Sign in to use this feature.

Years

Between: -

Subjects

remove_circle_outline
remove_circle_outline
remove_circle_outline
remove_circle_outline
remove_circle_outline
remove_circle_outline
remove_circle_outline
remove_circle_outline
remove_circle_outline

Journals

Article Types

Countries / Regions

Search Results (70)

Search Parameters:
Keywords = sea foam

Order results
Result details
Results per page
Select all
Export citation of selected articles as:
23 pages, 4495 KB  
Article
Transglutaminase Crosslinking Enhances Functional and Structural Properties of Fish Gelatins
by Sefik Tekle
Polymers 2025, 17(21), 2822; https://doi.org/10.3390/polym17212822 - 23 Oct 2025
Viewed by 884
Abstract
Fish gelatins are increasingly recognized as sustainable biopolymers for food, packaging, and biomedical applications; however, their functional performance often requires improvement. In this study, the effects of transglutaminase (TG) modification on the physicochemical and structural properties of trout (T) and sea bass (SB) [...] Read more.
Fish gelatins are increasingly recognized as sustainable biopolymers for food, packaging, and biomedical applications; however, their functional performance often requires improvement. In this study, the effects of transglutaminase (TG) modification on the physicochemical and structural properties of trout (T) and sea bass (SB) gelatins were systematically investigated. TG treatment enhanced gel strength in a species- and concentration-dependent manner, with trout increasing from 100 g (control) to 108 g at 0.04% TG and SB reaching a maximum of 163 g at 0.01% TG. Rheological measurements confirmed improved viscoelastic behavior, particularly in trout samples (G′ > G″). Emulsifying activity was optimized at 0.02–0.04% TG in trout, while excessive cross-linking reduced interfacial activity; nevertheless, emulsion stability was improved in both species. Foaming capacity and stability reached 195% and 148%, respectively, in trout, whereas higher TG concentrations led to reductions in SB foaming performance. Scanning electron microscopy revealed denser and more homogeneous networks in TG-modified gels, correlating with their enhanced rigidity. Transparency remained high, while zeta potential shifted toward more negative values, indicating improved colloidal stability. FTIR, UV–Vis, and DSC analyses confirmed conformational rearrangements and thermal stabilization after cross-linking. Minor decreases in oil-binding capacity and slight color changes were also observed. Overall, TG cross-linking significantly enhanced the functional and structural properties of fish gelatins in a source-dependent manner, supporting their potential as versatile and sustainable biopolymers for diverse industrial applications. Full article
(This article belongs to the Section Biobased and Biodegradable Polymers)
Show Figures

Figure 1

16 pages, 11432 KB  
Article
Added Resistance and Motion Predictions for a Medium-Sized RoPax Ferry
by Ermina Begovic, Raffaele Ponzini, Francesco Salvadore, Gennaro Rosano and Arianna Bionda
J. Mar. Sci. Eng. 2025, 13(10), 2006; https://doi.org/10.3390/jmse13102006 - 19 Oct 2025
Viewed by 474
Abstract
The present paper reports the comparison of the ship motions and added resistance assessment using high fidelity RANSE simulations in virtual towing tank LincoSim, using 2D strip theory as implemented in ShipX v4.4.0 and 3D BEM potential flow software Hydrostar v8.2.1. All calculations [...] Read more.
The present paper reports the comparison of the ship motions and added resistance assessment using high fidelity RANSE simulations in virtual towing tank LincoSim, using 2D strip theory as implemented in ShipX v4.4.0 and 3D BEM potential flow software Hydrostar v8.2.1. All calculations are performed for a medium-sized RoPax ferry of Levante Ferries fleet, which operates daily routes in the Ionian Sea. Calculations by ShipX are performed in frequency domain (using strip-theory and direct pressure integration) and in time domain. The high-fidelity RANSE seakeeping modeling is based on the open-source CFD code OpenFOAM v12 using a standardized framework, tailored to take advantage of HPC facilities and based on a forcing zone formulation. The CFD simulations are performed for six wave periods in head and beam seas at the constant wave height of 3 m. Comparison of the obtained results shows that potential-flow methods are very efficient and reliable tools, suitable for the massive calculations in the first stages of the project. High-fidelity RANSE modeling seems to be more suited for selected cases such as analysis of roll and added resistance in beam waves. Full article
(This article belongs to the Section Ocean Engineering)
Show Figures

