Sign in to use this feature.

Years

Between: -

Subjects

remove_circle_outline
remove_circle_outline
remove_circle_outline
remove_circle_outline
remove_circle_outline

Journals

Article Types

Countries / Regions

Search Results (12)

Search Parameters:
Keywords = signal deinterleaving

Order results
Result details
Results per page
Select all
Export citation of selected articles as:
46 pages, 852 KB  
Systematic Review
The Intelligent Evolution of Radar Signal Deinterleaving: A Systematic Review from Foundational Algorithms to Cognitive AI Frontiers
by Zhijie Qu, Jinquan Zhang, Yuewei Zhou and Lina Ni
Sensors 2026, 26(1), 248; https://doi.org/10.3390/s26010248 - 31 Dec 2025
Viewed by 573
Abstract
The escalating complexity, density, and agility of the modern electromagnetic environment (CME) pose unprecedented challenges to radar signal deinterleaving, a cornerstone of electronic intelligence. While traditional methods face significant performance bottlenecks, the advent of artificial intelligence, particularly deep learning, has catalyzed a paradigm [...] Read more.
The escalating complexity, density, and agility of the modern electromagnetic environment (CME) pose unprecedented challenges to radar signal deinterleaving, a cornerstone of electronic intelligence. While traditional methods face significant performance bottlenecks, the advent of artificial intelligence, particularly deep learning, has catalyzed a paradigm shift. This review provides a systematic, comprehensive, and forward-looking analysis of the radar signal deinterleaving landscape, critically bridging foundational techniques with the cognitive frontiers. Previous reviews often focused on specific technical branches or predated the deep learning revolution. In contrast, our work offers a holistic synthesis. It explicitly links the evolution of algorithms to the persistent challenges of the CME. We first establish a unified mathematical framework and systematically evaluate classical approaches, such as PRI-based search and clustering algorithms, elucidating their contributions and inherent limitations. The core of our review then pivots to the deep learning-driven era, meticulously dissecting the application paradigms, innovations, and performance of mainstream architectures, including Recurrent Neural Networks (RNNs), Transformers, Convolutional Neural Networks (CNNs), and Graph Neural Networks (GNNs). Furthermore, we venture into emerging frontiers, exploring the transformative potential of self-supervised learning, meta-learning, multi-station fusion, and the integration of Large Language Models (LLMs) for enhanced semantic reasoning. A critical assessment of the current dataset landscape is also provided, highlighting the crucial need for standardized benchmarks. Finally, this paper culminates in a comprehensive comparative analysis, identifying key open challenges such as open-set recognition, model interpretability, and real-time deployment. We conclude by offering in-depth insights and a roadmap for future research, aimed at steering the field towards end-to-end intelligent and autonomous deinterleaving systems. This review is intended to serve as a definitive reference and insightful guide for researchers, catalyzing future innovation in intelligent radar signal processing. Full article
Show Figures

Figure 1

20 pages, 4760 KB  
Article
Enhanced Radar Signal Classification Using AMP and Visibility Graph for Multi-Signal Environments
by Ji-Hyeon Kim, Soon-Young Kwon and Hyoung-Nam Kim
Sensors 2024, 24(23), 7612; https://doi.org/10.3390/s24237612 - 28 Nov 2024
Cited by 3 | Viewed by 2709
Abstract
Accurately classifying and deinterleaving overlapping radar signals presents a significant challenge in complex environments, such as electronic warfare. Traditional methods, such as spectrogram-based analysis, often struggle to differentiate radar signals with similar scan patterns, particularly under low signal-to-noise ratio (SNR) conditions. To address [...] Read more.
Accurately classifying and deinterleaving overlapping radar signals presents a significant challenge in complex environments, such as electronic warfare. Traditional methods, such as spectrogram-based analysis, often struggle to differentiate radar signals with similar scan patterns, particularly under low signal-to-noise ratio (SNR) conditions. To address these limitations, we propose a novel two-stage classification framework that combines amplitude pattern (AMP) analysis and visibility graphs to enhance the accuracy and efficiency of radar signal classification. In the first stage, AMP analysis groups radar reception signals into broad categories, which reduces noise and isolates signal features. In the second stage, a visibility graph technique is applied to refine these classifications, enabling the practical separation of radar signals with overlapping or similar amplitude features. The proposed method is particularly effective in handling complex scans, such as the Palmer series, which blends search and tracking patterns. Deep learning models, including GoogLeNet and ResNet, are integrated within this framework to improve classification performance further, demonstrating robustness in low-SNR and multi-signal environments. This approach offers significant improvements over conventional methods, providing enhanced performance in differentiating radar signals across various scanning patterns in challenging multi-signal environments. Full article
Show Figures

