Sign in to use this feature.

Years

Between: -

Subjects

remove_circle_outline
remove_circle_outline
remove_circle_outline
remove_circle_outline
remove_circle_outline
remove_circle_outline
remove_circle_outline
remove_circle_outline
remove_circle_outline

Journals

remove_circle_outline
remove_circle_outline
remove_circle_outline
remove_circle_outline
remove_circle_outline
remove_circle_outline
remove_circle_outline
remove_circle_outline
remove_circle_outline
remove_circle_outline
remove_circle_outline
remove_circle_outline
remove_circle_outline
remove_circle_outline
remove_circle_outline
remove_circle_outline
remove_circle_outline
remove_circle_outline
remove_circle_outline
remove_circle_outline
remove_circle_outline
remove_circle_outline
remove_circle_outline
remove_circle_outline
remove_circle_outline

Article Types

Countries / Regions

remove_circle_outline
remove_circle_outline
remove_circle_outline
remove_circle_outline
remove_circle_outline
remove_circle_outline

Search Results (3,138)

Search Parameters:
Keywords = significant scale variations

Order results
Result details
Results per page
Select all
Export citation of selected articles as:
14 pages, 5171 KB  
Article
Field Cultivation of Medicinal Earthworms Increases Soil Large Macroaggregates and Subsurface Organic Carbon Storage
by Lingyou Zhu, Menghao Zhang, Yiying Wang, Yuanye Xiao, Hesen Zhong, Weiqing Xu, Jialong Wu, Qi Chao and Chi Zhang
Agronomy 2026, 16(2), 264; https://doi.org/10.3390/agronomy16020264 (registering DOI) - 22 Jan 2026
Abstract
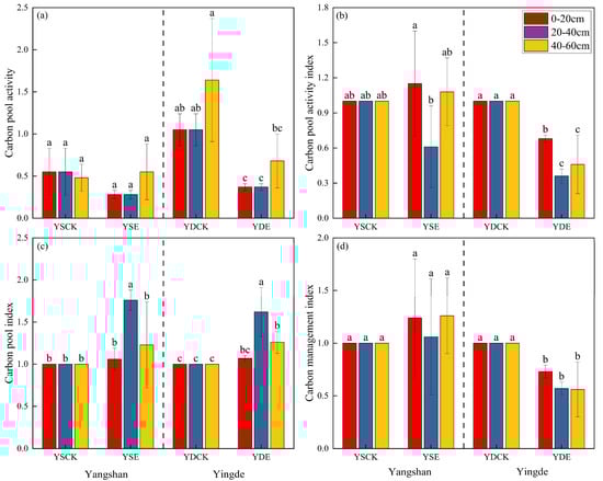
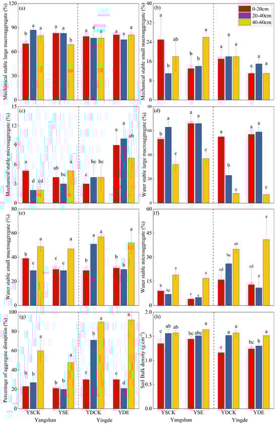
Field cultivation of medicinal earthworms is a distinctive agricultural practice in South China, characterized by large-scale rearing of the anecic earthworm species through substantial organic matter input. However, the effects of varying cultivation durations on soil organic carbon (SOC) distribution across aggregates and [...] Read more.
Field cultivation of medicinal earthworms is a distinctive agricultural practice in South China, characterized by large-scale rearing of the anecic earthworm species through substantial organic matter input. However, the effects of varying cultivation durations on soil organic carbon (SOC) distribution across aggregates and soil layers remain unclear. This study compared commercial cultivation plots with adjacent controls at two sites with different cultivation histories: Yangshan (6 months) and Yingde (12 months). Soil samples from three layers (0–20, 20–40, 40–60 cm) were wet-sieved into aggregate fractions for SOC and labile organic carbon (LOC) analysis. Results indicated that earthworm cultivation significantly enhanced the proportion of water-stable large macroaggregates, increased the organic carbon content within them, and elevated the overall SOC storage, particularly in subsurface layers (20–60 cm). The responses of LOC exhibited temporal variation, with a significant reduction observed only at the sites with longer cultivation duration. Overall, cultivation duration modulates the responses of labile carbon pools, whereas field cultivation of medicinal earthworms consistently promotes large macroaggregate formation and their carbon enrichment, increases total SOC stocks, drives subsurface carbon sequestration, and improves aggregate stability. These findings offer a practical strategy for enhancing soil carbon sinks in subtropical red soil ecosystems. Full article
Show Figures

