Sign in to use this feature.

Years

Between: -

Subjects

remove_circle_outline
remove_circle_outline
remove_circle_outline
remove_circle_outline
remove_circle_outline
remove_circle_outline
remove_circle_outline

Journals

Article Types

Countries / Regions

Search Results (15)

Search Parameters:
Keywords = seismic floor velocities

Order results
Result details
Results per page
Select all
Export citation of selected articles as:
23 pages, 2779 KB  
Article
Seismic Response Analysis of a Six-Story Building in Sofia Using Accelerograms from the 2012 Mw5.6 Pernik Earthquake
by Lyubka Pashova, Emil Oynakov, Ivanka Paskaleva and Radan Ivanov
Appl. Sci. 2025, 15(15), 8385; https://doi.org/10.3390/app15158385 - 28 Jul 2025
Viewed by 1036
Abstract
On 22 May 2012, a magnitude Mw 5.6 earthquake struck the Pernik region of western Bulgaria, causing structural damage in nearby cities, including Sofia. This study assesses the seismic response of a six-story reinforced concrete building in central Sofia, utilizing real accelerogram data [...] Read more.
On 22 May 2012, a magnitude Mw 5.6 earthquake struck the Pernik region of western Bulgaria, causing structural damage in nearby cities, including Sofia. This study assesses the seismic response of a six-story reinforced concrete building in central Sofia, utilizing real accelerogram data recorded at the basement (SGL1) and sixth floor (SGL2) levels during the earthquake. Using the Kanai–Yoshizawa (KY) model, the study estimates inter-story motion and assesses amplification effects across the structure. Analysis of peak ground acceleration (PGA), velocity (PGV), displacement (PGD), and spectral ratios reveals significant dynamic amplification of peak ground acceleration and displacement on the sixth floor, indicating flexible and dynamic behavior, as well as potential resonance effects. The analysis combines three spectral techniques—Horizontal-to-Vertical Spectral Ratio (H/V), Floor Spectral Ratio (FSR), and the Random Decrement Method (RDM)—to determine the building’s dynamic characteristics, including natural frequency and damping ratio. The results indicate a dominant vibration frequency of approximately 2.2 Hz and damping ratios ranging from 3.6% to 6.5%, which is consistent with the typical damping ratios of mid-rise concrete buildings. The findings underscore the significance of soil–structure interaction (SSI), particularly in sedimentary basins like the Sofia Graben, where localized geological effects influence seismic amplification. By integrating accelerometric data with advanced spectral techniques, this research can enhance ongoing site-specific monitoring and seismic design practices, contributing to the refinement of earthquake engineering methodologies for mitigating seismic risk in earthquake-prone urban areas. Full article
(This article belongs to the Special Issue Seismic-Resistant Materials, Devices and Structures)
Show Figures

Figure 1

28 pages, 6582 KB  
Article
Experimental Study on Dynamic Response Characteristics of Rural Residential Buildings Subjected to Blast-Induced Vibrations
by Jingmin Pan, Dongli Zhang, Zhenghua Zhou, Jiacong He, Long Zhang, Yi Han, Cheng Peng and Sishun Wang
Buildings 2025, 15(14), 2511; https://doi.org/10.3390/buildings15142511 - 17 Jul 2025
Viewed by 552
Abstract
Numerous rural residential buildings exhibit inadequate seismic performance when subjected to blast-induced vibrations, which poses potential threats to their overall stability and structural integrity when in proximity to blasting project sites. The investigation conducted in conjunction with the Qianshi Mountain blasting operations along [...] Read more.
Numerous rural residential buildings exhibit inadequate seismic performance when subjected to blast-induced vibrations, which poses potential threats to their overall stability and structural integrity when in proximity to blasting project sites. The investigation conducted in conjunction with the Qianshi Mountain blasting operations along the Wenzhou segment of the Hangzhou–Wenzhou High-Speed Railway integrates household field surveys and empirical measurements to perform modal analysis of rural residential buildings through finite element simulation. Adhering to the principle of stratified arrangement and composite measurement point configuration, an effective and reasonable experimental observation framework was established. In this investigation, the seven-story rural residential building in adjacent villages was selected as the research object. Strong-motion seismographs were strategically positioned adjacent to frame columns on critical stories (ground, fourth, seventh, and top floors) within the observational system to acquire test data. Methodical signal processing techniques, including effective signal extraction, baseline correction, and schedule conversion, were employed to derive temporal dynamic characteristics for each story. Combined with the Fourier transform, the frequency–domain distribution patterns of different floors are subsequently obtained. Leveraging the structural dynamic theory, time–domain records were mathematically converted to establish the structure’s maximum response spectra under blast-induced loading conditions. Through the analysis of characteristic curves, including floor acceleration response spectra, dynamic amplification coefficients, and spectral ratios, the dynamic response patterns of rural residential buildings subjected to blast-induced vibrations have been elucidated. Following the normalization of peak acceleration and velocity parameters, the mechanisms underlying differential floor-specific dynamic responses were examined, and the layout principles of measurement points were subsequently formulated and summarized. These findings offer valuable insights for enhancing the seismic resilience and structural safety of rural residential buildings exposed to blast-induced vibrations, with implications for both theoretical advancements and practical engineering applications. Full article
(This article belongs to the Special Issue Seismic Analysis and Design of Building Structures)
Show Figures

