Sign in to use this feature.

Years

Between: -

Subjects

remove_circle_outline
remove_circle_outline
remove_circle_outline
remove_circle_outline
remove_circle_outline

Journals

Article Types

Countries / Regions

Search Results (18)

Search Parameters:
Keywords = second generation intact stability criteria

Order results
Result details
Results per page
Select all
Export citation of selected articles as:
50 pages, 1282 KB  
Review
Ship Manoeuvring Research 2010–2025: From Hydrodynamics and Control to Digital Twins, AI and MASS
by Mina Tadros, Myo Zin Aung, Panagiotis Louvros, Christos Pollalis, Amin Nazemian and Evangelos Boulougouris
J. Mar. Sci. Eng. 2025, 13(12), 2322; https://doi.org/10.3390/jmse13122322 - 7 Dec 2025
Viewed by 500
Abstract
Over the past fifteen years, ship manoeuvring has evolved from a highly specialised branch of marine hydrodynamics into a key enabler within multidisciplinary research, integrating seakeeping and intact stability, and paving the way for digital twins and autonomous maritime systems. The scope of [...] Read more.
Over the past fifteen years, ship manoeuvring has evolved from a highly specialised branch of marine hydrodynamics into a key enabler within multidisciplinary research, integrating seakeeping and intact stability, and paving the way for digital twins and autonomous maritime systems. The scope of this review is to examine the existing literature in a way that paves the way forward for integration with robotics, aerial and surface drones, digital-twin (DT) ecosystems, and other interconnected autonomous platforms. This paper reviews the published articles during this period, tracing the field’s progression from classical hydrodynamic models to intelligent, data-centric, and regulation-aware maritime systems. Drawing on a structured bibliometric dataset covering 2010–2025, this study organises the literature into interconnected themes spanning physics-based manoeuvring models, adaptive and predictive control, machine learning and digital-twin (DT) technologies, collision-avoidance and regulatory reasoning, environmental performance, and cooperative autonomy. The analysis reveals the transition from static empirical modelling toward hybrid physics, artificial intelligence (AI) frameworks capable of capturing nonlinear dynamics, uncertainty, and multi-vessel interactions. At the same time, this review highlights the growing influence of Convention on the International Regulations for Preventing Collisions at Sea (COLREGs), the Second-Generation Intact Stability Criteria, and emissions-reduction targets in shaping technical developments. While learning-enabled prediction, model predictive control (MPC)-based regulatory compliance, and real-time DT synchronisation show increasing maturity, this study identifies unresolved challenges, including domain shift, model interpretability, certification barriers, multi-agent safety guarantees, and DT divergence under sparse data. By mapping both demonstrated capabilities and conceptual frontiers, this review presents manoeuvring as a central pillar of future Maritime Autonomous Surface Ships (MASS) operations and sustainable shipping. The findings outline a research agenda toward integrated, explainable, and environmentally aligned manoeuvring intelligence that can support safe, efficient, and regulation-compliant autonomous maritime systems. Full article
(This article belongs to the Special Issue Models and Simulations of Ship Manoeuvring)
Show Figures

Figure 1

19 pages, 14633 KB  
Article
Impact Analysis of Hull Line Design on Fishing Vessels’ Vulnerability to Pure Loss of Stability
by Hangming Zhang, Kai Li, Guoxiong Mei, Jianzhao Ding and Qiqi Wu
J. Mar. Sci. Eng. 2025, 13(10), 1954; https://doi.org/10.3390/jmse13101954 - 13 Oct 2025
Viewed by 472
Abstract
Pure Loss of Stability is one of the five typical stability failure modes identified in the Second-Generation Intact Stability Criteria by the IMO. This study investigates the influence of hull line variations on the vulnerability of a saury fishing vessel to pure loss [...] Read more.
Pure Loss of Stability is one of the five typical stability failure modes identified in the Second-Generation Intact Stability Criteria by the IMO. This study investigates the influence of hull line variations on the vulnerability of a saury fishing vessel to pure loss of stability. Hull forms were parametrically modified using the Free-Form Deformation method, and an in-house code was developed to evaluate stability performance. The numerical framework was validated against the commercial ICS-HydroSTAB software (Version 1.0), demonstrating high computational accuracy and engineering applicability. Parametric sensitivity analysis was then conducted to examine the effects of geometric characteristics under both calm-water and wave-induced conditions. The results indicate that vulnerability in calm water is primarily governed by the maximum sectional area curve and the bow portion of the DWL half-breadth curve, while in waves it is influenced by both the maximum sectional area curve and the fore and aft portions of the DWL half-breadth curve. The half angle of entrance (E = 0.08) exhibits a comparatively minor effect, but its increase reduces the initial metacentric height and significantly elevates the risk of capsizing in waves. These findings provide useful references for hull form optimization and stability design. Full article
(This article belongs to the Section Ocean Engineering)
Show Figures

