Sign in to use this feature.

Years

Between: -

Subjects

remove_circle_outline
remove_circle_outline
remove_circle_outline
remove_circle_outline

Journals

Article Types

Countries / Regions

Search Results (17)

Search Parameters:
Keywords = silk fibroin dissolution

Order results
Result details
Results per page
Select all
Export citation of selected articles as:
19 pages, 8932 KB  
Article
Physico-Chemical Characterizations of Composited Calcium-Ortho-Phosphate Porous Particles and Their Controlled Release Behavior of Clindamycin Phosphate and Amikacin Sulfate
by Namfon Khamkaew, Sorada Kanokpanont, Jirun Apinun, Chalika Wangdee, Antonella Motta and Siriporn Damrongsakkul
Polymers 2024, 16(22), 3144; https://doi.org/10.3390/polym16223144 - 12 Nov 2024
Cited by 1 | Viewed by 2212
Abstract
The porous particles prepared from composited calcium–ortho-phosphate (biphasic), Thai silk fibroin, gelatin, and alginate, with an organic to inorganic component ratio of 15.5:84.5, were tested for their abilities to control the release of the commercialized antibiotic solutions, clindamycin phosphate (CDP) and amikacin sulfate [...] Read more.
The porous particles prepared from composited calcium–ortho-phosphate (biphasic), Thai silk fibroin, gelatin, and alginate, with an organic to inorganic component ratio of 15.5:84.5, were tested for their abilities to control the release of the commercialized antibiotic solutions, clindamycin phosphate (CDP) and amikacin sulfate (AMK). The in vitro biodegradability tests complying to the ISO 10993-13:2010 standard showed that the particles degraded <20 wt% within 56 days. The drugs were loaded through a simple adsorption, with the maximum loading of injection-graded drug solution of 43.41 wt% for CDP, and 39.08 wt% for AMK. The release profiles from dissolution tests of the drug-loaded particles varied based on the adsorption methods used. The drug-loaded particles (without a drying step) released the drug immediately, while the drying process after the drug loading resulted in the sustained-release capability of the particles. The model-fitting of drug release profiles showed the release driven by diffusion with the first-ordered kinetic after the initial burst release. The released CDF and AMK from particles could sustain the inhibition of Gram-positive bacteria and Gram-negative bacteria, respectively, for at least 72 h. These results indicated the potential of these composited particles as controlled-release carriers for CDP and AMK. Full article
(This article belongs to the Section Polymer Applications)
Show Figures

Figure 1

19 pages, 51910 KB  
Article
Understanding the Dissolution of Cellulose and Silk Fibroin in 1-ethyl-3-methylimidazolium Acetate and Dimethyl Sulphoxide for Application in Hybrid Films
by James A. King, Peter J. Hine, Daniel L. Baker and Michael E. Ries
Materials 2024, 17(21), 5262; https://doi.org/10.3390/ma17215262 - 29 Oct 2024
Cited by 6 | Viewed by 2164
Abstract
This paper investigates the dissolution of two biopolymers, cellulose and silk fibroin, in a mixture of 1-ethyl-3-methylimidazolium acetate (EmimAc) and dimethyl sulphoxide (DMSO). EmimAc is a promising environmentally friendly solvent currently in wide use but can be limited by its high viscosity, which [...] Read more.
This paper investigates the dissolution of two biopolymers, cellulose and silk fibroin, in a mixture of 1-ethyl-3-methylimidazolium acetate (EmimAc) and dimethyl sulphoxide (DMSO). EmimAc is a promising environmentally friendly solvent currently in wide use but can be limited by its high viscosity, which inhibits the speed of dissolution. To mediate this, DMSO has been used as a cosolvent and has been shown to significantly lower the solution viscosity and aid mass transport. Dissolution experiments are carried out separately for both cellulose and silk fibrion with a range of EmimAc:DMSO ratios from 100 wt% EmimAc to 100 wt% DMSO. Interestingly, the optimal EmimAc:DMSO ratio (in terms of dissolution speed) is found to be very different for the two biopolymers. For cellulose, a mixture of 20 wt% EmimAc with 80 wt% DMSO is found to have the fastest dissolution speed, while for silk fibroin, a ratio of 80 wt% EmimAc with 20 wt% DMSO proves the fastest. These dissolution trials are complemented by rheological and nuclear magnetic resonance experiments to provide further insight into the underlying mechanisms. Finally, we produce hybrid biopolymer films from a solution to show how this work provides a foundation for future effective dissolution and the preparation of hybrid biopolymer films and hybrid biocomposites. Full article
(This article belongs to the Special Issue The 15th Anniversary of Materials—Recent Advances in Soft Matter)
Show Figures

