Sign in to use this feature.

Years

Between: -

Subjects

remove_circle_outline
remove_circle_outline
remove_circle_outline
remove_circle_outline
remove_circle_outline
remove_circle_outline
remove_circle_outline
remove_circle_outline
remove_circle_outline

Journals

remove_circle_outline
remove_circle_outline
remove_circle_outline
remove_circle_outline
remove_circle_outline
remove_circle_outline

Article Types

Countries / Regions

remove_circle_outline
remove_circle_outline
remove_circle_outline
remove_circle_outline
remove_circle_outline

Search Results (184)

Search Parameters:
Keywords = signal processing workflow

Order results
Result details
Results per page
Select all
Export citation of selected articles as:
33 pages, 1215 KB  
Review
Integration of Bulk and Single-Cell RNA Sequencing Analyses in Biomedicine
by Nikita Golushko and Anton Buzdin
Int. J. Mol. Sci. 2026, 27(7), 3334; https://doi.org/10.3390/ijms27073334 - 7 Apr 2026
Abstract
Transcriptome profiling is a cornerstone of functional genomics, enabling the detailed characterization of gene expression in health and disease. Bulk RNA sequencing (bulk RNAseq) remains the most widely used approach in clinical and large-cohort studies due to its cost-effectiveness, robustness, and comprehensive transcriptome [...] Read more.
Transcriptome profiling is a cornerstone of functional genomics, enabling the detailed characterization of gene expression in health and disease. Bulk RNA sequencing (bulk RNAseq) remains the most widely used approach in clinical and large-cohort studies due to its cost-effectiveness, robustness, and comprehensive transcriptome coverage. However, bulk RNAseq inherently averages gene expression signals across heterogeneous cell populations, thereby masking cellular diversity and obscuring rare cell types. In contrast, single-cell RNA sequencing (scRNAseq) enables a high-resolution analysis of cellular heterogeneity, allowing the identification of distinct cell types, transitional states, and developmental trajectories. Nevertheless, scRNAseq is associated with higher cost, limited scalability, increased technical noise, sparse expression matrices, and protocol-dependent biases introduced during tissue dissociation or nuclear isolation. In this review, we summarize the conceptual and methodological foundations of integrating bulk RNAseq and scRNAseq data, emphasizing their complementary strengths and limitations. We discuss how scRNAseq-derived cell-type atlases can serve as reference matrices for computational reconstruction (deconvolution) of bulk RNAseq profiles and examine key sources of technical and biological variability. Furthermore, we outline major integration strategies, including reference-based deconvolution, pseudobulk aggregation, and Bayesian joint modeling to provide an overview of widely used analytical tools and essential components of scRNAseq data processing workflows. Full article
Show Figures

Figure 1

17 pages, 830 KB  
Review
Digital Assessment of Metacognition Across the Psychosis Continuum: Measures, Validity, and Clinical Integration—A Scoping Review
by Vassilis Martiadis, Fabiola Raffone, Salvatore Clemente, Antonietta Massa and Domenico De Berardis
Medicina 2026, 62(4), 704; https://doi.org/10.3390/medicina62040704 - 7 Apr 2026
Abstract
Background and Objectives: Metacognition-related processes (e.g., confidence calibration, self-evaluation and the use of feedback) have been linked to cognitive insight, self-evaluation, and daily functioning in psychosis. However, clinic-based assessments only provide limited information. Digital methods may capture state-like variations and contextual factors, but [...] Read more.
Background and Objectives: Metacognition-related processes (e.g., confidence calibration, self-evaluation and the use of feedback) have been linked to cognitive insight, self-evaluation, and daily functioning in psychosis. However, clinic-based assessments only provide limited information. Digital methods may capture state-like variations and contextual factors, but it is unclear to what extent they operationalise core metacognitive monitoring constructs versus adjacent self-evaluative/insight-related constructs. We mapped digital approaches used to assess metacognition-related constructs across the psychosis spectrum, summarising the associated feasibility and validity. Materials and Methods: We conducted a scoping review (PRISMA-ScR) of psychosis-spectrum studies that used digital tools to assess metacognition-related targets. These included ecological momentary assessment/experience sampling (EMA/ESM), task-based paradigms with confidence ratings, and hybrid approaches. Searches covered MEDLINE (via PubMed), Scopus, and IEEE Xplore, with the final search run on 15 December 2025. We charted constructs, operationalisations, feasibility/engagement indices and reported links with clinical or functional measures. Results: The empirical evidence map comprised 13 studies directly assessing metacognition-related constructs; eight additional implementation/methodological sources were synthesised separately to contextualise feasibility, reporting, ethics, and governance. EMA studies more often assessed adjacent self-evaluative constructs, including context-linked self-appraisal bias, conviction, and self-report–context mismatch in daily life, whereas task-based studies more directly assessed confidence–accuracy calibration and feedback updating. Across EMA studies, greater momentary symptom severity and more restricted contexts were often associated with inflated self-evaluations and divergence from observer-rated functioning. Task-based studies indicated that confidence calibration and feedback utilisation may diverge from objective performance; in performance-controlled paradigms, some studies reported comparable metacognitive sensitivity/efficiency, but the overall evidence remains uncertain. Passive sensing was common in psychosis research but was rarely explicitly tied to metacognitive constructs. Conclusions: Current digital work spans both core metacognitive monitoring constructs and adjacent self-evaluative/insight-related constructs, rather than a single unitary construct. Clinical translation remains hypothesis-generating: interpretability may be improved by combining clinical anchors, low-burden EMA, and optional contextual streams, but thresholds, workflows, and signal-action rules require prospective validation. Full article
Show Figures

