Sign in to use this feature.

Years

Between: -

Subjects

remove_circle_outline
remove_circle_outline
remove_circle_outline
remove_circle_outline
remove_circle_outline
remove_circle_outline
remove_circle_outline
remove_circle_outline
remove_circle_outline

Journals

remove_circle_outline
remove_circle_outline
remove_circle_outline
remove_circle_outline
remove_circle_outline
remove_circle_outline
remove_circle_outline
remove_circle_outline
remove_circle_outline
remove_circle_outline
remove_circle_outline
remove_circle_outline
remove_circle_outline
remove_circle_outline
remove_circle_outline
remove_circle_outline
remove_circle_outline
remove_circle_outline
remove_circle_outline
remove_circle_outline
remove_circle_outline
remove_circle_outline
remove_circle_outline
remove_circle_outline
remove_circle_outline
remove_circle_outline
remove_circle_outline
remove_circle_outline
remove_circle_outline
remove_circle_outline

Article Types

Countries / Regions

remove_circle_outline
remove_circle_outline
remove_circle_outline
remove_circle_outline
remove_circle_outline
remove_circle_outline
remove_circle_outline
remove_circle_outline
remove_circle_outline
remove_circle_outline

Search Results (4,790)

Search Parameters:
Keywords = security testing

Order results
Result details
Results per page
Select all
Export citation of selected articles as:
17 pages, 5449 KB  
Article
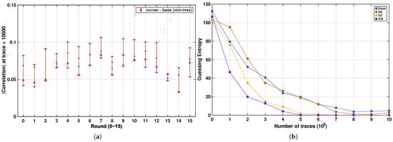
A Device-Centric Research of Power Side-Channel in FPGAs
by Kaishun Zhang, Changhao Wang and Tao Su
Electronics 2026, 15(8), 1546; https://doi.org/10.3390/electronics15081546 (registering DOI) - 8 Apr 2026
Abstract
As a widely used computing substrate, the side-channel security of FPGAs has attracted considerable attention, yet a systematic understanding of how FPGA device types contribute to exploitable leakage remains limited. This work presents a device-centric evaluation that maps an S-box-like function onto common [...] Read more.
As a widely used computing substrate, the side-channel security of FPGAs has attracted considerable attention, yet a systematic understanding of how FPGA device types contribute to exploitable leakage remains limited. This work presents a device-centric evaluation that maps an S-box-like function onto common FPGA primitives, including look-up table (LUT), flip-flop (FF), block RAM (BRAM), and distributed RAM (LUTRAM), and assesses Correlation Power Analysis (CPA) outcomes under the Hamming Weight (HW) and Hamming Distance (HD) power models. The results show pronounced leakage differences across device types: FF- and BRAM-based implementations exhibit substantially stronger leakage than LUT- and LUTRAM-based ones, and they frequently achieve GE=0 in our configurations, while the HD model is generally more effective than the HW model in the performed CPA evaluations. Notably, FF-, BRAM-, and LUTRAM-based implementations can already be breakable starting from one instance under the HD model in our device-level tests, indicating that exploitable leakage may manifest in real FPGA applications. These device-level observations are further validated on a practical cipher by analyzing two SM4 encryption modules that differ only in the S-box implementation style; the BRAM-based design shows significantly stronger leakage than the LUT-based design, achieving GE=2.58 versus GE=78.3 at 10,000 traces. This work highlights the critical role of device selection and implementation style in FPGA side-channel security, and it provides practical insights for designing secure FPGA applications against power side-channel analysis. Full article
(This article belongs to the Special Issue Secure and Privacy-Enhanced Data Sharing)
Show Figures

