Sign in to use this feature.

Years

Between: -

Subjects

remove_circle_outline
remove_circle_outline
remove_circle_outline
remove_circle_outline
remove_circle_outline
remove_circle_outline
remove_circle_outline
remove_circle_outline
remove_circle_outline

Journals

remove_circle_outline
remove_circle_outline
remove_circle_outline
remove_circle_outline
remove_circle_outline
remove_circle_outline
remove_circle_outline
remove_circle_outline
remove_circle_outline
remove_circle_outline
remove_circle_outline
remove_circle_outline
remove_circle_outline

Article Types

Countries / Regions

remove_circle_outline
remove_circle_outline
remove_circle_outline
remove_circle_outline
remove_circle_outline
remove_circle_outline
remove_circle_outline
remove_circle_outline
remove_circle_outline

Search Results (3,447)

Search Parameters:
Keywords = slope surface

Order results
Result details
Results per page
Select all
Export citation of selected articles as:
23 pages, 7777 KB  
Article
Slope Position Modulates Preferential Flow via Root–Soil Interactions: A Case Study of Larch Plantations in Rocky Mountainous Areas
by Shan Liu, Mengfei Wang, Jinglin Liu, Zebin Liu, Yanhui Wang, Xiaofen Liu, Lihong Xu and Pengtao Yu
Forests 2026, 17(4), 467; https://doi.org/10.3390/f17040467 - 10 Apr 2026
Abstract
Soil preferential flow plays a crucial role in governing hydrological cycles and soil moisture distribution in mountain forests. This makes it essential for understanding subsurface water movement and for guiding hillslope hydrological management. In this study, soil preferential flow, soil properties, and root [...] Read more.
Soil preferential flow plays a crucial role in governing hydrological cycles and soil moisture distribution in mountain forests. This makes it essential for understanding subsurface water movement and for guiding hillslope hydrological management. In this study, soil preferential flow, soil properties, and root characteristics across three slope positions on a Larix gmelinii var. principis-rupprechtii (Mayr) Pilger (larch) plantation hillslope in the Liupan Mountains were systematically observed to reveal the spatial patterns and formation mechanisms of hillslope soil preferential flow. The results showed that soil preferential flow development followed a distinct spatial pattern across the slope positions, with the mid-slope exhibiting the most developed preferential flow characteristics. The comprehensive preferential flow index further quantified this spatial variation, ranking the slope positions as mid-slope > upper slope > lower slope. Different soil structural properties exerted varying influences on preferential flow. Macropore-related properties (low bulk density and high porosity and saturated conductivity) promoted most preferential flow, whereas aggregate-related properties (high organic matter and water-stable aggregates) suppressed it. The influence of root characteristics on preferential flow was also dual. Root length density generally promoted preferential flow (e.g., DC, LI, and UniFr), whereas root surface area density primarily exerted an inhibitory effect (e.g., LI, UniFr, and total stained area TotStAr). This study clarifies how slope position modulates preferential flow through soil and root characteristics, offering insights for slope-specific hydrological understanding and targeted soil and water conservation practices. Full article
22 pages, 4649 KB  
Article
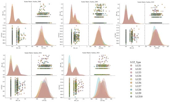
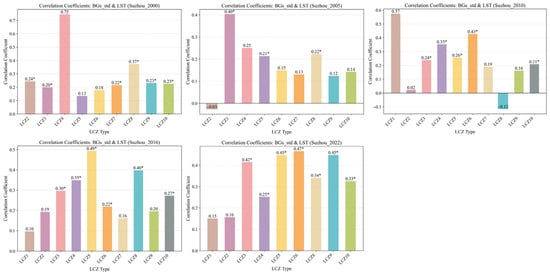
Regulating Effects of Blue–Green Spaces on Land Surface Temperature Based on Local Climate Zones: A Case Study of Suzhou (2000–2022)
by Yudan Liu, Chunxiao Zhang, Yazhou Qi and Hanguang Yu
Land 2026, 15(4), 618; https://doi.org/10.3390/land15040618 - 9 Apr 2026
Abstract
Rapid urbanization has intensified urban surface thermal stress, yet how blue–green spaces (BGs) are associated with land surface temperature (LST) under different urban morphological contexts remains insufficiently understood. Using Suzhou, China, as a case study, this study integrates Landsat imagery from five representative [...] Read more.
Rapid urbanization has intensified urban surface thermal stress, yet how blue–green spaces (BGs) are associated with land surface temperature (LST) under different urban morphological contexts remains insufficiently understood. Using Suzhou, China, as a case study, this study integrates Landsat imagery from five representative years (2000, 2005, 2010, 2016, and 2022) with a 100 m local climate zone (LCZ) dataset to examine BGs–LST relationships over time. Two BGs indicators are considered: BGs proportion and the within-grid local dispersion of BGs, represented by BGs_std. The results show that LST in Suzhou’s built-up area exhibits a “rise–decline–rise” pattern during the study period, whereas BGs proportions evolve differently across LCZ types. Regression slope analysis shows that higher BGs proportion is generally associated with lower LST across most LCZ types and study years. Relatively stable negative associations are observed in LCZ 2, LCZ 3, LCZ 6, LCZ 9, and LCZ 10. Pearson correlation analysis further shows that BGs_std is generally positively associated with LST and that this relationship tends to strengthen over time. Relatively stronger associations are observed in LCZ 1, LCZ 3, LCZ 5, and LCZ 6 in some years. These findings suggest that BGs–LST relationships should be interpreted not only in terms of BGs proportion, but also in relation to urban form and within-unit BGs organization. This study provides an LCZ-based empirical perspective on BGs–LST associations in the context of a rapidly urbanizing city. Full article
(This article belongs to the Special Issue GeoAI Application in Urban Land Use and Urban Climate)
Show Figures