Figure 1

27 pages, 5057 KB  
Article
Development and Hydrodynamic Performance of an Oscillating Buoy-Type Wave Energy Converter
by Yeison Berrio, Germán Rivillas-Ospina, Gregorio Posada Vanegas, Rodolfo Silva, Edgar Mendoza, Victor Pugliese and Augusto Sisa
Energies 2025, 18(16), 4383; https://doi.org/10.3390/en18164383 - 18 Aug 2025
Viewed by 1343
Abstract
The development of wave energy converters (WECs) faces several technical challenges, particularly enhancing the capturing efficiency, improving the conversion of mechanical to electric energy, and reducing energy losses in the transmission of electricity to land-based facilities. The present study is an assessment of [...] Read more.
The development of wave energy converters (WECs) faces several technical challenges, particularly enhancing the capturing efficiency, improving the conversion of mechanical to electric energy, and reducing energy losses in the transmission of electricity to land-based facilities. The present study is an assessment of the interaction between an oscillating buoy-type wave energy converter (WEC) and waves using experimental and numerical methods. A small-scale model was tested in a wave tank to evaluate its energy capturing efficiency, taking wave heights and periods as independent variables. The recorded data were used to validate OpenFOAM (version 9.0) simulations, which provided insights into system response characteristics. The findings highlight the critical role of resonance in optimizing energy capture, with maximum efficiency observed for medium wave periods, and with specific buoy configurations. The study also identified an inverse relationship between the capture width ratio and wave height, suggesting the need for customized buoy designs, tailored to specific sea states. The integrated approach used in this research provides a comprehensive understanding of WEC behaviour and offers valuable insights for advancing wave energy technologies and improving their sustainability and efficiency in diverse marine environments. Full article
Show Figures

Figure 1

15 pages, 4876 KB  
Article
Energy Absorption Characteristics of CFRP–Aluminum Foam Composite Structure Under High-Velocity Impact: Focusing on Varying Aspect Ratios and Relative Densities
by Jie Ren, Shujie Liu, Jiuhe Wang and Changfang Zhao
Polymers 2025, 17(15), 2162; https://doi.org/10.3390/polym17152162 - 7 Aug 2025
Cited by 4 | Viewed by 1296
Abstract
This study systematically investigates the high-velocity impact response and energy absorption characteristics of carbon fiber-reinforced plastic (CFRP)—aluminum foam (AlF) hybrid composite structures, aiming to address the growing demand for lightweight yet high-performance energy-absorbing materials in aerospace and protective engineering applications. Particular emphasis is [...] Read more.
This study systematically investigates the high-velocity impact response and energy absorption characteristics of carbon fiber-reinforced plastic (CFRP)—aluminum foam (AlF) hybrid composite structures, aiming to address the growing demand for lightweight yet high-performance energy-absorbing materials in aerospace and protective engineering applications. Particular emphasis is placed on elucidating the influence of key geometric and material parameters, including the aspect ratio of the columns and the relative density of the AlF core. Experimental characterization was first performed using a split Hopkinson pressure bar (SHPB) apparatus to evaluate the dynamic compressive behavior of AlF specimens with four different relative densities (i.e., 0.163, 0.245, 0.374, and 0.437). A finite element (FE) model was then developed and rigorously validated against the experimental data, demonstrating excellent agreement in terms of deformation modes and force–displacement responses. Extensive parametric studies based on the validated FE framework revealed that the proposed CFRP-AlF composite structure achieves a balance between specific energy absorption (SEA) and peak crushing force, showing a significant improvement over conventional CFRP or AlF. The confinement effect of CFRP enables AlF to undergo progressive collapse along designated orientations, thereby endowing the CFRP-AlF composite structure with superior impact resistance. These findings provide critical insight for the design of next-generation lightweight protective structures subjected to extreme dynamic loading conditions. Full article
Show Figures