Figure 1

26 pages, 663 KB  
Article
AI Technology Intensity, Gendered Labor Structure and Gender-Inclusive Sustainable Development: A Firm–Household Model and Panel Evidence from 58 Countries
by Jun He, Qiyun Fang and Ping Wei
Sustainability 2026, 18(2), 1105; https://doi.org/10.3390/su18021105 - 21 Jan 2026
Abstract
This study examines how AI development and the labor force’s gender structure jointly influence female employment and female’s economic contributions from a dual-sector firm–household perspective. Using panel data from 58 countries spanning 2000–2022, we construct a theoretical model and conduct empirical tests. Results [...] Read more.
This study examines how AI development and the labor force’s gender structure jointly influence female employment and female’s economic contributions from a dual-sector firm–household perspective. Using panel data from 58 countries spanning 2000–2022, we construct a theoretical model and conduct empirical tests. Results indicate that the labor force’s gender imbalance significantly suppresses the scale of female employment and female economic contributions; at the current stage, AI generally exerts a negative impact on female employment and economic contributions, but exhibits a significant interaction with the labor force gender structure. In scenarios of severe gender imbalance, AI’s skill-restructuring effect partially mitigates these adverse impacts; AI also generates a limited “time-release effect” by reducing women’s time spent on household labor, indirectly promoting female employment. The gendered effects of AI exhibit pronounced institutional variations across different developmental stages and gender structure conditions. This study emphasizes that AI is not a gender-neutral technology; its fairness depends on institutional and structural environments. Accordingly, it proposes policy recommendations, including improving multi-tiered systems for female talent development, guiding gender-inclusive AI applications, and strengthening global gender–governance cooperation. Full article
22 pages, 2142 KB  
Article
Real-Life ISO 15189 Qualification of Long-Range Drone Transportation of Medical Biological Samples: Results from a Clinical Trial
by Baptiste Demey, Olivier Bury, Morgane Choquet, Julie Fontaine, Myriam Dollerschell, Hugo Thorel, Charlotte Durand-Maugard, Olivier Leroy, Mathieu Pecquet, Annelise Voyer, Gautier Dhaussy and Sandrine Castelain
Drones 2026, 10(1), 71; https://doi.org/10.3390/drones10010071 - 21 Jan 2026
Abstract
Controlling pre-analytical conditions for medical biology tests, particularly during transport, is crucial for complying with the ISO 15189 standard and ensuring high-quality medical services. The use of drones, also known as unmanned aerial vehicles, to transport clinical samples is growing in scale, but [...] Read more.
Controlling pre-analytical conditions for medical biology tests, particularly during transport, is crucial for complying with the ISO 15189 standard and ensuring high-quality medical services. The use of drones, also known as unmanned aerial vehicles, to transport clinical samples is growing in scale, but requires prior validation to verify that there is no negative impact on the test results provided to doctors. This study aimed to establish a secure, high-quality solution for transporting biological samples by drone in a coastal region of France. The 80 km routes passed over several densely populated urban areas, with take-off and landing points within hospital grounds. The analytical and clinical impact of this mode of transport was compared according to two protocols: an interventional clinical trial on 30 volunteers compared to the reference transport by car, and an observational study on samples from 126 hospitalized patients compared to no transport. The system enabled samples to be transported without damage by maintaining freezing, refrigerated, and room temperatures throughout the flight, without any significant gain in travel time. Analytical variations were observed for sodium, folate, GGT, and platelet levels, with no clinical impact on the interpretation of the results. There is a risk of time-dependent alterations of blood glucose measurements in heparin tubes, which can be corrected by using fluoride tubes. This demonstrated the feasibility and security of transporting biological samples over long distances in line with the ISO 15189 standard. Controlling transport times remains crucial to assessing the quality of analyses. It is imperative to devise contingency plans for backup solutions to ensure the continuity of transportation in the event of inclement weather. Full article
(This article belongs to the Special Issue Recent Advances in Healthcare Applications of Drones)
Show Figures

