where Indigenous land claims and environmental concerns complicate operations. This study develops and applies a multi-objective mixed-integer linear programming (MILP) model to support [...] Read more.
The sustainable management of forest supply chains is particularly challenging in regions affected by socio-territorial conflicts, such as southern Chile, where Indigenous land claims and environmental concerns complicate operations. This study develops and applies a multi-objective mixed-integer linear programming (MILP) model to support tactical planning of the forest-to-lumber supply chain. The model operates the three pillars of sustainability through representative variables: raw material consumption (economic efficiency), transport distance (environmental impact), and exposure to territorial conflicts (social risk). These sustainability dimensions are consistent with the United Nations Sustainable Development Goals (SDGs) 8 (Decent Work and Economic Growth), 9 (Industry, Innovation and Infrastructure), 12 (Responsible Consumption and Production), and 16 (Peace, Justice and Strong Institutions). Computational experiments reveal Pareto trade-offs between productive efficiency and social vulnerability, showing that simpler logistics networks can substantially reduce conflict exposure without significant efficiency losses. Additionally, the strategy of minimizing the production of lumber that does not have immediate demand also helps reduce log consumption and improves log yield. The results provide a decision-oriented framework for conflict-sensitive supply chain planning, contributing to more resilient, socially responsible, and sustainable forest operations in Chile. Full article
(This article belongs to the Section Forest Economics, Policy, and Social Science)
Show Figures

Figure 1

22 pages, 6925 KB  
Article
Adaptive Urban Heat Mitigation Through Ensemble Learning: Socio-Spatial Modeling and Intervention Analysis
by Wanyun Ling and Liyang Chu
Buildings 2025, 15(21), 3820; https://doi.org/10.3390/buildings15213820 - 23 Oct 2025
Viewed by 291
Abstract
Urban Heat Islands (UHIs) are intensifying under climate change, exacerbating thermal exposure risks for socially vulnerable populations. While the role of urban environmental features in shaping UHI patterns is well recognized, their differential impacts on diverse social groups remain underexplored—limiting the development of [...] Read more.
Urban Heat Islands (UHIs) are intensifying under climate change, exacerbating thermal exposure risks for socially vulnerable populations. While the role of urban environmental features in shaping UHI patterns is well recognized, their differential impacts on diverse social groups remain underexplored—limiting the development of equitable, context-sensitive mitigation strategies. To address this challenge, we employ an interpretable ensemble machine learning framework to quantify how vegetation, water proximity, and built form influence UHI exposure across social strata and simulate the outcomes of alternative urban interventions. Drawing on data from 1660Dissemination Areas in Vancouver, we model UHI across seasonal and diurnal contexts, integrating environmental variables with socio-demographic indicators to evaluate both thermal and equity outcomes. Our ensemble AutoML framework demonstrates strong predictive accuracy across these contexts (R2 up to 0.79), providing reliable estimates of UHI dynamics. Results reveal that increasing vegetation cover consistently delivers the strongest cooling benefits (up to 2.95 °C) while advancing social equity, though fairness improvements become consistent only when vegetation intensity exceeds 1.3 times the baseline level. Water-related features yield additional cooling of approximately 1.15–1.5 °C, whereas built-form interventions yield trade-offs between cooling efficacy and fairness. Notably, modest reductions in building coverage or road density can meaningfully enhance distributional justice with limited thermal compromise. These findings underscore the importance of tailoring mitigation strategies not only for climatic impact but also for social equity. Our study offers a scalable analytical approach for designing just and effective urban climate adaptations, advancing both environmental sustainability and inclusive urban resilience in the face of intensifying heat risks. Full article
(This article belongs to the Special Issue Advancing Urban Analytics and Sensing for Sustainable Cities)
Show Figures