Figure 1

32 pages, 10923 KB  
Article
Numerical Simulation of Hydrodynamic Characteristics for Monopile Foundations of Wind Turbines Under Wave Action
by Bin Wang, Mingfu Tang, Zhenqiang Jiang and Guohai Dong
Water 2025, 17(14), 2068; https://doi.org/10.3390/w17142068 - 10 Jul 2025
Viewed by 838
Abstract
The calculation and evaluation of wave loads represent a critical component in the design process of offshore wind turbines, which is of significant value for ensuring the safety and stability of offshore wind turbines during operation. In recent years, as the offshore wind [...] Read more.
The calculation and evaluation of wave loads represent a critical component in the design process of offshore wind turbines, which is of significant value for ensuring the safety and stability of offshore wind turbines during operation. In recent years, as the offshore wind power industry has extended into deep-sea areas, wind turbines and their foundation structures have gradually increased in scale. Due to the continuously growing diameter of fixed foundation structures, the wave loads they endure can no longer be evaluated solely by traditional methods. This study simplifies the monopile foundation structure of wind turbines into an upright circular cylinder. The open-source CFD platform OpenFOAM is employed to establish a numerical wave tank, and large eddy simulation (LES) models are used to conduct numerical simulations of its force-bearing process in wave fields. Through this approach, the hydrodynamic loads experienced by the single-cylinder structure in wave fields and the surrounding wave field data are obtained, with further investigation into its hydrodynamic characteristics under different wave environments. By analyzing the wave run-up distribution around cylinders of varying diameters and their effects on incident waves, a more suitable value range for traditional theories in engineering design applications is determined. Additionally, the variation laws of horizontal wave loads on single-cylinder structures under different parameter conditions (such as cylinder diameter, wave steepness, water depth, etc.) are thoroughly studied. Corresponding hydrodynamic load coefficients are derived, and appropriate wave force calculation methods are established to address the impact of value errors in hydrodynamic load coefficients within the transition range from large-diameter to small-diameter cylinders in traditional theories on wave force evaluation. This contributes to enhancing the accuracy and practicality of engineering designs. Full article
(This article belongs to the Section Oceans and Coastal Zones)
Show Figures

Figure 1

28 pages, 8138 KB  
Article
Characterizing Foam Generated by CO2-Switchable Surfactants for Underground CO2 Storage Application
by Khaled Alturkey, Stephen A. Azongo, Theodoros Argyrelis and Rasoul Mokhtari
Processes 2025, 13(6), 1668; https://doi.org/10.3390/pr13061668 - 26 May 2025
Viewed by 1010
Abstract
CO2-switchable surfactants, applicable for mitigating CO2 geological storage efficiency challenges, offer promising control over foam stability under reservoir conditions, but their performance under extreme pressure, temperature, and salinity still needs thorough investigation. This study experimentally characterizes the performance of CO [...] Read more.
CO2-switchable surfactants, applicable for mitigating CO2 geological storage efficiency challenges, offer promising control over foam stability under reservoir conditions, but their performance under extreme pressure, temperature, and salinity still needs thorough investigation. This study experimentally characterizes the performance of CO2-switchable surfactants by evaluating their interfacial tension (IFT) reduction, foamability, and foam stability under reservoir-relevant conditions. Six surfactants, including cationic (cetyltrimethylammonium bromide (CTAB) and benzalkonium chloride (BZK)) and nonionic amine-based surfactants (N,N-Dimethyltetradecylamine, N,N-Dimethyldecylamine, and N,N-Dimethylhexylamine), were assessed using synthetic brine mimicking a depleted North Sea oil reservoir. A fractional factorial design was employed to minimize experimental runs while capturing key interactions between surfactant type, temperature, salinity, and divalent ion concentrations. Foam switchability was analyzed by alternating CO2 and N2 injections, and interfacial properties were measured to establish correlations between foam generation and IFT. Experimental findings demonstrate that cationic surfactants (BZK and CTAB) exhibit CO2-switchability and moderate foam stability. Nonionic surfactants show tail length-dependent responsiveness, where D14 demonstrated the highest foamability due to its optimal hydrophilic–hydrophobic balance. IFT measurements revealed that BZK consistently maintained lower IFT values, facilitating stronger foam generation, while CTAB exhibited higher variability. The inverse correlation between IFT and foamability was observed. These insights contribute to the development of tailored surfactants for subsurface CO2 storage applications, improving foam-based mobility control in CCS projects. Full article
Show Figures