Figure 1

27 pages, 941 KB  
Article
Farmland Transfer, Land Use Transition, and Grain Production Capacity: Spatial Evidence from China
by Xia Zhao, Lei Ji and Yijia Liu
Land 2026, 15(4), 605; https://doi.org/10.3390/land15040605 - 7 Apr 2026
Abstract
As a crucial pathway for optimizing land factor allocation, farmland transfer plays a pivotal role in implementing the “storing grain in land and technology” strategy and safeguarding national grain security. Based on panel data from 30 provinces in China spanning 2009 to 2023, [...] Read more.
As a crucial pathway for optimizing land factor allocation, farmland transfer plays a pivotal role in implementing the “storing grain in land and technology” strategy and safeguarding national grain security. Based on panel data from 30 provinces in China spanning 2009 to 2023, this study employs a two-way fixed effects model and a Spatial Durbin Model (SDM) to systematically examine the mechanisms, heterogeneity, and spatial spillover effects of farmland transfer on grain production capacity. The results indicate that: (1) Farmland transfer significantly enhances grain production capacity, and this conclusion remains robust after multiple robustness and endogeneity tests. (2) Farmland transfer boosts grain production capacity by promoting cultivated land connectivity and facilitating the substitution of machinery for labor; however, the accompanying non-grain tendency and land governance disputes exert inhibitory effects on capacity release. (3) Transfers to farming households and professional cooperatives, as well as the adoption of leasing and informal exchange arrangements, exhibit the strongest positive effects on production capacity, and the scale-efficiency gains of farmland transfer are particularly pronounced in major grain-consuming areas. (4) Improvements in a region’s farmland transfer level drive the enhancement of grain production capacity in neighboring regions through the diffusion of management experience and the sharing of social services. This study provides empirical evidence and policy insights to optimize farmland transfer mechanisms and safeguard food security. Full article
(This article belongs to the Special Issue Land Use Transition Pathways: Governance, Resources, and Policies)
47 pages, 4974 KB  
Article
Adaptive Preference-Based Multi-Objective Energy Management in Smart Microgrids: A Novel Hierarchical Optimization Framework with Dynamic Weight Allocation and Advanced Constraint Handling
by Nahar F. Alshammari, Faraj H. Alyami, Sheeraz Iqbal, Md Shafiullah and Saleh Al Dawsari
Sustainability 2026, 18(7), 3591; https://doi.org/10.3390/su18073591 - 6 Apr 2026
Abstract
The paper proposed an adaptive preference-based multi-objective optimization framework of intelligent energy management in smart microgrids that are dynamically adapted to operational priorities with regard to real-time grid conditions, stakeholder preferences, and environmental constraints. The suggested hierarchical algorithm combines an improved Non-dominated Sorting [...] Read more.
The paper proposed an adaptive preference-based multi-objective optimization framework of intelligent energy management in smart microgrids that are dynamically adapted to operational priorities with regard to real-time grid conditions, stakeholder preferences, and environmental constraints. The suggested hierarchical algorithm combines an improved Non-dominated Sorting Genetic Algorithm II (NSGA-II) with an advanced dynamic preference weight distribution system that can trade off between minimization of operational cost. Reduction of carbon emission, enhancement of voltage stability, enhancement of power quality and maximization of system reliability and adaptability to different operational conditions, such as renewable energy intermittency, demand response schemes and emergencies. The framework presents a new multi-layered preference-learning module that represents the intricate stakeholder priorities in terms of more sophisticated fuzzy logic-based decision matrices, neural network preference prediction, and adaptive reinforcement learning methods and transforms them into dynamic optimization weights with feedback mechanisms. Large-scale simulations on a modified IEEE 33-bus test system coupled with various renewable energy sources, energy storage facilities, electric vehicle charging points, and smart appliances demonstrate superior improvements in performance: 23.7% operational costs reduction, 31.2% carbon emissions reduction, 18.5% system reliability improvement, 15.3% voltage stability increase and 12.8% reduction of deviations in power quality. The proposed system has an adaptive nature with better performance in a variety of operating conditions such as peak demand times, renewable energy intermittency events, grid-connected and islanded operations, emergency load shedding situations, and cyber–physical security risks. The framework is shown to be highly effective under different conditions of uncertainty and variation in parameters and communication delay through intense sensitivity analysis and robustness testing, thus demonstrating its practical applicability in real-world applications of smart grids. Full article