Figure 1

21 pages, 46330 KB  
Article
Bridging the Sim2Real Gap in UAV Remote Sensing: A High-Fidelity Synthetic Data Framework for Vehicle Detection
by Fuping Liao, Yan Liu, Wei Xu, Xingqi Wang, Gang Liu, Kun Yang and Jiahao Li
Remote Sens. 2026, 18(2), 361; https://doi.org/10.3390/rs18020361 - 21 Jan 2026
Abstract
Unmanned Aerial Vehicle (UAV) imagery has emerged as a critical data source in remote sensing, playing an important role in vehicle detection for intelligent traffic management and urban monitoring. Deep learning–based detectors rely heavily on large-scale, high-quality annotated datasets, however, collecting and labeling [...] Read more.
Unmanned Aerial Vehicle (UAV) imagery has emerged as a critical data source in remote sensing, playing an important role in vehicle detection for intelligent traffic management and urban monitoring. Deep learning–based detectors rely heavily on large-scale, high-quality annotated datasets, however, collecting and labeling real-world UAV data are both costly and time-consuming. Owing to its controllability and scalability, synthetic data has become an effective supplement to address the scarcity of real data. Nevertheless, the significant domain gap between synthetic data and real data often leads to substantial performance degradation during real-world deployment. To address this challenge, this paper proposes a high-fidelity synthetic data generation framework designed to reduce the Sim2Real gap. First, UAV oblique photogrammetry is utilized to reconstruct real-world 3D model, ensuring geometric and textural authenticity; second, diversified rendering strategies that simulate real-world illumination and weather variations are adopted to cover a wide range of environmental conditions; finally, an automated ground-truth generation algorithm based on semantic masks is developed to achieve pixel-level precision and cost-efficient annotation. Based on this framework, we construct a synthetic dataset named UAV-SynthScene. Experimental results show that multiple mainstream detectors trained on UAV-SynthScene achieve competitive performance when evaluated on real data, while significantly enhancing robustness in long-tail distributions and improving generalization on real datasets. Full article
(This article belongs to the Special Issue Advances in Deep Learning Approaches: UAV Data Analysis)
Show Figures

Figure 1

17 pages, 8979 KB  
Article
Study on Physical Simulation of Shale Gas Dissipation Behavior: A Case Study for Northern Guizhou, China
by Baofeng Lan, Hongqi Liu, Chun Luo, Shaopeng Li, Haishen Jiang and Dong Chen
Processes 2026, 14(2), 368; https://doi.org/10.3390/pr14020368 - 21 Jan 2026
Abstract
The Longmaxi from the Anchang Syncline in northern Guizhou exhibits a high degree of thermal evolution of organic matter and significant variation in gas content. Because the synclinal is narrow, steep, and internally faulted, the mechanisms controlling shale gas preservation and escape remain [...] Read more.
The Longmaxi from the Anchang Syncline in northern Guizhou exhibits a high degree of thermal evolution of organic matter and significant variation in gas content. Because the synclinal is narrow, steep, and internally faulted, the mechanisms controlling shale gas preservation and escape remain poorly understood, complicating development planning and engineering design. Research on oil and gas migration and accumulation mechanisms in synclinal structures is therefore essential. To address this issue, three proportionally scaled strata—pure shale, gray shale, and sandy shale—were fabricated, and faults and artificial fractures with different displacements and inclinations were introduced. The simulation system consisted of two glass tanks (No. 1 and No. 2). Each tank had three rows of eight transmitting electrodes on one side, and a row of eight receiving electrodes on the opposite side. Tank 1 remained fixed, while Tank 2 could be hydraulically tilted up to 65° to simulate air and water migration under varying formation inclinations. A gas-water injection device was connected at the base. Gas was first injected slowly into the model. After injecting a measured volume (recorded via the flowmeter), the system was allowed to rest for 24–48 h to ensure uniform gas distribution. Water was then injected to displace the gas. During displacement, Tank 1 remained horizontal, and Tank 2 was inclined at a preset angle. An embedded monitoring program automatically recorded resistivity data from the 48 electrodes, and water-driven gas migration was analyzed through resistivity changes. A gas escape rate parameter (Gd), based on differences in gas saturation, was developed to quantify escape velocity. The simulation results show that gas escape increased with formation inclination. Beyond a critical angle, the escape rate slowed and approached a maximum. Faults and fractures significantly enhanced gas escape. Full article
Show Figures