Figure 1

23 pages, 5875 KB  
Article
The Numerical Analysis of Hydrodynamic Response and Structural Stability of an Eccentric Conical Floating Structure
by Fei Qu, Shengtao Chen and Kang Zhang
J. Mar. Sci. Eng. 2025, 13(6), 1032; https://doi.org/10.3390/jmse13061032 - 24 May 2025
Viewed by 999
Abstract
This study examines the hydrodynamic response and structural stability of an eccentric conical floating structure, a return capsule for manned space missions, to ensure safe water landings. Using numerical simulations and experiments, we evaluated how center-of-mass offsets, displacement volume control, and environmental factors, [...] Read more.
This study examines the hydrodynamic response and structural stability of an eccentric conical floating structure, a return capsule for manned space missions, to ensure safe water landings. Using numerical simulations and experiments, we evaluated how center-of-mass offsets, displacement volume control, and environmental factors, including waves, currents, and wind, affect capsule stability. In still water, lateral center-of-mass offsets strongly affect stability through nonlinear restoring moments, whereas foam-based displacement control reduces motion amplitude and tilt angle. In dynamic sea conditions, wave parameters dominate motion, with surge displacement and pitch angle varying by wavelength and sea state. At higher sea states, nonlinear phenomena, including subharmonic resonance, amplify pitch angle extrema, compromising safety margins. This research offers key insights for evaluating and improving return capsule safety, highlighting the importance of complex multi-physics interactions in marine environments. Full article
(This article belongs to the Special Issue Numerical Analysis and Modeling of Floating Structures)
Show Figures

Figure 1

17 pages, 4096 KB  
Article
Tending to the Facial Surfaces of a Mathematical Biology Head-Scratcher: Why Does the Head of the Sea Turtle Natator depressus Resemble a Convex Zygomorphic Dodecahedron?
by David A. Becker
Animals 2025, 15(1), 100; https://doi.org/10.3390/ani15010100 - 4 Jan 2025
Viewed by 2076
Abstract
Two convex polyhedra that markedly resemble the head of the flatback sea turtle hatchling are identified. The first example is a zygomorphic tetragonal dodecahedron, while the other, an even better matching structure, is a related tetradecahedron, herein speculated to arise from this particular [...] Read more.
Two convex polyhedra that markedly resemble the head of the flatback sea turtle hatchling are identified. The first example is a zygomorphic tetragonal dodecahedron, while the other, an even better matching structure, is a related tetradecahedron, herein speculated to arise from this particular dodecahedron via known mechanisms gleaned from studies of the behavior of foams. A segmented, biomorphic, convex polyhedral model to address cephalic topology is thus presented stemming from solid geometry, anatomical observations, and a recently computed densest local packing arrangement of fifteen slightly oblate spheroids in which fourteen oblate spheroids surround a central such spheroid. This particular array of oblate spheroids shares salient structural features with the aforementioned dodecahedron. Successful testing of the model has been achieved by converting this array of fifteen oblate spheroids constructed with putty to the cephaloid dodecahedron in a process involving ventral elongation induced by stretching in the anterior direction along the anteroposterior axis (convergent extension). During convergent extension, the two left most anterolateral oblate spheroids that are in direct contact with the ventral spheroid of the array merge into a single lateral facet of the incipient dodecahedron, while the corresponding two right such oblate spheroids do the same. Thus, the fourteen outer oblate spheroids of the array give rise to the twelve facets of the finalized dodecahedron, while the central oblate spheroid remnant assumes an interior dodecahedral position. The hypothetical dodecahedron to tetradecahedron transformation entails the collapse of a tetravalent vertex (which is known to occur in foams as part of a T1 transition) followed by bilateral facet splitting. Remarkably, a model stipulating that convexity is to be retained in connection with this sequence of steps necessitates that the starting dodecahedral template undergoes modification to become a tetradecahedron in possession of precisely the highly ordered feature found at the top of the head of numerous specimens of the flatback sea turtle hatchling, namely, a fused medial pentagon–heptagon pair in the form of a pentagonal frontal scute and heptagonal frontoparietal scute. Such a possible new instance of geometric biomorphy, taken together with the correct anticipation of the cephalic pentagon–heptagon pair, might serve to instill further confidence in renewed efforts to shed light on morphogenesis with foam embryo models. Full article
(This article belongs to the Special Issue Animal Geometric Morphometrics—Concepts, Methods, and Applications)
Show Figures