Figure 1

12 pages, 2585 KB  
Article
Design Analysis Using Evaluation of Surf-Riding and Broaching by the IMO Second Generation Intact Stability Criteria for a Small Fishing Boat
by Dongmin Shin and Byungyoung Moon
J. Mar. Sci. Eng. 2024, 12(11), 2066; https://doi.org/10.3390/jmse12112066 - 14 Nov 2024
Viewed by 1422
Abstract
An evaluation was conducted to assess the surf-riding/broaching vulnerability of a 9.77-ton fishing boat by applying the regulations for stability assessment proposed by IMO (International Maritime Organization). Both Level 1 and 2 assessments were conducted and included a range of parameters along with [...] Read more.
An evaluation was conducted to assess the surf-riding/broaching vulnerability of a 9.77-ton fishing boat by applying the regulations for stability assessment proposed by IMO (International Maritime Organization). Both Level 1 and 2 assessments were conducted and included a range of parameters along with the IMO second-generation intact stability criteria. In particular, it is considered three cases of wave forces acting on the hull for the surf-riding/broaching vulnerability Level 2 assessment calculations: (a) Froude-Krylov force (fFK) + 0.1M, (b) Froude-Krylov force (fFK) + added mass of the ship (Ma), and (c) Froude-Krylov force (fFK) + diffraction force (fD) + added mass of the ship (Ma). Previous results provided by IMO correspond to (b), and accurate calculation of wave forces helps to obtain more design margins. The design margins are high in the order (a) < (b) < (c), as described in the classification criteria. However, in certain cases, the assessment results may not differ significantly, so the hydrodynamic approximation assumption may be useful. Full article
(This article belongs to the Section Ocean Engineering)
Show Figures

Figure 1

18 pages, 7050 KB  
Article
A Numerical Method on Large Roll Motion in Beam Seas Under Intact and Damaged Conditions
by Jiang Lu, Yanjie Zhao, Chao Shi, Taijun Yu and Min Gu
J. Mar. Sci. Eng. 2024, 12(11), 2043; https://doi.org/10.3390/jmse12112043 - 11 Nov 2024
Viewed by 1236
Abstract
The second-generation intact stability criteria, including five stability failure modes, were approved by the International Maritime Organization (IMO) in 2020, and it is an urgent task to develop the numerical method for the significant roll motion under dead conditions. Both intact and damaged [...] Read more.
The second-generation intact stability criteria, including five stability failure modes, were approved by the International Maritime Organization (IMO) in 2020, and it is an urgent task to develop the numerical method for the significant roll motion under dead conditions. Both intact and damaged stability focus on the large roll motion in beam seas. A unified numerical method is studied to predict the large roll motion in regular and irregular beam seas under intact and damaged conditions. Firstly, a sway–heave–pitch–roll–yaw coupled equation named 5-DOF and a sway-roll-yaw coupled motion with the roll-righting arm in still water named 3-DOF are used to predict the large roll motion in regular beam seas under the intact and damaged conditions. Secondly, the method is extended for the large roll motion in irregular beam seas, where the diffraction force in the roll direction and the sway and yaw motion under intact and damaged conditions are calculated by the subharmonic superposition method. Thirdly, the roll-righting arm in the calm water, roll-damping coefficients, and the roll natural roll period, under the intact and damaged conditions, are obtained by software and a free roll decay experiment, respectively. Finally, the numerical results of a patrol boat under intact and damaged conditions are compared to the experimental results. The results show that the sway-roll-yaw coupled motion with the roll-righting arm in still water named 3-DOF can predict the large roll motion in regular and irregular beam seas under intact and damaged conditions. Full article
Show Figures