Figure 1

18 pages, 1657 KB  
Technical Note
Emitter Signal Deinterleaving Based on Single PDW with Modulation-Hypothesis-Augmented Transformer
by Huajun Liu, Longfei Wang and Gan Wang
Remote Sens. 2024, 16(20), 3830; https://doi.org/10.3390/rs16203830 - 15 Oct 2024
Cited by 2 | Viewed by 3202
Abstract
Radar emitter signal deinterleaving based on pulse description words (PDWs) is a challenging task in the field of electronic warfare because of the parameter sparsity and uncertainty of PDWs. In this paper, a modulation-hypothesis-augmented Transformer model is proposed to identify emitters from a [...] Read more.
Radar emitter signal deinterleaving based on pulse description words (PDWs) is a challenging task in the field of electronic warfare because of the parameter sparsity and uncertainty of PDWs. In this paper, a modulation-hypothesis-augmented Transformer model is proposed to identify emitters from a single PDW with an end-to-end manner. Firstly, the pulse features are enriched by the modulation hypothesis mechanism to generate I/Q complex signals from PDWs. Secondly, a multiple-parameter embedding method is proposed to expand the signal discriminative features and to enhance the identification capability of emitters. Moreover, a novel Transformer deep learning model, named PulseFormer and composed of spectral convolution, multi-layer perceptron, and self-attention based basic blocks, is proposed for discriminative feature extraction, emitter identification, and signal deinterleaving. Experimental results on synthesized PDW dataset show that the proposed method performs better on emitter signal deinterleaving in complex environments without relying on the pulse repetition interval (PRI). Compared with other deep learning methods, the PulseFormer performs better in noisy environments. Full article
Show Figures

Figure 1

20 pages, 4304 KB  
Article
High-Quality Radar Pulse Signal Acquisition and Deinterleaving under a Low Signal-to-Noise Ratio with Multi-Layer Particle Swarm Optimization
by Song Wei, Yuyuan Fang, Chao He and Lei Zhang
Remote Sens. 2024, 16(3), 537; https://doi.org/10.3390/rs16030537 - 31 Jan 2024
Cited by 3 | Viewed by 2839
Abstract
Acquiring pulse signals of radar source is an essential component in implementing electronic support measures (ESM). The conventional signal detection or deinterleaving method are mainly applied in relatively simple environments. Currently, radar electronic reconnaissance signal processing capability is severely constrained by poor signal-to-noise [...] Read more.
Acquiring pulse signals of radar source is an essential component in implementing electronic support measures (ESM). The conventional signal detection or deinterleaving method are mainly applied in relatively simple environments. Currently, radar electronic reconnaissance signal processing capability is severely constrained by poor signal-to-noise ratio (SNR) and the interleaving of signals from various radar sources. This research develops a multi-layer particle swarm optimization (PSO) pulse extraction and deinterleaving technique to improve ESM’s efficacy further. First, coherent accumulation of the received signals is performed using PSO to obtain higher SNR pulse. Second, the signals from this radar source are deinterleaved using the obtained pulse. Ultimately, the aforementioned procedures are combined into a multi-layer PSO architecture to capture radar source signals and deinterleaving them at low SNRs. The suggested algorithm’s efficacy and robustness are confirmed through simulation experiments. Full article
(This article belongs to the Section Engineering Remote Sensing)
Show Figures

Graphical abstract

13 pages, 1956 KB  
Article
A Multi-Objective Genetic Algorithm Approach for Silicon Photonics Design
by Hany Mahrous, Mostafa Fedawy, Mira Abboud, Ahmed Shaker, W. Fikry and Michael Gad
Photonics 2024, 11(1), 80; https://doi.org/10.3390/photonics11010080 - 16 Jan 2024
Cited by 12 | Viewed by 3117
Abstract
A multi-objective genetic algorithm approach is formulated to optimize the design of silicon-photonics complex circuits with contradicting performance metrics and no closed-form expression for the circuit performance. A case study is the interleaver/deinterleaver circuit which mixes/separates optical signals into/from different physical channels while [...] Read more.
A multi-objective genetic algorithm approach is formulated to optimize the design of silicon-photonics complex circuits with contradicting performance metrics and no closed-form expression for the circuit performance. A case study is the interleaver/deinterleaver circuit which mixes/separates optical signals into/from different physical channels while preserving the wavelength-division-multiplexing specifications. These specifications are given as channel spacing of 50 GHz, channel 3-dB bandwidth of at least 20 GHz, channel free spectral range of 100 GHz, crosstalk of −23 dB or less, and signal dispersion less than 30 ps/nm. The essence of the proposed approach lies in the formulation of the fitness functions and the selection criteria to optimize the values of the three coupling coefficients, which govern the circuit performance, in order to accommodate the contradicting performance metrics of the circuit. The proposed approach achieves the optimal design in an incomparably short period of time when contrasted with the previous tedious design method based on employing Z-transform and visual inspection of the transmission poles and zeros. Full article
(This article belongs to the Special Issue Emerging Topics in Structured Light)
Show Figures