Figure 1

29 pages, 9571 KB  
Article
Design and Multi-Objective Optimization of Auxetic Sandwich Panels for Blastworthy Structures Using Machine Learning Method
by Andika, Sigit Puji Santosa, Djarot Widagdo and Arief Nur Pratomo
Appl. Sci. 2024, 14(23), 10831; https://doi.org/10.3390/app142310831 - 22 Nov 2024
Cited by 6 | Viewed by 2982
Abstract
The design and multi-objective optimization of auxetic sandwich panels (ASPs) are performed to enhance the blastworthiness of armored fighting vehicles (AFVs). Various metastructures in the form of four auxetic geometries are proposed as the sandwich core: re-entrant honeycomb (REH), double-arrow honeycomb (DAH), star [...] Read more.
The design and multi-objective optimization of auxetic sandwich panels (ASPs) are performed to enhance the blastworthiness of armored fighting vehicles (AFVs). Various metastructures in the form of four auxetic geometries are proposed as the sandwich core: re-entrant honeycomb (REH), double-arrow honeycomb (DAH), star honeycomb (SH), and tetra-chiral honeycomb (CH). This paper employs a combination of finite element and machine learning methodologies to evaluate blastworthiness performance. Optimization is carried out using the nondominated sorting genetic algorithm II (NSGA-II) method. The optimization results show significant improvements in blastworthiness performance, with notable reductions in permanent displacement and enhancements in specific energy absorption (SEA). Global sensitivity analysis using SHapley Additive exPlanations (SHAP) reveals that cell thickness is the most critical factor affecting blastworthiness performance, followed by the number of cells and corner angle or radius for CH. The application of optimized ASP on AFVs shows promising results, with no failure occurring in the occupant floor. Furthermore, AFVs equipped with the optimized ASP DAH significantly reduce maximum displacement and acceleration by 39.00% and 43.56%, respectively, and enhance SEA by 48.30% compared to optimized aluminum foam sandwich panels. This study concludes that ASPs have potential applications in broader engineering fields. Full article
(This article belongs to the Special Issue Structural Dynamics and Protective Materials)
Show Figures

Figure 1

23 pages, 84462 KB  
Article
Enhanced Crashworthiness Parameters of Nested Thin-Walled Carbon Fiber-Reinforced Polymer and Al Structures: Effect of Using Expanded Polypropylene Foam
by Muhammet Muaz Yalçın and Mehmet İskender Özsoy
Appl. Sci. 2024, 14(21), 9635; https://doi.org/10.3390/app14219635 - 22 Oct 2024
Cited by 8 | Viewed by 1728
Abstract
The in-plane loading conditions of carbon fiber/epoxy composite (CFRP) and aluminum nested-tube-reinforced expanded polypropylene (EPP) blocks were empirically examined. This study used crashworthiness metrics to estimate the best design configuration under quasi-static loading rates. The experimental phase began with lateral loading testing of [...] Read more.
The in-plane loading conditions of carbon fiber/epoxy composite (CFRP) and aluminum nested-tube-reinforced expanded polypropylene (EPP) blocks were empirically examined. This study used crashworthiness metrics to estimate the best design configuration under quasi-static loading rates. The experimental phase began with lateral loading testing of single and nested aluminum and CFRP specimen. In-plane crushing experiments were performed on EPP foam blocks reinforced with nested tubes. Both single and nested aluminum tubes had comparable force–response curves and maintained their load-bearing capacity throughout testing. Despite a load-carrying capacity drop above a particular displacement threshold, the CFRP specimens had superior specific energy absorption (SEA) values due to their lightweight nature. The triple-tube nested specimens with two smaller tubes exhibited the best SEA results (1.72 and 1.88 J/g, respectively, for the aluminum and CFRP nested samples). During concurrent tube deformation, the nested samples showed a synergistic connection that increased energy absorption, especially in the EPP foam blocks with reinforced tubes. The study also examined the effects of building nested specimens with aluminum exterior tubes and CFRP inner tubes, and vice versa. This method showed that CFRP tubes within aluminum outer tubes lowered specimen weight (from 93.1 g to 67.7 g) and energy absorption (from 160.2 J to 153.3 J). However, the weight reduction outweighed the energy absorption, increasing SEA values for certain composite material configurations (from 1.72 J/g to 2.26 J/g). Full article
(This article belongs to the Section Mechanical Engineering)
Show Figures