Figure 1

19 pages, 3836 KB  
Article
Novel Robotic Test Rig for Camshaft Geometry Measurement with a Collaborative Robot
by Agnieszka Sękala, Jacek Królicki, Tomasz Blaszczyk, Piotr Ociepka, Krzysztof Foit, Gabriel Kost, Maciej Kaźmierczak, Grzegorz Gołda and Wojciech Jamrozik
Sensors 2026, 26(7), 2206; https://doi.org/10.3390/s26072206 - 2 Apr 2026
Viewed by 198
Abstract
This paper presents the design and experimental validation of an innovative robotic test stand for measuring camshaft cam geometry, intended to support preventive quality control in high-volume production. The proposed solution integrates a collaborative robot with a dedicated measurement setup to enable repeatable [...] Read more.
This paper presents the design and experimental validation of an innovative robotic test stand for measuring camshaft cam geometry, intended to support preventive quality control in high-volume production. The proposed solution integrates a collaborative robot with a dedicated measurement setup to enable repeatable positioning of the inspected camshaft and automated acquisition of geometric features critical for functional performance. A complete measurement methodology was developed, including the measurement sequence, data acquisition procedure, and processing of the recorded signals to determine key cam geometry parameters. To verify the reliability of the proposed approach, measurement results obtained using the robotic stand were compared with reference data acquired using conventional metrology tools and standard inspection procedures. Experimental studies confirmed that the developed stand provides repeatable measurement results, enabling the stable identification of the examined geometric features across repeated trials. Moreover, a high level of agreement was observed between the measurement data obtained using the proposed method and the reference measurements, demonstrating the suitability of the cobot-based test stand for preventive quality control applications in industrial environments. The concept presented offers a scalable and flexible alternative to manual inspection and dedicated special-purpose gauges, with potential benefits in terms of inspection throughput and standardization of quality control workflows. The novelty of the approach lies in the indirect ultrasonic measurement model combined with a quadrant-based sensor orientation strategy and repeatable 90° camshaft indexing, enabling full-profile acquisition within the robot workspace. Full article
(This article belongs to the Section Sensors and Robotics)
Show Figures

