Sign in to use this feature.

Years

Between: -

Subjects

remove_circle_outline
remove_circle_outline
remove_circle_outline
remove_circle_outline
remove_circle_outline
remove_circle_outline
remove_circle_outline

Journals

Article Types

Countries / Regions

Search Results (23)

Search Parameters:
Keywords = segregation and integration of brain networks

Order results
Result details
Results per page
Select all
Export citation of selected articles as:
29 pages, 2692 KB  
Review
Novel Directions for Neuromorphic Machine Intelligence Guided by Functional Connectivity: A Review
by Mindula Illeperuma, Rafael Pina, Varuna De Silva and Xiaolan Liu
Machines 2024, 12(8), 574; https://doi.org/10.3390/machines12080574 - 20 Aug 2024
Viewed by 2592
Abstract
As we move into the next stages of the technological revolution, artificial intelligence (AI) that is explainable and sustainable is becoming a key goal for researchers across multiple domains. Leveraging the concept of functional connectivity (FC) in the human brain, this paper provides [...] Read more.
As we move into the next stages of the technological revolution, artificial intelligence (AI) that is explainable and sustainable is becoming a key goal for researchers across multiple domains. Leveraging the concept of functional connectivity (FC) in the human brain, this paper provides novel research directions for neuromorphic machine intelligence (NMI) systems that are energy-efficient and human-compatible. This review serves as an accessible review for multidisciplinary researchers introducing a range of concepts inspired by neuroscience and analogous machine learning research. These include possibilities to facilitate network integration and segregation in artificial architectures, a novel learning representation framework inspired by two FC networks utilised in human learning, and we explore the functional connectivity underlying task prioritisation in humans and propose a framework for neuromorphic machines to improve their task-prioritisation and decision-making capabilities. Finally, we provide directions for key application domains such as autonomous driverless vehicles, swarm intelligence, and human augmentation, to name a few. Guided by how regional brain networks interact to facilitate cognition and behaviour such as the ones discussed in this review, we move toward a blueprint for creating NMI that mirrors these processes. Full article
(This article belongs to the Special Issue Application of Deep Learning in Intelligent Machines)
Show Figures

Figure 1

22 pages, 5336 KB  
Article
Disrupted Brain Network Measures in Parkinson’s Disease Patients with Severe Hyposmia and Cognitively Normal Ability
by Karthik Siva, Palanisamy Ponnusamy and Malmathanraj Ramanathan
Brain Sci. 2024, 14(7), 685; https://doi.org/10.3390/brainsci14070685 - 8 Jul 2024
Cited by 4 | Viewed by 2326
Abstract
Neuroscience has revolved around brain structural changes, functional activity, and connectivity alteration in Parkinson’s Disease (PD); however, how the network topology organization becomes altered is still unclear, specifically in Parkinson’s patients with severe hyposmia. In this study, we have examined the functional network [...] Read more.
Neuroscience has revolved around brain structural changes, functional activity, and connectivity alteration in Parkinson’s Disease (PD); however, how the network topology organization becomes altered is still unclear, specifically in Parkinson’s patients with severe hyposmia. In this study, we have examined the functional network topological alteration in patients affected by Parkinson’s Disease with normal cognitive ability (ODN), Parkinson’s Disease with severe hyposmia (ODP), and healthy controls (HCs) using resting-state functional magnetic resonance imaging (rsfMRI) data. We have analyzed brain topological organization using popular graph measures such as network segregation (clustering coefficient, modularity), network integration (participation coefficient, path length), small-worldness, efficiency, centrality, and assortativity. Then, we used a feature ranking approach based on the diagonal adaptation of neighborhood component analysis, aiming to determine a graph measure that is sensitive enough to distinguish between these three different groups. We noted significantly lower segregation and local efficiency and small-worldness in ODP compared to ODN and HCs. On the contrary, we did not find differences in network integration in ODP compared to ODN and HCs, which indicates that the brain network becomes fragmented in ODP. At the brain network level, a progressive increase in the DMN (Default Mode Network) was observed from healthy controls to ODN to ODP, and a continuous decrease in the cingulo-opercular network was observed from healthy controls to ODN to ODP. Further, the feature ranking approach has shown that the whole-brain clustering coefficient and small-worldness are sensitive measures to classify ODP vs. ODN, as well as HCs. Looking at the brain regional network segregation, we have found that the cerebellum and limbic, fronto-parietal, and occipital lobes have higher ODP reductions than ODN and HCs. Our results suggest network topological measures, specifically whole-brain segregation and small-worldness decreases. At the network level, an increase in DMN and a decrease in the cingulo-opercular network could be used as biomarkers to characterize ODN and ODP. Full article
(This article belongs to the Special Issue New Approaches in the Exploration of Parkinson’s Disease)
Show Figures