Figure 1

18 pages, 2689 KB  
Article
Physicochemical Properties, Functionalities, and Antioxidant Activity of Protein Extracts from New Zealand Wild Sea Cucumbers (Australostichopus mollis)
by Yuan Wen, Xuan Dong, Leonardo N. Zamora, Andrew G. Jeffs and Siew Young Quek
Foods 2024, 13(17), 2735; https://doi.org/10.3390/foods13172735 - 28 Aug 2024
Cited by 6 | Viewed by 3075
Abstract
This study investigated the physicochemical properties, functionalities, and antioxidant capacities of protein extracts from wild sea cucumber Australostichopus mollis collected from four distinct locations in New Zealand. Protein was extracted from sea cucumber body walls using trypsin enzymatic extraction, followed by cold acetone [...] Read more.
This study investigated the physicochemical properties, functionalities, and antioxidant capacities of protein extracts from wild sea cucumber Australostichopus mollis collected from four distinct locations in New Zealand. Protein was extracted from sea cucumber body walls using trypsin enzymatic extraction, followed by cold acetone precipitation. The amino acid analysis revealed high glycine (189.08 mg/g), glutamic acid (119.45 mg/g), and aspartic acid (91.91 mg/g) concentrations in all samples. The essential amino acid indexes of the protein extracts (62.96, average) were higher than the WHO/FAO standard references, indicating the excellent protein quality of A. mollis. Furthermore, protein extracts from A. mollis demonstrated superior emulsifying activity (202.3–349.5 m2/g average) compared to commercial soy and whey protein isolates under all tested pH conditions, and enhanced foaming capacity (109.9–126.4%) and stability (52.7–72%) in neutral and acidic conditions. The extracts also exhibited good solubility, exceeding 70% across pH 3–11. Antioxidant capacities (ABTS and DPPH free radical scavenging activity and ferric reducing antioxidant power) were identified in A. mollis protein extracts for the first time, with clear variations observed among different locations. These findings elucidate the advantageous functional properties of protein extracts from wild New Zealand A. mollis and highlight their potential application as high-quality antioxidant food ingredients. Full article
(This article belongs to the Special Issue Recent Advances in Marine Functional Foods)
Show Figures

Figure 1

21 pages, 6386 KB  
Article
Computational Simulation of Monopile Scour under Tidal Flow Considering Suspended Energy Dissipation
by Jiawei Liu, Junliang Lu and Zejun Liang
Water 2024, 16(14), 1940; https://doi.org/10.3390/w16141940 - 9 Jul 2024
Cited by 5 | Viewed by 2012
Abstract
Local scour around bridge foundations significantly impacts the stability and safety of marine structures. The development of scour holes adjacent to the pile foundations of sea-crossing bridges, influenced by tidal currents, involves multidimensional physical fields, multiscale coupling, and complex variations in marine loads. [...] Read more.
Local scour around bridge foundations significantly impacts the stability and safety of marine structures. The development of scour holes adjacent to the pile foundations of sea-crossing bridges, influenced by tidal currents, involves multidimensional physical fields, multiscale coupling, and complex variations in marine loads. However, experimental models alone are inadequate for investigating the underlying mechanisms. Numerical simulation, a critical tool for studying local scour processes, faces the challenge of accurately modeling sediment transport, particularly under tidal flow conditions near pile foundations. To solve this challenge, this research considers the effect of reciprocating flow on sediment shear as well as its characteristic dissipation based on the immersed boundary method, introduces a reciprocating flow dissipation mechanism, and adds a momentum exchange term between the fluid and the sediment to derive a new controlling equation; a new tidal flow localized scour solver is ultimately constructed, termed TidalflowFOAM. The solver effectively simulates complex flow conditions under tidal currents, extending the modeling capabilities to more realistic three-dimensional bridge scour scenarios under combined wave and current conditions. Validation through cases reported in the literature and a series of controlled experiments, encompassing varying depths, flow velocities, and pile diameters, demonstrates the solver’s proficiency in capturing post-vortex data and accurately reflecting the influence of key factors on scour depth. However, the fidelity of the simulated scour hole morphology under tidal flow conditions behind the piles requires enhancement. The proposed numerical model for tidal flow conditions has high solution accuracy and can guide practical engineering applications. Full article
(This article belongs to the Special Issue Mathematical Models of Fluid Dynamics)
Show Figures