Figure 1

22 pages, 1123 KB  
Review
Advances in Preparation and Properties of Regenerated Silk Fibroin
by Linlin Huang, Jifeng Shi, Wei Zhou and Qing Zhang
Int. J. Mol. Sci. 2023, 24(17), 13153; https://doi.org/10.3390/ijms241713153 - 24 Aug 2023
Cited by 46 | Viewed by 11791
Abstract
Over the years, silk fibroin (SF) has gained significant attention in various fields, such as biomedicine, tissue engineering, food processing, photochemistry, and biosensing, owing to its remarkable biocompatibility, machinability, and chemical modifiability. The process of obtaining regenerated silk fibroin (RSF) involves degumming, dissolving, [...] Read more.
Over the years, silk fibroin (SF) has gained significant attention in various fields, such as biomedicine, tissue engineering, food processing, photochemistry, and biosensing, owing to its remarkable biocompatibility, machinability, and chemical modifiability. The process of obtaining regenerated silk fibroin (RSF) involves degumming, dissolving, dialysis, and centrifugation. RSF can be further fabricated into films, sponges, microspheres, gels, nanofibers, and other forms. It is now understood that the dissolution method selected greatly impacts the molecular weight distribution and structure of RSF, consequently influencing its subsequent processing and application. This study comprehensively explores and summarizes different dissolution methods of SF while examining their effects on the structure and performance of RSF. The findings presented herein aim to provide valuable insights and references for researchers and practitioners interested in utilizing RSF in diverse fields. Full article
Show Figures

Figure 1

11 pages, 2522 KB  
Article
Development of Salmon Sperm DNA/Regenerated Silk Bio-Based Films for Biomedical Studies on Human Keratinocyte HaCaT Cells under Solar Spectrum
by Maria Rachele Ceccarini, Francesca Ripanti, Veronica Raggi, Alessandro Paciaroni, Caterina Petrillo, Lucia Comez, Kevin Donato, Matteo Bertelli, Tommaso Beccari and Luca Valentini
J. Funct. Biomater. 2023, 14(5), 280; https://doi.org/10.3390/jfb14050280 - 18 May 2023
Cited by 6 | Viewed by 4055
Abstract
In this study, we fabricated adhesive patches from silkworm-regenerated silk and DNA to safeguard human skin from the sun’s rays. The patches are realized by exploiting the dissolution of silk fibers (e.g., silk fibroin (SF)) and salmon sperm DNA in formic acid and [...] Read more.
In this study, we fabricated adhesive patches from silkworm-regenerated silk and DNA to safeguard human skin from the sun’s rays. The patches are realized by exploiting the dissolution of silk fibers (e.g., silk fibroin (SF)) and salmon sperm DNA in formic acid and CaCl2 solutions. Infrared spectroscopy is used to investigate the conformational transition of SF when combined with DNA; the results indicated that the addition of DNA provides an increase in the SF crystallinity. UV–Visible absorption and circular dichroism spectroscopy showed strong absorption in the UV region and the presence of B-form of DNA once dispersed in the SF matrix, respectively. Water absorption measurements as well as thermal dependence of water sorption and thermal analysis, suggested the stability of the fabricated patches. Biological results on cellular viability (MTT assay) of keratinocyte HaCaT cells after exposures to the solar spectrum showed that both SF and SF/DNA patches are photo-protective by increasing the cellular viability of keratinocytes after UV component exposure. Overall, these SF/DNA patches promise applications in wound dressing for practical biomedical purposes. Full article
(This article belongs to the Topic Advanced Functional Materials for Regenerative Medicine)
Show Figures