Figure 1

18 pages, 8691 KB  
Article
Correlation of the Near-Fault Pulse-like Ground Motion Characteristics with the Vulnerability of Buildings
by Ali Majdi, Denise-Penelope N. Kontoni and Hamad Almujibah
Buildings 2024, 14(9), 2801; https://doi.org/10.3390/buildings14092801 - 6 Sep 2024
Cited by 4 | Viewed by 2039
Abstract
Determining the impact of pulse-type earthquake characteristics on the vulnerability of base-isolated buildings under non-pounding conditions has yielded conflicting results in previous studies. Moreover, this issue has received less attention for pounding conditions, especially floor-to-floor pounding. Therefore, this study aims to investigate the [...] Read more.
Determining the impact of pulse-type earthquake characteristics on the vulnerability of base-isolated buildings under non-pounding conditions has yielded conflicting results in previous studies. Moreover, this issue has received less attention for pounding conditions, especially floor-to-floor pounding. Therefore, this study aims to investigate the correlation between pulse-type earthquake characteristics and the seismic response of buildings under both pounding and non-pounding conditions. In the first stage, three base-isolated buildings and one fixed-base building are analyzed separately under 40 pulse-type earthquakes using the nonlinear time history method. Three scenarios are then considered to account for pounding with adjacent buildings. In the first pounding scenario, a base-isolated building with an intermediate moment frame (IMF) is placed between two fixed-base buildings. The second scenario involves changing the base-isolated building’s superstructure system to a special moment frame (SMF). Finally, the third scenario increases the base isolation period (Tb) of the base-isolated building used in scenario two. The correlation between earthquake characteristics and the seismic response of buildings is assessed by linear regression and the Pearson correlation coefficient. The results demonstrate that peak ground acceleration (PGA) has a strong correlation with the seismic response of buildings under pounding conditions, while peak ground velocity (PGV) shows a stronger correlation under non-pounding conditions. However, predicting building vulnerability with a single pulse-type earthquake characteristic remains unreliable unless a large number of ground motions are considered. Otherwise, it is crucial to consider the correlation of all earthquake characteristics with seismic responses. Full article
(This article belongs to the Special Issue Applications of Computational Methods in Structural Engineering)
Show Figures

Figure 1

13 pages, 4118 KB  
Article
A Simple and Effective Method to Evaluate Seismic Maximum Floor Velocities for Steel-Framed Structures with Supplementary Dampers
by Alexia Kosmidou, Foteini Konstandakopoulou, Nikos Pnevmatikos, Panagiotis G. Asteris and George Hatzigeorgiou
Appl. Mech. 2023, 4(4), 1114-1126; https://doi.org/10.3390/applmech4040057 - 24 Oct 2023
Cited by 2 | Viewed by 1836
Abstract
A new method to evaluate the maximum seismic story velocities for steel buildings is examined here. It is well known that story velocities are vital parameters for the design of steel structures with supplementary dampers. It has been recognized that nonlinear time history [...] Read more.
A new method to evaluate the maximum seismic story velocities for steel buildings is examined here. It is well known that story velocities are vital parameters for the design of steel structures with supplementary dampers. It has been recognized that nonlinear time history analysis is required to achieve an accurate evaluation of actual velocities, but this approach seems to be complicated and time-consuming for practical engineers. For this reason, this paper investigates the inelastic velocity ratio, which can be defined as the ratio of the maximum inelastic velocity to the maximum elastic one for steel buildings. The knowledge of this ratio, a unique factor for the whole structure, can be used to evaluate the maximum inelastic story velocities directly from the elastic counterparts. The proposed study is general and can be used in both ordinary steel structures as well as steel structures with supplemental damping devices. Widespread parametric studies are executed to achieve simple yet effective expressions for inelastic velocity ratios. Full article
(This article belongs to the Topic Advances on Structural Engineering, 2nd Volume)
Show Figures