11 pages, 235 KB  
Article
Descriptive Survey of Firearm Storage Practices Among Families in the Emergency Department Before and After Jaelynn’s Law in Baltimore
by Joanna S. Cohen, Priyal Patel, Katherine Hoops, Amie Bettencourt and Leticia Manning Ryan
Trauma Care 2026, 6(2), 7; https://doi.org/10.3390/traumacare6020007 - 6 Apr 2026
Abstract
Background: Firearm injuries are the leading cause of mortality among youth in the United States and legislation is a key strategy in reducing youth firearm injuries and deaths. Maryland recently enacted a stronger child access prevention (CAP) law known as Jaelynn’s Law, which [...] Read more.
Background: Firearm injuries are the leading cause of mortality among youth in the United States and legislation is a key strategy in reducing youth firearm injuries and deaths. Maryland recently enacted a stronger child access prevention (CAP) law known as Jaelynn’s Law, which mandates secure firearm storage and imposes stricter penalties for violations. Objectives: The aim of this study was to examine firearm storage practices and beliefs in a pediatric and adult emergency department in Baltimore before and after the implementation of Jaelynn’s Law. Method: This descriptive study recruited 396 adult participants from pediatric and adult EDs at Johns Hopkins Hospital before and after the implementation of Jaelynn’s Law. Participants completed a survey on demographics, firearm ownership, and storage practices. Those with unsafe storage practices were provided educational pamphlets and safe storage devices. Data were analyzed using SPSS Statistics 28, with descriptive statistics, t-tests, and Chi-square analyses used to assess differences pre- and post-law implementation. Results: Of the participants, 29% owned firearms, with 86% of firearm owners having children in the home. Firearms were primarily stored locked and unloaded. No significant differences in storage practices were observed after implementation of Jaelynn’s Law. Participants cited quick access for personal protection as a key barrier to safe storage. Conclusions: We found no significant change in safe storage practices post-implementation of Jaelynn’s Law. Concerns about personal safety continue to be of primary concern and public health campaigns, legislative measures, and community investment are necessary to enhance safety and safe storage compliance. Full article
18 pages, 412 KB  
Article
Autoregressive Distributed Lag (ARDL) Analysis of Selected Climatic, Trade and Macroeconomic Determinants of South African White Maize Price Movements
by Phuti Garald Semenya, Chiedza L. Muchopa and Arone Vutomi Baloi
Agriculture 2026, 16(7), 804; https://doi.org/10.3390/agriculture16070804 - 4 Apr 2026
Viewed by 190
Abstract
This study examines selected factors influencing white maize price movements in South Africa over the period 1994–2024. Given the importance of white maize for food security, understanding the drivers of producer price dynamics is essential for effective policy formulation and managing price stability. [...] Read more.
This study examines selected factors influencing white maize price movements in South Africa over the period 1994–2024. Given the importance of white maize for food security, understanding the drivers of producer price dynamics is essential for effective policy formulation and managing price stability. Annual time-series data are analysed using an Autoregressive Distributed Lag (ARDL) modelling framework, complemented by bounds testing, an error-correction model, Toda–Yamamoto causality and structural break tests. The bounds test confirms the existence of a stable long-run cointegrating relationship between maize prices and the selected explanatory variables. In the short run, imports and fuel prices exert significant upward pressure on maize producer prices, while lagged fuel prices and rainfall reduce prices. In the long run, imports and fuel prices remain statistically significant determinants, whereas maize production, exports, the exchange rate, and rainfall are insignificant. Complemented with the structural break tests that identify regime shifts in the early 2000s, 2012, and 2021, causality results indicate that imports, rainfall and fuel prices lead to Granger causality in maize producer prices. Collectively the findings reinforce the conclusion that white maize prices in South Africa are governed by long-run structural relationships, while short-run price movements reflect temporary adjustments rather than permanent shifts in market fundamentals. An integrated, long-horizon analysis that jointly incorporates climatic, trade, and macroeconomic determinants within an ARDL framework is provided by the study. Therefore, the findings have important implications for climate-risk management, transport cost containment, trade and price-stabilisation policies. Full article
(This article belongs to the Special Issue Price and Trade Dynamics in Agricultural Commodity Markets)
Show Figures