Figure 1

15 pages, 5075 KB  
Article
Woven Vascular Stent-Grafts with Surface Modification of Silk Fibroin-Based Paclitaxel/Metformin Microspheres
by Mengdi Liang, Fang Li, Yongfeng Wang, Hao Chen, Jingjing Tian, Zeyu Zhao, Karl H. Schneider and Gang Li
Bioengineering 2023, 10(4), 399; https://doi.org/10.3390/bioengineering10040399 - 23 Mar 2023
Cited by 13 | Viewed by 3723
Abstract
In-stent restenosis caused by tumor ingrowth increases the risk of secondary surgery for patients with abdominal aortic aneurysms (AAA) because conventional vascular stent grafts suffer from mechanical fatigue, thrombosis, and endothelial hyperplasia. For that, we report a woven vascular stent-graft with robust mechanical [...] Read more.
In-stent restenosis caused by tumor ingrowth increases the risk of secondary surgery for patients with abdominal aortic aneurysms (AAA) because conventional vascular stent grafts suffer from mechanical fatigue, thrombosis, and endothelial hyperplasia. For that, we report a woven vascular stent-graft with robust mechanical properties, biocompatibility, and drug delivery functions to inhibit thrombosis and the growth of AAA. Paclitaxel (PTX)/metformin (MET)-loaded silk fibroin (SF) microspheres were self-assembly synthesized by emulsification-precipitation technology and layer-by-layer coated on the surface of a woven stent via electrostatic bonding. The woven vascular stent-graft before and after coating drug-loaded membranes were characterized and analyzed systematically. The results show that small-sized drug-loaded microspheres increased the specific surface area and promoted the dissolution/release of drugs. The stent-grafts with drug-loaded membranes exhibited a slow drug-release profile more for than 70 h and low water permeability at 158.33 ± 17.56 mL/cm2·min. The combination of PTX and MET inhibited the growth of human umbilical vein endothelial cells. Therefore, it was possible to generate dual-drug-loaded woven vascular stent-grafts to achieve the more effective treatment of AAA. Full article
Show Figures

Graphical abstract

18 pages, 8026 KB  
Article
Glucose-Responsive Silk Fibroin Microneedles for Transdermal Delivery of Insulin
by Guohongfang Tan, Fujian Jiang, Tianshuo Jia, Zhenzhen Qi, Tieling Xing, Subhas C. Kundu and Shenzhou Lu
Biomimetics 2023, 8(1), 50; https://doi.org/10.3390/biomimetics8010050 - 24 Jan 2023
Cited by 18 | Viewed by 6718
Abstract
Microneedles (MNs) have attracted great interest as a drug delivery alternative to subcutaneous injections for treating diabetes mellitus. We report MNs prepared from polylysine-modified cationized silk fibroin (SF) for responsive transdermal insulin delivery. Scanning electron microscopy analysis of MNs’ appearance and morphology revealed [...] Read more.
Microneedles (MNs) have attracted great interest as a drug delivery alternative to subcutaneous injections for treating diabetes mellitus. We report MNs prepared from polylysine-modified cationized silk fibroin (SF) for responsive transdermal insulin delivery. Scanning electron microscopy analysis of MNs’ appearance and morphology revealed that the MNs were well arranged and formed an array with 0.5 mm pitch, and the length of single MNs is approximately 430 μm. The average breaking force of an MN is above 1.25 N, which guarantees that it can pierce the skin quickly and reach the dermis. Cationized SF MNs are pH-responsive. MNs dissolution rate increases as pH decreases and the rate of insulin release are accelerated. The swelling rate reached 223% at pH = 4, while only 172% at pH = 9. After adding glucose oxidase, cationized SF MNs are glucose-responsive. As the glucose concentration increases, the pH inside the MNs decreases, the MNs’ pore size increases, and the insulin release rate accelerates. In vivo experiments demonstrated that in normal Sprague Dawley (SD) rats, the amount of insulin released within the SF MNs was significantly smaller than that in diabetic rats. Before feeding, the blood glucose (BG) of diabetic rats in the injection group decreased rapidly to 6.9 mmol/L, and the diabetic rats in the patch group gradually reduced to 11.7 mmol/L. After feeding, the BG of diabetic rats in the injection group increased rapidly to 33.1 mmol/L and decreased slowly, while the diabetic rats in the patch group increased first to 21.7 mmol/L and then decreased to 15.3 mmol/L at 6 h. This demonstrated that the insulin inside the microneedle was released as the blood glucose concentration increased. Cationized SF MNs are expected to replace subcutaneous injections of insulin as a new modality for diabetes treatment. Full article
(This article belongs to the Special Issue Bioinspiration in Silk Biomaterial Designing)
Show Figures