Figure 1

31 pages, 2759 KB  
Article
Uncertainty-Aware Groundwater Potential Mapping in Arid Basement Terrain Using AHP and Dirichlet-Based Monte Carlo Simulation: Evidence from the Sudanese Nubian Shield
by Mahmoud M. Kazem, Fadlelsaid A. Mohammed, Abazar M. A. Daoud and Tamás Buday
Water 2026, 18(8), 901; https://doi.org/10.3390/w18080901 - 9 Apr 2026
Abstract
Groundwater sustains human activity in arid crystalline terrains where surface water is scarce and hydrogeological data are limited. However, most groundwater potential mapping approaches depend on deterministic weighting methods without quantifying model variability. This study describes an uncertainty-aware Remote Sensing and Geographic Information [...] Read more.
Groundwater sustains human activity in arid crystalline terrains where surface water is scarce and hydrogeological data are limited. However, most groundwater potential mapping approaches depend on deterministic weighting methods without quantifying model variability. This study describes an uncertainty-aware Remote Sensing and Geographic Information Systems (RS–GIS) framework to delineate groundwater potential zones in the Wadi Arab Watershed, Northeastern Sudan. Nine thematic factors—geology and lithology, rainfall, slope, drainage density, lineament density, soil, land use/land cover, topographic wetness index, and height above nearest drainage—were integrated using the Analytical Hierarchy Process (AHP), with acceptable consistency (Consistency Ratio (CR) < 0.1). To address subjectivity in weights, a Dirichlet-based Monte Carlo simulation (500 iterations) was implemented to perturb AHP weights whilst preserving compositional constraints. The resulting Groundwater Potential Index (GWPI) classified 32.69% of the watershed as high to very high potential, primarily associated with alluvial deposits and fractured crystalline rocks. Model validation using Receiver Operating Characteristic (ROC) analysis yielded an Area Under the Curve (AUC) of 0.704, indicating acceptable predictive performance. Uncertainty assessment showed low spatial variability (mean standard deviation (SD) = 0.215) and stable exceedance probabilities, verifying the robustness of predicted high-potential zones. The proposed probabilistic AHP framework augments decision reliability and provides a transferable, cost-effective tool for groundwater planning in data-limited arid basement environments. Full article
(This article belongs to the Section Hydrogeology)
26 pages, 6248 KB  
Article
Slope–Wind Coupling Effects on Fire Behavior and Emission Dynamics During Prescribed Burning in Mountainous Yunnan Pine Forests
by Tengteng Long, Yun Liu, Xiaohui Pu, Zhi Li, Shun Li, Qiuhua Wang, Li Han, Ning Lu, Leiguang Wang and Weiheng Xu
Fire 2026, 9(4), 155; https://doi.org/10.3390/fire9040155 - 9 Apr 2026
Abstract
Prescribed burning is important for reducing wildfire risk and regulating fuel loads, but its implementation in mountainous forests is strongly influenced by the coupled effects of the wind field and topography, making it difficult to control. This study focuses on Yunnan pine ( [...] Read more.
Prescribed burning is important for reducing wildfire risk and regulating fuel loads, but its implementation in mountainous forests is strongly influenced by the coupled effects of the wind field and topography, making it difficult to control. This study focuses on Yunnan pine (Pinus yunnanensis) forests in southwestern China. A three-dimensional Fire Dynamics Simulator (FDS) combined with measured fuel characteristics was used to simulate 21 slope (0–35°) and wind speed (0–2 m s−1) combinations to quantitatively analyze the fire spread, flame structure, and gaseous emission characteristics during downslope prescribed burning. The local fire spread rate (ROS), evaluated along three lateral lines (Y = 2.5, 5.0, and 7.5 m), exhibits a non-monotonic dependence on slope over the tested range, with a minimum near 30° and a modest rebound at 35°. A downslope wind of 1 m s−1 promotes near-surface heating and accelerates spread, whereas a stronger wind of 2 m s−1 lifts flames away from the fuel bed and suppresses combustion. Thermal field analysis reveals that peak temperature decreases with increasing slope and that a late-stage secondary heating episode occurs at 35°. CO2 emissions are significantly positively correlated with fuel consumption, reaching a peak of 717.5 kg under a 35° slope and no-wind conditions. CO emissions, as an indicator of combustion efficiency, reach their highest value of 2.23 kg at a 35° slope and a wind speed of 1 m s−1, indicating that their trend is not entirely consistent with the ROS and temperature and that there is a certain degree of decoupling. The interaction between slope and wind speed transforms fire behavior from a cooperative to a competitive mechanism, and the topography–wind field coupling provides differentiated control over the combustion intensity and completeness. This study provides a scientific basis for the safe implementation of mountain burning programs and for regional carbon emission assessments. Full article
Show Figures