Figure 1

21 pages, 6552 KB  
Article
A Prediction Method and Model Experiments on Surf-Riding and Broaching in Stern-Quartering Waves
by Jilong Chu, Min Gu, Jiang Lu and Peijie Zhang
J. Mar. Sci. Eng. 2024, 12(9), 1538; https://doi.org/10.3390/jmse12091538 - 4 Sep 2024
Viewed by 3925
Abstract
At present, the International Maritime Organization (IMO) has issued interim guidelines for the direct stability assessment of surf-riding and broaching for the second-generation intact stability criteria. Accurately and efficiently predicting surf-riding and broaching remains a key problem to be solved for the direct [...] Read more.
At present, the International Maritime Organization (IMO) has issued interim guidelines for the direct stability assessment of surf-riding and broaching for the second-generation intact stability criteria. Accurately and efficiently predicting surf-riding and broaching remains a key problem to be solved for the direct stability assessment of surf-riding and broaching. Therefore, a six-degree-of-freedom(6DOF) coupled mathematical model is established in this paper. Firstly, the four-degree-of-freedom(4DOF) coupled equations of surge–sway–roll–yaw motions are built based on the traditional MMG maneuvering mathematical model by considering Froude–Krylov forces, diffraction forces and restoring forces, and the heave and pitch are approximately calculated by iteratively solving improved static equilibrium equations in real-time, effectively solving the divergence problem in direct time-domain seakeeping calculations of high-speed ships in stern-quartering waves. Secondly, the hydrodynamic lift forces due to the coexistence of wave particle velocity and ship forward velocity are taken into account in the propeller-thrust and rudder-force models. In addition, the real-time emersion of twin rudders in waves is considered in the rudder-force models. At the same time, the free-running model experiments with a ONR tumblehome vessel are carried out in stern-quartering waves, and the pure loss of stability and broaching motions are observed. Finally, comparative validations between the calculations and the experiments of surf-riding and broaching in stern-quartering waves are carried out, and the effects of the ship speed, the instantaneous wetted surface of the hull, rudder exposure, heave and pitch motions on predicting surf-riding and broaching motions are investigated. The computation results show that the established 6DOF mathematical model has enough accuracy to be used for the direct stability assessment of the surf-riding and broaching failure modes. Full article
(This article belongs to the Section Ocean Engineering)
Show Figures

Figure 1

31 pages, 12259 KB  
Article
An Investigation about Stability in Waves of Large Pleasure Yachts
by Nicola Petacco, Valerio Ruggiero and Paola Gualeni
J. Mar. Sci. Eng. 2023, 11(11), 2039; https://doi.org/10.3390/jmse11112039 - 24 Oct 2023
Cited by 1 | Viewed by 2228
Abstract
The IMO’s second-generation intact stability criteria (SGISc) have been applied to a set of seven megayacht units ranging from 40 m to 80 m. The application aims to evaluate their stability performance in a seaway. The assessment is based on two vulnerability levels, [...] Read more.
The IMO’s second-generation intact stability criteria (SGISc) have been applied to a set of seven megayacht units ranging from 40 m to 80 m. The application aims to evaluate their stability performance in a seaway. The assessment is based on two vulnerability levels, and the related criteria rely on the physics of the phenomena under investigation (dead ship condition, excessive acceleration, parametric rolling, pure loss of stability, and surf-riding). At the same time, SGISc provide methodological approaches to consider possible operational limitations related to the geographical area the vessel is meant to sail. Results of the comprehensive analysis carried out for the selected megayacht units are presented in term of limiting KG curves. Outcomes pointed out that inconsistencies among vulnerability levels still exist. Further comments about the relation of the investigated vessel typology and relevant operational profile have been reported. In addition, systematic analysis of the effect of the main design parameter on ship rules compliance has been carried out. Full article
(This article belongs to the Section Ocean Engineering)
Show Figures