Figure 1

15 pages, 3010 KB  
Article
A Novel Batch Streaming Pipeline for Radar Emitter Classification
by Dong Hyun Park, Dong-Ho Seo, Jee-Hyeon Baek, Won-Jin Lee and Dong Eui Chang
Appl. Sci. 2023, 13(22), 12395; https://doi.org/10.3390/app132212395 - 16 Nov 2023
Cited by 3 | Viewed by 2475
Abstract
In electronic warfare, radar emitter classification plays a crucial role in identifying threats in complex radar signal environments. Traditionally, this has been achieved using heuristic-based methods and handcrafted features. However, these methods struggle to adapt to the complexities of modern combat environments and [...] Read more.
In electronic warfare, radar emitter classification plays a crucial role in identifying threats in complex radar signal environments. Traditionally, this has been achieved using heuristic-based methods and handcrafted features. However, these methods struggle to adapt to the complexities of modern combat environments and varying radar signal characteristics. To address these challenges, this paper introduces a novel batch streaming pipeline for radar emitter classification. Our pipeline consists of two key components: radar deinterleaving and radar pattern recognition. We leveraged the DBSCAN algorithm and an RNN encoder, which are relatively light and simple models, considering the limited hardware resource environment of a military weapon system. Although we chose to utilize lightweight machine learning and deep learning models, we designed our pipeline to perform optimally through hyperparameter optimization of each component. We demonstrate the effectiveness of our proposed model and pipeline through experimental validation and analysis. Overall, this paper provides background knowledge on each model, introduces the proposed pipeline, and presents experimental results. Full article
(This article belongs to the Section Electrical, Electronics and Communications Engineering)
Show Figures

Figure 1

22 pages, 5776 KB  
Article
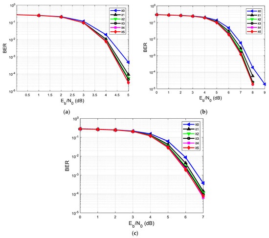
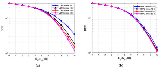
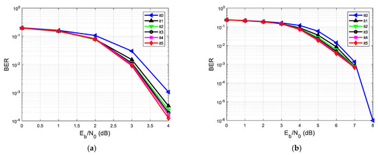
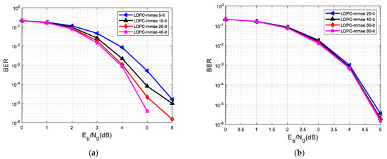
Iterative Equalization and Decoding over an Additive White Gaussian Noise Channel with ISI Using Low-Density Parity-Check Codes
by Adriana-Maria Cuc, Florin Lucian Morgoș, Adriana-Marcela Grava and Cristian Grava
Appl. Sci. 2023, 13(22), 12294; https://doi.org/10.3390/app132212294 - 14 Nov 2023
Cited by 3 | Viewed by 2449
Abstract
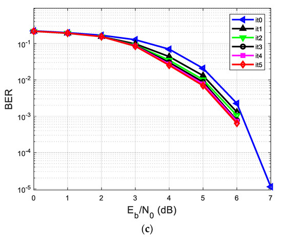
In this article we present an iterative system of equalization and decoding to manage the intersymbol interference over an additive white Gaussian noise (AWGN) channel. Following the classic turbo equalization scheme, the proposed system consists of low-density parity-check (LDPC) coding at the transmitter [...] Read more.
In this article we present an iterative system of equalization and decoding to manage the intersymbol interference over an additive white Gaussian noise (AWGN) channel. Following the classic turbo equalization scheme, the proposed system consists of low-density parity-check (LDPC) coding at the transmitter side; we applied a Log maximum a posteriori probability (Log-MAP) equalizer and min-sum LDPC decoding at the receiver side. The equalizer and decoder, linked through interleaving and deinterleaving, iteratively update each other’s information. We performed the performance analysis of the proposed system, bit error rate (BER) vs. signal-to-noise ratio (SNR), considering three different impulse responses of the channel (h). Our experimental results indicated that increasing the number of iterations performed by the LDPC decoder from 10 to 20 during the iterative process of equalization and decoding leads to better outcomes. The proposed system was compared with turbo equalization and separate equalization, performed before the decoding process with minimum mean-square error (MMSE) and LDPC decoding, in terms of BER vs. SNR, considering the three different h. Based on the analyzed results, it can be concluded that the equalization performance depends on both the impulse responses of the channel and the chosen decoding and equalization method; therefore, the equalization method does not always offer good results for any h. Full article
Show Figures