Figure 1

18 pages, 1570 KB  
Article
A Study on Broker-Assisted Blockchain Trust Chains for Provenance and Integrity Verification of Generative Media Using Watermarking, Semantic Fingerprinting, and C2PA
by Chaelin Yang and Minchul Kim
Appl. Sci. 2026, 16(7), 3391; https://doi.org/10.3390/app16073391 - 31 Mar 2026
Viewed by 193
Abstract
The widespread availability of generative artificial intelligence has increased the volume of images and videos shared online, while making it difficult to verify origin and integrity after routine post-processing such as re-encoding, resizing, and transcoding. This research proposes a broker-assisted trust chain architecture [...] Read more.
The widespread availability of generative artificial intelligence has increased the volume of images and videos shared online, while making it difficult to verify origin and integrity after routine post-processing such as re-encoding, resizing, and transcoding. This research proposes a broker-assisted trust chain architecture that treats authenticity verification as an evidence registration and validation workflow rather than a single-signal decision. A trust chain broker seals submitted media by embedding a robust hidden watermark, deriving an embedding-based semantic fingerprint, and producing standardized provenance metadata, then stores the sealed media off-chain using content-addressed storage and anchors only compact evidence on an immutable ledger. The anchored evidence binds the content identifier of the sealed artifact with semantic and provenance hashes, timestamps, and the broker signature, while scalable candidate discovery is supported through an off-chain Facebook AI Similarity Search (FAISS)-based nearest-neighbor similarity index. We evaluate the retrieval stage on a COCO 2017 validation subset (N = 200) under representative post-processing transformations (JPEG compression, resizing, and center cropping), and observe near-perfect candidate identification performance with Recall@1 = 0.9988 and Recall@5/10 = 1.000. During verification, the broker retrieves candidates by embedding similarity, validates ledger inclusion and broker signatures, applies consistency checks across evidence fields, and issues an operational verdict with a signed verification report that is independently checkable. We also implement an EVM-based proof-of-concept for on-chain anchoring and report low ledger-side overhead for a representative registration transaction (gasUsed = 25,380) when recording fixed-size compact evidence fields. The proposed architecture does not prevent copying itself, but improves traceability and auditability under realistic transformation and redistribution conditions by combining watermarking, semantic association, provenance binding, and tamper-evident evidence anchoring within a clear service accountability boundary. Full article
(This article belongs to the Special Issue Advanced Blockchain Technologies and Their Applications)
Show Figures

Figure 1

49 pages, 1468 KB  
Review
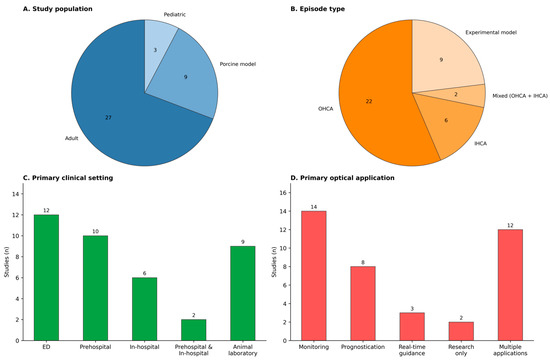
Near-Infrared Spectroscopy Used During Cardiopulmonary Resuscitation: Instrumentation, Signal Metrics, Clinical Context, and Feasibility: A Scoping Review
by Zahra Askari, Mehdi Nourizadeh, Jacob Hutton, Sumaiya Hossain, Calvin Kuo, Jim Christenson, Brian Grunau and Babak Shadgan
Sensors 2026, 26(7), 2136; https://doi.org/10.3390/s26072136 - 30 Mar 2026
Viewed by 402
Abstract
Conventional cardiopulmonary resuscitation (CPR) is guided primarily by process metrics that do not directly quantify cerebral hemodynamics or perfusion. Near-infrared spectroscopy (NIRS) provides continuous, non-invasive monitoring of regional tissue oxygenation and has emerged as a candidate modality for physiologic feedback during low-flow states. [...] Read more.
Conventional cardiopulmonary resuscitation (CPR) is guided primarily by process metrics that do not directly quantify cerebral hemodynamics or perfusion. Near-infrared spectroscopy (NIRS) provides continuous, non-invasive monitoring of regional tissue oxygenation and has emerged as a candidate modality for physiologic feedback during low-flow states. However, CPR applications vary across devices and signal processing. This scoping review maps how NIRS has been implemented during conventional CPR in humans and porcine models, with emphasis on instrumentation characteristics, signal processing, acquisition bandwidth, artifact handling, physiologic associations, and feasibility constraints. From 1048 records, 39 studies met the inclusion criteria. Most used forehead-based cerebral rSO2 monitoring (30/39). Rising cerebral oxygenation trajectories were consistently associated with return of spontaneous circulation (ROSC). In contrast, persistently low or non-increasing patterns were associated with non-ROSC, and absolute thresholds varied substantially across devices and studies. A minority of investigations derived compression-rate or waveform features from hemoglobin signals. Feasibility findings emphasized rapid probe placement without interrupting compressions but highlighted motion artifact, workflow constraints, and incomplete acquisition reporting. Overall, during conventional CPR, NIRS primarily serves as a dynamic monitor of oxygenation trends rather than a validated prognostic tool. Emerging waveform-based and hemodynamic analyses suggest the potential to evaluate CPR efficiency using perfusion-responsive optical features. Full article
(This article belongs to the Section Biomedical Sensors)
Show Figures