Figure 1

13 pages, 3226 KB  
Article
Insignificant Difference in Biocompatibility of Regenerated Silk Fibroin Prepared with Ternary Reagent Compared with Regenerated Silk Fibroin Prepared with Lithium Bromide
by Guotao Cheng, Xin Wang, Mengqiu Wu, Siyuan Wu, Lan Cheng, Xiaoning Zhang and Fangyin Dai
Polymers 2022, 14(18), 3903; https://doi.org/10.3390/polym14183903 - 18 Sep 2022
Cited by 14 | Viewed by 5362
Abstract
Bombyx mori silk fibroin (SF) is widely used in the field of biomaterials due to its excellent biocompatibility and mechanical properties. However, SF cannot be used directly in many applications and needs to be dissolved first. Lithium bromide (LiBr) is a traditional solvent [...] Read more.
Bombyx mori silk fibroin (SF) is widely used in the field of biomaterials due to its excellent biocompatibility and mechanical properties. However, SF cannot be used directly in many applications and needs to be dissolved first. Lithium bromide (LiBr) is a traditional solvent which is usually used to dissolve SF. However, LiBr has several limitations, e.g., it is expensive, it is toxic to organisms, and it is environmentally unfriendly. Herein, we investigate the possibility of developing a ternary reagent system that is inexpensive, non-toxic to organisms, and environmentally friendly as an alternative for silk fibroin solubilization. The results confirm that regenerated silk fibroin (RSF) prepared using a ternary reagent has the same morphology and amino acid composition as that prepared using LiBr, but the RSF prepared using a ternary reagent still had a small amount of calcium residue even after long-term dialysis. Further research found that the residual calcium does not cause significant differences in the structure and biological performance of the RSF, such as its cytotoxicity, blood compatibility, and antibacterial properties. Therefore, we believe that ternary reagents are an ideal alternative solvent for dissolving SF. Full article
(This article belongs to the Special Issue Advances in Fiber Materials and Manufacturing)
Show Figures

Figure 1

21 pages, 4114 KB  
Review
Recent Research Progress of Ionic Liquid Dissolving Silks for Biomedicine and Tissue Engineering Applications
by Hang Heng, Qianqian Deng, Yipeng Yang and Fang Wang
Int. J. Mol. Sci. 2022, 23(15), 8706; https://doi.org/10.3390/ijms23158706 - 5 Aug 2022
Cited by 16 | Viewed by 4355
Abstract
Ionic liquids (ILs) show a bright application prospect in the field of biomedicine and energy materials due to their unique recyclable, modifiability, structure of cation and anion adjustability, as well as excellent physical and chemical properties. Dissolving silk fibroin (SF), from different species [...] Read more.
Ionic liquids (ILs) show a bright application prospect in the field of biomedicine and energy materials due to their unique recyclable, modifiability, structure of cation and anion adjustability, as well as excellent physical and chemical properties. Dissolving silk fibroin (SF), from different species silkworm cocoons, with ILs is considered an effective new way to obtain biomaterials with highly enhanced/tailored properties, which can significantly overcome the shortcomings of traditional preparation methods, such as the cumbersome, time-consuming and the organic toxicity caused by manufacture. In this paper, the basic structure and properties of SF and the preparation methods of traditional regenerated SF solution are first introduced. Then, the dissolving mechanism and main influencing factors of ILs for SF are expounded, and the fabrication methods, material structure and properties of SF blending with natural biological protein, inorganic matter, synthetic polymer, carbon nanotube and graphene oxide in the ILs solution system are introduced. Additionally, our work summarizes the biomedicine and tissue engineering applications of silk-based materials dissolved through various ILs. Finally, according to the deficiency of ILs for dissolving SF at a high melting point and expensive cost, their further study and future development trend are prospected. Full article
(This article belongs to the Special Issue Protein-Based Composite Materials)
Show Figures