Figure 1

28 pages, 4371 KB  
Article
Hydrological Stability and Sensitivity Analysis of the Cahaba River Basin: A Combined Review and Simulation Study
by Pooja Preetha, Brian Tyrrell and Autumn Moore
Water 2026, 18(8), 894; https://doi.org/10.3390/w18080894 - 8 Apr 2026
Abstract
A continuous integration framework and methodology for hydrological modeling is proposed that integrates model sensitivity analysis with real-time sensor tasking to prioritize data collection in regions and periods of high hydrological variability and drive model refinement. The Cahaba River Watershed in central Alabama [...] Read more.
A continuous integration framework and methodology for hydrological modeling is proposed that integrates model sensitivity analysis with real-time sensor tasking to prioritize data collection in regions and periods of high hydrological variability and drive model refinement. The Cahaba River Watershed in central Alabama serves as a case study to develop this approach. To this end, a benchmark Soil and Water Assessment Tool (SWAT) model (30 m DEM) was refined with high-resolution spatial datasets in QGIS, including 1 m DEMs, NLCD land cover, and SSURGO soil data. The refined model significantly enhanced subbasin delineation, increasing granularity from 8 to 99 subbasins, thereby improving representation of slope, runoff, and storage variability across heterogeneous landscapes. Sensitivity analyses were performed to evaluate the influence of DEM resolution and curve number (CN) perturbations on hydrologic responses, including retention, flow partitioning, and dominant flow direction. High-resolution DEMs (≤5 m) captured microtopographic features that strongly affect infiltration and surface runoff, while coarser DEMs (≥20 m) systematically underestimated retention and smoothed hydrologic gradients. The higher-resolution DEMs can be used to selectively improve the model at certain hotspots/areas of higher sensitivity. Localized flow simulations demonstrated that fine-scale terrain data substantially improve model realism, with up to 58% greater retention captured in 10 m DEMs compared to 30 m DEMs. The results confirm that aligning sensor placement and model refinement with spatially explicit sensitivity zones enhances both predictive accuracy and computational efficiency. The proposed continuous integration approach provides a scalable pathway for coupling high-resolution modeling with adaptive sensing in watershed management and supports future integration of real-time data assimilation for continuous model improvement. Full article
Show Figures