Figure 1

20 pages, 11225 KB  
Article
A Method for Defining Sedimentary Characteristics and Distributions and Its Application in Qinnan Depression, Bohai Bay Basin
by Zehua Zhang, Chunqiang Xu, Chenjie Wang, Hong Li, Wensen Zhu, Hongliang Wang, Kaixuan Liang and Yong Su
Processes 2023, 11(9), 2539; https://doi.org/10.3390/pr11092539 - 24 Aug 2023
Viewed by 1585
Abstract
A new method incorporating geophysical analysis and geological analysis is proposed to define the sedimentary characteristics and distributions in basins with few drilling wells to promote the exploration of reservoirs. This method is applied to a study, through which its principles, closed-loop workflow [...] Read more.
A new method incorporating geophysical analysis and geological analysis is proposed to define the sedimentary characteristics and distributions in basins with few drilling wells to promote the exploration of reservoirs. This method is applied to a study, through which its principles, closed-loop workflow and technologies are introduced in detail and the sedimentary characteristics and distributions of the study area are accurately defined. During the application process of the method, a compatible geological model is established, based on which the seismic data are interpreted and the results derived from the interpretation are further verified via seismic forward modeling. The study results exhibit a successive sand-rich deposition from the retrogradational gully-filling gravity flow deposition including near-shore fans, slope fans and basin-floor fans delimited by different slope break belts in transgressive sequences to the progradational delta deposition in a retrogressive sequence including braided river deltas with a long extension distance and fan deltas developed along a steep slope belt. And the potential reservoirs are located at the point-out sites of sand bodies with lower average P-wave velocities than those of muddy sediments. The proposition and application of this method are of great significance for oil and gas exploration. Full article
(This article belongs to the Special Issue Physical, Chemical and Biological Processes in Energy Geoscience)
Show Figures

Figure 1

19 pages, 6586 KB  
Article
Geophysical Characterization and Attenuation Correction Applied for Hydrate Bearing Sediments in Japan Sea
by Luiz Alberto Santos, Ryo Matsumoto, Fernanda Darcle Silva Freitas and Marco Antonio Cetale Santos
Minerals 2023, 13(5), 655; https://doi.org/10.3390/min13050655 - 10 May 2023
Cited by 5 | Viewed by 2030
Abstract
Estimation of rock properties from seismic data is important for exploration and production activities in the petroleum industry. Considering the compressional velocity—the speed of propagating body waves in formations—and the quality factor (Q)—a measure of the frequency-selective energy losses of waves propagating through [...] Read more.
Estimation of rock properties from seismic data is important for exploration and production activities in the petroleum industry. Considering the compressional velocity—the speed of propagating body waves in formations—and the quality factor (Q)—a measure of the frequency-selective energy losses of waves propagating through formations—both properties are usually estimated from multichannel seismic data. Velocity is estimated during multichannel processing of seismic reflection data in either the time or depth domain. In marine seismic acquisition, Q can be estimated from the following sources: Vertical Seismic Profile (VSP) surveys, where sources are located near the sea surface and geophones are distributed at depth along a borehole; and multichannel reflection data, where sources are also located near the sea surface and receivers are distributed either at the sea surface (conventional seismic survey with streamers) or on the sea floor (use of nodes or Ocean Bottom Cables (OBC)). The aforementioned acquisition devices, VSP, conventional streamers, nodes, and OBCs are much more expensive than single-channel acquisition with one receiver per shot due to the cost of operation. There are numerous old and new datasets from academia and the oil industry that have been acquired with single-channel acquisition devices. However, there is a paucity of work addressing the estimation of velocity and Q from this type of equipment. We investigate the estimation of Q and velocity from single-channel seismic data. Using the windowed discrete Fourier transform for a single seismic trace, we calculate the peak and dominant frequency that changes with time. In the geologic environment, higher frequencies are attenuated at shallow depths (time), while lower frequencies remain at deeper positions. From the rate at which higher frequencies are attenuated with time, we estimate the effective quality factor (Qeff). However, when using Kirchhoff migration to process single-channel seismic data, events far from the vertical projection of the receiver contribute to the trace at a given time. Then, an underestimation of the effective quality factor occurs. To compensate for the effects of more distant events with lower-frequency content contaminating the shorter events, we propose a linear equation to correct the effective quality factor estimated from migrated seismic data. Effective Q and its correction are estimated in five single-channel seismic lines surveyed along the Joetsu Knoll, a SW-NE anticline structure on the eastern margin of the Sea of Japan. These results are linked to geomorphological and geological features and the velocity field. Joetsu Knoll is a known site of massive gas hydrates (GH), which occur in the first hundred metres of Neogene sediments and, together with gas chimneys, play an important role in seismic wave absorption. Qeff estimated from migrated seismic data maintains the spatial relationship between high and low Q regions. The region of low Q, which is below 124 and has an average value of 57, occurs near the anticlinal hinge and tends to coincide with the region in which the Bottom Simulating Reflector (BSR) resides. The coexistence of GH and free gas coincides with the very low P velocity gradient of 0.225 s−1. BSR occurrence, Qeff and the geometry of the Joetsu anticline testify to progressive gas hydrate depletion northward along the dome. Full article
Show Figures