Figure 1

23 pages, 9790 KB  
Article
Candidate miRNA Regulators of Blood Transcriptional Signatures for Differential Diagnosis of Chronic Lymphocytic Leukemia and Multiple Myeloma: A Comprehensive In Silico Study
by Gözde Öztan, Halim İşsever and Tuğçe İşsever
Curr. Issues Mol. Biol. 2026, 48(4), 352; https://doi.org/10.3390/cimb48040352 - 27 Mar 2026
Viewed by 254
Abstract
Chronic lymphocytic leukemia (CLL) and multiple myeloma (MM) are biologically distinct hematologic malignancies with heterogeneous clinical courses, and minimally invasive molecular biomarkers are needed to support blood-based discrimination. We performed a comprehensive in silico analysis to derive cross-cohort, direction-consistent transcriptomic programs for CLL [...] Read more.
Chronic lymphocytic leukemia (CLL) and multiple myeloma (MM) are biologically distinct hematologic malignancies with heterogeneous clinical courses, and minimally invasive molecular biomarkers are needed to support blood-based discrimination. We performed a comprehensive in silico analysis to derive cross-cohort, direction-consistent transcriptomic programs for CLL and MM and to nominate regulatory microRNAs (miRNAs) linked to these signatures. Public gene-expression datasets from the NCBI Gene Expression Omnibus (two cohorts per disease) were processed with a reproducible workflow to define disease-biased consensus gene sets. Experimentally validated miRNA–target interactions from miRTarBase were integrated with consensus genes for miRNA target over-representation analysis, and miRNA–mRNA networks were constructed to prioritize candidate miRNAs by connectivity. A strict intersection strategy yielded a large, direction-consistent CLL consensus program, whereas a vote-based approach produced a smaller MM program due to a weaker signal in one cohort. Enrichment and network analyses identified compact regulatory modules in CLL, including a highly connected candidate miRNA linked to many CLL-up genes. This framework provides reproducible disease-biased gene programs and evidence-anchored miRNA candidates to support targeted experimental validation and the development of hypothesis-driven blood-based biomarker studies for differential diagnosis and monitoring. Full article
Show Figures

Figure 1

31 pages, 15870 KB  
Article
Land Subsidence and Earthquake-Timed Vertical Offsets in the Messara Basin, Crete: EGMS-Based Screening for the 2021 Mw 6.0 Arkalochori Earthquake
by Ioannis Michalakis and Constantinos Loupasakis
Land 2026, 15(4), 545; https://doi.org/10.3390/land15040545 - 26 Mar 2026
Viewed by 1349
Abstract
Land subsidence and coseismic deformation can interact in groundwater-stressed sedimentary basins, yet basin-scale identification of event-timed vertical offsets in InSAR products requires explicit control of referencing and processing effects. This study evaluates whether the 27 September 2021 Arkalochori earthquake (Mw 6.0; central Crete) [...] Read more.
Land subsidence and coseismic deformation can interact in groundwater-stressed sedimentary basins, yet basin-scale identification of event-timed vertical offsets in InSAR products requires explicit control of referencing and processing effects. This study evaluates whether the 27 September 2021 Arkalochori earthquake (Mw 6.0; central Crete) produced detectable coseismic vertical offsets within the Messara Basin by applying a reproducible screening workflow to Copernicus European Ground Motion Service (EGMS) Level-3 Vertical time series, from two processing generations (EGMS 2015–2021 and EGMS 2018–2022). An event-centered step metric (stepEQ), defined as the difference between post-event and pre-event mean displacements over a fixed acquisition window, is evaluated across three fixed spatial masks (MESSARA, R15060, R8750) together with a dispersion-based precision proxy (σstep) and a cross-generation sensitivity diagnostic (ΔstepEQ). A supplementary 2 + 2 subset sensitivity analysis indicates that the adopted fixed 3 + 3 estimator is stable at the basin scale, with sensitivity concentrated mainly in threshold-adjacent cases. Results indicate that Arkalochori-related offsets are not expressed as a basin-wide step across Messara; instead, non-background responses form a spatially limited and coherent subset concentrated where the basin intersects the near-source footprint. In EGMS 2018–2022, the higher vertical offset class (C2; |stepEQ| > 40 mm) is exclusively subsidence-direction and is enriched toward the screening center (up to ~19% within the radii mask R8750 m) but remains sparse at the basin scale mask (MESSARA mask) (~1%). Step-dominated points co-locate with strongly subsiding mean vertical velocity regimes and are hosted almost entirely by post-Alpine basin deposits, indicating strong material and background-deformation conditioning of step detectability. Cross-generation comparison shows basin-scale stability of background behavior but localized near-source sensitivity, supporting use of ΔstepEQ as a Quality Control (QC) lens for threshold-adjacent interpretations. The workflow provides a transparent, transferable approach for prioritizing candidate coseismic-step locations in EGMS time series. Results are interpreted as screening-level evidence in the derived vertical signal using event timing, spatial coherence, and QC diagnostics. Full article
(This article belongs to the Special Issue Ground Deformation Monitoring via Remote Sensing Time Series Data)
Show Figures