Figure 1

22 pages, 18151 KB  
Article
A Unified Numerical Method for Broaching and Loss of Stability in Astern Seas
by Jiang Lu, Min Gu and Evangelos Boulougouris
J. Mar. Sci. Eng. 2023, 11(8), 1555; https://doi.org/10.3390/jmse11081555 - 6 Aug 2023
Cited by 4 | Viewed by 1952
Abstract
The interim guidelines of second-generation intact stability criteria and their explanatory note were issued by the IMO in 2022. However, due to their complexity, the direct stability assessments of broaching and loss of stability still need to be made easier for users. Therefore, [...] Read more.
The interim guidelines of second-generation intact stability criteria and their explanatory note were issued by the IMO in 2022. However, due to their complexity, the direct stability assessments of broaching and loss of stability still need to be made easier for users. Therefore, the mathematical models for broaching and loss of stability in astern seas are studied in this paper. Firstly, a time-domain 6 DOF numerical model is adopted, combining seakeeping and maneuvering mathematical models. Secondly, the hydrodynamic forces, heave, and pitch motions are obtained by an enhanced strip method with the upright hull at different speeds in the frequency domain. Then, their time-domain values are transferred from their frequency-domain values with the speed variation considered. Thirdly, the time-domain varied wet hull in waves is captured by the 6 DOF ship motion. Then, the Froude–Krylov and the hydrostatic forces in the surging, swaying, rolling, and yawing directions are simulated considering the wave pressure around the wet hull. Fourthly, the exposure of the twin rudders and the wave-particle velocity are considered for predicting broaching. Finally, the calculated results are compared with the published results. The results show that the time-domain 6 DOF coupled numerical model can be unified for predicting broaching and loss of stability in the astern seas. Full article
Show Figures

Figure 1

13 pages, 1633 KB  
Article
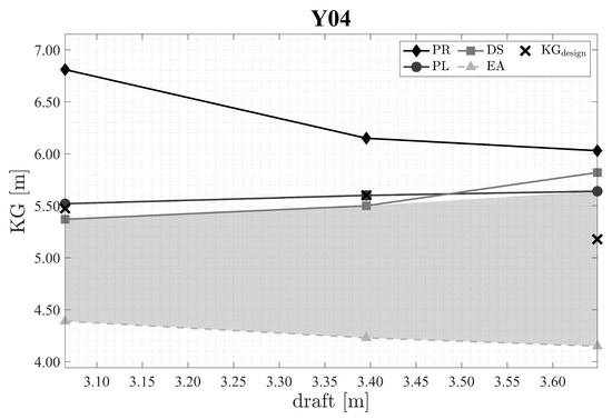
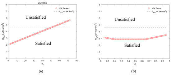
Evaluation of Parametric Roll Mode Applying the IMO Second Generation Intact Stability Criteria for 13K Chemical Tanker
by Dongmin Shin, Yonmo Sung, Hyomin Jeong, Daehyeon Kim and Byungyoung Moon
J. Mar. Sci. Eng. 2023, 11(7), 1462; https://doi.org/10.3390/jmse11071462 - 23 Jul 2023
Cited by 2 | Viewed by 2335
Abstract
In this paper, the evaluation procedure for Level 1, Level 2A, and Level 2B for the parametric roll among the five modes of the IMO second generation stability criteria was explained in detail. Parametric roll mode evaluation was performed using the design data [...] Read more.
In this paper, the evaluation procedure for Level 1, Level 2A, and Level 2B for the parametric roll among the five modes of the IMO second generation stability criteria was explained in detail. Parametric roll mode evaluation was performed using the design data of a medium-sized 13K chemical tanker instead of a well-known container ship. As a result of the Level 1 evaluation, δGM1/GM was smaller than the standard value, thus satisfying the first criterion, but the second criterion value was smaller than 1, so it was found that the Level 1 criterion was not satisfied. Subsequently, in the Level 2A evaluation, the weighted sum value was larger than the standard value under the ship speed and given wave conditions, so it was also not satisfied. In particular, the process of numerical analysis in the time domain was described through the equation of motion when estimating the maximum roll angle of a ship in the Level 2B evaluation, which was not detailed in previous studies. The calculation result was larger than the standard value, so it was not satisfied, and consequently, the 13K chemical tanker did not satisfy Level 1, Level 2A, and 2B. Full article
(This article belongs to the Section Ocean Engineering)
Show Figures