Figure 1

23 pages, 7972 KB  
Article
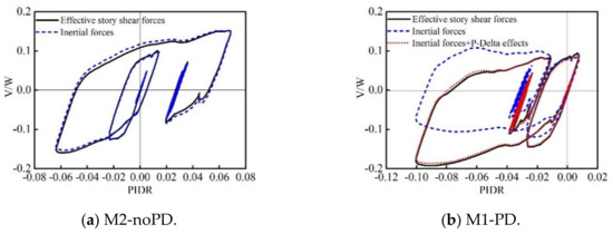
P-Delta Effects on Nonlinear Seismic Behavior of Steel Moment-Resisting Frame Structures Subjected to Near-Fault and Far-Fault Ground Motions
by Hu Cheng, Rui Zhang, Tao Zhang, Haitao Wang, Chunxu Qu and Pengbo Zhang
Buildings 2022, 12(2), 205; https://doi.org/10.3390/buildings12020205 - 11 Feb 2022
Cited by 7 | Viewed by 3626
Abstract
This paper presents a comparison of P-Delta effects on the nonlinear seismic behavior of the steel moment-resisting frame structures (MRFs) subjected to near-fault and far-fault ground motions. The 3-, 9- and 20-story MRFs designed for the American SAC Phase II Steel Project are [...] Read more.
This paper presents a comparison of P-Delta effects on the nonlinear seismic behavior of the steel moment-resisting frame structures (MRFs) subjected to near-fault and far-fault ground motions. The 3-, 9- and 20-story MRFs designed for the American SAC Phase II Steel Project are used as benchmark models. The 40 near-fault ground motions with large velocity pulses, as well as ten typical far-fault ground motions, are selected and scaled for the nonlinear time-history analysis. The P-Delta effect is quantified based on peak inter-story drift ratio (PIDR) demands. The displacement demands of the whole structure and the distortion of the structural components are compared and analyzed. It was found that, at each floor, the P-Delta effect under near-fault ground motions is more significant than that under the far-fault ground motions. The P-Delta effect under near-fault ground motions also increases more rapidly with decreasing structure height even for low-rise structures or low earthquake intensity. It was also found that the P-Delta effect cause the PIDR demands to increase by 10% for all three structures subjected to far-fault ground motions. In contrast, considering the P-Delta effect, the PIDR demands rapidly increase by 45% for the high-rise building subjected to near-fault ground motions. Note that the increasing PIDR demands occur at the weakest floor and with the stronger earthquake intensity. However, the P-Delta effect does not change the location of the weakest floor and the yield sequence of components. The seismic behaviors under far-fault and near-fault ground motions are significantly different, because near-fault ground motions not only have velocity pulse but also possibly trigger structural higher vibration modes. In addition, the P-Delta effect may change the distortion direction of the components so that the prediction of the structural collapse direction may be affected. In addition, it was found that if the structure’s period is near the pulse period, the P-Delta effect becomes more significant with the increase of earthquake intensity, and accordingly, it should not be ignored. Moreover, the P-Delta effect cannot be neglected either for the structures susceptible to near-fault ground motions, even if those structures are not tall or the earthquake intensity is not strong. Full article
Show Figures