Figure 1

15 pages, 1892 KB  
Article
Graph Analysis of the Visual Cortical Network during Naturalistic Movie Viewing Reveals Increased Integration and Decreased Segregation Following Mild TBI
by Tatiana Ruiz, Shael Brown and Reza Farivar
Vision 2024, 8(2), 33; https://doi.org/10.3390/vision8020033 - 10 May 2024
Cited by 1 | Viewed by 1850
Abstract
Traditional neuroimaging methods have identified alterations in brain activity patterns following mild traumatic brain injury (mTBI), particularly during rest, complex tasks, and normal vision. However, studies using graph theory to examine brain network changes in mTBI have produced varied results, influenced by the [...] Read more.
Traditional neuroimaging methods have identified alterations in brain activity patterns following mild traumatic brain injury (mTBI), particularly during rest, complex tasks, and normal vision. However, studies using graph theory to examine brain network changes in mTBI have produced varied results, influenced by the specific networks and task demands analyzed. In our study, we employed functional MRI to observe 17 mTBI patients and 54 healthy individuals as they viewed a simple, non-narrative underwater film, simulating everyday visual tasks. This approach revealed significant mTBI-related changes in network connectivity, efficiency, and organization. Specifically, the mTBI group exhibited higher overall connectivity and local network specialization, suggesting enhanced information integration without overwhelming the brain’s processing capabilities. Conversely, these patients showed reduced network segregation, indicating a less compartmentalized brain function compared to healthy controls. These patterns were consistent across various visual cortex subnetworks, except in primary visual areas. Our findings highlight the potential of using naturalistic stimuli in graph-based neuroimaging to understand brain network alterations in mTBI and possibly other conditions affecting brain integration. Full article
(This article belongs to the Section Visual Neuroscience)
Show Figures

Figure 1

14 pages, 2762 KB  
Article
Examining Neural Connectivity in Schizophrenia Using Task-Based EEG: A Graph Theory Approach
by Sergio Iglesias-Parro, María F. Soriano, Antonio J. Ibáñez-Molina, Ana V. Pérez-Matres and Juan Ruiz de Miras
Sensors 2023, 23(21), 8722; https://doi.org/10.3390/s23218722 - 25 Oct 2023
Cited by 5 | Viewed by 2918
Abstract
Schizophrenia (SZ) is a complex disorder characterized by a range of symptoms and behaviors that have significant consequences for individuals, families, and society in general. Electroencephalography (EEG) is a valuable tool for understanding the neural dynamics and functional abnormalities associated with schizophrenia. Research [...] Read more.
Schizophrenia (SZ) is a complex disorder characterized by a range of symptoms and behaviors that have significant consequences for individuals, families, and society in general. Electroencephalography (EEG) is a valuable tool for understanding the neural dynamics and functional abnormalities associated with schizophrenia. Research studies utilizing EEG have identified specific patterns of brain activity in individuals diagnosed with schizophrenia that may reflect disturbances in neural synchronization and information processing in cortical circuits. Considering the temporal dynamics of functional connectivity provides a more comprehensive understanding of brain networks’ organization and how they change during different cognitive states. This temporal perspective would enhance our understanding of the underlying mechanisms of schizophrenia. In the present study, we will use measures based on graph theory to obtain dynamic and static indicators in order to evaluate differences in the functional connectivity of individuals diagnosed with SZ and healthy controls using an ecologically valid task. At the static level, patients showed alterations in their ability to segregate information, particularly in the default mode network (DMN). As for dynamic measures, patients showed reduced values in most metrics (segregation, integration, centrality, and resilience), reflecting a reduced number of dynamic states of brain networks. Our results show the utility of combining static and dynamic indicators of functional connectivity from EEG sensors. Full article
(This article belongs to the Special Issue Advancements in EEG and Biosignal Sensing Technologies)
Show Figures