Figure 1

6 pages, 685 KB  
Proceeding Paper
Contactless Footprint Acquisition and Automated Identification Using Convolutional Neural Network
by Angelica A. Claros, Elmo Joaquin D. Estacion and Jocelyn F. Villaverde
Eng. Proc. 2026, 134(1), 30; https://doi.org/10.3390/engproc2026134030 - 3 Apr 2026
Abstract
Biometric systems are widely used in security and forensic applications. Conventionally, contact-based footprint scanners require physical contact, which presents significant limitations. These devices raise hygiene concerns and are impractical in field identification conditions, such as forensic investigations or disaster victim identification, where quick [...] Read more.
Biometric systems are widely used in security and forensic applications. Conventionally, contact-based footprint scanners require physical contact, which presents significant limitations. These devices raise hygiene concerns and are impractical in field identification conditions, such as forensic investigations or disaster victim identification, where quick and non-invasive methods are essential. To address these challenges, a contactless footprint acquisition and identification system was developed using image processing techniques and a Convolutional Neural Network (CNN) based on the Visual Geometry Group–16 layer architecture. The system employs a Raspberry Pi 4, a Logitech C922 camera, and a ring light to capture footprints without direct surface contact. Captured images are processed with Contrast Limited Adaptive Histogram Equalization (CLAHE) to improve contrast and mean thresholding to generate binary images for clearer feature extraction. System performance was evaluated using a multiclass confusion matrix. The CNN correctly classified 158 of 160 test images, achieving an accuracy of 98.75%. This result demonstrates higher accuracy than earlier studies that used older CNN models, such as Alex Krizhevsky’s Network and LeCun’s Network-5, which performed with fewer subjects and lower accuracy rates. The developed system shows potential for biometric security, forensic investigations, and disaster response, where contactless and reliable identification is required. Future research can expand the dataset with more diverse footprints, test performance under varied conditions, and extend the approach to other contactless biometrics such as palmprints or ears. Full article
Show Figures

Figure 1

24 pages, 2158 KB  
Article
NetworkGuard: An Edge-Based Virtual Network Sensing Architecture for Real-Time Security Monitoring in Smart Home Environments
by Dalia El Khaled, Raghad AlOtaibi, Nuria Novas and Jose Antonio Gazquez
Sensors 2026, 26(7), 2231; https://doi.org/10.3390/s26072231 - 3 Apr 2026
Viewed by 276
Abstract
NetworkGuard is a modular edge-based virtual network sensing framework designed for residential smart home security. The system interprets network telemetry—such as DNS queries, firewall events, VPN latency, and connection establishment delay—as structured sensing signals for gateway-level monitoring. Implemented on a Raspberry Pi 4 [...] Read more.
NetworkGuard is a modular edge-based virtual network sensing framework designed for residential smart home security. The system interprets network telemetry—such as DNS queries, firewall events, VPN latency, and connection establishment delay—as structured sensing signals for gateway-level monitoring. Implemented on a Raspberry Pi 4 and managed via an Android interface, NetworkGuard integrates DNS filtering (Pi-hole), firewall enforcement (UFW), encrypted VPN tunneling (WireGuard), and an AI-assisted advisory layer for contextual log interpretation. During a six-week residential deployment, DNS blocking efficiency improved from 81.2% to 97.0% following blocklist refinement, while VPN connection establishment time decreased from approximately 3012 ms to 2410 ms after configuration tuning. ICMP-based measurements indicated a stable tunnel latency under moderate traffic conditions. Controlled validation scenarios—including DNS manipulation attempts, port scanning, and VPN interruption testing—confirmed consistent firewall enforcement and tunnel containment. The results demonstrate that layered security principles can be adapted into a lightweight, reproducible edge architecture suitable for small-scale residential IoT environments without a reliance on enterprise infrastructure. Full article
(This article belongs to the Section Sensor Networks)
Show Figures