Figure 1

17 pages, 6814 KB  
Article
Strain Modeling and Revealed Slope Motion Mechanisms of the Taoping Paleo-Landslide from InSAR Observations
by Siyu Lai, Yinghui Yang, Qian Xu, Qiang Xu, Jyr-Ching Hu and Shi-Jie Chen
Remote Sens. 2026, 18(8), 1107; https://doi.org/10.3390/rs18081107 - 8 Apr 2026
Abstract
The Taoping paleo-landslide poses a significant risk to local residents and critical infrastructure. However, traditional field surveys and deformation monitoring methods are often inadequate for capturing subtle, localized deformation characteristics—particularly at the head scarp and lateral margins—thereby limiting comprehensive assessments of slope instability. [...] Read more.
The Taoping paleo-landslide poses a significant risk to local residents and critical infrastructure. However, traditional field surveys and deformation monitoring methods are often inadequate for capturing subtle, localized deformation characteristics—particularly at the head scarp and lateral margins—thereby limiting comprehensive assessments of slope instability. Surface strain data offer direct insights into internal stress redistribution during slope evolution and are essential for interpreting landslide mechanisms and forecasting failure. Given the current limitations in dense and wide-area strain monitoring technologies, this study proposes a novel method for modeling landslide strain fields based on Interferometric Synthetic Aperture Radar (InSAR) phase gradients. Using the phase gradient stacking approach, InSAR-derived phase gradients are transformed into strain-related parameters, enabling estimation of shear strain rates, principal strain rates, and their directional distributions. The application to the Taoping paleo-landslide reveals clear spatial patterns of compressive and tensile strain across the landslide body. Field investigations corroborate the InSAR-derived strain features through corresponding geomorphological evidence observed in both compressional and extensional zones. The proposed method enhances the understanding of landslide deformation behavior, supports evaluation of shear surface continuity and evolution, and offers a robust framework for early warning and risk mitigation in complex landslide-prone areas. Full article
Show Figures

Figure 1

27 pages, 31622 KB  
Article
The Influence of Surface Roughness on GIS-Based Solar Radiation Modelling
by Renata Ďuračiová, Tomáš Ič and Tomasz Oberski
ISPRS Int. J. Geo-Inf. 2026, 15(4), 155; https://doi.org/10.3390/ijgi15040155 - 3 Apr 2026
Viewed by 247
Abstract
While parameters such as slope and aspect are routinely considered in solar radiation modelling, the role of terrain or surface roughness remains underexplored, with no universally accepted method for its calculation. This study compares several approaches to quantifying terrain or surface roughness in [...] Read more.
While parameters such as slope and aspect are routinely considered in solar radiation modelling, the role of terrain or surface roughness remains underexplored, with no universally accepted method for its calculation. This study compares several approaches to quantifying terrain or surface roughness in several geographical information system (GIS) environments (ArcGIS, QGIS, WhiteboxTools, and SAGA GIS) and introduces local fractal dimension, computed using a custom Python script, as an additional metric. The aim is to evaluate the influence of surface roughness on potential solar radiation modelling and to examine its relationship with other terrain parameters. The analysis is based on case studies from both a rugged alpine environment in the Tatra Mountains (Tichá and Kôprová dolina (valleys), Kriváň peak; 944–2467 m a.s.l.) and an urban environment (the city of Poprad, near the High Tatras, Slovakia). The results demonstrate that surface roughness can significantly affect potential solar radiation modelling in areas with high surface variability. The findings are applicable not only to solar radiation studies, but also to other fields of spatial modelling, where incorporating surface roughness can improve the accuracy and robustness of spatial analyses and predictions. Full article
Show Figures