Figure 1

13 pages, 6479 KB  
Article
The Source Characteristics of the Mw6.4, 2016 Meinong Taiwan Earthquake from Teleseismic Data Using the Hybrid Homomorphic Deconvolution Method
by Boi-Yee Liao, Huey-Chu Huang and Sen Xie
Appl. Sci. 2022, 12(1), 494; https://doi.org/10.3390/app12010494 - 4 Jan 2022
Cited by 4 | Viewed by 2599
Abstract
The kinematic source rupture process of the 2016 Meinong earthquake (Mw = 6.4) in Taiwan was derived from apparent source time functions retrieved from teleseismic S-waves by using a refined homomorphic deconvolution method. The total duration of the rupture process was approximately [...] Read more.
The kinematic source rupture process of the 2016 Meinong earthquake (Mw = 6.4) in Taiwan was derived from apparent source time functions retrieved from teleseismic S-waves by using a refined homomorphic deconvolution method. The total duration of the rupture process was approximately 15 s, and one slip-concentrated area can be represented as the source model based on images representing static slip distribution. The rupture process began in a down-dip direction from the fault toward Tainan City, strongly suggesting that the rupture had a unilateral northwestern direction. The asperity with an area of approximately 15 × 15 km2 and the maximum slip of approximately 2 m were centered 12.8 km northwest of the hypocenter. Coseismic vertical deformation was calculated based on the source model. Compared with the results derived from InSAR (Interferometric Synthetic Aperture Radar) data, our results demonstrated that the location with maximum uplift was accurately well detected, but our maximum value was just approximately 0.4 times of the InSAR-derived value. It reveals that there are the other mechanisms to affect the vertical deformation, rather than only depending on the source model. At different depths, areas west, east, and north of the hypocenter maintained high values of Coulomb stress changes. This explains the mechanism behind aftershocks being triggered and provides a reference for predicting aftershock locations after a large earthquake. The estimated seismic spectral intensities, including spectral acceleration and velocity intensity (SIa and SIv), were derived. Source directivity effects caused damage to buildings, and we concluded that all damaged buildings were located within a SIa value of 400 gal. Destroyed buildings taller than seven floors were located in an area with a SIv value of 30 cm/s. These observations agree with those on damages caused by the 2010 Jiasian earthquake (ML 6.4) in Tainan, Taiwan. Full article
(This article belongs to the Special Issue Advanced Measures for Earthquake and Tsunami Disaster Mitigation)
Show Figures

Figure 1

18 pages, 12123 KB  
Article
Optimal Earthquake Intensity Measures for Probabilistic Seismic Demand Models of Base-Isolated Nuclear Power Plant Structures
by Duy-Duan Nguyen, Tae-Hyung Lee and Van-Tien Phan
Energies 2021, 14(16), 5163; https://doi.org/10.3390/en14165163 - 20 Aug 2021
Cited by 15 | Viewed by 3306
Abstract
The purpose of this study is to evaluate the optimal earthquake intensity measures (IMs) for probabilistic seismic demand models (PSDMs) of the base-isolated nuclear power plant (NPP) structures. The numerical model of NPP structures is developed using a lumped-mass stick model, in which [...] Read more.
The purpose of this study is to evaluate the optimal earthquake intensity measures (IMs) for probabilistic seismic demand models (PSDMs) of the base-isolated nuclear power plant (NPP) structures. The numerical model of NPP structures is developed using a lumped-mass stick model, in which a bilinear model is employed to simulate the force-displacement relations of base isolators. In this study, 20 different IMs are considered and 90 ground motion records are used to perform time-history analyses. The seismic engineering demand parameters (EDPs) are monitored in terms of maximum floor displacement (MFD), the maximum floor acceleration (MFA) of the structures, and maximum isolator displacement (MID). As a result, a set of PSDMs of the base-isolated structure is developed based on three EDPs (i.e., MFD, MFA, and MID) associated with 20 IMs. Four statistical parameters including the coefficient of determination, efficiency (i.e., standard deviation), practicality, and proficiency are then calculated to evaluate optimal IMs for seismic performances of the isolated NPP structures. The results reveal that the optimal IMs for PSDMs with respect to MFD and MID are velocity spectrum intensity, Housner intensity, peak ground velocity, and spectral velocity at the fundamental period. Meanwhile, peak ground acceleration, acceleration spectrum intensity, A95, effective peak acceleration, and sustained maximum acceleration are efficient IMs for PSDMs with respect to MFA of the base-isolated structures. On the other hand, cumulative absolute velocity is not recommended for determining the exceedance of the operating basis earthquake of base-isolated NPP structures. Full article
(This article belongs to the Special Issue Seismic Isolation of Nuclear Power Plants)
Show Figures