Figure 1

28 pages, 5004 KB  
Article
High-Precision Spoofing Detection Using an Auxiliary Baseline Three-Antenna Configuration for GNSS Systems
by Jiajia Chen, Xing’ao Wang, Zhibo Fang, Ming Gao and Ying Xu
Aerospace 2026, 13(4), 339; https://doi.org/10.3390/aerospace13040339 - 3 Apr 2026
Viewed by 218
Abstract
As Global Navigation Satellite Systems (GNSSs) underpin safety-critical infrastructure, their vulnerability to sophisticated spoofing attacks poses severe physical layer security risks. To address the limitations of existing single-antenna defense mechanisms, this paper proposes a rigorous instantaneous spoofing detection framework utilizing a novel “one-primary-two-auxiliary” [...] Read more.
As Global Navigation Satellite Systems (GNSSs) underpin safety-critical infrastructure, their vulnerability to sophisticated spoofing attacks poses severe physical layer security risks. To address the limitations of existing single-antenna defense mechanisms, this paper proposes a rigorous instantaneous spoofing detection framework utilizing a novel “one-primary-two-auxiliary” three-antenna configuration. By embedding the rigid baseline length as a hard geometric constraint into the Integer Least Squares (ILS) model, we derive a specialized constrained LAMBDA algorithm that significantly shrinks the ambiguity search space. A rigorous hypothesis testing mechanism is established based on the Sum of Squared Residuals (SSR), analytically deriving the detection threshold from the central Chi-square distribution and analyzing the sensitivity via the non-central parameter. Through conducting field experiments using commercial receivers and professional GNSS signal simulators, the proposed method was validated using both single-satellite spoofing and full-constellation spoofing scenarios. Results demonstrate that the system achieves a Minimum Detectable Deviation (MDD) of spatial direction as low as 0.33 and maintains an empirical detection rate of >99% with a negligible false alarm rate. Notably, the method exhibits instantaneous response capabilities, effectively identifying both single-satellite and full-constellation spoofing attacks within a single epoch without requiring prior attitude information or external aiding. Full article
(This article belongs to the Section Astronautics & Space Science)
Show Figures

Figure 1

41 pages, 6580 KB  
Article
Self-Organized Criticality and Multifractal Characteristics of Power-System Blackouts: A Long-Term Empirical Study of China’s Power System
by Qun Yu, Zhiyi Zhou, Jiongcheng Yan, Weimin Sun and Yuqing Qu
Fractal Fract. 2026, 10(4), 239; https://doi.org/10.3390/fractalfract10040239 - 3 Apr 2026
Viewed by 130
Abstract
Power system blackouts represent typical manifestations of instability in complex systems, whose evolution often exhibits non-stationarity, long-range correlations, and nonlinear scaling behavior. Most reliability assessment methods widely used in engineering practice are built on the core assumptions of event independence and light-tailed distribution, [...] Read more.
Power system blackouts represent typical manifestations of instability in complex systems, whose evolution often exhibits non-stationarity, long-range correlations, and nonlinear scaling behavior. Most reliability assessment methods widely used in engineering practice are built on the core assumptions of event independence and light-tailed distribution, which will inevitably lead to systematic underestimation of extreme tail risks when blackouts actually present long-range memory and power-law heavy-tailed characteristics. Based on long-cycle historical blackout records of China’s power grid spanning 1981–2025, this paper develops an integrated framework combining Self-Organized Criticality (SOC) theory, Hurst exponent analysis, symbolic time-series methods, and Multifractal Detrended Fluctuation Analysis (MFDFA). This study systematically characterizes the evolution law and inherent dependence structure of blackout events from four dimensions: statistical scaling, temporal correlation, nonlinear structure, and multi-scale fractal spectrum. The results show that both the load-loss magnitudes and inter-event intervals of blackouts follow strict power-law distributions, with the system exhibiting scaling behavior consistent with SOC theory. The blackout event sequence presents significant long-range positive correlation and self-similarity, confirming a persistent long-term memory effect in the system evolution. Symbolic analysis further reveals the nonlinear fluctuation patterns and burst clustering behavior of the blackout process, reflecting the intermittency and complexity of blackout risks. MFDFA results verify that the blackout sequence has a broad-spectrum multifractal structure across different temporal scales, and Monte Carlo shuffle tests demonstrate that this multifractality mainly arises from intrinsic long-range temporal correlations, rather than being driven solely by heavy-tailed distribution. This study confirms that blackouts in China’s power grid are not random independent events, but present fractal statistical characteristics consistent with the self-organized critical mechanism. The findings provide a novel fractal perspective and quantitative framework for the statistical characterization, operational security assessment, and multi-scale early-warning modeling of blackout risks in China’s large-scale power systems. Full article
(This article belongs to the Special Issue Multifractal Analysis and Complex Systems)
Show Figures