Figure 1

33 pages, 1245 KB  
Article
Domain-Adaptive MRI Learning Model for Precision Diagnosis of CNS Tumors
by Wiem Abdelbaki, Hend Alshaya, Inzamam Mashood Nasir, Sara Tehsin, Salwa Said and Wided Bouchelligua
Biomedicines 2026, 14(1), 235; https://doi.org/10.3390/biomedicines14010235 - 21 Jan 2026
Abstract
Background: Diagnosing CNS tumors through MRI is limited by significant variability in scanner hardware, acquisition protocols, and intensity characteristics at clinical centers, resulting in substantial domain shifts that lead to diminished reliability for automated models. Methods: We present a Domain-Adaptive MRI Learning Model [...] Read more.
Background: Diagnosing CNS tumors through MRI is limited by significant variability in scanner hardware, acquisition protocols, and intensity characteristics at clinical centers, resulting in substantial domain shifts that lead to diminished reliability for automated models. Methods: We present a Domain-Adaptive MRI Learning Model (DA-MLM) consisting of an adversarially aligned hybrid 3D CNN–transformer encoder with contrastive regularization and covariance-based feature harmonization. Varying sequence MRI inputs (T1, T1ce, T2, and FLAIR) were inputted to multi-scale convolutional layers followed by global self-attention to effectively capture localized tumor structure and long-range spatial context, with domain adaptation that harmonizes feature distribution across datasets. Results: On the BraTS 2020 dataset, we found DA-MLM achieved 94.8% accuracy, 93.6% macro-F1, and 96.2% AUC, improving upon previously established benchmarks by 2–4%. DA-MLM also attained Dice score segmentation of 93.1% (WT), 91.4% (TC), and 89.5% (ET), improving upon 2–3.5% for CNN and transformer methods. On the REMBRANDT dataset, DA-MLM achieved 92.3% accuracy with segmentation improvements of 3–7% over existing U-Net and expert annotations. Robustness testing indicated 40–60% less degradation under noise, contrast shift, and motion artifacts, and synthetic shifts in scanner location showed negligible performance impairment (<0.06). Cross-domain evaluation also demonstrated 5–11% less degradation than existing methods. Conclusions: In summary, DA-MLM demonstrates improved accuracy, segmentation fidelity, and robustness to perturbations, as well as strong cross-domain generalization indicating the suitability for deployment in multicenter MRI applications where variation in imaging performance is unavoidable. Full article
(This article belongs to the Special Issue Diagnosis, Pathogenesis and Treatment of CNS Tumors (2nd Edition))
Show Figures

Figure 1

35 pages, 9569 KB  
Review
Knowledge Mapping of Transformable Architecture Using Bibliometrics: Programmable Mechanical Metamaterials
by Xianjie Wang, Zheng Zhang, Xuelian Gao, Yong Sun, Yongdang Chen, Xingzhu Zhong and Donghai Jiang
Buildings 2026, 16(2), 423; https://doi.org/10.3390/buildings16020423 - 20 Jan 2026
Abstract
Programmable mechanical metamaterials enable precise regulation of mechanical responses through geometric design, ushering in transformative paradigms for transformable structures. To systematically map the knowledge landscape and development trends in this field, this study employs knowledge mapping methods to analyze the current research status, [...] Read more.
Programmable mechanical metamaterials enable precise regulation of mechanical responses through geometric design, ushering in transformative paradigms for transformable structures. To systematically map the knowledge landscape and development trends in this field, this study employs knowledge mapping methods to analyze the current research status, core hotspots, and future directions of programmable mechanical metamaterials. During the research process, we expanded keywords using the litsearchr tool to optimize the retrieval strategy. Bibliometric tools, including CiteSpace 6.3.R3 and bibliometrix, were utilized to conduct multidimensional analyses on 2017 original papers related to mechanical metamaterials in transformable architecture from 2015 to 2025. These analyses encompass co-word analysis, co-citation clustering, and structural variation analysis. Key aspects include (1) identifying core journals and their attributes to clarify interdisciplinary dynamics, (2) mapping research themes and evolutionary trends through keyword analysis and clustering, and (3) pinpointing research hotspots and future directions based on citation networks and clustering results. The results reveal significant interdisciplinary characteristics, with core knowledge emerging from the intersection of materials science, mechanics, and civil engineering. Mathematical system theory provides a cross-scale modeling foundation for metamaterial microstructure design. The field is evolving from static structural design toward environment-adaptive intelligent systems. Future efforts should prioritize multi-physics collaborative regulation, engineering integration, and technical chain refinement. These findings offer a theoretical reference for the innovative development of transformable architecture. Full article
Show Figures