Figure 1

22 pages, 1653 KB  
Article
A Holistic One Health Assessment Framework for Coastal Areas
by Alexandra Ioannou, Evmorfia Bataka, Nikolaos Kokosis, Dimitris Kofinas, Charalambos Billinis and Chrysi Laspidou
Sustainability 2025, 17(21), 9359; https://doi.org/10.3390/su17219359 - 22 Oct 2025
Viewed by 421
Abstract
Coastal ecosystems face intertwined challenges from environmental degradation, zoonotic spillover, and socio-economic pressures, which demand integrated assessment approaches. This paper proposes a tailored conceptual and methodological framework for evaluating One Health (OH) in coastal environments. The proposed framework extends the Drivers–Pressures–State–Impact–Response model by [...] Read more.
Coastal ecosystems face intertwined challenges from environmental degradation, zoonotic spillover, and socio-economic pressures, which demand integrated assessment approaches. This paper proposes a tailored conceptual and methodological framework for evaluating One Health (OH) in coastal environments. The proposed framework extends the Drivers–Pressures–State–Impact–Response model by embedding human health, animal health, and environmental ecosystem quality into a unified structure. Within this approach, three composite indicators are introduced—the Human Health and Socio-economic Well-being Index, the Animal Health Risk Index, and the Environmental Ecosystem Quality Index. Based on an extensive literature review, we propose the variables and indicators that will theoretically underpin the construction of these indicators. While their empirical development and application will follow in a subsequent stage, the present work establishes their conceptual foundation and provides the full set of indicators to be integrated. In doing so, the framework lays the groundwork for future operationalization of OH assessments in coastal areas, supporting vulnerability evaluation, sustainable governance, and alignment with European directives and the UN SDGs. Full article
(This article belongs to the Special Issue Ecosystem Services and Sustainable Development of Human Health)
Show Figures

Graphical abstract

25 pages, 1755 KB  
Article
Socio-Technical and Economic Analysis of Small Scale Reverse Osmosis Desalination in Coastal Bangladesh: Insights from Field Audits, Water Quality Assessment, and Behavioral Modeling
by Sowmik Das Sowmya and Sonia Binte Murshed
Sustainability 2025, 17(20), 9335; https://doi.org/10.3390/su17209335 - 21 Oct 2025
Viewed by 343
Abstract
Coastal Bangladesh faces severe drinking water scarcity due to salinity intrusion. To address this challenge, the study assesses the socio-technical and economic factors shaping the performance of small-scale reverse osmosis (RO) desalination plants through field audits, household surveys, stakeholder interviews, and water quality [...] Read more.
Coastal Bangladesh faces severe drinking water scarcity due to salinity intrusion. To address this challenge, the study assesses the socio-technical and economic factors shaping the performance of small-scale reverse osmosis (RO) desalination plants through field audits, household surveys, stakeholder interviews, and water quality analysis. Community acceptance was evaluated using the Theory of Planned Behavior (TPB). Feedwater was highly contaminated, with average TDS 3732.63 mg/L, hardness 636.36 mg/L, iron (Fe) 3.23 mg/L, and turbidity 14.63 NTU. Despite this, RO systems demonstrated strong performance, achieving removal efficiencies of 95.15% for salts, 95.95% for hardness, and 91.67% for alkalinity, with an average recovery rate of 37.25% (range: 20–60%). Treated water met WHO and Bangladesh standards, with mean concentrations of TDS (195.54 mg/L), Fe (0.21 mg/L), arsenic (0.0085 mg/L), and turbidity (1.09 NTU). However, inadequate operator training and a lack of maintenance threaten sustainability. Energy consumption increased by 0.1 kWh/m3 per 1000 mg/L rise in salinity, while financial constraints hinder membrane replacement. TPB analysis revealed positive attitudes and perceived behavioral control as key adoption drivers. Untreated brine discharge (mean TDS 12,900 mg/L) posed significant environmental risks. This study provides micro-level insights to inform policy and strengthen the sustainability of decentralized RO systems in climate-vulnerable coastal regions. Full article
(This article belongs to the Special Issue Drinking Water, Water Management and Environment)
Show Figures