Figure 1

16 pages, 900 KB  
Article
Perceived Stress and Associations Between Food Insecurity, Diet Quality, and Eating Behaviors: Evidence from Two Cross-Sectional Studies in U.S. Samples
by David G. Figueroa, Athena Cisneroz, Caroline A. Stiver, Lauren Tiongco-Hofschneider, Barbara A. Laraia, Elissa S. Epel and A. Janet Tomyiama
Nutrients 2026, 18(7), 1153; https://doi.org/10.3390/nu18071153 - 3 Apr 2026
Viewed by 238
Abstract
Background/Objectives: The present investigation examined whether perceived stress statistically mediated the association between food insecurity and diet quality, as well as maladaptive eating behaviors (i.e., reward-based eating, comfort eating). Methods: Study 1 used cross-sectional data from the National Heart, Lung, and Blood Institute [...] Read more.
Background/Objectives: The present investigation examined whether perceived stress statistically mediated the association between food insecurity and diet quality, as well as maladaptive eating behaviors (i.e., reward-based eating, comfort eating). Methods: Study 1 used cross-sectional data from the National Heart, Lung, and Blood Institute Growth and Health Study (N = 624), in which Black and white women completed self-report measures of food security, perceived stress, diet quality, and reward-based eating. Study 2 used cross-sectional data from a census-matched U.S. sample by age, gender, income, race/ethnicity, and census region (N = 1993), with self-report measures of food security, perceived stress, and comfort eating. Mediation analyses tested the indirect effect of perceived stress on associations between food insecurity and diet quality, reward-based eating, and comfort eating, controlling for sociodemographic factors. Results: In Study 1, food insecurity was positively correlated with perceived stress (r = 0.30) and negatively correlated with diet quality (r = −0.11). Perceived stress mediated the relationship between food insecurity and higher reward-based eating (indirect effect = 0.14, 95% CI [0.08, 0.22]) but did not mediate the association between food insecurity and diet quality (indirect effect = −0.04, 95% CI [−0.11, 0.03]). In Study 2, food insecurity was positively correlated with perceived stress (r = 0.42) and comfort eating (r = 0.19). Using a two-part mediation model, perceived stress mediated the association between food insecurity and the frequency of comfort eating among individuals who reported at least one day of comfort eating, with the strongest indirect effect observed among food-insecure individuals (conditional indirect effect = 0.75, 95% CI [0.49, 1.13]). Conclusions: Across two cross-sectional studies, higher perceived stress statistically mediated the relationship between food insecurity and two forms of maladaptive eating behaviors, suggesting that perceived stress is an important correlate of these relationships. Future work is needed to further evaluate the causal relationships between these constructs. Full article
(This article belongs to the Special Issue Food Security, Food Insecurity, and Nutritional Health)
Show Figures

Figure 1

23 pages, 1006 KB  
Article
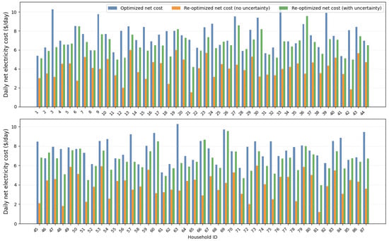
Uncertainty-Aware Incentive-Based Three-Level Flexibility Coordination for Distribution Networks
by Omar Alrumayh and Abdulaziz Almutairi
Electronics 2026, 15(7), 1503; https://doi.org/10.3390/electronics15071503 - 3 Apr 2026
Viewed by 190
Abstract
The rapid growth of distributed energy resources (DERs) is transforming distribution networks and increasing the need for coordinated flexibility management to maintain secure and economically efficient operation. In this work, we examine how uncertainty in load demand and photovoltaic (PV) generation affects incentive-based [...] Read more.
The rapid growth of distributed energy resources (DERs) is transforming distribution networks and increasing the need for coordinated flexibility management to maintain secure and economically efficient operation. In this work, we examine how uncertainty in load demand and photovoltaic (PV) generation affects incentive-based flexibility coordination within a hierarchical three-level framework. The proposed architecture integrates household energy management systems (HEMSs), an aggregator responsible for incentive allocation, and a distribution system operator (DSO) model based on AC optimal power flow. To account for demand and PV variability, a Γ-budget-robust optimization approach is adopted. Also, an incentive–penalty mechanism is introduced to allocate compensation according to each prosumer’s actual flexibility contribution while promoting economic fairness. The entire framework is implemented in PYOMO and tested on the IEEE 33-bus distribution system. A comparative evaluation between deterministic and uncertainty-aware cases is conducted to quantify the cost of robustness and to analyze its influence on flexibility participation, incentive distribution, household net cost, and voltage regulation performance. The results indicate that uncertainty can lead to deviations from initially scheduled flexibility commitments, thereby triggering penalty signals during re-optimization and strengthening contractual compliance. Although the robust formulation results in a moderate increase in operational cost, it substantially improves voltage compliance and overall system reliability. Overall, the findings highlight the importance of explicitly incorporating uncertainty in multi-level flexibility coordination to ensure both technical consistency and practical enforceability in modern distribution networks. Full article
Show Figures