Figure 1

15 pages, 2598 KB  
Article
Research on Improved Seismic Instrumentation System for Nuclear Power Plants
by Liang Li, Xiuli Du, Rong Pan, Xiuyun Zhu and Haiyan Luan
Energies 2021, 14(14), 4262; https://doi.org/10.3390/en14144262 - 14 Jul 2021
Cited by 1 | Viewed by 2466
Abstract
According to the requirements of nuclear safety regulations, nuclear power plants must be equipped with seismic instrumentation systems, which are mainly used for monitoring alarm and automatic shutdown alarm during an earthquake. Both the second and third generation NPPs adopt Peak Ground Acceleration [...] Read more.
According to the requirements of nuclear safety regulations, nuclear power plants must be equipped with seismic instrumentation systems, which are mainly used for monitoring alarm and automatic shutdown alarm during an earthquake. Both the second and third generation NPPs adopt Peak Ground Acceleration (PGA). However, among the seismic acceleration characteristics, isolated and prominent single high frequency acceleration peaks have no decisive influence on the seismic response. Especially when the earthquake monitoring alarm is at 1 out of 7, it is likely to cause a false alarm or false shutdown. In addition, it usually takes one month or more for the NPPs to restart after the shutdown. In this paper, an improved seismic instrumentation system based on the existing system is proposed. For high intensity areas, three components resultant acceleration is used to judge the 2 out of 4 logic of the automatic seismic trip system(ASTS). For low intensity areas, the seismic failure level is evaluated quickly by using three components resultant acceleration, seismic instrument intensity, cumulative absolute velocity, floor response spectrum and other multi-parameters, avoiding unnecessary and long-term shutdown inspection. Full article
(This article belongs to the Special Issue Design and Safety Issues of Nuclear Plants and Installations)
Show Figures

Figure 1

20 pages, 9862 KB  
Article
Active Tectonics of the Frontal Himalayas: An Example from the Manzai Ranges in the Recess Setting, Western Pakistan
by Kamil A. Qureshi and Shuhab D. Khan
Remote Sens. 2020, 12(20), 3362; https://doi.org/10.3390/rs12203362 - 15 Oct 2020
Cited by 13 | Viewed by 7427
Abstract
The Himalayan main frontal thrust (MFT) accommodates most of the present-day Indo–Asia convergence with related periodic earthquakes. The seismicity and deformation mechanism varies considerably across the frontal Himalayas. We mapped a segment (Manzai Ranges) of the MFT at the western margin of the [...] Read more.
The Himalayan main frontal thrust (MFT) accommodates most of the present-day Indo–Asia convergence with related periodic earthquakes. The seismicity and deformation mechanism varies considerably across the frontal Himalayas. We mapped a segment (Manzai Ranges) of the MFT at the western margin of the Himalayas and analyzed its deformation mechanism and active tectonics using geomorphic indices and the Interferometric Synthetic Aperture Radar (InSAR) Small Baseline Subset (SBAS) technique. Two frontal thrust faults (Khirgi and Jandola) were mapped using Sentinel-2B band ratios in the study area. Water gaps were present in the form of deflected streams at the tip of the growing anticlines. The C-band RADAR interferometry (Sentinel-1A) showed an average uplift of 5–9 mm/year in the satellite line of sight (LOS) from May 2018 to October 2019. The velocity profiles show an uplift variation across the anticlines and may be related to the displacement transfer from the zone of compression in the Manzai Ranges to the zone of transpression in the Pezu–Bhittani Ranges. Four types of morphometric analyses were carried out to assess the relative tectonic activity, namely mountain front sinuosity index (Smf), valley floor width to height ratio (Vf), normalized longitudinal river profile, and normalized channel steepness index (Ksn). The landscape response to active tectonics in the study area was recorded as a deep fluvial incision in V-shaped valleys, convex river profiles, topographic breaks as knickpoints, and a high Ksn index. The geomorphic parameters show a relative increase in tectonic uplift and deformation from the Kundi anticline to the Khirgi and Manzai anticline. We concluded that the frontal structures in the western Himalayas are still going through an active phase of deformation and landscape development with both seismic and aseismic creep. Full article
(This article belongs to the Special Issue Advances of Remote Sensing in Environmental Geoscience)
Show Figures