Figure 1

9 pages, 2086 KB  
Article
Novel Dry Spinning Process of Natural Macromolecules for Sustainable Fiber Material -1- Proof of the Concept Using Silk Fibroin
by Ryo Satoh, Takashi Morinaga and Takaya Sato
Materials 2022, 15(12), 4195; https://doi.org/10.3390/ma15124195 - 13 Jun 2022
Cited by 8 | Viewed by 3505
Abstract
Researchers around the world are developing technologies to minimize carbon dioxide emissions or carbon neutrality in various fields. In this study, the dry spinning of regenerated silk fibroin (RSF) was achieved as a proof of concept for a process using ionic liquids as [...] Read more.
Researchers around the world are developing technologies to minimize carbon dioxide emissions or carbon neutrality in various fields. In this study, the dry spinning of regenerated silk fibroin (RSF) was achieved as a proof of concept for a process using ionic liquids as dissolution aids and plasticizers in developing natural polymeric materials. A dry spinning equipment system combining a stainless-steel syringe and a brushless motor was built to generate fiber compacts from a dope of silk fibroin obtained by degumming silkworm silk cocoons and ionic liquid 1-hexyl-3-methyl-imidazolium chloride ([HMIM][Cl]) according to a general method. The maximum stress and maximum elongation of the RSF fibers were 159.9 MPa and 31.5%, respectively. RSF fibers containing ionic liquids have a homogeneous internal structure according to morphological investigations. Elemental analysis of fiber cross sections revealed the homogeneous distribution of nonvolatile ionic liquid [HMIM][Cl] in RSF fibers. Furthermore, the removal of ionic liquids from RSF fibers through impregnation washing with organic solvents was verified to enhance industrial applications. Tensile testing showed that the fiber strength could be maintained even after removing the ionic liquid. Thermogravimetric analysis results show that the organic solvent 1,1,1,3,3,3-hexafluoro-2-propanol is chemically coordinated to silk fibroin and, as a natural polymer, can withstand heat up to 250 °C. Full article
(This article belongs to the Special Issue Advanced Materials for Societal Implementation)
Show Figures

Figure 1

17 pages, 3281 KB  
Article
Silkworm Gut Fibres from Silk Glands of Samia cynthia ricini—Potential Use as a Scaffold in Tissue Engineering
by Salvador D. Aznar-Cervantes, Ana Pagán, María J. Candel, José Pérez-Rigueiro and José L. Cenis
Int. J. Mol. Sci. 2022, 23(7), 3888; https://doi.org/10.3390/ijms23073888 - 31 Mar 2022
Cited by 5 | Viewed by 3487
Abstract
High-performance fibroin fibres are ideal candidates for the manufacture of scaffolds with applications in tissue engineering due to the excellent mechanical properties and optimal biocompatibility of this protein. In this work, the manufacture of high-strength fibres made from the silk glands of Samia [...] Read more.
High-performance fibroin fibres are ideal candidates for the manufacture of scaffolds with applications in tissue engineering due to the excellent mechanical properties and optimal biocompatibility of this protein. In this work, the manufacture of high-strength fibres made from the silk glands of Samia cynthia ricini is explored. The glands were subjected to soaking in aqueous dissolutions of acetic acid and stretched to manufacture the fibres. The materials produced were widely characterized, in terms of morphology, mechanical properties, crystallinity and content of secondary structures, comparing them with those produced by the standard procedure published for Bombyx mori. In addition, mechanical properties and biocompatibility of a braided scaffold produced from these fibres was evaluated. The results obtained show that the fibres from B. mori present a higher degree of crystallinity than those from S. c. ricini, which is reflected in higher values of elastic modulus and lower values of strain at break. Moreover, a decrease in the elongation values of the fibres from S. c. ricini was observed as the concentration of acetic acid was increased during the manufacture. On the other hand, the study of the braided scaffolds showed higher values of tensile strength and strain at break in the case of S. c. ricini materials and similar values of elastic modulus, compared to those of B. mori, displaying both scaffolds optimal biocompatibility using a fibroblast cell line. Full article
(This article belongs to the Special Issue Biomaterials and Regenerative Medicine)
Show Figures