Figure 1

26 pages, 1076 KB  
Article
Verifiable Eco-Recommendations by AI Travel Assistants: Eye-Tracking and GSR Evidence on Verification, Trust Calibration, and Sustainable Hotel Booking
by Stefanos Balaskas and Kyriakos Komis
Sustainability 2026, 18(7), 3185; https://doi.org/10.3390/su18073185 - 24 Mar 2026
Viewed by 164
Abstract
AI travel assistants are increasingly designating hotels as “eco”, yet when the evidence is not independently verifiable, these recommendations may serve as persuasive cues or credible decision support. We present a preregistered 2 × 2 between-subject laboratory experiment (n = 63) that manipulates [...] Read more.
AI travel assistants are increasingly designating hotels as “eco”, yet when the evidence is not independently verifiable, these recommendations may serve as persuasive cues or credible decision support. We present a preregistered 2 × 2 between-subject laboratory experiment (n = 63) that manipulates autonomy framing (Recommend vs. Plan) and evidence verifiability (verifiable vs. non-verifiable) in a realistic hotel-booking workflow with a standardized “Verify eco-claim” drawer. Phasic arousal was recorded at recommendation onset (E1) and verification initiation (E3), employing eye-tracking indexed verification behavior (verify clicks, time-to-verify, verification depth) and event-locked galvanic skin response (GSR). Verifiability did not directly speed up or deepen verification (H1 not supported), but verification was common (74.6% clicked Verify). Rather, autonomy influenced checking: Plan slowed verification and altered verification depth. E1 SCR revealed an Evidence × Autonomy interaction, which is consistent with an autonomy-boundary account (H4), rather than credibility stress emerging as a simple evidence main effect at E1 (H2 not supported as stated). Verification served as a repair moment: depending on the availability of diagnostic cues, arousal dynamics from E1 to E3 supported differential “repair” (H3). SCR dynamics explained incremental variance in perceived manipulation/greenwashing concern beyond condition and eye-tracking indices (H5b supported), but verification depth did not mediate effects on trust or delegation (H5a not supported). Overall, users’ interpretation of AI sustainability advice is influenced by autonomy, and multimodal process measures offer useful signals for auditing eco-recommendation designs in travel platforms. Full article
Show Figures

Figure 1

36 pages, 5099 KB  
Article
DML–LLM Hybrid Architecture for Fault Detection and Diagnosis in Sensor-Rich Industrial Systems
by Yu-Shu Hu, Saman Marandi and Mohammad Modarres
Sensors 2026, 26(6), 2008; https://doi.org/10.3390/s26062008 - 23 Mar 2026
Viewed by 472
Abstract
Fault Detection and Diagnosis (FDD) in complex industrial systems requires methods that can handle uncertain operating conditions, soft thresholds, evolving sensor behavior, and increasing volumes of heterogeneous data. Traditional model-based or rule-driven approaches offer interpretability but lack adaptability, while purely data-driven and Large [...] Read more.
Fault Detection and Diagnosis (FDD) in complex industrial systems requires methods that can handle uncertain operating conditions, soft thresholds, evolving sensor behavior, and increasing volumes of heterogeneous data. Traditional model-based or rule-driven approaches offer interpretability but lack adaptability, while purely data-driven and Large Language Model (LLM)-based methods often struggle with consistency, traceability, and causal grounding. Dynamic Master Logic (DML) provides a causal and temporal reasoning structure with fuzzy rules that capture gradual drift, soft limits, and asynchronous sensor signals while preserving traceability and deterministic evidence propagation. Building on this foundation, this paper presents a DML–LLM hybrid architecture that integrates targeted LLM inference to interpret unstructured information such as logs, notes, or retrieved documents under controlled prompts that maintain domain constraints. The combined system integrates Bayesian updating, deterministic routing, and semantic interpretation into a unified FDD pipeline. In a semiconductor manufacturing case study, the proposed framework reduced time to detection (TTD) from 7.4 h to 1.2 h and improved the F1 score from 0.59 to 0.83 when compared with conventional Statistical Process Control (SPC) and Fault Detection and Classification (FDC) workflows. Provenance completeness increased from 18% to 96%, while engineer triage time was reduced from 72 min to 18 min per event. These results demonstrate that the hybrid framework provides a scalable and explainable approach to anomaly detection and fault diagnosis in sensor-rich industrial environments. Full article
(This article belongs to the Special Issue Anomaly Detection and Fault Diagnosis in Sensor Networks)
Show Figures