Figure 1

24 pages, 3779 KB  
Article
Ecosystem Service Value Dynamics in the Yellow River Delta National Nature Reserve, China: Conservation Implications from Two Decades of Change
by Shuxin Shi, Shengyuan Xu and Ziqi Meng
Sustainability 2025, 17(20), 9291; https://doi.org/10.3390/su17209291 - 19 Oct 2025
Viewed by 560
Abstract
Yellow River Delta National Nature Reserve plays a critical role in ecological conservation, and assessing its ecosystem service value (ESV) is essential for guiding sustainable management strategies that harmonize development and preservation. This study was motivated by the need to generate actionable insights [...] Read more.
Yellow River Delta National Nature Reserve plays a critical role in ecological conservation, and assessing its ecosystem service value (ESV) is essential for guiding sustainable management strategies that harmonize development and preservation. This study was motivated by the need to generate actionable insights for adaptive conservation planning in this vulnerable coastal region. We evaluated the spatiotemporal dynamics of ESV from 2000 to 2020 using a combination of remote sensing, geographic information system analyses, and statistical modeling. Primary drivers influencing the spatial heterogeneity of ecosystem service value were identified through geographical detector analysis, and future trends were projected based on historical patterns. The results revealed that (1) ESV showed a clear spatial gradient, with higher values in coastal zones, moderate values along river channels, and lower values inland, and exhibited an overall significant increase over the two decades, primarily driven by improvements in regulating services; (2) wetland area and precipitation were the most influential factors, though socio-economic elements and environmental conditions also contributed to ESV distribution; and (3) future ESV is expected to follow current trends, reinforcing the importance of current management practices. Given that the continuous increase in ESV from 2000 to 2020 was predominantly attributed to water body expansion, future conservation strategies should prioritize the protection and restoration of these water resources. Full article
Show Figures

Figure 1

29 pages, 880 KB  
Review
A Review Analysis of Heirs’ Property Challenges in Sustainable Land Use
by Raksha Khadka, Lila Karki and Prem Bhandari
Land 2025, 14(10), 2070; https://doi.org/10.3390/land14102070 - 16 Oct 2025
Viewed by 380
Abstract
Heirs’ property is a form of collective land ownership arising from intestate succession, often resulting in clouded titles, fractional ownership, and legal vulnerability. This tenure system is especially prevalent among African American landowners in the Southern United States and poses significant challenges for [...] Read more.
Heirs’ property is a form of collective land ownership arising from intestate succession, often resulting in clouded titles, fractional ownership, and legal vulnerability. This tenure system is especially prevalent among African American landowners in the Southern United States and poses significant challenges for sustainable land use, agricultural development, forest management, and conservation. This paper presents an interdisciplinary review, research, and analysis encompassing legal studies, environmental policies, and rural social science to examine how heirs’ property status leads to diminished productivity, land underutilization, disinvestment, and involuntary land loss. Key issues include barriers to accessing USDA and NRCS programs, an inability to implement long-term land management plans, and an increased risk of partition sales and tax foreclosures. This review also examines demographic trends, regional concentration, and the broader socio-environmental impacts of insecure land tenure. Current policy responses, such as the Uniform Partition of Heirs Property Act (UPHPA), USDA land access provisions, and community-based legal interventions, are assessed for their effectiveness and limitations. The article concludes with policy and programmatic strategies to support title clearing, promote equitable land retention, and enhance participation in conservation and climate resilience initiatives. By highlighting the intersection of property law, racial equity, and environmental sustainability, this review contributes to a growing body of research aimed at securing land tenure for historically marginalized communities. Full article
Show Figures