Figure 1

15 pages, 2460 KB  
Article
Evaluation by a Quantitative Index about Intact Stability Performance in Waves of a Set of Megayacht Units
by Nicola Petacco and Paola Gualeni
J. Mar. Sci. Eng. 2023, 11(4), 814; https://doi.org/10.3390/jmse11040814 - 11 Apr 2023
Cited by 2 | Viewed by 3256
Abstract
Intact stability represents one of the most important topics when addressing ship safety, and it is ruled by the IMO Intact Stability code, evaluating ship stability in a calm water scenario. However, the interest in ship stability in waves has increased in recent [...] Read more.
Intact stability represents one of the most important topics when addressing ship safety, and it is ruled by the IMO Intact Stability code, evaluating ship stability in a calm water scenario. However, the interest in ship stability in waves has increased in recent years and this has led to the formulation of the second generation intact stability criteria (SGISc), finalized at IMO in 2020. In this research, an approach to quantitatively and comprehensively evaluate the ship stability performance in waves has been pursued. A methodology is developed with reference to the SGISc. The intact stability in waves index (ISWI) has been proposed, with the aim to become a complementary tool for designers and shipbuilders in the assessment of stability performance in waves. The ISWI represents a comprehensive stability index, able to capture the stability in waves performance of a vessel. The stability index has been verified on a set of megayacht units and its sensitivity to the wave characteristics has been tested, changing the environmental conditions. The outcomes point to a good agreement between the ISWI and the influence of environmental condition changes on the stability performance. Full article
Show Figures

Figure 1

18 pages, 10536 KB  
Article
Further Study on One of the Numerical Methods for Pure Loss of Stability in Stern Quartering Waves
by Jiang Lu, Min Gu and Evangelos Boulougouris
J. Mar. Sci. Eng. 2023, 11(2), 394; https://doi.org/10.3390/jmse11020394 - 10 Feb 2023
Cited by 5 | Viewed by 2645
Abstract
The International Maritime Organization (IMO) finalized the second-generation intact stability criteria in 2022. However, an accurate and practical numerical method for stability loss has yet to be established. Therefore, a 6 DOF numerical model is further improved based on the previous study. Firstly, [...] Read more.
The International Maritime Organization (IMO) finalized the second-generation intact stability criteria in 2022. However, an accurate and practical numerical method for stability loss has yet to be established. Therefore, a 6 DOF numerical model is further improved based on the previous study. Firstly, the rolling motion is simulated using a seakeeping model instead of the previous maneuvering mathematical model. Secondly, the roll-restoring variation is calculated directly considering the instantaneous wet hull instead of the previous pre-calculated method. Thirdly, transferring frequency to time is used to obtain heave and pitch motions, further considering yaw angle and sway velocity. Fourthly, the dynamic forces for sway, roll, and yaw motions are calculated, further considering the effect of the speed variation. Fifthly, the 6 DOF motions are used to determine the instantaneous wet hull, and the FK force and the hydrostatic force are calculated by the body’s exact method. Finally, a new conclusion is obtained that the sway and yaw motions’ effect on the ship speed loss, the relative longitudinal wave profile by the speed loss, the rudder angles, and the accompanying rudder forces in the rolling direction are significant, and much more than their centrifugal force or coupled force in the rolling direction. Full article
(This article belongs to the Topic Ship Dynamics, Stability and Safety)
Show Figures