Figure 1

22 pages, 2446 KB  
Article
Analysis of the Evolution and Driving Factors of Nitrogen Balance in Zhejiang Province from 2011 to 2021
by Hongwei Yang, Guoxian Huang, Qi Lang and JieHao Zhang
Environments 2026, 13(1), 55; https://doi.org/10.3390/environments13010055 - 20 Jan 2026
Abstract
With rapid socioeconomic development and intensified human activities, nitrogen (N) loads have continued to rise, exerting significant impacts on the environment. Most existing studies focus on single cities or short time periods, which limits their ability to capture nitrogen dynamics under rapid urbanization. [...] Read more.
With rapid socioeconomic development and intensified human activities, nitrogen (N) loads have continued to rise, exerting significant impacts on the environment. Most existing studies focus on single cities or short time periods, which limits their ability to capture nitrogen dynamics under rapid urbanization. Based on statistical data from multiple cities in Zhejiang Province from 2011 to 2021, this study applied nitrogen balance accounting and statistical analysis to systematically evaluate the spatiotemporal variations in nitrogen inputs, outputs, and surpluses, as well as their driving factors. The results indicate that although nitrogen inputs and outputs fluctuated over the past decade, the overall nitrogen surplus showed an increasing trend, with the nitrogen surplus per unit area rising from 49.89 kg/(ha·a) in 2011 to 62.59 kg/(ha·a) in 2021. Zhejiang’s nitrogen load was higher than the national average but remained below the levels of highly urbanized regions such as the Yangtze River Delta and Pearl River Delta. Accelerated urbanization and increasing anthropogenic pressures were identified as major contributors to the rising nitrogen surplus, with significant inter-city disparities. Cities like Hangzhou, Ningbo, Wenzhou, and Jinhua were found to face higher risks of nitrogen pollution. Redundancy analysis and Pearson correlation analysis revealed that nitrogen surplus was positively correlated with cropland area, livestock population, total population, precipitation, GDP, and industrial output, further highlighting the dominant role of human activities in nitrogen cycling. This study provides the long-term quantitative assessment of nitrogen balance under multi-city coupling at the provincial scale and identifies key influencing factors. These findings provide scientific support for integrated nitrogen management across multiple environmental compartments in Zhejiang Province, including surface water, groundwater, agricultural systems, and urban wastewater, under conditions of rapid urbanization. Full article
Show Figures

Figure 1

22 pages, 4546 KB  
Article
Comprehensive Strategy for Effective Exploitation of Offshore Extra-Heavy Oilfields with Cyclic Steam Stimulation
by Chunsheng Zhang, Jianhua Bai, Xu Zheng, Wei Zhang and Chao Zhang
Processes 2026, 14(2), 359; https://doi.org/10.3390/pr14020359 - 20 Jan 2026
Abstract
The N Oilfield is the first offshore extra-heavy oilfield developed using thermal recovery methods, adopting cyclic steam stimulation (CSS) and commissioned in 2022. The development of offshore heavy oil reservoirs is confronted with numerous technical and operational challenges. Key constraints include limited platform [...] Read more.
The N Oilfield is the first offshore extra-heavy oilfield developed using thermal recovery methods, adopting cyclic steam stimulation (CSS) and commissioned in 2022. The development of offshore heavy oil reservoirs is confronted with numerous technical and operational challenges. Key constraints include limited platform space, stringent economic thresholds for single-well production, and elevated operational risks, collectively contributing to significant uncertainties in project viability. For effective exploitation of the target oilfield, a comprehensive strategy was proposed, which consisted of effective artificial lifting, steam channeling and high water cut treatment. First, to achieve efficient artificial lifting of the extra-heavy oil, an integrated injection–production lifting technology using jet pump was designed and implemented. In addition, during the first steam injection cycle, challenges such as inter-well steam channeling, high water cut, and an excessive water recovery ratio were encountered. Subsequent analysis indicated that low-quality reservoir intervals were the dominant sources of unwanted water production and preferential steam channeling pathways. To address these problems, a suite of efficiency-enhancing technologies was established, including regional steam injection for channeling suppression, classification-based water shutoff and control, and production regime optimization. Given the significant variations in geological conditions and production dynamics among different types of high-water-cut wells, a single plugging agent system proved inadequate for their diverse requirements. Therefore, customized water control countermeasures were formulated for specific well types, and a suite of plugging agent systems with tailored properties was subsequently developed, including high-temperature-resistant N2 foam, high-temperature-degradable gel, and high-strength ultra-fine cement systems. To date, regional steam injection has been implemented in 10 well groups, water control measures have been applied to 12 wells, and production regimes optimization has been implemented in 5 wells. Up to the current production round, no steam channeling has been observed in the well groups after thermal treatment. Compared with the pre-measurement stage, the average water cut per well decreased by 10%. During the three-year production cycle, the average daily oil production per well increased by 10%, the cumulative oil increment of the oilfield reached 15,000 tons, and the total crude oil production exceeded 800,000 tons. This study provides practical technical insights for the large-scale and efficient development of extra-heavy oil reservoirs in the Bohai Oilfield and offers a valuable reference for similar reservoirs worldwide. Full article
Show Figures