Graphical abstract

18 pages, 2660 KB  
Article
Evaluation of Excavation-Damaged Zone around Underground Tunnels by Theoretical Calculation and Field Test Methods
by Ming Tao, Zhixian Hong, Kang Peng, Pengwei Sun, Mingyu Cao and Kun Du
Energies 2019, 12(9), 1682; https://doi.org/10.3390/en12091682 - 3 May 2019
Cited by 24 | Viewed by 5970
Abstract
Excavation-damaged zones (EDZs) induced in underground mining and civil engineering potentially threaten tunnel safety and stability, and increase construction and support costs. In this paper, an investigation of the excavation damaged zone (EDZ) around roadways in Fankou lead-zinc mine in Guangzhou, China is [...] Read more.
Excavation-damaged zones (EDZs) induced in underground mining and civil engineering potentially threaten tunnel safety and stability, and increase construction and support costs. In this paper, an investigation of the excavation damaged zone (EDZ) around roadways in Fankou lead-zinc mine in Guangzhou, China is performed by applying a seismic velocity method accompanied by SET-PLT-01 nonmetallic ultrasonic detector. Meanwhile, the in situ stress in the mining area was measured based on the stress relief method with the Swedish high-precision LUT system. The results indicate that the stress field is dominated by the maximum horizontal tectonic stress, and the extents of the EDZ on the roof-floor region are greater than that on the sidewall. In addition, both of the in situ stresses and EDZs show an increasing trend with an increase of depth. Analytical solutions of EDZ around circular openings in the brittle rock mass subjected to non-hydrostatic stress fields are presented in terms of the Mohr–Coulomb and generalized Hoek–Brown criteria, and validated by several cases mentioned above. The extents of EDZ solved by closed-form solutions were found to be in a great agreement with those obtained in the field. Finally, a series of parametric studies are conducted to investigate the effects of cohesion (c), friction angle (φ), geological strength index (GSI), mi, uniaxial compressive strength (σc), and disturbance factor (D) on EDZ. It is shown that the effects of c, φ, GSI, and σc are significant; however, more attention should be paid to consider the dynamic disturbances induced by mechanical drilling, blasting, and seismic waves in tunnel excavations or operations. Full article
(This article belongs to the Section H: Geo-Energy)
Show Figures

Figure 1

12 pages, 2420 KB  
Article
Predicting Dynamic Response of Structures under Earthquake Loads Using Logical Analysis of Data
by Ayman Abd-Elhamed, Yasser Shaban and Sayed Mahmoud
Buildings 2018, 8(4), 61; https://doi.org/10.3390/buildings8040061 - 20 Apr 2018
Cited by 16 | Viewed by 8508
Abstract
In this paper, logical analysis of data (LAD) is used to predict the seismic response of building structures employing the captured dynamic responses. In order to prepare the data, computational simulations using a single degree of freedom (SDOF) building model under different ground [...] Read more.
In this paper, logical analysis of data (LAD) is used to predict the seismic response of building structures employing the captured dynamic responses. In order to prepare the data, computational simulations using a single degree of freedom (SDOF) building model under different ground motion records are carried out. The selected excitation records are real and of different peak ground accelerations (PGA). The sensitivity of the seismic response in terms of displacements of floors to the variation in earthquake characteristics, such as soil class, characteristic period, and time step of records, peak ground displacement, and peak ground velocity, have also been considered. The dynamic equation of motion describing the building model and the applied earthquake load are presented and solved incrementally using the Runge-Kutta method. LAD then finds the characteristic patterns which lead to forecast the seismic response of building structures. The accuracy of LAD is compared to that of an artificial neural network (ANN), since the latter is the most known machine learning technique. Based on the conducted study, the proposed LAD model has been proven to be an efficient technique to learn, simulate, and blindly predict the dynamic response behaviour of building structures subjected to earthquake loads. Full article
Show Figures