Figure 1

19 pages, 686 KB  
Article
An Efficient Algorithm for De-Interleaving Staggered PRI Signals
by Wenhai Cheng, Qunying Zhang, Jiaming Dong, Haiying Wang and Xiaojun Liu
Appl. Sci. 2023, 13(13), 7977; https://doi.org/10.3390/app13137977 - 7 Jul 2023
Cited by 3 | Viewed by 3110
Abstract
Resolution and mapping bandwidth are the two most important image performance indicators that reflect satellite synthetic aperture radar (SAR) imaging reconnaissance capability. The PRI-staggered signal can simultaneously achieve high resolution in azimuth and wide swath during SAR imaging, and is an important signal [...] Read more.
Resolution and mapping bandwidth are the two most important image performance indicators that reflect satellite synthetic aperture radar (SAR) imaging reconnaissance capability. The PRI-staggered signal can simultaneously achieve high resolution in azimuth and wide swath during SAR imaging, and is an important signal form of SAR. It is important for anti-SAR reconnaissance to de-interleave the staggered PRI signal from the mixed signals. To address the problem that the existing staggered signal de-interleaving algorithms cannot accommodate PRI jitter and are computationally inefficient, this paper proposes an efficient algorithm for de-interleaving staggered PRI signals. A clustering-based square sine wave interpolation method and a threshold criterion are proposed, improving computational efficiency while suppressing interference between sub-PRIs and the frame period of the staggered PRI signal. In addition, a sequence retrieval algorithm incorporating matched filter theory is proposed to improve the separation accuracy of radar pulse sequences. The simulation shows that the novel algorithm can adapt to PRI jitter and de-interleave staggered PRI signals from mixed signals with high efficiency. Compared with the existing staggered signal de-interleaving algorithm, the computational efficiency is improved by an order of magnitude. Full article
(This article belongs to the Topic Radar Signal and Data Processing with Applications)
Show Figures

Figure 1

18 pages, 4546 KB  
Article
Sep-RefineNet: A Deinterleaving Method for Radar Signals Based on Semantic Segmentation
by Yongjiang Mao, Wenjuan Ren, Xipeng Li, Zhanpeng Yang and Wei Cao
Appl. Sci. 2023, 13(4), 2726; https://doi.org/10.3390/app13042726 - 20 Feb 2023
Cited by 8 | Viewed by 5363
Abstract
With the progress of signal processing technology and the emergence of new system radars, the space electromagnetic environment becomes more and more complex, which puts forward higher requirements for the deinterleaving method of radar signals. Traditional signal deinterleaving algorithms rely heavily on manual [...] Read more.
With the progress of signal processing technology and the emergence of new system radars, the space electromagnetic environment becomes more and more complex, which puts forward higher requirements for the deinterleaving method of radar signals. Traditional signal deinterleaving algorithms rely heavily on manual experience threshold and have poor robustness. To address this problem, we designed an intelligent radar signal deinterleaving algorithm that was completed by encoding the frequency characteristic matrix and semantic segmentation network, named Sep-RefineNet. The frequency characteristic matrix can well construct the semantic features of different pulse streams of radar signals. The Sep-RefineNet semantic segmentation network can complete pixel-level segmentation of the frequency characteristic matrix and finally uses position decoding and verification to obtain the position in the original pulse stream to complete radar signals deinterleaving. The proposed method avoids the processing of threshold judgment and pulse sequence search in traditional methods. The results of the experiment show that this algorithm improves the deinterleaving accuracy and has a good against-noise ability of aliasing pulses and missing pulses. Full article
Show Figures