Figure 1

24 pages, 5196 KB  
Article
An Optical–SAR Remote Sensing Image Automatic Registration Model Based on Multi-Constraint Optimization
by Yaqi Zhang, Shengbo Chen, Xitong Xu, Jiaqi Yang, Yuqiao Suo, Jinchen Zhu, Menghan Wu, Aonan Zhang and Qiqi Li
Remote Sens. 2026, 18(2), 333; https://doi.org/10.3390/rs18020333 - 19 Jan 2026
Viewed by 34
Abstract
Accurate registration of optical and synthetic aperture radar (SAR) images is a fundamental prerequisite for multi-source remote sensing data fusion and analysis. However, due to the substantial differences in imaging mechanisms, optical–SAR image pairs often exhibit significant radiometric discrepancies and spatially varying geometric [...] Read more.
Accurate registration of optical and synthetic aperture radar (SAR) images is a fundamental prerequisite for multi-source remote sensing data fusion and analysis. However, due to the substantial differences in imaging mechanisms, optical–SAR image pairs often exhibit significant radiometric discrepancies and spatially varying geometric inconsistencies, which severely limit the robustness of traditional feature or region-based registration methods in cross-modal scenarios. To address these challenges, this paper proposes an end-to-end Optical–SAR Registration Network (OSR-Net) based on multi-constraint joint optimization. The proposed framework explicitly decouples cross-modal feature alignment and geometric correction, enabling robust registration under large appearance variation. Specifically, a multi-modal feature extraction module constructs a shared high-level representation, while a multi-scale channel attention mechanism adaptively enhances cross-modal feature consistency. A multi-scale affine transformation prediction module provides a coarse-to-fine geometric initialization, which stabilizes parameter estimation under complex imaging conditions. Furthermore, an improved spatial transformer network is introduced to perform structure-preserving geometric refinement, mitigating spatial distortion induced by modality discrepancies. In addition, a multi-constraint loss formulation is designed to jointly enforce geometric accuracy, structural consistency, and physical plausibility. By employing a dynamic weighting strategy, the optimization process progressively shifts from global alignment to local structural refinement, effectively preventing degenerate solutions and improving robustness. Extensive experiments on public optical–SAR datasets demonstrate that the proposed method achieves accurate and stable registration across diverse scenes, providing a reliable geometric foundation for subsequent multi-source remote sensing data fusion. Full article
(This article belongs to the Section Remote Sensing Image Processing)
Show Figures

Figure 1

28 pages, 4777 KB  
Article
Spatiotemporal Characteristics and Long-Term Variability of Large-Wave Frequency in the Northwest Pacific
by Zhen-Yu Zhao, Hong-Ze Leng, Yu-Han Wei, Jin-Hui Yang, Xuan Zhou, Ze-Zheng Zhao, Hui-Peng Wang, Bao-Xu Li, Wu-Xin Wang and Jun-Qiang Song
J. Mar. Sci. Eng. 2026, 14(2), 200; https://doi.org/10.3390/jmse14020200 - 19 Jan 2026
Viewed by 53
Abstract
This study provides a systematic analysis of the spatiotemporal distribution and trends in the frequency of significant wave height (SWH) exceeding level 5 (SWH > 2.5 m) and level 7 (SWH > 6 m) in the Northwest Pacific (NWP) for 1993–2024, which are [...] Read more.
This study provides a systematic analysis of the spatiotemporal distribution and trends in the frequency of significant wave height (SWH) exceeding level 5 (SWH > 2.5 m) and level 7 (SWH > 6 m) in the Northwest Pacific (NWP) for 1993–2024, which are defined as f5 and f7, respectively, as well as their correlations with major climate indexes. Our results indicate that (1) the high-value zones for the annual mean f5 and f7 are both located in the south waters of the Aleutian Islands, with maximum values of 58.0% and 6.4%, respectively. Winter’s contribution is greatest (maximum values of 96.9% and 16.8% per year), while summer’s is the smallest. (2) f5 exhibits a significant decline trend across the entire NWP basin (of −0.15 to −0.30%/yr), with the steepest decline occurring in autumn (−0.69%/yr) and the shallowest in summer. f7 exhibits a significant linear decrease in the open ocean east of Japan (−0.08%/yr) while showing a significant linear increase in the waters east of the Kamchatka Peninsula (0.08%/yr). Both variations peak in winter (maximum values of −0.27% and 0.30% per year) and are smallest in summer. (3) Seasonal and regional variations in climate index–f5 and f7 relationships reflect large-scale atmospheric modulation of waves. For example, the Oceanic Niño Index shows a predominantly negative correlation with f5 in winter (maximum correlation coefficient rm = −0.70) around the Luzon Strait, shifting to a significant positive correlation in summer (rm = 0.70) across the extensive region east of Taiwan Island and the Philippines. The Pacific Decadal Oscillation index shows a significant positive correlation with f7 in summer and autumn (rm = 0.69) east of Taiwan Island and a strong negative correlation in winter (rm = −0.77) to the east of Kamchatka Peninsula. Full article
(This article belongs to the Special Issue Marine Renewable Energy and Environment Evaluation)
Show Figures