Figure 1

25 pages, 9262 KB  
Article
Seismic Assessment of the Tuzla Submarine Landslide in the Çınarcık Basin, Marmara Sea (Türkiye)
by Yesim Tuskan
Appl. Sci. 2026, 16(7), 3466; https://doi.org/10.3390/app16073466 - 2 Apr 2026
Viewed by 251
Abstract
The Tuzla Submarine Landslide represents one of the most significant mass-wasting features associated with the active North Anatolian Fault Zone (NAFZ). The failure surface geometry and sediment stratigraphy indicate the presence of a mechanically weak, saturated layer that may become unstable under strong [...] Read more.
The Tuzla Submarine Landslide represents one of the most significant mass-wasting features associated with the active North Anatolian Fault Zone (NAFZ). The failure surface geometry and sediment stratigraphy indicate the presence of a mechanically weak, saturated layer that may become unstable under strong seismic loading. This study presents a comprehensive geotechnical evaluation of the Tuzla Submarine Landslide. Based on regional sediment properties, the landslide was characterized and modeled with an estimated volume of 0.015 km3 and an average slope angle of 14°. The submarine landslide potential was investigated through re-analysis of seismic, geotechnical, and bathymetric datasets. Finite Element Method (FEM) simulations were conducted to model the seismic slope failure. Based on these analyses, the seismic slope displacements, stress distributions, and equivalent plastic strains were identified. The estimated landslide displacements under varying seismic acceleration scenarios corresponding to three major earthquakes ranged between 2.38 m and 4.12 m, depending on the triggering ground motion and slope stability conditions. These findings highlight that reactivation of the Tuzla submarine landslide, potentially triggered by a future large earthquake along the NAFZ, could pose a moderate landslide hazard to the coastal settlements bordering the Marmara Sea. Full article
(This article belongs to the Section Civil Engineering)
Show Figures

Figure 1

28 pages, 7305 KB  
Article
Rainfall-Induced Landslide Stability for Variably Shaped Slopes: A Multi-Model Integration Approach Through Green-Ampt Theory and Numerical Validation
by Xijiang Wu, Hengli Zhou, Wenlong Xu, Fasheng Miao, Lixia Chen, Chuncan He and Yiqing Sun
Geosciences 2026, 16(4), 145; https://doi.org/10.3390/geosciences16040145 - 1 Apr 2026
Viewed by 239
Abstract
As one of the most catastrophic geological hazards globally, landslides exhibit heightened risks due to their increasing frequency, destructive potential, and extensive spatial distribution. The primary objective of this study is to develop an integrated analytical framework to quantitatively evaluate the stability of [...] Read more.
As one of the most catastrophic geological hazards globally, landslides exhibit heightened risks due to their increasing frequency, destructive potential, and extensive spatial distribution. The primary objective of this study is to develop an integrated analytical framework to quantitatively evaluate the stability of variably shaped slopes under rainfall infiltration. The core hypothesis is that slope curvature significantly alters infiltration behavior and stress distribution, leading to morphology-dependent failure mechanisms. Employing Green-Ampt infiltration theory coupled with limit equilibrium analysis, we establish stability prediction models for three fundamental slope geometries (linear, concave, convex) under contrasting rainfall regimes (high-intensity vs. low-intensity precipitation). The derived analytical solutions reveal two critical phenomena: (1) progressive downward migration of the saturation front maintaining parallelism with slope surfaces during infiltration and (2) time-dependent stability deterioration following hyperbolic decay patterns. The proposed models are rigorously validated through numerical simulations employing finite element methods, which demonstrate remarkable congruence with theoretical predictions, showing safety factor discrepancies below 5% (ΔFs < 0.05). Particularly, concave slopes exhibit 18–22% faster destabilization rates compared to convex counterparts under equivalent rainfall conditions. The validated models elucidate the spatiotemporal evolution of matric suction and pore pressure distributions, providing quantitative insights into morphology-dependent failure thresholds. These findings advance predictive capabilities for rainfall-induced landslides through physics-based stability criteria, offering critical guidance for terrain-specific early warning systems and mitigation strategies in geohazard-prone regions. Full article
Show Figures