Figure 1

17 pages, 859 KB  
Article
Cooperative Electromagnetic Data Annotation via Low-Rank Matrix Completion
by Wei Zhang, Jian Yang, Qiang Li, Jingran Lin, Huaizong Shao and Guomin Sun
Remote Sens. 2023, 15(1), 121; https://doi.org/10.3390/rs15010121 - 26 Dec 2022
Cited by 2 | Viewed by 2085
Abstract
Electromagnetic data annotation is one of the most important steps in many signal processing applications, e.g., radar signal deinterleaving and radar mode analysis. This work considers cooperative electromagnetic data annotation from multiple reconnaissance receivers/platforms. By exploiting the inherent correlation of the electromagnetic signal, [...] Read more.
Electromagnetic data annotation is one of the most important steps in many signal processing applications, e.g., radar signal deinterleaving and radar mode analysis. This work considers cooperative electromagnetic data annotation from multiple reconnaissance receivers/platforms. By exploiting the inherent correlation of the electromagnetic signal, as well as the correlation of the observations from multiple receivers, a low-rank matrix recovery formulation is proposed for the cooperative annotation problem. Specifically, considering the measured parameters of the same emitter should be roughly the same at different platforms, the cooperative annotation is modeled as a low-rank matrix recovery problem, which is solved iteratively either by the rank minimization method or the maximum-rank decomposition method. A comparison of the two methods, with the traditional annotation method on both the synthetic and real data, is given. Numerical experiments show that the proposed methods can effectively recover missing annotations and correct annotation errors. Full article
(This article belongs to the Special Issue Radar Techniques and Imaging Applications)
Show Figures

Figure 1

20 pages, 2759 KB  
Article
Estimating the Instantaneous Frequency of Linear and Nonlinear Frequency Modulated Radar Signals—A Comparative Study
by Hubert Milczarek, Czesław Leśnik, Igor Djurović and Adam Kawalec
Sensors 2021, 21(8), 2840; https://doi.org/10.3390/s21082840 - 17 Apr 2021
Cited by 29 | Viewed by 5411
Abstract
Automatic modulation recognition plays a vital role in electronic warfare. Modern electronic intelligence and electronic support measures systems are able to automatically distinguish the modulation type of an intercepted radar signal by means of real-time intra-pulse analysis. This extra information can facilitate deinterleaving [...] Read more.
Automatic modulation recognition plays a vital role in electronic warfare. Modern electronic intelligence and electronic support measures systems are able to automatically distinguish the modulation type of an intercepted radar signal by means of real-time intra-pulse analysis. This extra information can facilitate deinterleaving process as well as be utilized in early warning systems or give better insight into the performance of hostile radars. Existing modulation recognition algorithms usually extract signal features from one of the rudimentary waveform characteristics, namely instantaneous frequency (IF). Currently, there are a small number of studies concerning IF estimation methods, specifically for radar signals, whereas estimator accuracy may adversely affect the performance of the whole classification process. In this paper, five popular methods of evaluating the IF–law of frequency modulated radar signals are compared. The considered algorithms incorporate the two most prevalent estimation techniques, i.e., phase finite differences and time-frequency representations. The novel approach based on the generalized quasi-maximum likelihood (QML) method is also proposed. The results of simulation experiments show that the proposed QML estimator is significantly more accurate than the other considered techniques. Furthermore, for the first time in the publicly available literature, multipath influence on IF estimates has been investigated. Full article
(This article belongs to the Special Issue Microwave Sensors and Radar Techniques)
Show Figures

Figure 1

17 pages, 286 KB  
Article
Physical Layer Design in Wireless Sensor Networks for Fading Mitigation
by Stevan Berber and Nuo Chen
J. Sens. Actuator Netw. 2013, 2(3), 614-630; https://doi.org/10.3390/jsan2030614 - 2 Sep 2013
Cited by 10 | Viewed by 9789
Abstract
This paper presents the theoretical analysis, simulation results and suggests design in digital technology of a physical layer for wireless sensor networks. The proposed design is able to mitigate fading inside communication channel. To mitigate fading the chip interleaving technique is proposed. For [...] Read more.
This paper presents the theoretical analysis, simulation results and suggests design in digital technology of a physical layer for wireless sensor networks. The proposed design is able to mitigate fading inside communication channel. To mitigate fading the chip interleaving technique is proposed. For the proposed theoretical model of physical layer, a rigorous mathematical analysis is conducted, where all signals are presented and processed in discrete time domain form which is suitable for further direct processing necessary for devices design in digital technology. Three different channels are used to investigate characteristics of the physical layer: additive white Gaussian noise channel (AWGN), AWG noise and flat fading channel and AWG noise and flat fading channel with interleaver and deinterleaver blocks in the receiver and transmitter respectively. Firstly, the mathematical model of communication system representing physical layer is developed based on the discrete time domain signal representation and processing. In the existing theory, these signals and their processing are represented in continuous time form, which is not suitable for direct implementation in digital technology. Secondly, the expressions for the probability of chip, symbol and bit error are derived. Thirdly, the communication system simulators are developed in MATLAB. The simulation results confirmed theoretical findings. Full article
(This article belongs to the Special Issue Feature Papers)
Show Figures

Figure 1

Back to TopTop