Figure 1

18 pages, 1639 KB  
Article
The Impact of Mindfulness on Functional Brain Connectivity and Peripheral Inflammation in Breast Cancer Survivors with Cognitive Complaints
by Michelle Melis, Gwen Schroyen, Jeroen Blommaert, Nicolas Leenaerts, Ann Smeets, Katleen Van Der Gucht, Stefan Sunaert and Sabine Deprez
Cancers 2023, 15(14), 3632; https://doi.org/10.3390/cancers15143632 - 15 Jul 2023
Cited by 5 | Viewed by 2794
Abstract
Background: Cancer-related cognitive impairment (CRCI) has been linked to functional brain changes and inflammatory processes. Hence, interventions targeting these underlying mechanisms are needed. In this study, we investigated the effects of a mindfulness-based intervention on brain function and inflammatory profiles in breast cancer [...] Read more.
Background: Cancer-related cognitive impairment (CRCI) has been linked to functional brain changes and inflammatory processes. Hence, interventions targeting these underlying mechanisms are needed. In this study, we investigated the effects of a mindfulness-based intervention on brain function and inflammatory profiles in breast cancer survivors with CRCI. Methods: Female breast cancer survivors reporting cognitive complaints (n = 117) were randomly assigned to a mindfulness-based intervention (n = 43), physical training (n = 36), or waitlist control condition (n = 38). Region-of-interest (ROI) and graph theory analyses of resting state functional MRI data were performed to study longitudinal group differences in functional connectivity and organization in the default mode, dorsal attention, salience, and frontoparietal network. Additionally, bead-based immunoassays were used to investigate the differences in inflammatory profiles on serum samples. Measures were collected before, immediately after and three months post-intervention. Results: No ROI-to-ROI functional connectivity changes were identified. Compared to no intervention, graph analysis showed a larger decrease in clustering coefficient after mindfulness and physical training. Additionally, a larger increase in global efficiency after physical training was identified. Furthermore, the physical training group showed a larger decrease in an inflammatory profile compared to no intervention (IL-12p70, IFN-γ, IL-1β, and IL-8). Conclusion: Both mindfulness and physical training induced changes in the functional organization of networks related to attention, emotion processing, and executive functioning. While both interventions reduced functional segregation, only physical training increased functional integration of the neural network. In conclusion, physical training had the most pronounced effects on functional network organization and biomarkers of inflammation, two mechanisms that might be involved in CRCI. Full article
(This article belongs to the Special Issue Cognitive Outcomes in Cancer: Recent Advances and Challenges)
Show Figures

Figure 1

32 pages, 12093 KB  
Article
Information-Theoretic Approaches in EEG Correlates of Auditory Perceptual Awareness under Informational Masking
by Alexandre Veyrié, Arnaud Noreña, Jean-Christophe Sarrazin and Laurent Pezard
Biology 2023, 12(7), 967; https://doi.org/10.3390/biology12070967 - 6 Jul 2023
Cited by 1 | Viewed by 2051
Abstract
In informational masking paradigms, the successful segregation between the target and masker creates auditory perceptual awareness. The dynamics of the build-up of auditory perception is based on a set of interactions between bottom–up and top–down processes that generate neuronal modifications within the brain [...] Read more.
In informational masking paradigms, the successful segregation between the target and masker creates auditory perceptual awareness. The dynamics of the build-up of auditory perception is based on a set of interactions between bottom–up and top–down processes that generate neuronal modifications within the brain network activity. These neural changes are studied here using event-related potentials (ERPs), entropy, and integrated information, leading to several measures applied to electroencephalogram signals. The main findings show that the auditory perceptual awareness stimulated functional activation in the fronto-temporo-parietal brain network through (i) negative temporal and positive centro-parietal ERP components; (ii) an enhanced processing of multi-information in the temporal cortex; and (iii) an increase in informational content in the fronto-central cortex. These different results provide information-based experimental evidence about the functional activation of the fronto-temporo-parietal brain network during auditory perceptual awareness. Full article
(This article belongs to the Special Issue Neural Correlates of Perception in Noise in the Auditory System)
Show Figures