Figure 1

16 pages, 7737 KB  
Article
Dissolution of Silk Fibroin in Mixtures of Ionic Liquids and Dimethyl Sulfoxide: On the Relative Importance of Temperature and Binary Solvent Composition
by Omar A. El Seoud, Marc Kostag, Shirley Possidonio, Marcella T. Dignani, Paulo A. R. Pires and Matheus C. Lourenço
Polymers 2022, 14(1), 13; https://doi.org/10.3390/polym14010013 - 21 Dec 2021
Cited by 14 | Viewed by 4796
Abstract
We studied the dependence of dissolution of silk fibroin (SF) in mixtures of DMSO with ionic liquids (ILs) on the temperature (T = 40 to 80 °C) and DMSO mole fraction (χDMSO = 0.5 to 0.9). The ILs included BuMeImAcO, [...] Read more.
We studied the dependence of dissolution of silk fibroin (SF) in mixtures of DMSO with ionic liquids (ILs) on the temperature (T = 40 to 80 °C) and DMSO mole fraction (χDMSO = 0.5 to 0.9). The ILs included BuMeImAcO, C3OMeImAcO, AlBzMe2NAcO, and Bu4NAcO; see the names and structures below. We used design of experiments (DOE) to determine the dependence of mass fraction of dissolved SF (SF-m%) on T and χDMSO. We successfully employed a second-order polynomial to fit the biopolymer dissolution data. The resulting regression coefficients showed that the dissolution of SF in BuMeImAcO-DMSO and C3OMeImAcO-DMSO is more sensitive to variation of T than of χDMSO; the inverse is observed for the quaternary ammonium ILs. Using BuMeImAcO, AlBzMe2NAcO, and molecular dynamics simulations, we attribute the difference in IL efficiency to stronger SF-IL hydrogen bonding with the former IL, which is coupled with the difference in the molecular volumes and the rigidity of the phenyl ring of the latter IL. The order of SF dissolution is BuMeImAcO-DMSO > C3OMeImAcO-DMSO; this was attributed to the formation of intramolecular H-bonding between the ether oxygen in the side chain of the latter IL and the relatively acidic hydrogens of the imidazolium cation. Using DOE, we were able to predict values of SF-m%; this is satisfactory and important because it results in economy of labor, time, and material. Full article
(This article belongs to the Special Issue Applications of Ionic Liquids in Colloid and Polymer Chemistry)
Show Figures

Graphical abstract

18 pages, 7090 KB  
Article
Silk Fibroin Microneedle Patches for the Treatment of Insomnia
by Zhenzhen Qi, Jiaxin Cao, Xiaosheng Tao, Xinyi Wu, Subhas C. Kundu and Shenzhou Lu
Pharmaceutics 2021, 13(12), 2198; https://doi.org/10.3390/pharmaceutics13122198 - 20 Dec 2021
Cited by 31 | Viewed by 6803
Abstract
As a patient-friendly technology, drug-loaded microneedles can deliver drugs through the skin into the body. This system has broad application prospects and is receiving wide attention. Based on the knowledge acquired in this work, we successfully developed a melatonin-loaded microneedle prepared from proline/melatonin/silk [...] Read more.
As a patient-friendly technology, drug-loaded microneedles can deliver drugs through the skin into the body. This system has broad application prospects and is receiving wide attention. Based on the knowledge acquired in this work, we successfully developed a melatonin-loaded microneedle prepared from proline/melatonin/silk fibroin. The engineered microneedles’ morphological, physical, and chemical properties were characterized to investigate their structural transformation mechanism and transdermal drug-delivery capabilities. The results indicated that the crystal structure of silk fibroin in drug-loaded microneedles was mainly Silk I crystal structure, with a low dissolution rate and suitable swelling property. Melatonin-loaded microneedles showed high mechanical properties, and the breaking strength of a single needle was 1.2 N, which could easily be penetrated the skin. The drug release results in vitro revealed that the effective drug concentration was obtained quickly during the early delivery. The successful drug concentration was maintained through continuous release at the later stage. For in vivo experimentation, the Sprague Dawley (SD) rat model of insomnia was constructed. The outcome exhibited that the melatonin-loaded microneedle released the drug into the body through the skin and maintained a high blood concentration (over 5 ng/mL) for 4–6 h. The maximum blood concentration was above 10 ng/mL, and the peak time was 0.31 h. This system indicates that it achieved the purpose of mimicking physiological release and treating insomnia. Full article
(This article belongs to the Special Issue Advances in Physics Methods for Drug Delivery)
Show Figures