Figure 1

15 pages, 780 KB  
Article
Exploring the Role of Appraised Support in Mitigating Reverse Culture Shock Among Cross-Border Retirement Migrants
by Zenan Wu, Sai-fu Fung, Tianjian Pi, Zhai Wang and Yu Tian
Healthcare 2026, 14(2), 245; https://doi.org/10.3390/healthcare14020245 - 19 Jan 2026
Viewed by 48
Abstract
Background/Objectives: Cross-border retirement migration has become a global trend. However, this population from Hong Kong, with a unique status, offers valuable opportunities for multidimensional empirical research. This paper aims to apply a Stress and Coping Theory–based model to verify the presence of reverse [...] Read more.
Background/Objectives: Cross-border retirement migration has become a global trend. However, this population from Hong Kong, with a unique status, offers valuable opportunities for multidimensional empirical research. This paper aims to apply a Stress and Coping Theory–based model to verify the presence of reverse culture shock (RCS) among them and explore how social support and its appraisal are associated with loneliness. It further examines indirect associations involving secondary appraisal within the appraisal structure. Methods: We recruited 210 Hong Kong seniors (aged ≥65) who had relocated to mainland China and had ever returned and surveyed them using validated scales. Results: Robust regression results revealed that higher levels of RCS were associated with higher levels of loneliness. Compared to social support (β = −0.04, p = 0.278), its appraisal had a significant negative association with loneliness (β = −0.09, p < 0.05). Mediation analysis demonstrated a significant indirect association involving social support appraisal, with variation across duration since the last return. Conclusions: With the resumption of normal cross-border travel after COVID-19, RCS is associated with subjective well-being among older returnees. Support appraisal shows a stronger association with loneliness, although this association varies by temporal context. We further propose that within the appraisal structure, secondary appraisal may be implicated in indirect associations linking primary appraisal to emotional outcomes, and that these associations vary by temporal context. Full article
Show Figures

Figure 1

9 pages, 716 KB  
Article
Evaluation of Factors Impacting Shelter Cats’ Personalities
by Mihai Borzan, Christelle Digonnet, Emoke Pall, Anamaria Ioana Paștiu and Alexandra Tabaran
Life 2026, 16(1), 155; https://doi.org/10.3390/life16010155 - 17 Jan 2026
Viewed by 97
Abstract
Behavior-related factors represent a major cause of cat relinquishment to shelters, highlighting the need for reliable tools to support appropriate matching between cats and adopters. The present study applied the ASPCA® Meet Your Match® Feline-ality™ assessment to evaluate personality profiles of [...] Read more.
Behavior-related factors represent a major cause of cat relinquishment to shelters, highlighting the need for reliable tools to support appropriate matching between cats and adopters. The present study applied the ASPCA® Meet Your Match® Feline-ality™ assessment to evaluate personality profiles of shelter cats and to examine factors associated with variation in personality expression across shelters. A total of 113 cats housed in six shelters in the south of France were assessed using a standardized behavioral protocol. Differences between shelters were evaluated using one-way ANOVA for behavioral scale scores, while associations between personality type and shelter affiliation, sex, coat color, and age were analyzed using χ2 tests of independence. Significant differences between shelters were observed for the majority of behavioral assessment items, as well as for composite valiance and independent–gregarious scale scores. Shelter affiliation was significantly associated with the distribution of Feline-ality™ personality types, indicating that personality profiles were not uniformly distributed across shelters. No statistically detectable association was found between personality type and sex. In contrast, significant associations were observed between personality type and both coat color category and age category, suggesting non-random variation in personality distribution across these factors. These findings indicate that shelter-related and individual factors are associated with variation in feline personality expression. While causal relationships cannot be inferred, the results underscore the importance of considering environmental context and population characteristics when interpreting shelter-based behavioral assessments. The Feline-ality™ framework appears to be a useful tool for characterizing personality variation in shelter cats and may support improved adoption matching when applied with appropriate caution. Full article
(This article belongs to the Section Animal Science)
Show Figures