Figure 1

13 pages, 1173 KB  
Article
Brain Network Topology in Deficit and Non-Deficit Schizophrenia: Application of Graph Theory to Local and Global Indices
by Daniela Vecchio, Fabrizio Piras, Valentina Ciullo, Federica Piras, Federica Natalizi, Giuseppe Ducci, Sonia Ambrogi, Gianfranco Spalletta and Nerisa Banaj
J. Pers. Med. 2023, 13(5), 799; https://doi.org/10.3390/jpm13050799 - 6 May 2023
Cited by 2 | Viewed by 2482
Abstract
Patients with deficit schizophrenia (SZD) suffer from primary and enduring negative symptoms. Limited pieces of evidence and neuroimaging studies indicate they differ from patients with non-deficit schizophrenia (SZND) in neurobiological aspects, but the results are far from conclusive. We applied for the first [...] Read more.
Patients with deficit schizophrenia (SZD) suffer from primary and enduring negative symptoms. Limited pieces of evidence and neuroimaging studies indicate they differ from patients with non-deficit schizophrenia (SZND) in neurobiological aspects, but the results are far from conclusive. We applied for the first time, graph theory analyses to discriminate local and global indices of brain network topology in SZD and SZND patients compared with healthy controls (HC). High-resolution T1-weighted images were acquired for 21 SZD patients, 21 SZND patients, and 21 HC to measure cortical thickness from 68 brain regions. Graph-based metrics (i.e., centrality, segregation, and integration) were computed and compared among groups, at both global and regional networks. When compared to HC, at the regional level, SZND were characterized by temporoparietal segregation and integration differences, while SZD showed widespread alterations in all network measures. SZD also showed less segregated network topology at the global level in comparison to HC. SZD and SZND differed in terms of centrality and integration measures in nodes belonging to the left temporoparietal cortex and to the limbic system. SZD is characterized by topological features in the network architecture of brain regions involved in negative symptomatology. Such results help to better define the neurobiology of SZD (SZD: Deficit Schizophrenia; SZND: Non-Deficit Schizophrenia; SZ: Schizophrenia; HC: healthy controls; CC: clustering coefficient; L: characteristic path length; E: efficiency; D: degree; CCnode: CC of a node; CCglob: the global CC of the network; Eloc: efficiency of the information transfer flow either within segregated subgraphs or neighborhoods nodes; Eglob: efficiency of the information transfer flow among the global network; FDA: Functional Data Analysis; and Dmin: estimated minimum densities). Full article
(This article belongs to the Section Mechanisms of Diseases)
Show Figures

Figure 1

27 pages, 5496 KB  
Review
Synapse-Mimetic Hardware-Implemented Resistive Random-Access Memory for Artificial Neural Network
by Hyunho Seok, Shihoon Son, Sagar Bhaurao Jathar, Jaewon Lee and Taesung Kim
Sensors 2023, 23(6), 3118; https://doi.org/10.3390/s23063118 - 14 Mar 2023
Cited by 20 | Viewed by 5911
Abstract
Memristors mimic synaptic functions in advanced electronics and image sensors, thereby enabling brain-inspired neuromorphic computing to overcome the limitations of the von Neumann architecture. As computing operations based on von Neumann hardware rely on continuous memory transport between processing units and memory, fundamental [...] Read more.
Memristors mimic synaptic functions in advanced electronics and image sensors, thereby enabling brain-inspired neuromorphic computing to overcome the limitations of the von Neumann architecture. As computing operations based on von Neumann hardware rely on continuous memory transport between processing units and memory, fundamental limitations arise in terms of power consumption and integration density. In biological synapses, chemical stimulation induces information transfer from the pre- to the post-neuron. The memristor operates as resistive random-access memory (RRAM) and is incorporated into the hardware for neuromorphic computing. Hardware composed of synaptic memristor arrays is expected to lead to further breakthroughs owing to their biomimetic in-memory processing capabilities, low power consumption, and amenability to integration; these aspects satisfy the upcoming demands of artificial intelligence for higher computational loads. Among the tremendous efforts toward achieving human-brain-like electronics, layered 2D materials have demonstrated significant potential owing to their outstanding electronic and physical properties, facile integration with other materials, and low-power computing. This review discusses the memristive characteristics of various 2D materials (heterostructures, defect-engineered materials, and alloy materials) used in neuromorphic computing for image segregation or pattern recognition. Neuromorphic computing, the most powerful artificial networks for complicated image processing and recognition, represent a breakthrough in artificial intelligence owing to their enhanced performance and lower power consumption compared with von Neumann architectures. A hardware-implemented CNN with weight control based on synaptic memristor arrays is expected to be a promising candidate for future electronics in society, offering a solution based on non-von Neumann hardware. This emerging paradigm changes the computing algorithm using entirely hardware-connected edge computing and deep neural networks. Full article
(This article belongs to the Special Issue AI Applications in Smart Networks and Sensor Devices)
Show Figures