Figure 1

18 pages, 8322 KB  
Article
Seismic Damage Evaluation of Concrete-Encased Steel Frame-Reinforced Concrete Core Tube Buildings Based on Dynamic Characteristics
by Lei Zeng, Yunfeng Xiao, Yiguang Chen, Siqian Jin, Wei Xie and Xianjie Li
Appl. Sci. 2017, 7(4), 314; https://doi.org/10.3390/app7040314 - 23 Mar 2017
Cited by 71 | Viewed by 6297
Abstract
To evaluate damage state and residual resistance of concrete-encased steel frame-reinforced concrete core tube buildings under earthquake actions, a criterion of damage assessment based on dynamic characteristics is proposed in this paper. Dynamic characterization experiments were conducted on a 10-story and 1/5 scaled [...] Read more.
To evaluate damage state and residual resistance of concrete-encased steel frame-reinforced concrete core tube buildings under earthquake actions, a criterion of damage assessment based on dynamic characteristics is proposed in this paper. Dynamic characterization experiments were conducted on a 10-story and 1/5 scaled building model using velocity sensors on each floor, and natural frequencies were obtained based on the measured data. Modal analysis was carried out using a nonlinear finite element program, and the simulation results of the dynamic characteristics agreed well with experimental ones. Then, the damage processes under different seismic wave inputs were revealed based on finite element analysis, and the max story drift angle was chosen to reflect the damage state and to quantify the degree of damage. A criterion of seismic damage assessment is proposed based on the relationship between the quantitative damage value and the dynamic characteristics, in which the higher order modes were considered. Moreover, influencing factors, including earthquake intensity and structural stiffness ratio, were analyzed, and the results indicated that the proposed damage index based on dynamic characteristics can account for the higher-order modes and provides an innovative approach to evaluate the seismic damage. Full article
(This article belongs to the Special Issue Structural Health Monitoring (SHM) of Civil Structures)
Show Figures

Figure 1

27 pages, 5936 KB  
Article
Response of Seismically Isolated Steel Frame Buildings with Sustainable Lead-Rubber Bearing (LRB) Isolator Devices Subjected to Near-Fault (NF) Ground Motions
by Jong Wan Hu
Sustainability 2015, 7(1), 111-137; https://doi.org/10.3390/su7010111 - 24 Dec 2014
Cited by 60 | Viewed by 16212
Abstract
Base isolation has been used as one of the most wildly accepted seismic protection systems that should substantially dissociate a superstructure from its substructure resting on a shaking ground, thereby sustainably preserving entire structures against earthquake forces as well as inside non-structural integrities. [...] Read more.
Base isolation has been used as one of the most wildly accepted seismic protection systems that should substantially dissociate a superstructure from its substructure resting on a shaking ground, thereby sustainably preserving entire structures against earthquake forces as well as inside non-structural integrities. Base isolation devices can operate very effectively against near-fault (NF) ground motions with large velocity pulses and permanent ground displacements. In this study, comparative advantages for using lead-rubber bearing (LRB) isolation systems are mainly investigated by performing nonlinear dynamic time-history analyses with NF ground motions. The seismic responses with respects to base shears and inter-story drifts are compared according to the installation of LRB isolation systems in the frame building. The main function of the base LRB isolator is to extend the period of structural vibration by increasing lateral flexibility in the frame structure, and thus ground accelerations transferred into the superstructure can dramatically decrease. Therefore, these base isolation systems are able to achieve notable mitigation in the base shear. In addition, they make a significant contribution to reducing inter-story drifts distributed over the upper floors. Finally, the fact that seismic performance can be improved by installing isolation devices in the frame structure is emphasized herein through the results of nonlinear dynamic analyses. Full article
(This article belongs to the Special Issue Sustainable Urban Development)
Show Figures

Figure 1

Back to TopTop