Figure 1

34 pages, 5445 KB  
Article
A Correlation-Driven, Process-Oriented Framework for Vibro-Acoustic Comfort Assessment in Special-Purpose Vehicle Cabins
by Bianca-Mihaela Cășeriu, Cristina Veres, Maria Tănase and Petruța Blaga
Processes 2026, 14(6), 972; https://doi.org/10.3390/pr14060972 - 18 Mar 2026
Viewed by 266
Abstract
The evaluation of vibro-acoustic comfort in vehicle cabins is frequently limited by fragmented treatment of noise and vibration indicators and by the absence of structured, reproducible assessment frameworks. This study proposes an advanced, correlation-driven and process-oriented methodology for vibro-acoustic comfort evaluation, designed to [...] Read more.
The evaluation of vibro-acoustic comfort in vehicle cabins is frequently limited by fragmented treatment of noise and vibration indicators and by the absence of structured, reproducible assessment frameworks. This study proposes an advanced, correlation-driven and process-oriented methodology for vibro-acoustic comfort evaluation, designed to support systematic analysis and decision-making across varying vehicle operating conditions. The proposed framework is formulated as a sequential process comprising experimental data acquisition, signal preprocessing, statistical correlation analysis, and decision-oriented interpretation. The framework was experimentally validated on five special-purpose armored platforms under both stationary and dynamic operating regimes, with repeated measurement trials to ensure robustness. Interior and exterior sound pressure levels, together with vibration-related parameters, are experimentally measured under stationary and dynamic operating regimes. Pearson correlation coefficients are employed to quantify interdependencies among vibro-acoustic variables and identify dominant contributors affecting comfort-related conditions. The results indicate statistically significant correlations between interior noise levels and selected vibration indicators, revealing distinct correlation patterns associated with different operating states. Based on these findings, correlation strength was classified as weak (|r| < 0.3), moderate (0.3 ≤ |r| < 0.6), and strong (|r| ≥ 0.6), enabling structured contributor ranking. The primary contribution of this work consists in elevating correlation analysis from a descriptive statistical technique to a formalized assessment process suitable for integration into predictive modeling and optimization workflows. The framework provides a transferable methodological structure, validated within the investigated vehicle category. Full article
(This article belongs to the Section Process Control and Monitoring)
Show Figures

Figure 1

36 pages, 23123 KB  
Article
Evaluating Environmental and Crop Factors Affecting Drone-Mounted GPR Performance in Agricultural Fields
by Milad Vahidi and Sanaz Shafian
Sensors 2026, 26(6), 1873; https://doi.org/10.3390/s26061873 - 16 Mar 2026
Viewed by 337
Abstract
Drone-mounted ground-penetrating radar (GPR) systems offer new opportunities for integrating subsurface characterization into remote sensing workflows. However, the interaction between flight parameters, surface conditions, and vegetation characteristics remains poorly understood. This study investigates the impact of flight altitude, surface topography, crop presence, and [...] Read more.
Drone-mounted ground-penetrating radar (GPR) systems offer new opportunities for integrating subsurface characterization into remote sensing workflows. However, the interaction between flight parameters, surface conditions, and vegetation characteristics remains poorly understood. This study investigates the impact of flight altitude, surface topography, crop presence, and canopy water content on the stability and interpretability of GPR signals collected using a drone. Field experiments were conducted under controlled conditions using agricultural plots with variable canopy cover and soil moisture regimes. Radargrams were processed to evaluate signal amplitude, reflection continuity, and attenuation patterns in relation to terrain slope and vegetation structure derived from co-registered RGB drone imagery. The results reveal that lower flight altitudes and smoother surfaces yield higher signal coherence and greater subsurface penetration, while increased canopy water content and biomass reduce signal strength and clarity. Integrating drone-based GPR observations with surface spectral and thermal data improved discrimination between soil and vegetation-induced signal distortions. The findings highlight the potential of drone–GPR systems as a complementary layer in a multi-sensor remote sensing framework for precision agriculture, environmental monitoring, and 3D soil mapping. Full article
(This article belongs to the Section Sensors and Robotics)
Show Figures