Figure 1

20 pages, 3583 KB  
Article
Challenging the Classical View: Recognition of Identity and Expression as Integrated Processes
by Emily Schwartz, Kathryn O’Nell, Rebecca Saxe and Stefano Anzellotti
Brain Sci. 2023, 13(2), 296; https://doi.org/10.3390/brainsci13020296 - 10 Feb 2023
Cited by 5 | Viewed by 2906
Abstract
Recent neuroimaging evidence challenges the classical view that face identity and facial expression are processed by segregated neural pathways, showing that information about identity and expression are encoded within common brain regions. This article tests the hypothesis that integrated representations of identity and [...] Read more.
Recent neuroimaging evidence challenges the classical view that face identity and facial expression are processed by segregated neural pathways, showing that information about identity and expression are encoded within common brain regions. This article tests the hypothesis that integrated representations of identity and expression arise spontaneously within deep neural networks. A subset of the CelebA dataset is used to train a deep convolutional neural network (DCNN) to label face identity (chance = 0.06%, accuracy = 26.5%), and the FER2013 dataset is used to train a DCNN to label facial expression (chance = 14.2%, accuracy = 63.5%). The identity-trained and expression-trained networks each successfully transfer to labeling both face identity and facial expression on the Karolinska Directed Emotional Faces dataset. This study demonstrates that DCNNs trained to recognize face identity and DCNNs trained to recognize facial expression spontaneously develop representations of facial expression and face identity, respectively. Furthermore, a congruence coefficient analysis reveals that features distinguishing between identities and features distinguishing between expressions become increasingly orthogonal from layer to layer, suggesting that deep neural networks disentangle representational subspaces corresponding to different sources. Full article
(This article belongs to the Special Issue People Recognition through Face, Voice, Name and Their Interactions)
Show Figures

Figure 1

13 pages, 1933 KB  
Article
Scale-Free Functional Brain Networks Exhibit Increased Connectivity, Are More Integrated and Less Segregated in Patients with Parkinson’s Disease following Dopaminergic Treatment
by Orestis Stylianou, Zalan Kaposzta, Akos Czoch, Leon Stefanovski, Andriy Yabluchanskiy, Frigyes Samuel Racz, Petra Ritter, Andras Eke and Peter Mukli
Fractal Fract. 2022, 6(12), 737; https://doi.org/10.3390/fractalfract6120737 - 13 Dec 2022
Cited by 9 | Viewed by 2593
Abstract
Dopaminergic treatment (DT), the standard therapy for Parkinson’s disease (PD), alters the dynamics of functional brain networks at specific time scales. Here, we explore the scale-free functional connectivity (FC) in the PD population and how it is affected by DT. We analyzed the [...] Read more.
Dopaminergic treatment (DT), the standard therapy for Parkinson’s disease (PD), alters the dynamics of functional brain networks at specific time scales. Here, we explore the scale-free functional connectivity (FC) in the PD population and how it is affected by DT. We analyzed the electroencephalogram of: (i) 15 PD patients during DT (ON) and after DT washout (OFF) and (ii) 16 healthy control individuals (HC). We estimated FC using bivariate focus-based multifractal analysis, which evaluated the long-term memory (H(2)) and multifractal strength (ΔH15) of the connections. Subsequent analysis yielded network metrics (node degree, clustering coefficient and path length) based on FC estimated by H(2) or ΔH15. Cognitive performance was assessed by the Mini Mental State Examination (MMSE) and the North American Adult Reading Test (NAART). The node degrees of the ΔH15 networks were significantly higher in ON, compared to OFF and HC, while clustering coefficient and path length significantly decreased. No alterations were observed in the H(2) networks. Significant positive correlations were also found between the metrics of H(2) networks and NAART scores in the HC group. These results demonstrate that DT alters the multifractal coupled dynamics in the brain, warranting the investigation of scale-free FC in clinical and pharmacological studies. Full article
Show Figures