Figure 1

22 pages, 5017 KB  
Article
Drought Projections in the Northernmost Region of South America Under Different Climate Change Scenarios
by Heli A. Arregocés, Eucaris Estrada and Cristian Diaz Moscote
Earth 2025, 6(4), 122; https://doi.org/10.3390/earth6040122 - 10 Oct 2025
Viewed by 462
Abstract
Climate change research is increasingly important in regions vulnerable to extreme hydrometeorological events like droughts, which pose significant socio-economic and environmental challenges. This study examines future variability of meteorological drought in northernmost South America using the Standardized Precipitation Index (SPI) and precipitation projections [...] Read more.
Climate change research is increasingly important in regions vulnerable to extreme hydrometeorological events like droughts, which pose significant socio-economic and environmental challenges. This study examines future variability of meteorological drought in northernmost South America using the Standardized Precipitation Index (SPI) and precipitation projections from CMIP6 models. We first evaluated model performance by comparing historical simulations with observational data from the Climate Hazards Group InfraRed Precipitation with Station dataset for 1981–2014. Among the models, CNRM-CM6-1-HR was selected for its superior accuracy, demonstrated by the lowest errors and highest correlation with observed data—specifically, a correlation coefficient of 0.60, a normalized root mean square error of 1.08, and a mean absolute error of 61.37 mm/month. Under SSP1-2.6 and SSP5-8.5 scenarios, projections show decreased rainfall during the wet months in the western Perijá mountains, with reductions of 3% to 26% between 2025 and 2100. Conversely, the Sierra Nevada of Santa Marta is expected to see increases of up to 33% under SSP1-2.6. During dry months, northern Colombia and Venezuela—particularly coastal lowlands—are projected to experience rainfall decreases of 10% to 17% under SSP1-2.6 and 13% to 20% under SSP5-8.5. These areas are likely to face severe drought conditions in the mid and late 21st century. These findings are essential for guiding water resource management, enabling adaptive strategies, and informing policies to mitigate drought impacts in the region. Full article
(This article belongs to the Section AI and Big Data in Earth Science)
Show Figures

Figure 1

41 pages, 7490 KB  
Article
Harnessing TabTransformer Model and Particle Swarm Optimization Algorithm for Remote Sensing-Based Heatwave Susceptibility Mapping in Central Asia
by Antao Wang, Linan Sun and Huicong Jia
Atmosphere 2025, 16(10), 1166; https://doi.org/10.3390/atmos16101166 - 7 Oct 2025
Viewed by 412
Abstract
This study pioneers a fully remote sensing-based framework for mapping heatwave susceptibility, integrating the TabTransformer deep learning model with Particle Swarm Optimization (PSO) for robust hyperparameter tuning. The central question addressed is whether a fully remote sensing-driven, PSO-optimized TabTransformer can achieve accurate, scalable, [...] Read more.
This study pioneers a fully remote sensing-based framework for mapping heatwave susceptibility, integrating the TabTransformer deep learning model with Particle Swarm Optimization (PSO) for robust hyperparameter tuning. The central question addressed is whether a fully remote sensing-driven, PSO-optimized TabTransformer can achieve accurate, scalable, and spatially detailed heatwave susceptibility mapping in data-scarce regions such as Central Asia. Utilizing ERA5-derived heatwave evidence and thirteen environmental and socio-economic predictors, the workflow produces high-resolution susceptibility maps spanning five Central Asian countries. Comparative analysis evidences that the PSO-optimized TabTransformer model outperforms the baseline across multiple metrics. On the test set, the optimized model achieved an RMSE of 0.123, MAE of 0.034, and R2 of 0.938, outperforming the standalone TabTransformer (RMSE = 0.132, MAE = 0.038, R2 = 0.93). Discriminative capacity also improved, with AUROC increasing from 0.933 to 0.940. The PSO-tuned model delivered faster convergence, lower final loss, and more stable accuracy during training and validation. Spatial outputs reveal heightened susceptibility in southern and southwestern sectors—Turkmenistan, Uzbekistan, southern Kazakhstan, and adjacent lowlands—with statistically significant improvements in spatial precision and class delineation confirmed by Chi-squared, Friedman, and Wilcoxon tests, all with congruent p-values of <0.0001. Feature importance analysis consistently identifies maximum temperature, frequency of hot days, and rainfall as dominant predictors. These advancements validate the potential of data-driven, deep learning approaches for reliable, scalable environmental hazard assessment, crucial for climate adaptation planning in vulnerable regions. Full article
Show Figures