Figure 1

18 pages, 2344 KB  
Article
Amino–MIL-101(Fe)/Chitosan–Graphene Oxide Cross-Linked Nanocomposite for High-Performance Adsorptive Remediation of Wastewater Microplastics from Environmental Samples
by Amr A. Yakout, Ahmed S. Badr El-din, Amani Al Solami and Abeer H. Aljadaani
Polymers 2026, 18(7), 878; https://doi.org/10.3390/polym18070878 - 2 Apr 2026
Viewed by 285
Abstract
One of the main sources of microplastic pollution in aquatic ecosystems is municipal wastewater, and preserving the ecological security of water depends on its effective removal. In this study, a potential multi-functionalized nanocomposite (NH2-MIL-101(Fe)/CS/GO), which consists of an iron-based metal–organic framework [...] Read more.
One of the main sources of microplastic pollution in aquatic ecosystems is municipal wastewater, and preserving the ecological security of water depends on its effective removal. In this study, a potential multi-functionalized nanocomposite (NH2-MIL-101(Fe)/CS/GO), which consists of an iron-based metal–organic framework (NH2-MIL-101(Fe)) integrated with chitosan (CS) as a biopolymer matrix and graphene oxide (GO) as a conductive support, was exploited to enhance microplastic removal via different adsorptive hydrophilic/hydrophobic interactions. According to adsorption tests, the removal efficiencies of NH2-MIL-101(Fe)/CS/GO for polyethylene terephthalate (PET) and polystyrene (PS) microplastics (25–30 μm) were 93.8% and 89.7%, respectively, at pH 6.2 and for 40 min of contact time. Adsorption isotherms were well fitted to both the Langmuir and the Freundlich models, and the maximum adsorption capacities of PET and PS were 321.4 and 255.1 mg·g−1, respectively. The removal efficiency reached 92.5% after six cycles. The proposed MOF-based CS/GO nanocomposite provides an efficient and durable method of controlling microplastic contamination in urban wastewater. The developed multi-functionalized nanocomposite offers excellent electrostatic and hydrophobic synergy through a large surface area and π–π interactions for GO, positively charged CS, and a very high surface area with tunable porosity for the amino–MIL-101 (Fe) moiety. The proposed MOF-based nanocomposite provides an effective and persistent method of reducing microplastic contamination in constructed wetlands and water/wastewater treatment plants. Full article
(This article belongs to the Special Issue Polymer Materials for Ecological and Environmental Applications)
Show Figures

Figure 1

13 pages, 3076 KB  
Article
A Rapid Visual Detection Method for Fasciola hepatica Based on RAA-CRISPR/Cas12b
by Jiangying Li, Tao Zhang, Jingkai Ai, Zijuan Zhao, Zhi Li, Yong Fu, Dan Jia, Hong Duo, Xiuying Shen, Ru Meng, Yingna Jian and Xueyong Zhang
Animals 2026, 16(7), 1093; https://doi.org/10.3390/ani16071093 - 2 Apr 2026
Viewed by 207
Abstract
Fascioliasis, a globally prevalent zoonosis, severely threatens public health and livestock security. Current diagnostic approaches, hindered by the need for sophisticated instrumentation and specialized expertise, are inadequate for on-site surveillance in resource-constrained settings. This study developed a rapid, visual detection assay for Fasciola [...] Read more.
Fascioliasis, a globally prevalent zoonosis, severely threatens public health and livestock security. Current diagnostic approaches, hindered by the need for sophisticated instrumentation and specialized expertise, are inadequate for on-site surveillance in resource-constrained settings. This study developed a rapid, visual detection assay for Fasciola hepatica via recombinase-aided amplification (RAA) integrated with CRISPR/Cas12b, addressing critical equipment and operational constraints. Targeting a specific mitochondrial DNA fragment of F. hepatica, recombinant plasmid standards were constructed, RAA primers and sgRNA optimized, and three detection modalities (real-time fluorescence, UV lamp, test strip) integrated. Clinical validation against PCR demonstrated 45 min turnaround time, F. hepatica-specific positivity, and real-time fluorescence sensitivity of 2.6 copies/μL. Results showed high concordance with PCR and qPCR, with substantially reduced assay duration and streamlined workflow. This highly sensitive, specific, multi-visualized method overcomes limitations of conventional techniques, offering an efficient, field-deployable tool for fascioliasis surveillance and control in grassroots and pastoral regions. Full article
(This article belongs to the Section Veterinary Clinical Studies)
Show Figures