Figure 1

18 pages, 4251 KB  
Article
Evaluating the Alterations Induced by Virtual Reality in Cerebral Small-World Networks Using Graph Theory Analysis with Electroencephalography
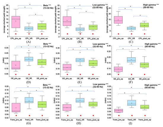
by Shan Yang, Hyeon-Sik Hwang, Bao-Hua Zhu, Jian Chen, Ganbold Enkhzaya, Zhi-Ji Wang, Eun-Seong Kim and Nam-Young Kim
Brain Sci. 2022, 12(12), 1630; https://doi.org/10.3390/brainsci12121630 - 28 Nov 2022
Cited by 5 | Viewed by 2611
Abstract
Virtual reality (VR), a rapidly evolving technology that simulates three-dimensional virtual environments for users, has been proven to activate brain functions. However, the continuous alteration pattern of the functional small-world network in response to comprehensive three-dimensional stimulation rather than realistic two-dimensional media stimuli [...] Read more.
Virtual reality (VR), a rapidly evolving technology that simulates three-dimensional virtual environments for users, has been proven to activate brain functions. However, the continuous alteration pattern of the functional small-world network in response to comprehensive three-dimensional stimulation rather than realistic two-dimensional media stimuli requires further exploration. Here, we aimed to validate the effect of VR on the pathways and network parameters of a small-world organization and interpret its mechanism of action. Fourteen healthy volunteers were selected to complete missions in an immersive VR game. The changes in the functional network in six different frequency categories were analyzed using graph theory with electroencephalography data measured during the pre-, VR, and post-VR stages. The mutual information matrix revealed that interactions between the frontal and posterior areas and those within the frontal and occipital lobes were strengthened. Subsequently, the betweenness centrality (BC) analysis indicated more robust and extensive pathways among hubs. Furthermore, a specific lateralized channel (O1 or O2) increment in the BC was observed. Moreover, the network parameters improved simultaneously in local segregation, global segregation, and global integration. The overall topological improvements of small-world organizations were in high-frequency bands and exhibited some degree of sustainability. Full article
Show Figures

Figure 1

37 pages, 9357 KB  
Article
Improving Functional Connectivity in Developmental Dyslexia through Combined Neurofeedback and Visual Training
by Tihomir Taskov and Juliana Dushanova
Symmetry 2022, 14(2), 369; https://doi.org/10.3390/sym14020369 - 13 Feb 2022
Cited by 6 | Viewed by 4102
Abstract
This study examined the effects of combined neurofeedback (NF) and visual training (VT) on children with developmental dyslexia (DD). Although NF is the first noninvasive approach to support neurological disorders, the mechanisms of its effects on the brain functional connectivity are still unclear. [...] Read more.
This study examined the effects of combined neurofeedback (NF) and visual training (VT) on children with developmental dyslexia (DD). Although NF is the first noninvasive approach to support neurological disorders, the mechanisms of its effects on the brain functional connectivity are still unclear. A key question is whether the functional connectivities of the EEG frequency networks change after the combined NF–VT training of DD children (postD). NF sessions of voluntary α/θ rhythm control were applied in a low-spatial-frequency (LSF) illusion contrast discrimination, which provides feedback with visual cues to improve the brain signals and cognitive abilities in DD children. The measures of connectivity, which are defined by small-world propensity, were sensitive to the properties of the brain electrical oscillations in the quantitative EEG-NF training. In the high-contrast LSF illusion, the z-NF reduced the α/θ scores in the frontal areas, and in the right ventral temporal, occipital–temporal, and middle occipital areas in the postD (vs. the preD) because of their suppression in the local hub θ-network and the altered global characteristics of the functional θ-frequency network. In the low-contrast condition, the z-NF stimulated increases in the α/θ scores, which induced hubs in the left-side α-frequency network of the postD, and changes in the global characteristics of the functional α-frequency network. Because of the anterior, superior, and middle temporal deficits affecting the ventral and occipital–temporal pathways, the z-NF–VT compensated for the more ventral brain regions, mainly in the left hemispheres of the postD group in the low-contrast LSF illusion. Compared to pretraining, the NF–VT increased the segregation of the α, β (low-contrast), and θ networks (high-contrast), as well as the γ2-network integration (both contrasts) after the termination of the training of the children with developmental dyslexia. The remediation compensated more for the dorsal (prefrontal, premotor, occipital–parietal connectivities) dysfunction of the θ network in the developmental dyslexia in the high-contrast LSF illusion. Our findings provide neurobehavioral evidence for the exquisite brain functional plasticity and direct effect of NF–VT on cognitive disabilities in DD children. Full article
Show Figures