Figure 1

30 pages, 2577 KB  
Article
Indigenous Knowledge and Sustainable Management of Forest Resources in a Socio-Cultural Upheaval of the Okapi Wildlife Reserve Landscape in the Democratic Republic of the Congo
by Lucie Mugherwa Kasoki, Pyrus Flavien Ebouel Essouman, Charles Mumbere Musavandalo, Franck Robéan Wamba, Isaac Diansambu Makanua, Timothée Besisa Nguba, Krossy Mavakala, Jean-Pierre Mate Mweru, Samuel Christian Tsakem, Michel Babale, Francis Lelo Nzuzi and Baudouin Michel
Forests 2025, 16(10), 1523; https://doi.org/10.3390/f16101523 - 28 Sep 2025
Viewed by 839
Abstract
The Okapi Wildlife Reserve (OWR) in northeastern Democratic Republic of the Congo represents both a biodiversity hotspot and the ancestral homeland of the Indigenous Mbuti and Efe peoples, whose livelihoods and knowledge systems are closely tied to forest resources. This study investigates how [...] Read more.
The Okapi Wildlife Reserve (OWR) in northeastern Democratic Republic of the Congo represents both a biodiversity hotspot and the ancestral homeland of the Indigenous Mbuti and Efe peoples, whose livelihoods and knowledge systems are closely tied to forest resources. This study investigates how Indigenous knowledge and practices contribute to sustainable resource management under conditions of rapid socio-cultural transformation. A mixed-methods approach was applied, combining socio-demographic surveys (n = 80), focus group discussions, floristic inventories, and statistical analyses (ANOVA, logistic regressions, chi-square, MCA). Results show that hunting, fishing, gathering, and honey harvesting remain central livelihood activities, governed by customary taboos and restrictions that act as de facto ecological regulations. Agriculture, recently introduced through intercultural exchange with neighboring Bantu populations, complements rather than replaces traditional practices and demonstrates emerging agroecological hybridization. Nevertheless, evidence of biodiversity decline (including local disappearance of species such as Dioscorea spp.), erosion of intergenerational knowledge transmission, and increased reliance on monetary income indicate vulnerabilities. Multiple Correspondence Analysis revealed a highly structured socio-ecological gradient (98.5% variance explained; Cronbach’s α = 0.977), indicating that perceptions of environmental change are strongly coupled with demographic identity and livelihood strategies. Floristic inventories confirmed significant differences in species abundance across camps (ANOVA, p < 0.001), highlighting site-specific pressures and the protective effect of persistent customary norms. The findings underscore the resilience and adaptability of Indigenous Peoples but also their exposure to ecological and cultural disruptions. We conclude that formal recognition of Indigenous institutions and integration of their knowledge systems into co-management frameworks are essential to strengthen ecological resilience, secure Indigenous rights, and align conservation policies with global biodiversity and climate agendas. Full article
(This article belongs to the Special Issue Forest Ecosystem Services and Sustainable Management)
Show Figures