Figure 1

23 pages, 5436 KB  
Article
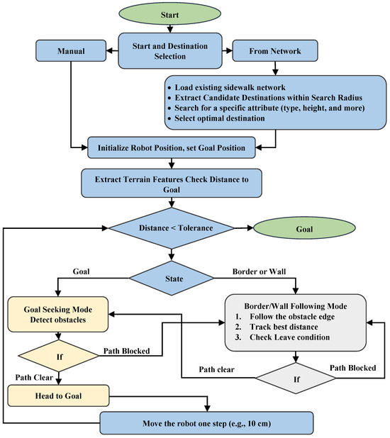
Characterizing Pedestrian Network from Segmented 3D Point Clouds for Accessibility Assessment: A Virtual Robotic Approach
by Ali Ahmadi, Mir Abolfazl Mostafavi, Ernesto Morales and Nouri Sabo
Sensors 2026, 26(7), 2172; https://doi.org/10.3390/s26072172 - 31 Mar 2026
Viewed by 208
Abstract
This study introduces a novel virtual robotic approach for automated characterization of pedestrian network accessibility from semantically segmented 3D LiDAR point clouds. With approximately 8 million Canadians living with disabilities, scalable accessibility assessment methods are critical. The proposed methodology integrates a Tangent Bug [...] Read more.
This study introduces a novel virtual robotic approach for automated characterization of pedestrian network accessibility from semantically segmented 3D LiDAR point clouds. With approximately 8 million Canadians living with disabilities, scalable accessibility assessment methods are critical. The proposed methodology integrates a Tangent Bug navigation algorithm—extended from 2D to 3D point cloud environments—with a triangular virtual robot grounded in ADA and IBC accessibility standards. The robot navigates classified point cloud data to simultaneously extract related parameters per step including those related to the accessibility assessment, including running slope, cross-slope, path width, surface type, and step height, aligned with the Measure of Environmental Accessibility (MEA) framework. Unlike existing approaches, the method characterizes not only formal sidewalk segments but also the critical transitional linkages between building entrances and the pedestrian network. Rather than evaluating features against fixed binary thresholds, it records continuous raw measurements enabling personalized accessibility assessment tailored to individual user profiles. Quantitative validation demonstrates high accuracy for path width (NRMSE = 2.71%) and reliable slope tracking. The proposed approach is faster, more cost-effective, and more comprehensive than traditional manual methods, and its segment-independent architecture makes it well-suited for future city-scale deployment. Full article
(This article belongs to the Special Issue Advances in Wireless Sensor Networks for Smart City)
Show Figures

Figure 1

19 pages, 9863 KB  
Article
Analysis of Slope Braking Adaptability of Copper-Based Powder Metallurgy Brake Pads for High-Speed Trains Based on Full-Scale Bench Tests
by Xueqian Geng
Lubricants 2026, 14(4), 146; https://doi.org/10.3390/lubricants14040146 - 31 Mar 2026
Viewed by 223
Abstract
With the opening of complex service routes, the importance of the service performance of brake pads under long slope braking conditions is increasing. It is necessary to analyze the slope braking adaptability of current brake pad products. This work takes the copper-based powder [...] Read more.
With the opening of complex service routes, the importance of the service performance of brake pads under long slope braking conditions is increasing. It is necessary to analyze the slope braking adaptability of current brake pad products. This work takes the copper-based powder metallurgy brake pads of a certain in-service high-speed train as the research object and conducts friction and wear behavior tests of the brake pads based on a full-scale brake test bench. Through microscopic observation and damage analysis, the differences in friction and wear behavior of the brake pads under stop braking and slope braking conditions are compared, revealing the wear mechanism and damage evolution characteristics of the brake pads. The results show that under the impact of high speed, high braking force, and severe thermal load in the stop braking conditions, the uneven wear of brake pads is high, and the eccentric wear of friction blocks is affected by both the friction radius and friction direction. The friction surface has a large number and size of damages, and the stability of the friction interface is poor. The brake pad exhibits a composite wear mechanism dominated by abrasive wear and brittle fracture induced exfoliation. In the slope braking condition, under the action of low speed, low braking force, and long-term stable thermal load, the uneven wear of the brake pads is relatively low, the surface damage size is small, and the friction block only has eccentric wear along the friction direction. The brake pad mainly initiates cracks along the interface of the components, which propagate parallel to the friction surface, exhibiting a progressive delamination and flaking exfoliation mechanism with a low wear rate. Although the friction interface of the brake pad is relatively stable under slope braking conditions, the cumulative delamination wear of the brake pads under long-term braking action needs further attention. Full article
Show Figures