Figure 1

18 pages, 3134 KB  
Article
Standard Wave Scatter Table Limitation for Evaluating SGISC Based on Hindcast Data Analysis
by Samuel Mangalathu Raj, Hossein Enshaei and Nagi Abdussamie
Appl. Sci. 2023, 13(2), 1181; https://doi.org/10.3390/app13021181 - 16 Jan 2023
Viewed by 2254
Abstract
The operational measure (OM) of the Second-Generation Intact Stability Criteria (SGISC) is the initial step toward the design of a performance-based dynamic stability assessment of the ship by considering the vessel’s operation, loading condition and weather parameters. The SGISC recommends the standard wave [...] Read more.
The operational measure (OM) of the Second-Generation Intact Stability Criteria (SGISC) is the initial step toward the design of a performance-based dynamic stability assessment of the ship by considering the vessel’s operation, loading condition and weather parameters. The SGISC recommends the standard wave scatter table (WST) for the environmental data, an indefinite requirement for a simplified assessment pathway, which provides the probability of wave occurrence. The existing standard WST was developed based on the North Atlantic Ocean. The study aims to identify the discrepancy in the probability of wave occurrence in the IMO-recommended WST when compared with developed hindcast WST for smaller regions of the North Atlantic Ocean for the application of the SGISC. This study is one of a kind and very significant, given that the assessment using the standard WST provided unrestricted operational ability to ship under the SGISC. The findings of this research provide insights into significant differences in the existing standard WST when compared graphically with hindcast data, especially across different seasons of the North Atlantic Ocean. A case study of OMs on the C11 class post-Panamax container ship for excessive acceleration is provided to better represent the study. In the case study, the operational limitation defined by the hindcast WST for individual sea areas and seasons is compared with the standard WST. This investigation shows that regional and seasonal operational limitations are required for season 4 operation beyond the standard WST safety estimation and that the operational limitation achieved with standard WST is not adequate. The findings suggest that the identified limitations significantly limit the use of a standard WST for unrestricted operational validation in the SGISC. The provided recommendation is very relevant in improving the safety assessment using vulnerability criteria, given that the hindcast data are reliable and available for the season and are also region-specific, and hence the accuracy of the ship stability can be improved while using the SGISC. Full article
(This article belongs to the Section Marine Science and Engineering)
Show Figures

Figure 1

13 pages, 2186 KB  
Article
Assessment of Excessive Acceleration of the IMO Second Generation Intact Stability Criteria for the Tanker
by Dong-Min Shin and Byung-Young Moon
J. Mar. Sci. Eng. 2022, 10(2), 229; https://doi.org/10.3390/jmse10020229 - 9 Feb 2022
Cited by 7 | Viewed by 3165
Abstract
Recently, the IMO (International Maritime Organization) has reviewed technical issues considering the second generation intact stability criteria in the design stage of ships. In this paper, the evaluation procedure for Lv1 (Level 1) and Lv2 (Level 2) was introduced by focusing on the [...] Read more.
Recently, the IMO (International Maritime Organization) has reviewed technical issues considering the second generation intact stability criteria in the design stage of ships. In this paper, the evaluation procedure for Lv1 (Level 1) and Lv2 (Level 2) was introduced by focusing on the excessive acceleration mode. Based on real ship data, the calculation process has been explained in detail to make it easy to understand. When the Lv1 criteria considering simple hydrostatic calculations are not satisfied, the computational results of the Lv2 criteria based on mathematical modeling and the hydrodynamics are presented. The relatively low ship roll periods and large changes in the hull shape in the vertical direction make the ships potentially vulnerable to excessive acceleration phenomena. Therefore, the minimum value of height KG that satisfies the stability criteria evaluation in consideration of loading conditions for actually navigating of the ship in the sea should be estimated and operated. In particular, roll damping coefficients using the Ikeda’s method, which are essential for Lv2 vulnerability calculation, were obtained and verified by comparing them with other ship results. Full article
(This article belongs to the Section Ocean Engineering)
Show Figures