Graphical abstract

21 pages, 10966 KB  
Article
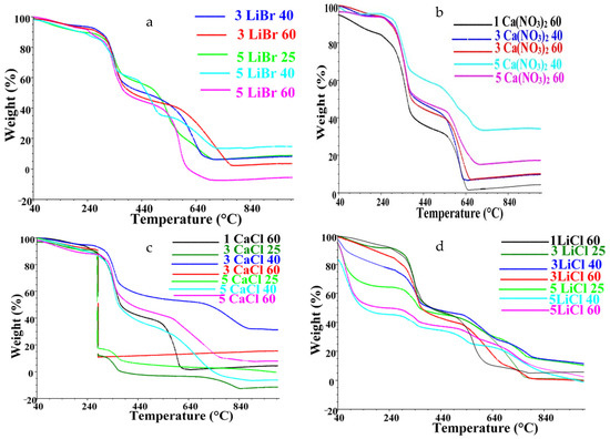
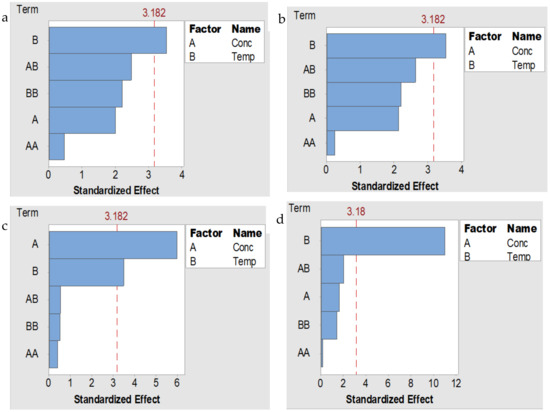
A Comparative Study on the Dissolution of Argema mimosae Silk Fibroin and Fabrication of Films and Nanofibers
by Hlobsile Kgomo, Somandla Ncube, Vimbai Mhuka, Temesgen Girma Kebede, Simiso Dube and Mathew M. Nindi
Polymers 2021, 13(4), 549; https://doi.org/10.3390/polym13040549 - 12 Feb 2021
Cited by 11 | Viewed by 2865
Abstract
Limited studies have been done on silk fibroins of wild silkworm species owing to their relative insolubility in many solvents. In this study, the solubility of Argema mimosae wild silk fibroin in different salts (LiBr, LiCl, Ca(NO3)2, and CaCl [...] Read more.
Limited studies have been done on silk fibroins of wild silkworm species owing to their relative insolubility in many solvents. In this study, the solubility of Argema mimosae wild silk fibroin in different salts (LiBr, LiCl, Ca(NO3)2, and CaCl2) dissolved in formic acid under varying temperatures was investigated. The dissolution conditions under which the solubility was optimum were optimized using a central composite design approach. The optimum range for solvation of the fibroin were visualized using contour plots. The influence of temperature and salt concentration were found to significantly influence the solvation of the fibroin. Following the successful dissolution of the fibroin, the regenerated silk fibroin solutions were cast to obtain water insoluble films which were used in investigating optimum electrospinning conditions. Average nanofiber diameters in the 110–141 nm range were obtained under optimum electrospinning conditions. The silk forms were characterized using the FTIR, TGA, XRD, and SEM to understand their properties. The investigations revealed that formic acid—salt solvents were effective in the solvation of the wild silk fibroin. Some of the dissolution conditions induced mild effects on the silk fibroin while others were harsh. Furthermore, processing to nanofibers resulted in the degradation of the β-sheets producing nanofibers rich in α-helices. However, post-treatment using methanol and water vapor were effective in restoring β-sheet crystallinity. Full article
(This article belongs to the Section Polymer Processing and Engineering)
Show Figures