Figure 1

22 pages, 8737 KB  
Article
Remote Sensing of Soil Moisture in Bare Chernozems on Flat and Sloping Terrains
by Zlatomir Dimitrov, Atanas Z. Atanasov, Dessislava Ganeva, Milena Kercheva, Gergana Kuncheva, Viktor Kolchakov and Martin Nenov
Sustainability 2026, 18(7), 3373; https://doi.org/10.3390/su18073373 - 31 Mar 2026
Viewed by 151
Abstract
The aim of the current study was to select and test the appropriate model and input parameters for remote sensing retrieval of surface soil moisture (SSM) in the case of bare Chernozems on flat and sloping terrains in northern Bulgaria under different tillage [...] Read more.
The aim of the current study was to select and test the appropriate model and input parameters for remote sensing retrieval of surface soil moisture (SSM) in the case of bare Chernozems on flat and sloping terrains in northern Bulgaria under different tillage systems. Normalized synthetic aperture radar (SAR) measurements from Sentinel-1 C-band dual-pol products (Gamma-Nought in VV, ratio) were utilized in two ways to delineate SSM from environmental factors that bias determination. The accuracy of the obtained SSM prediction was evaluated against ground-based volumetric water content (VWC) measured in the 0–3.8 cm soil layer at multiple points using a TDR meter. The TDR VWC data were preliminarily calibrated against gravimetric measurements in the 0–5 cm soil layer. The obtained data for soil water retention curves in all studied variants were used to determine the range of soil moisture variation. The measured ground-based data for surface roughness generally correlate with the co-pol Gamma-Nought in VV. The data modeled with the surface soil moisture script in Sentinel Hub (SSM-SH) was calibrated using the ground-based data. Incidence angle normalization of Sentinel-1 products improved the relationship between SAR observables and SSM, when expressed as the ratio of soil moisture to total porosity (rVWC). The modeling indicated the highest importance of the optical indices, together with the temporal differences of radar descriptors sensitive to variations in soil moisture over time. Although the applied Random Forest Regression (RFR) model achieved higher accuracy during training (nRMSE of 7.27%, R2 of 0.86), the Gaussian Process Regression (GPR) model provided better generalization performance on the independent validation dataset. The results proved the advantages of the joint utilization of temporal Sentinel-1 SAR measurements with Sentinel-2 optical acquisitions to determine SSM in different bare soil conditions for achieving high accuracy. Full article
Show Figures

Figure 1

15 pages, 4552 KB  
Article
Defect-Engineered La-Mn Co-Doped β-PbO2 Anodes for Energy-Efficient Zinc Electrowinning
by Yi Luo, Nan Li, Lingjing Yang, Jinlong Wei, Yuantao Yang, Wentao Wang, Yang Zhao, Ruidong Xu and Xuanbing Wang
Materials 2026, 19(7), 1370; https://doi.org/10.3390/ma19071370 - 30 Mar 2026
Viewed by 316
Abstract
The high energy consumption of lead anodes in zinc production is caused by the slow oxygen evolution reaction (OER). We made a La-Mn co-doped β-PbO2 anode using electrodeposition to solve this issue. The XRD and XPS results show that adding La shrinks [...] Read more.
The high energy consumption of lead anodes in zinc production is caused by the slow oxygen evolution reaction (OER). We made a La-Mn co-doped β-PbO2 anode using electrodeposition to solve this issue. The XRD and XPS results show that adding La shrinks the lattice and changes the electron structure. This helps Mn4+ change into active Mn3+ and creates more active oxygen on the surface, making the reaction easier. EIS tests show that the charge transfer resistance (Rct) decreased by 4.2 times, decreasing from 147.6 Ω to 34.72 Ω at 1.0 V. The Bode phase peak also moved to a lower frequency (from 122 Hz to 0.215 Hz), proving that the electrochemically active surface area (ECSA) increased significantly. At the industrial current of 50 mA cm−2, the anode shows a low overpotential of 840 mV and a Tafel slope of 265 mV dec−1. This improved performance saves 187.10 kWh of energy per ton of zinc. Therefore, the LaMn-β-PbO2 anode is a promising and energy-saving option for industrial zinc production. Full article
(This article belongs to the Section Energy Materials)
Show Figures