Figure 1

34 pages, 7227 KB  
Article
Real-Time Sand Transport Detection in an Offshore Hydrocarbon Well Using Distributed Acoustic Sensing-Based VSP Technology: Field Data Analysis and Operational Insights
by Dejen Teklu Asfha, Abdul Halim Abdul Latiff, Hassan Soleimani, Abdul Rahim Md Arshad, Alidu Rashid, Ida Bagus Suananda Yogi, Daniel Asante Otchere, Ahmed Mousa and Rifqi Roid Dhiaulhaq
Technologies 2026, 14(3), 175; https://doi.org/10.3390/technologies14030175 - 13 Mar 2026
Viewed by 554
Abstract
Sand production in an offshore hydrocarbon wells poses significant operational and integrity challenges, particularly in deviated wells, where complex flow geometries intensify particle transport and erosion risks. The traditional sand-monitoring method utilizes stationary acoustic sensors attached to the production flowline at the surface. [...] Read more.
Sand production in an offshore hydrocarbon wells poses significant operational and integrity challenges, particularly in deviated wells, where complex flow geometries intensify particle transport and erosion risks. The traditional sand-monitoring method utilizes stationary acoustic sensors attached to the production flowline at the surface. However, these sensors provide limited spatial coverage and intermittent measurements, restricting their ability to detect early sanding onset or precisely localize sanding intervals. By combining with vertical seismic profiling (VSP), Distributed Acoustic Sensing (DAS) delivers continuous, high-density data along the entire length of the wellbore and is increasingly recognized as a powerful diagnostic tool for real-time downhole monitoring. This study presents a field application of DAS-VSP for detecting and characterizing sand transport in a deviated offshore production well equipped with 350 distributed fiber-optic channels spanning 0–1983 m true vertical depth (TVD) at 8 m spacing. A multistage workflow was developed, including SEGY ingestion and shot merging, channel and time window selection, trace normalization, and low-pass filtering below 20 Hz. Multi-domain signal analysis, such as RMS energy, spike-based time-domain attributes, FFT, PSD spectral characterization, and time–frequency decomposition, were used to isolate the characteristic im-pulsive low-frequency (<20 Hz) signatures associated with sand impact. An adaptive thresholding and event-clustering scheme was then applied to discriminate sanding bursts from background noise and integrate their acoustic energy over depth. The processed DAS section revealed distinct, depth-localized sand ingress zones within the production interval (1136–1909 m TVD). The derived sand log provided a quantitative measure of sand intensity variations along the deviated wellbore, with normalized RMS amplitudes ranging from 0.039 to 1.000 a.u., a mean value of 0.235 a.u., and 137 analyzed channels within the production interval. These results indicate that sand production is highly clustered within discrete depth intervals, offering new insights into sand–fluid interactions during steady-state flow. Overall, the findings confirm that DAS-VSP enables continuous real-time monitoring of the sanding behavior with a far greater depth resolution than conventional tools. This approach supports proactive sand management strategies, enhances well-integrity decision-making, and underscores the potential of DAS to evolve into a standard surveillance technology for hydrocarbon production wells. Full article
Show Figures

Graphical abstract

27 pages, 2784 KB  
Article
A Cloud-Aware Scalable Architecture for Distributed Edge-Enabled BCI Biosensor System
by Sayantan Ghosh, Raghavan Bhuvanakantham, Padmanabhan Sindhujaa, Purushothaman Bhuvana Harishita, Anand Mohan, Balázs Gulyás, Domokos Máthé and Parasuraman Padmanabhan
Biosensors 2026, 16(3), 157; https://doi.org/10.3390/bios16030157 - 13 Mar 2026
Viewed by 474
Abstract
BCI biosensors enable continuous monitoring of neural activity, but existing systems face challenges in scalability, latency, and reliable integration with cloud infrastructure. This work presents a cloud-aware, real-time cognitive grid architecture for multimodal BCI biosensors, validated at the system level through a full [...] Read more.
BCI biosensors enable continuous monitoring of neural activity, but existing systems face challenges in scalability, latency, and reliable integration with cloud infrastructure. This work presents a cloud-aware, real-time cognitive grid architecture for multimodal BCI biosensors, validated at the system level through a full physical prototype. The system integrates the BioAmp EXG Pill for signal acquisition with an RP2040 microcontroller for local preprocessing using edge-resident TinyML deployment for on-device feature/inference feasibility coupled with environmental context sensors to augment signal context for downstream analytics talking to the external world via Wi-Fi/4G connectivity. A tiered data pipeline was implemented: SD card buffering for raw signals, Redis for near-real-time streaming, PostgreSQL for structured analytics, and AWS S3 with Glacier for long-term archival. End-to-end validation demonstrated consistent edge-level inference with bounded latency, while cloud-assisted telemetry and analytics exhibited variable transmission and processing delays consistent with cellular connectivity and serverless execution characteristics; packet loss remained below 5%. Visualization was achieved through Python 3.10 using Matplotlib GUI, Grafana 10.2.3 dashboards, and on-device LCD displays. Hybrid deployment strategies—local development, simulated cloud testing, and limited cloud usage for benchmark capture—enabled cost-efficient validation while preserving architectural fidelity and latency observability. The results establish a scalable, modular, and energy-efficient biosensor framework, providing a foundation for advanced analytics and translational BCI applications to be explored in subsequent work, with explicit consideration of both edge-resident TinyML inference and cloud-based machine learning workflows. Full article
Show Figures