Graphical abstract

17 pages, 4022 KB  
Article
Influence of the Casting Concentration on the Mechanical and Optical Properties of FA/CaCl2-Derived Silk Fibroin Membranes
by Alexander Kopp, Laura Schunck, Martin Gosau, Ralf Smeets, Simon Burg, Sandra Fuest, Nadja Kröger, Max Zinser, Sebastian Krohn, Mehdi Behbahani, Marius Köpf, Lisa Lauts and Rico Rutkowski
Int. J. Mol. Sci. 2020, 21(18), 6704; https://doi.org/10.3390/ijms21186704 - 13 Sep 2020
Cited by 11 | Viewed by 3835
Abstract
In this study, we describe the manufacturing and characterization of silk fibroin membranes derived from the silkworm Bombyx mori. To date, the dissolution process used in this study has only been researched to a limited extent, although it entails various potential advantages, such [...] Read more.
In this study, we describe the manufacturing and characterization of silk fibroin membranes derived from the silkworm Bombyx mori. To date, the dissolution process used in this study has only been researched to a limited extent, although it entails various potential advantages, such as reduced expenses and the absence of toxic chemicals in comparison to other conventional techniques. Therefore, the aim of this study was to determine the influence of different fibroin concentrations on the process output and resulting membrane properties. Casted membranes were thus characterized with regard to their mechanical, structural and optical assets via tensile testing, SEM, light microscopy and spectrophotometry. Cytotoxicity was evaluated using BrdU, XTT, and LDH assays, followed by live–dead staining. The formic acid (FA) dissolution method was proven to be suitable for the manufacturing of transparent and mechanically stable membranes. The fibroin concentration affects both thickness and transparency of the membranes. The membranes did not exhibit any signs of cytotoxicity. When compared to other current scientific and technical benchmarks, the manufactured membranes displayed promising potential for various biomedical applications. Further research is nevertheless necessary to improve reproducible manufacturing, including a more uniform thickness, less impurity and physiological pH within the membranes. Full article
Show Figures

Figure 1

17 pages, 2583 KB  
Article
Improving Anticancer Therapy with Naringenin-Loaded Silk Fibroin Nanoparticles
by Marta G. Fuster, Guzmán Carissimi, Mercedes G. Montalbán and Gloria Víllora
Nanomaterials 2020, 10(4), 718; https://doi.org/10.3390/nano10040718 - 10 Apr 2020
Cited by 63 | Viewed by 5012
Abstract
Naringenin (NAR), a flavonoid present in a variety of fruits, vegetables and herbs, exhibits a wide range of pharmacological effects, including anticancer activity. Nevertheless, its application in cancer therapy is limited due to its low bioavailability at the tumour site because of its [...] Read more.
Naringenin (NAR), a flavonoid present in a variety of fruits, vegetables and herbs, exhibits a wide range of pharmacological effects, including anticancer activity. Nevertheless, its application in cancer therapy is limited due to its low bioavailability at the tumour site because of its poor solubility in water and slow dissolution rate. To improve the therapeutic efficacy of NAR, emergent research is looking into using nanocarriers. Silk fibroin (SF), from the Bombyx mori silkworm, is a biocompatible and biodegradable polymer with excellent mechanical properties and an amphiphilic chemistry that make it a promising candidate as a controlled release drug system. The aim of this work is to synthesize naringenin-loaded silk fibroin nanoparticles (NAR-SFNs) by dissolving the SF in the ionic liquid 1-ethyl-3-methylimidazolium acetate, using high-power ultrasounds and rapid desolvation in methanol followed by the adsorption of NAR. The NAR-SFNs were characterized by dynamic light scattering, Fourier transform infrared spectroscopy and thermogravimetric analysis. The drug loading content and encapsulation efficiency were calculated. The drug release profile best fitted a first order equation. The cytotoxicity effects of free NAR, bare silk fibroin nanoparticles (SFNs) and NAR-SFNs were assessed on HeLa and EA.hy926 cells via 3-(4,5-dimethylthiazol-2-yl)-2,5-diphenyltetrazolium bromide (MTT) assay. The results demonstrated the higher in vitro anticancer potential of synthesized NAR-SFNs than that of free NAR in HeLa cancer cells. Full article
(This article belongs to the Special Issue Nanobiosystems for Complex Diseases)
Show Figures

Figure 1

Back to TopTop