Figure 1

20 pages, 19157 KB  
Article
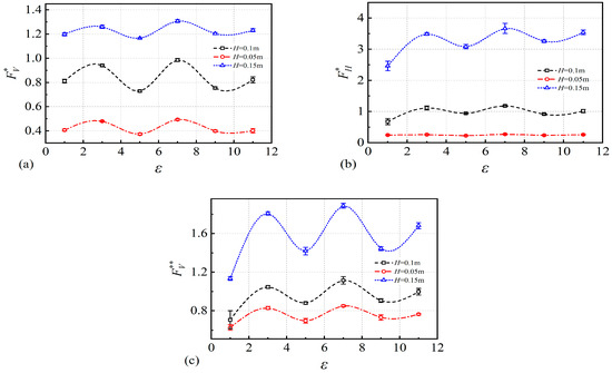
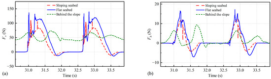
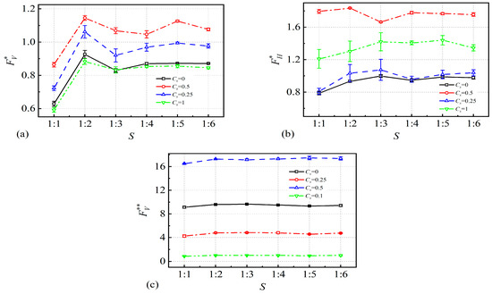
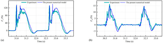
Numerical Investigation of Wave Force on Coastal Bridge Decks Close to a Sloping Seabed
by Changxin Tang, Qingli Zhao, Linshan Wang, Zaixian Chen and Qinghe Fang
J. Mar. Sci. Eng. 2024, 12(6), 984; https://doi.org/10.3390/jmse12060984 - 12 Jun 2024
Cited by 1 | Viewed by 1865
Abstract
Large waves pose a significant threat to the safety of low-laying coastal bridges. In 2004 and 2005, many coastal bridges were destroyed by the large waves generated by Hurricane Ivan and Katrina. A series of studies have been conducted to investigate the wave [...] Read more.
Large waves pose a significant threat to the safety of low-laying coastal bridges. In 2004 and 2005, many coastal bridges were destroyed by the large waves generated by Hurricane Ivan and Katrina. A series of studies have been conducted to investigate the wave action on bridge decks. However, the effect of seabed topography on wave forces is seldom considered. In this study, a numerical model of wave impact on bridge decks located close to a sloping seabed was set up based on OpenFOAM-v1912. The reliability of the present numerical model was checked against published experimental results. The wave forces acting on the bridge decks located before and after the sloping seabed were compared with a bridge deck located above a flat bottom. With the validated numerical model, the effect of the wave properties, coefficient of submergence, and the inclination on wave forces were investigated. The results show that the wave forces on the bridge are affected by the interaction among the incident and reflected waves, the position of the bridge relative to the sloping seabed, and the inclination. These findings emphasize the complex dynamic effects of wave forces on bridges and the importance of considering seabed topography in bridge design and strengthening strategies. This research contributes to an improvement in the safety of coastal bridges, especially in the face of increasing threats from climate change and sea level rise, as well as promotes the development of more resilient infrastructures. Full article
(This article belongs to the Section Coastal Engineering)
Show Figures