Figure 1

17 pages, 5406 KB  
Article
Assessment of Wetlands in Liaoning Province, China
by Yu Zhang, Chunqiang Wang, Cunde Zheng, Yunlong He, Zhongqing Yan and Shaohan Wang
Water 2025, 17(19), 2827; https://doi.org/10.3390/w17192827 - 26 Sep 2025
Viewed by 339
Abstract
In recent years, under the dual pressures of climate change and human activities, wetlands in Liaoning Province, China, are increasingly threatened, raising concerns about regional ecological security. To better understand these changes, we developed a vulnerability assessment framework integrating a 30 m wetland [...] Read more.
In recent years, under the dual pressures of climate change and human activities, wetlands in Liaoning Province, China, are increasingly threatened, raising concerns about regional ecological security. To better understand these changes, we developed a vulnerability assessment framework integrating a 30 m wetland dataset (2000–2020) with multi-source environmental and socio-economic data. Using the XGBoost–SHAP model, we analyzed wetland spatiotemporal evolution, driving mechanisms, and ecological vulnerability. Results show the following: (1) ecosystem service functions exhibited significant spatiotemporal differentiation; carbon storage has generally increased, water conservation capacity has significantly improved in the northern region, while wind erosion control and soil retention functions have declined due to urban expansion and agricultural development; (2) driving factors had evolved dynamically, shifting from population density in the early period to increasing influences of precipitation, vegetation index, GDP, and wetland area in later years; (3) ecologically vulnerable areas demonstrated a pattern of fragmented patches coexisting with zonal distribution, forming a three-level spatial gradient of ecological vulnerability—high in the north, moderate in the central region, and low in the southeast. These findings demonstrate the cascading effects of natural and human drivers on wetland ecosystems, and provide a sound scientific basis for targeted conservation, ecological restoration, and adaptive management in Liaoning Province. Full article
(This article belongs to the Special Issue Impacts of Climate Change & Human Activities on Wetland Ecosystems)
Show Figures

Figure 1

23 pages, 4387 KB  
Article
Early Metabarcoding Detection of Eukaryotic Putative Pathogens Nearby Wastewater Effluents of Ría de Vigo (NW Spain)
by Raquel Ríos-Castro, Andrea Ramilo, Santiago Pascual and Elvira Abollo
Diversity 2025, 17(10), 671; https://doi.org/10.3390/d17100671 - 25 Sep 2025
Viewed by 394
Abstract
From a One Health perspective, the Ría de Vigo (NW Spain) represents a complex socio-ecological system where urban, industrial, and aquaculture activities converge, creating vulnerabilities due to the interconnection between human, animal, and environmental health. This study evaluates the utility of a multi-marker [...] Read more.
From a One Health perspective, the Ría de Vigo (NW Spain) represents a complex socio-ecological system where urban, industrial, and aquaculture activities converge, creating vulnerabilities due to the interconnection between human, animal, and environmental health. This study evaluates the utility of a multi-marker environmental DNA (eDNA) metabarcoding approach as an early warning tool to detect potentially harmful eukaryotic pathogens near wastewater discharge points in three distinct municipalities of the Ría de Vigo. Water and sediment samples were analyzed using the V4 and V9 regions of the 18S rRNA gene and the ITS-2 region for fungi. Bioinformatics analysis was performed with DADA2 and taxonomic assignments were based on SILVA and UNITE databases. Eukaryotic diversity varied by site and marker, with the highest richness found in inner estuary sediments. The V9 region provided broader taxonomic coverage, while V4 produced higher read abundances. Putative pathogens, including human, zoonotic, and aquaculture-related taxa, were more prevalent in inner estuarine zones. Pathogens such as Rhodotorula mucilaginosa, Acanthamoeba sp., Cryptosporidium sp., and harmful algae (HA) were detected. The findings emphasize the importance of a multi-marker strategy, sediment inclusion, and landscape-scale variables to improve early pathogen detection, contributing to effective eDNA-based surveillance systems for coastal health management. Full article
(This article belongs to the Special Issue Applications on Environmental DNA in Aquatic Ecology and Biodiversity)
Show Figures