Figure 1

13 pages, 3539 KB  
Communication
Preparation and Electrocatalytic Hydrogen Evolution Performance of CoS2:Mo Microrods
by Shuai Shao, Xiaocan Liu, Ping Liang, Weiye Yang, Lijian Meng, Hongyan Peng and Shihua Zhao
Molecules 2026, 31(7), 1131; https://doi.org/10.3390/molecules31071131 - 30 Mar 2026
Viewed by 340
Abstract
Cobalt disulfide (CoS2) features highly active catalytic sites and is regarded as a promising candidate for electrocatalytic hydrogen evolution. In this study, molybdenum-doped cobalt disulfide (CoS2:Mo) was synthesized via a facile hydrothermal approach. XRD analysis confirms that the obtained [...] Read more.
Cobalt disulfide (CoS2) features highly active catalytic sites and is regarded as a promising candidate for electrocatalytic hydrogen evolution. In this study, molybdenum-doped cobalt disulfide (CoS2:Mo) was synthesized via a facile hydrothermal approach. XRD analysis confirms that the obtained samples crystallize in a cubic pyrite structure, with diffraction peaks consistently shifting towards lower angles. SEM characterization reveals that the samples exhibit microrod-like morphologies with an average size of approximately 1 μm. Integrated analyses from XRD, XPS, and EDS mapping demonstrate that Mo is uniformly distributed across the surface and successfully doped into the CoS2 lattice. Electrochemical measurements indicate that the CoS2:Mo sample delivers a low overpotential of 122 mV and a Tafel slope of 128 mV dec−1 at a current density of 10 mA cm−2 in alkaline media, significantly surpassing the performance of pure CoS2 and MoS2. Moreover, the CoS2:Mo exhibits an enhanced double-layer capacitance, with a Cdl value of 2.72 mF cm−2, superior to that of pure CoS2 (1.63 mF cm−2) and MoS2 (0.31 mF cm−2). Mo doping enhances conductivity and active sites, thereby boosting electrocatalysis. This work presents an effective strategy for the development of cost-efficient and high-performance non-precious metal electrocatalysts. Full article
Show Figures

Figure 1

32 pages, 19480 KB  
Article
Influence of Punch Shape on Joint Strength in Forge Joining of Al-Si-Coated 22MnB5 Steel During Hot Stamping and Application to Hat Bending
by Jarupong Charoensuk, Takuma Iwai, Surasak Suranuntchai and Tomoyoshi Maeno
Metals 2026, 16(4), 376; https://doi.org/10.3390/met16040376 - 28 Mar 2026
Viewed by 310
Abstract
Ultra-high-strength steel sheets were joined by forge joining during hot stamping. This study investigated the influence of punch cross-sectional shape and punch tip inclination shape on joint strength through experiments and finite element simulation, with applications in hat bending. The experiments systematically evaluated [...] Read more.
Ultra-high-strength steel sheets were joined by forge joining during hot stamping. This study investigated the influence of punch cross-sectional shape and punch tip inclination shape on joint strength through experiments and finite element simulation, with applications in hat bending. The experiments systematically evaluated various punch geometries by varying the punch’s cross-sectional shape and the aspect ratio of rectangular punches. A second set of experiments focused on the influence of punch tip inclination shape. These experiments examined a rectangular punch with a slope. Joint strength is primarily assessed by measuring the tensile shear load. Finite element simulation was used to analyze joining mechanisms, investigating contact pressure and surface expansion rate distribution. The results from the experiments consistently indicated that, for a constant cross-sectional area, punch shapes with a larger punch perimeter on the upper sheet yielded a higher tensile shear load, though the changing inclination shape of the rectangular punch tip did not lead to an observed improvement in joint strength. Finite element simulation analysis revealed that punch shapes promoting a uniform distribution of contact pressure and surface expansion rate across the joint area tended to exhibit higher joint strength compared with the same punch cross-sectional area but less uniform distribution, a tendency that was more pronounced for the distribution of contact pressure than for the surface expansion rate. Full article
(This article belongs to the Special Issue Advances in Welding Processes of Metallic Materials—2nd Edition)
Show Figures

Figure 1

Back to TopTop