Figure 1

38 pages, 3300 KB  
Article
Implementation of the IMO Second Generation Intact Stability Guidelines
by Kyle E. Marlantes, Sungeun (Peter) Kim and Lucas A. Hurt
J. Mar. Sci. Eng. 2022, 10(1), 41; https://doi.org/10.3390/jmse10010041 - 31 Dec 2021
Cited by 18 | Viewed by 6138
Abstract
This paper provides a discussion of the technical and theoretical ambiguities, requirements, and limitations to develop a practical implementation of the IMO Second Generation Intact Stability criteria. This discussion is the result of industry collaboration, where two implementations of the guidelines were developed [...] Read more.
This paper provides a discussion of the technical and theoretical ambiguities, requirements, and limitations to develop a practical implementation of the IMO Second Generation Intact Stability criteria. This discussion is the result of industry collaboration, where two implementations of the guidelines were developed jointly, albeit independently. Both implementations were then used to assess four sample cases: C11 container ship, KRISO container ship (KCS), barge, and fishing vessel, for which the detailed particulars and results are given. Conclusions on the practicalities of use, a comparison of the results, and suggestions on how the criteria might be integrated into a workflow are also given. Full article
(This article belongs to the Special Issue Dynamic Instability in Offshore Structures)
Show Figures

Figure 1

17 pages, 6976 KB  
Article
Application of the IMO Second Generation Intact Stability Criteria to a Ballast-Free Containership
by Nicola Petacco, Danilo Pitardi, Carlo Podenzana Bonvino and Paola Gualeni
J. Mar. Sci. Eng. 2021, 9(12), 1416; https://doi.org/10.3390/jmse9121416 - 11 Dec 2021
Cited by 16 | Viewed by 3644
Abstract
A methodology is presented to systematically modify the hull shape of a ballast-free container ship, in order to manage the issue of righting lever variation in waves. The IMO second generation intact stability criteria have been identified as a stability performance assessment tool, [...] Read more.
A methodology is presented to systematically modify the hull shape of a ballast-free container ship, in order to manage the issue of righting lever variation in waves. The IMO second generation intact stability criteria have been identified as a stability performance assessment tool, while the vertical prismatic coefficient has been selected as the leading parameter of hull modifications to carry out the sensitivity analysis. A revised Lackenby procedure has been chosen to make systematic changes at the hull form. The outcomes of this investigation point out that the proposed procedure is suitable to enable the ship to be fully compliant with the IMO vulnerability levels with minor design adjustment. Full article
Show Figures

Figure 1

17 pages, 2401 KB  
Article
A New Design Criterion to Improve the Intact Stability of Galician Small Fishing Vessels
by Jesús Alvite-Castro, José A. Orosa, Diego Vergara, Ángel M. Costa and Rebeca Bouzón
J. Mar. Sci. Eng. 2020, 8(7), 499; https://doi.org/10.3390/jmse8070499 - 7 Jul 2020
Cited by 7 | Viewed by 2876
Abstract
The first technical factor involved in maritime accidents is related to the lack of intact stability. The current stability criterion, based on fixing a minimum value for each of the different static and dynamic righting arms, is not regarded as satisfactory. Correspondingly, a [...] Read more.
The first technical factor involved in maritime accidents is related to the lack of intact stability. The current stability criterion, based on fixing a minimum value for each of the different static and dynamic righting arms, is not regarded as satisfactory. Correspondingly, a new criterion based on the transverse metacentric height, dynamic stability up to 70° heel, and critical wave height were considered for fishing vessels less than or equal to 24 m in length. This can be understood as an improvement on the Rahola criterion or an equivalent criterion of dead ship capsize mode, as assumed in the second-generation stability criteria. The proposed criterion, when used in a real case study on the Galician fishing grounds, achieved higher precision. The few vessels that did not comply with the proposed requirement can continue to operate in the area if the Meteorological and Oceanographic Coefficient (CMO) is considered at the time we employ our criteria. As a result, their activity is limited to only a few fishing grounds where adequate weather conditions exist. Finally, the methodology developed can be easily extrapolated to other regions in the world. Full article
Show Figures

Figure 1

Back to TopTop