Figure 1

35 pages, 907 KB  
Article
Supply Chain Concentration and Enterprise Resilience: Evidence from China
by Jingran Li, Guozhen Zhang and Xiaonan Wang
Systems 2026, 14(4), 386; https://doi.org/10.3390/systems14040386 - 2 Apr 2026
Viewed by 328
Abstract
In this VUCA era, investigating the impact of supply chain concentration on enterprise resilience holds significant theoretical and practical value. Using panel data from Chinese A-share listed companies (2012–2024), we find that high supply chain concentration significantly undermines enterprise resilience, and the conclusion [...] Read more.
In this VUCA era, investigating the impact of supply chain concentration on enterprise resilience holds significant theoretical and practical value. Using panel data from Chinese A-share listed companies (2012–2024), we find that high supply chain concentration significantly undermines enterprise resilience, and the conclusion remains robust after a series of robustness tests and endogeneity treatments. Mechanism analysis shows that financing constraints, innovation capability, and risk-taking act as important mediating channels. Furthermore, nonlinear analysis identifies structural dual-threshold effects associated with industry competition intensity and business environment quality, suggesting that the adverse effect of supply chain concentration on enterprise resilience varies across different threshold intervals. Heterogeneity analysis further shows that this negative impact is more pronounced in enterprises with weak internal management, low levels of digitalization, or excessive ESG greenwashing, as well as in external contexts such as less-developed regions, low regional data factorization levels, or non-high-tech industries. This study provides micro-level empirical evidence for understanding the strategic trade-off between supply chain structure and enterprise resilience and provides a reference for policy makers to improve the resilience and security of industrial chains. Full article
(This article belongs to the Section Supply Chain Management)
Show Figures

Figure 1

11 pages, 566 KB  
Proceeding Paper
Assessment of Mulching and Fungicide Application in Relation to the Nutritional Quality of Potato Tubers
by Nosipho Precious Minenhle Phungula, Sandile Thamsanqa Hadebe, Lucky Sithole and Nomali Ziphorah Ngobese
Biol. Life Sci. Forum 2026, 57(1), 6; https://doi.org/10.3390/blsf2026057006 - 1 Apr 2026
Viewed by 113
Abstract
Substandard agronomic practices commonly used by smallholder farmers compromise potato tuber nutritional quality, limiting the crop’s contribution to food and nutrition security. This study evaluated the effects of integrating cultivar selection, mulching, and fungicide application on potato tuber quality under selected smallholder localities. [...] Read more.
Substandard agronomic practices commonly used by smallholder farmers compromise potato tuber nutritional quality, limiting the crop’s contribution to food and nutrition security. This study evaluated the effects of integrating cultivar selection, mulching, and fungicide application on potato tuber quality under selected smallholder localities. Four varieties were tested across five localities over two seasons using a factorial randomized complete block design, under different management practices, mulching (mulched and non-mulched), and fungicide application (sprayed and unsprayed). Late and mid-maturing cultivar Panamera and Electra, respectively, combined with fungicide application, consistently showed high dry matter up to 24.6%, carbohydrate (17.0%), and energy up to 378 kJ. Mineral composition varied across treatments, potassium was the abundant mineral (204.6–360.5 mg/100 g), while magnesium (9.55–18.57 mg/100 g) and phosphorus (23.35–51.90 mg/100 g) also showed variation across treatments. This study highlights the importance of integrated management strategies to improve potato nutritional value for resource-constrained farmers. Full article
(This article belongs to the Proceedings of The 5th International Electronic Conference on Agronomy (IECAG 2025))
Show Figures

Figure 1

Back to TopTop