Figure 1

26 pages, 10591 KB  
Article
Non-Linear Global Ice and Water Storage Changes from a Combination of Satellite Laser Ranging and GRACE Data
by Filip Gałdyn, Krzysztof Sośnica, Radosław Zajdel, Ulrich Meyer and Adrian Jäggi
Remote Sens. 2026, 18(2), 313; https://doi.org/10.3390/rs18020313 - 16 Jan 2026
Viewed by 99
Abstract
Determining long-term changes in global ice and water storage from satellite gravimetry remains challenging due to the limited temporal coverage of high-resolution missions. Here, we combine Satellite Laser Ranging (SLR) and Gravity Recovery and Climate Experiment (GRACE) data to reconstruct large-scale, non-linear mass [...] Read more.
Determining long-term changes in global ice and water storage from satellite gravimetry remains challenging due to the limited temporal coverage of high-resolution missions. Here, we combine Satellite Laser Ranging (SLR) and Gravity Recovery and Climate Experiment (GRACE) data to reconstruct large-scale, non-linear mass variations from 1995 to 2024, extending gravity-based observations into the pre-GRACE era while preserving spatial detail through backward extrapolation. The combined model reveals widespread and statistically significant accelerations in global water and ice mass changes and enables the identification of key turning points in their temporal evolution. Results indicate that in Svalbard, a non-linear transition in ice mass balance occurred in late 2004, followed by a pronounced acceleration of mass loss due to climate warming. Glaciers in the Gulf of Alaska exhibit persistent mass loss with a marked intensification after 2012, while in the Antarctic Peninsula, ice mass loss substantially slowed and a potential trend reversal emerged around 2021. The reconstructed mass anomalies show strong consistency with independent satellite altimetry and climate indicators, including a clear response to the 1997/1998 El Niño event prior to the GRACE mission. These findings demonstrate that integrating SLR with GRACE enables robust detection of non-linear, climate-driven mass redistribution on a global scale and provides a physically consistent extension of satellite gravimetry records beyond the GRACE era. Full article
Show Figures

Figure 1

24 pages, 6115 KB  
Article
Comparison of GLMM, RF and XGBoost Methods for Estimating Daily Relative Humidity in China Based on Remote Sensing Data
by Ying Yao, Ling Wu, Hongbo Liu and Wenbin Zhu
Remote Sens. 2026, 18(2), 306; https://doi.org/10.3390/rs18020306 - 16 Jan 2026
Viewed by 92
Abstract
Relative humidity (RH) is an important meteorological factor that affects both the climate system and human activities. However, the existing observational station data are insufficient to meet the requirements of regional scale research. Machine learning methods offer new avenues for high precision RH [...] Read more.
Relative humidity (RH) is an important meteorological factor that affects both the climate system and human activities. However, the existing observational station data are insufficient to meet the requirements of regional scale research. Machine learning methods offer new avenues for high precision RH estimation, but the performance of different algorithms in complex geographical environments still needs to be thoroughly evaluated. Based on Chinese observational station data from 2011 to 2020, this study systematically evaluated the performance of three methods for estimating RH: the generalized linear mixed model (GLMM), random forest (RF) and the XGBoost algorithm. The results of ten-fold cross validation indicate that the two machine learning methods are significantly superior to the traditional GLMM. Among them, RF performed the best (the determinant coefficient (R2) = 0.73, root mean square error (RMSE) = 8.85%), followed by XGBoost (R2 = 0.72, RMSE = 9.07%), while the GLMM performed relatively poorly (R2 = 0.58, RMSE = 11.08%). The model performance shows significant spatial heterogeneity. All models exhibit high correlation but relatively large errors in the northern regions, while demonstrating low errors yet low correlation in the southern regions. Meanwhile, the model performance also shows significant seasonal variations, with the highest accuracy observed in the summer (June to September). Among all features, dew point temperature (Td) aridity index (AI) and day of year (DOY) are the main contributing factors for RH estimation. This study confirms that the RF model provides the highest accuracy in RH estimation. Full article
Show Figures

Figure 1

Back to TopTop