Figure 1

14 pages, 3395 KB  
Article
Localizing Spectral Interactions in the Resting State Network Using the Hilbert–Huang Transform
by Ai-Ling Hsu, Chia-Wei Li, Pengmin Qin, Men-Tzung Lo and Changwei W. Wu
Brain Sci. 2022, 12(2), 140; https://doi.org/10.3390/brainsci12020140 - 21 Jan 2022
Cited by 6 | Viewed by 3351
Abstract
Brain synchronizations are orchestrated from neuronal oscillations through frequency interactions, such as the alpha rhythm during relaxation. Nevertheless, how the intrinsic interaction forges functional integrity across brain segregations remains elusive, thereby motivating recent studies to localize frequency interactions of resting-state fMRI (rs-fMRI). To [...] Read more.
Brain synchronizations are orchestrated from neuronal oscillations through frequency interactions, such as the alpha rhythm during relaxation. Nevertheless, how the intrinsic interaction forges functional integrity across brain segregations remains elusive, thereby motivating recent studies to localize frequency interactions of resting-state fMRI (rs-fMRI). To this point, we aim to unveil the fMRI-based spectral interactions using the time-frequency (TF) analysis; however, Fourier-based TF analyses impose restrictions on revealing frequency interactions given the limited time points in fMRI signals. Instead of using the Fourier-based wavelet analysis to identify the fMRI frequency of interests, we employed the Hilbert–Huang transform (HHT) for probing the specific frequency contribution to the functional integration, called ensemble spectral interaction (ESI). By simulating data with time-variant frequency changes, we demonstrated the Hilbert TF maps with high spectro-temporal resolution and full accessibility in comparison with the wavelet TF maps. By detecting amplitude-to-amplitude frequency couplings (AAC) across brain regions, we elucidated the ESI disparity between the eye-closed (EC) and eye-open (EO) conditions in rs-fMRI. In the visual network, the strength of the spectral interaction within 0.03–0.04 Hz was amplified in EC compared with that in EO condition, whereas a canonical connectivity analysis did not present differences between conditions. Collectively, leveraging from the instantaneous frequency of HHT, we firstly addressed the ESI technique to map the fMRI-based functional connectivity in a brand-new AAC perspective. The ESI possesses potential in elucidating the functional connectivity at specific frequency bins, thereby providing additional diagnostic merits for future clinical neuroscience. Full article
(This article belongs to the Special Issue Cortical Connectivity Pattern: Neuroimaging Advances with MRI)
Show Figures