Figure 1

13 pages, 11610 KB  
Article
Single and Dual Mode SMR Sensors for Pest Detection in Plant Health Monitoring
by Usman Yaqoob, Barbara Urasinska-Wojcik, Siavash Esfahani, Marina Cole and Julian W. Gardner
Sensors 2026, 26(5), 1708; https://doi.org/10.3390/s26051708 - 8 Mar 2026
Viewed by 300
Abstract
This study presents the development and evaluation of surface functionalized solidly mounted resonators (SMRs), including custom developed at the University of Warwick (UWAR) devices and commercial Sorex sensors, for the detection and classification of plant-emitted volatile organic compounds (VOCs). The sensors were tested [...] Read more.
This study presents the development and evaluation of surface functionalized solidly mounted resonators (SMRs), including custom developed at the University of Warwick (UWAR) devices and commercial Sorex sensors, for the detection and classification of plant-emitted volatile organic compounds (VOCs). The sensors were tested against linalool, trans-2-hexenal (T2H), and D-limonene at different concentrations under both dry and humid conditions (30% ± 3% RH). A Python-based (v3.13.5) signal-processing workflow was established to filter frequency responses and extract key features, such as baseline, saturation point, and frequency shift (Δf). Adsorption behaviour was modelled using the Freundlich isotherm, showing good agreement with experimental data and suggesting heterogeneous, multilayer adsorption on CH3-terminated EC surfaces. A 2D polar classification framework combining vector-normalized Δf values from UWAR and Sorex sensors enabled a clear separation of the VOCs. The results highlight the complementary performance of the two types of SMR sensors and demonstrate that feature-engineered resonant devices, combined with computational classification, offer strong potential for future use in plant health monitoring systems. Full article
Show Figures

Figure 1

23 pages, 6390 KB  
Article
A Modular Framework for Automated Hypothesis Validation and Refinement in Scientific Research
by Chenhao Chen, Taiga Masuda, Tsubasa Hirakawa, Takayoshi Yamashita and Hironobu Fujiyoshi
Information 2026, 17(3), 244; https://doi.org/10.3390/info17030244 - 2 Mar 2026
Viewed by 356
Abstract
Scientific research typically follows an iterative cycle where hypotheses are proposed, validated against experimental conclusions, and refined accordingly. While recent advances in large language models (LLMs) have enabled significant progress in automating individual stages of this process, existing systems are typically developed as [...] Read more.
Scientific research typically follows an iterative cycle where hypotheses are proposed, validated against experimental conclusions, and refined accordingly. While recent advances in large language models (LLMs) have enabled significant progress in automating individual stages of this process, existing systems are typically developed as standalone solutions, making it difficult to coordinate multiple research activities within a coherent research workflow. In this study, we present a modular framework for automated hypothesis validation and refinement in scientific research. Rather than introducing new task-specific models, the framework integrates established techniques, including natural language inference (NLI)-based hypothesis validation, attribution-guided hypothesis refinement, and retrieval-augmented generation (RAG)-based external evidence retrieval, into a unified and controllable workflow. We evaluate the proposed framework on scientific texts in the chemistry domain to assess its applicability in practical scientific research scenarios. Extensive experiments demonstrate the effectiveness of the proposed framework and suggest that it produces reliable intermediate signals that enhance transparency and traceability throughout hypothesis validation and refinement. Our work offers a modular solution for deploying LLM-based systems in scientific research workflows. Full article
(This article belongs to the Section Information Theory and Methodology)
Show Figures

Graphical abstract

Back to TopTop