Figure 1

24 pages, 1246 KB  
Systematic Review
Global Forest Fire Assessment Methods: A Comparative Analysis of Hazard, Susceptibility, and Vulnerability Approaches in Different Landscapes
by Bojan Mihajlovski and Miglena Zhiyanski
Fire 2025, 8(10), 380; https://doi.org/10.3390/fire8100380 - 24 Sep 2025
Viewed by 2669
Abstract
Forest fire risk assessment methodologies vary considerably, presenting challenges for adaptation to specific local contexts. This study provides a systematic analysis of forest fire assessment approaches across the Mediterranean basin, American, African, and Asian regions through a comprehensive review of 112 peer-reviewed studies [...] Read more.
Forest fire risk assessment methodologies vary considerably, presenting challenges for adaptation to specific local contexts. This study provides a systematic analysis of forest fire assessment approaches across the Mediterranean basin, American, African, and Asian regions through a comprehensive review of 112 peer-reviewed studies published from 2015 to 2025. Statistical significance testing (Chi-square tests, p < 0.05) confirmed significant regional variation in methodological preferences and indicator usage patterns. Key findings revealed that Multi-Criteria Decision Analysis dominates the field (44% of studies, n = 49), with Analytical Hierarchical Process being the most utilized method (39 studies). Machine learning approaches represent 25% (n = 28), with Random Forest leading significantly (22 applications). The analysis identified 67 indicators across seven major categories, with topographic factors (slope: 105 studies) and anthropogenic indicators (road networks: 92 studies) showing statistically significantly highest usage rates (p < 0.001), representing a statistically significant critical gap in vulnerability assessment (p < 0.01). Organizational factors remain severely underrepresented (a maximum of 14 studies for any factor), representing a statistically significant critical gap in risk assessments (p < 0.01). Statistical analysis revealed that while Mediterranean approaches excel in integrating historical and cultural factors, American methods emphasize advanced technology integration, while Asian approaches focus on socio-economic dynamics and land-use interactions. This study serves as a foundation for developing tailored assessment frameworks that combine remote sensing analysis, ground-based surveys, and community input while accounting for local constraints in data availability and technical capacity. The study concludes that effective forest fire risk assessment requires a balanced integration of global best practices with local environmental, social, and technical considerations, offering a roadmap for future forest fire risk assessment approaches in different regions worldwide. Full article
(This article belongs to the Topic Disaster Risk Management and Resilience)
Show Figures

Figure 1

17 pages, 1530 KB  
Article
Aromatic and Medicinal Plant (AMP) Valorization via a Farmer-Centric Approach for the Sustainable Development of Climate-Challenged Areas Affected by Rural Exodus (Southeastern Tunisia)
by Taoufik Gammoudi, Houda Besser, Amel Chaieb, Fethi Abdelli, Afef Mahjoubi and Fernando Nardi
Sustainability 2025, 17(18), 8494; https://doi.org/10.3390/su17188494 - 22 Sep 2025
Viewed by 627
Abstract
The valorization of local plant cover, particularly through the integration of indigenous knowledge, is central to Tunisia’s economic development strategies. These approaches focus on diversifying agriculture by enhancing local natural and cultural heritage to strengthen community resilience amid environmental and socio-economic changes and [...] Read more.
The valorization of local plant cover, particularly through the integration of indigenous knowledge, is central to Tunisia’s economic development strategies. These approaches focus on diversifying agriculture by enhancing local natural and cultural heritage to strengthen community resilience amid environmental and socio-economic changes and to address rural exodus. This study examines the feasibility of AMP-based micro-projects in Matmata (southeastern Tunisia) by applying the Water–Energy–Food–Ecosystem (WEFE) nexus and participatory methods involving local stakeholders. Field surveys, literature reviews, and statistical analyses reveal growing youth interest in AMP ventures, driven by rising pharmaceutical and cosmetic demand. Economic viability is confirmed by internal rate of return (IRR) values of 32%, 28%, and 43%, all well above the 10% profitability threshold. Profitability index (PI) values indicate efficient investments, yielding returns of 2.64, 2.13, and 5.31 dinars per dinar invested. The initiatives also deliver socio-cultural and environmental benefits through WEFE-based resource management. Beyond profitability, the study identifies gaps and opportunities to enhance AMP biodiversity, resource management, and sustainable diversification in southern Tunisia. Further efforts are required to increase market value and ensure equitable benefit distribution. Government policies should focus on raising WEFE awareness, building capacity, and investing in climate-smart agriculture, especially in vulnerable, migration-prone regions, supported by reforms in financing, taxation, and spatial planning. Full article
(This article belongs to the Section Environmental Sustainability and Applications)
Show Figures

Figure 1

Back to TopTop