Figure 1

15 pages, 1625 KB  
Article
Impact of Transcranial Direct Current Stimulation on Cognitive Function, Brain Functional Segregation, and Integration in Patients with Mild Cognitive Impairment According to Amyloid-Beta Deposition and APOE ε4-Allele: A Pilot Study
by Dong-Woo Kang, Sheng-Min Wang, Tae-Yeong Kim, Donghyeon Kim, Hae-Ran Na, Nak-Young Kim, Chang-Uk Lee and Hyun-Kook Lim
Brain Sci. 2021, 11(6), 772; https://doi.org/10.3390/brainsci11060772 - 10 Jun 2021
Cited by 9 | Viewed by 3377
Abstract
Anodal transcranial direct current stimulation (anodal-tDCS) is known to improve cognition and normalize abnormal network configuration during resting-state functional magnetic resonance imaging (fMRI) in patients with mild cognitive impairment (MCI). We aimed to evaluate the impact of sequential anodal-tDCS on cognitive functions, functional [...] Read more.
Anodal transcranial direct current stimulation (anodal-tDCS) is known to improve cognition and normalize abnormal network configuration during resting-state functional magnetic resonance imaging (fMRI) in patients with mild cognitive impairment (MCI). We aimed to evaluate the impact of sequential anodal-tDCS on cognitive functions, functional segregation, and integration parameters in patients with MCI, according to high-risk factors for Alzheimer’s disease (AD): amyloid-beta (Aβ) deposition and APOE ε4-allele status. In 32 patients with MCI ([18 F] flutemetamol-: n = 10, [18 F] flutemetamol+: n = 22; APOE ε4-: n = 13, APOE ε4+: n = 19), we delivered anodal-tDCS (2 mA/day, five times/week, for 2 weeks) over the left dorsolateral prefrontal cortex and assessed the neuropsychological test battery and resting-state fMRI measurements before and after 2 weeks stimulation. We observed a non-significant impact of an anodal-tDCS on changes in neuropsychological battery scores between MCI patients with and without high-risk factors of AD, Aβ retention and APOE ε4-allele. However, there was a significant difference in brain functional segregation and integration parameters between MCI patients with and without AD high-risk factors. We also found a significant effect of tDCS-by-APOE ε4-allele interaction on changes in the functional segregation parameter of the temporal pole. In addition, baseline Aβ deposition significantly associated negatively with change in global functional integrity of hippocampal formation. Anodal-tDCS might help to enhance restorative and compensatory intrinsic functional changes in MCI patients, modulated by the presence of Aβ retention and the APOE ε4-allele. Full article
(This article belongs to the Section Neurodegenerative Diseases)
Show Figures

Figure 1

29 pages, 7786 KB  
Article
Functional Connectivity in Developmental Dyslexia during Speed Discrimination
by Tihomir Taskov and Juliana Dushanova
Symmetry 2021, 13(5), 749; https://doi.org/10.3390/sym13050749 - 25 Apr 2021
Cited by 10 | Viewed by 3773
Abstract
A universal signature of developmental dyslexia is literacy acquisition impairments. Besides, dyslexia may be related to deficits in selective spatial attention, in the sensitivity to global visual motion, speed processing, oculomotor coordination, and integration of auditory and visual information. Whether motion-sensitive brain areas [...] Read more.
A universal signature of developmental dyslexia is literacy acquisition impairments. Besides, dyslexia may be related to deficits in selective spatial attention, in the sensitivity to global visual motion, speed processing, oculomotor coordination, and integration of auditory and visual information. Whether motion-sensitive brain areas of children with dyslexia can recognize different speeds of expanded optic flow and segregate the slow-speed from high-speed contrast of motion was a main question of the study. A combined event-related EEG experiment with optic flow visual stimulation and functional frequency-based graph approach (small-world propensity ϕ) were applied to research the responsiveness of areas, which are sensitive to motion, and also distinguish slow/fast -motion conditions on three groups of children: controls, untrained (pre-D) and trained dyslexics (post-D) with visual intervention programs. Lower ϕ at θ, α, γ1-frequencies (low-speed contrast) for controls than other groups represent that the networks rewire, expressed at β frequencies (both speed contrasts) in the post-D, whose network was most segregated. Functional connectivity nodes have not existed in pre-D at dorsal medial temporal area MT+/V5 (middle, superior temporal gyri), left-hemispheric middle occipital gyrus/visual V2, ventral occipitotemporal (fusiform gyrus/visual V4), ventral intraparietal (supramarginal, angular gyri), derived from θ-frequency network for both conditions. After visual training, compensatory mechanisms appeared to implicate/regain these brain areas in the left hemisphere through plasticity across extended brain networks. Specifically, for high-speed contrast, the nodes were observed in pre-D (θ-frequency) and post-D (β2-frequency) relative to controls in hyperactivity of the right dorsolateral prefrontal cortex, which might account for the attentional network and oculomotor control impairments in developmental dyslexia. Full article
Show Figures

Figure 1

Back to TopTop