Figure 1

21 pages, 5501 KB  
Article
Optimizing Infragravity Wave Attenuation to Improve Coral Reef Restoration Design for Coastal Defense
by Benjamin K. Norris, Curt D. Storlazzi, Andrew W. M. Pomeroy and Borja G. Reguero
J. Mar. Sci. Eng. 2024, 12(5), 768; https://doi.org/10.3390/jmse12050768 - 1 May 2024
Cited by 7 | Viewed by 3823
Abstract
Coral reefs are effective natural flood barriers that protect adjacent coastal communities. As the need to adapt to rising sea levels, storms, and environmental changes increases, reef restoration may be one of the best tools available to mitigate coastal flooding along tropical coastlines, [...] Read more.
Coral reefs are effective natural flood barriers that protect adjacent coastal communities. As the need to adapt to rising sea levels, storms, and environmental changes increases, reef restoration may be one of the best tools available to mitigate coastal flooding along tropical coastlines, now and in the future. Reefs act as a barrier to incoming short-wave energy but can amplify low-frequency infragravity waves that, in turn, drive coastal flooding along low-lying tropical coastlines. Here, we investigate whether the spacing of reef restoration elements can be optimized to maximize infragravity wave energy dissipation while minimizing the number of elements—a key factor in the cost of a restoration project. With this goal, we model the hydrodynamics of infragravity wave dissipation over a coral restoration or artificial reef, represented by a canopy of idealized hemispherical roughness elements, using a three-dimensional Navier–Stokes equations solver (OpenFOAM). The results demonstrate that denser canopies of restoration elements produce greater wave dissipation under larger waves with longer periods. Wave dissipation is also frequency-dependent: dense canopies remove wave energy at the predominant wave frequency, whereas sparse canopies remove energy at higher frequencies, and hence are less efficient. We also identify an inflection point in the canopy density–energy dissipation curve that balances optimal energy losses with a minimum number of canopy elements. Through this work, we show that there are an ideal number of restoration elements per across-shore meter of coral reef flat that can be installed to dissipate infragravity wave energy for given incident heights and periods. These results have implications for designing coral reef restoration projects on reef flats that are effective both from a coastal defense and costing standpoint. Full article
(This article belongs to the Special Issue Coastal Engineering: Sustainability and New Technologies, 2nd Edition)
Show Figures

Figure 1

23 pages, 4426 KB  
Article
Baleen–Plastic Interactions Reveal High Risk to All Filter-Feeding Whales from Clogging, Ingestion, and Entanglement
by Alexander J. Werth, Shirel R. Kahane-Rapport, Jean Potvin, Jeremy A. Goldbogen and Matthew S. Savoca
Oceans 2024, 5(1), 48-70; https://doi.org/10.3390/oceans5010004 - 1 Feb 2024
Cited by 9 | Viewed by 9683
Abstract
Baleen whales are ecosystem sentinels of microplastic pollution. Research indicates that they likely ingest millions of anthropogenic microparticles per day when feeding. Their immense prey consumption and filter-feeding behavior put them at risk. However, the role of baleen, the oral filtering structure of [...] Read more.
Baleen whales are ecosystem sentinels of microplastic pollution. Research indicates that they likely ingest millions of anthropogenic microparticles per day when feeding. Their immense prey consumption and filter-feeding behavior put them at risk. However, the role of baleen, the oral filtering structure of mysticete whales, in this process has not been adequately addressed. Using actual baleen tissue from four whale species (fin, humpback, minke, and North Atlantic right) in flow tank experiments, we tested the capture rate of plastics of varying size, shape, and polymer type, as well as chemical residues leached by degraded plastics, all of which accumulated in the baleen filter. Expanded polystyrene foam was the most readily captured type of plastic, followed by fragments, fibers, nurdles, and spherical microbeads. Nurdle and microbead pellets were captured most readily by right whale baleen, and fragments were captured by humpback baleen. Although not all differences between polymer types were statistically significant, buoyant polymers were most often trapped by baleen. Plastics were captured by baleen sections from all regions of a full baleen rack, but were more readily captured by baleen from dorsal and posterior regions. Baleen–plastic interactions underlie various risks to whales, including filter clogging and damage, which may impede feeding. We posit that plastics pose a higher risk to some whale species due to a combination of factors, including filter porosity, diet, habitat and geographic distribution, and foraging ecology and behavior. Certain whale species in specific marine regions are of the greatest concern due to plastic abundance. It is not feasible to remove all plastic from the sea; most of what is there will continue to break into ever-smaller pieces. We suggest that higher priorities be accorded to lessening humans’ dependence on plastics, restricting entry points of plastics into the ocean, and developing biodegradable alternatives. Full article
(This article belongs to the Special Issue Marine Mammals in a Changing World, 2nd Edition)
Show Figures

Figure 1

Back to TopTop