Transglutaminase Crosslinking Enhances Functional and Structural Properties of Fish Gelatins
Abstract
1. Introduction
2. Materials and Methods
2.1. Materials
2.2. Productions of Fish Skin and TG-Modified Gelatins
2.2.1. Production of Fish Skin Gelatin
2.2.2. Preparations of TG-Modified Fish Gelatins
2.3. Functional Properties of Fish and TG-Modified Gelatins
2.3.1. Gel Strength
2.3.2. Emulsion Activity and Stability
2.3.3. Foam Capacity and Stability
2.3.4. Oil-Binding Capacity (OBC)
2.4. Physicochemical Properties of Fish and TG-Modified Gelatins
2.4.1. Zeta Potential
2.4.2. Transparency and Color Characteristics
2.5. Rheological Properties of Fish and TG-Modified Gelatin Gels
2.6. Structural Properties of Fish and TG-Modified Gelatins
2.6.1. Molecular Weight Distribution (SDS–PAGE Analysis)
2.6.2. FTIR Spectroscopy Analysis
2.6.3. UV-VIS Absorption Spectra
2.6.4. Differential Scanning Calorimetry (DSC) Analysis
2.6.5. Scanning Electron Microscopy (SEM) Analysis
2.7. Statistical Analysis
3. Results and Discussion
3.1. Functional Properties of Fish and TG-Modified Gelatins
3.1.1. Gel Strength
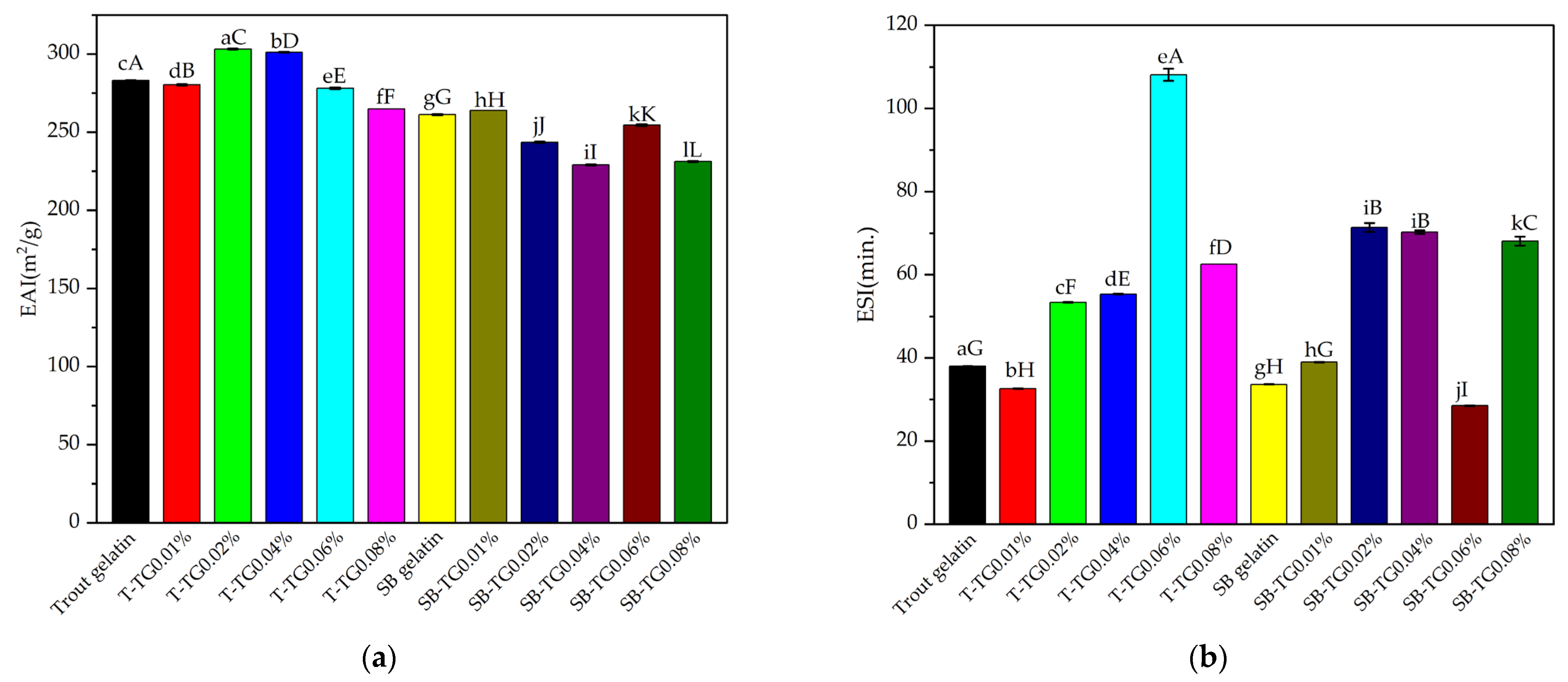
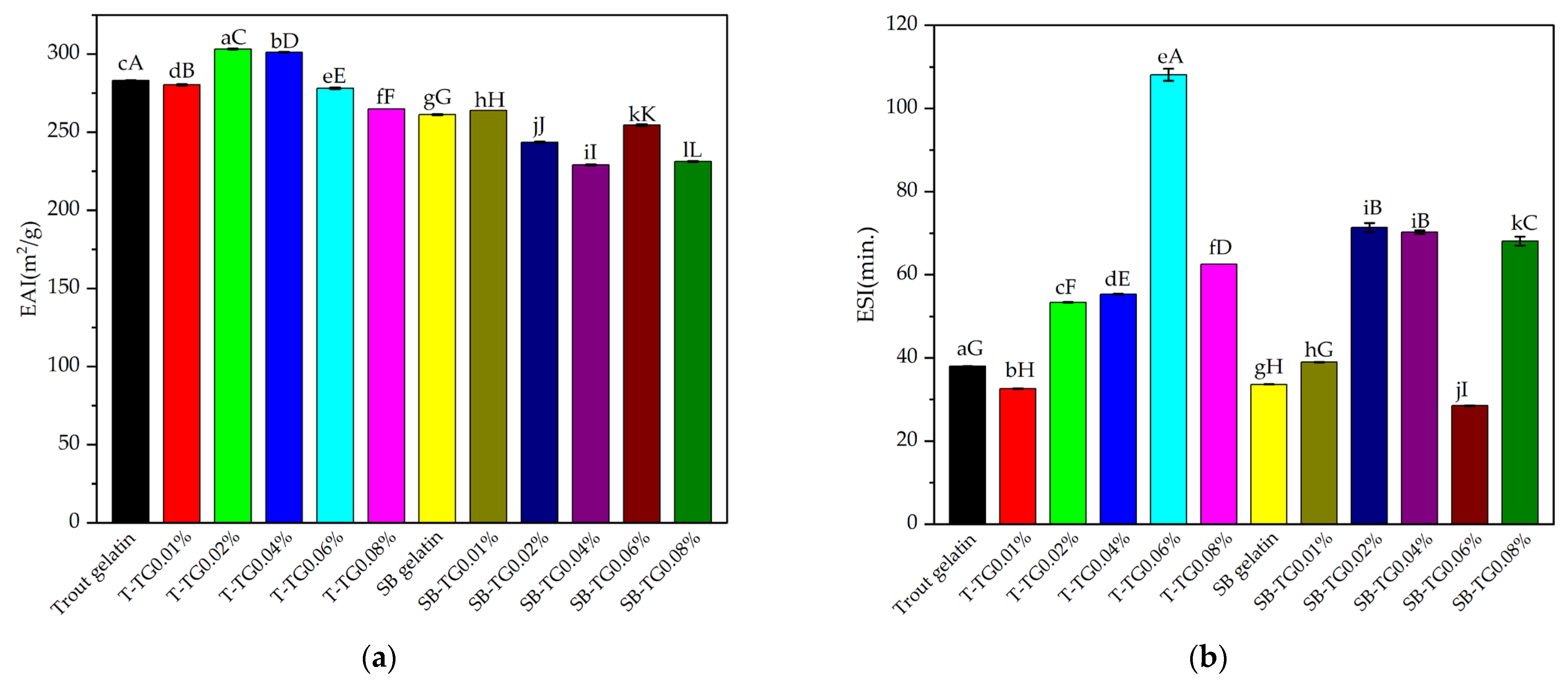
3.1.2. Emulsifying Activity and Stability
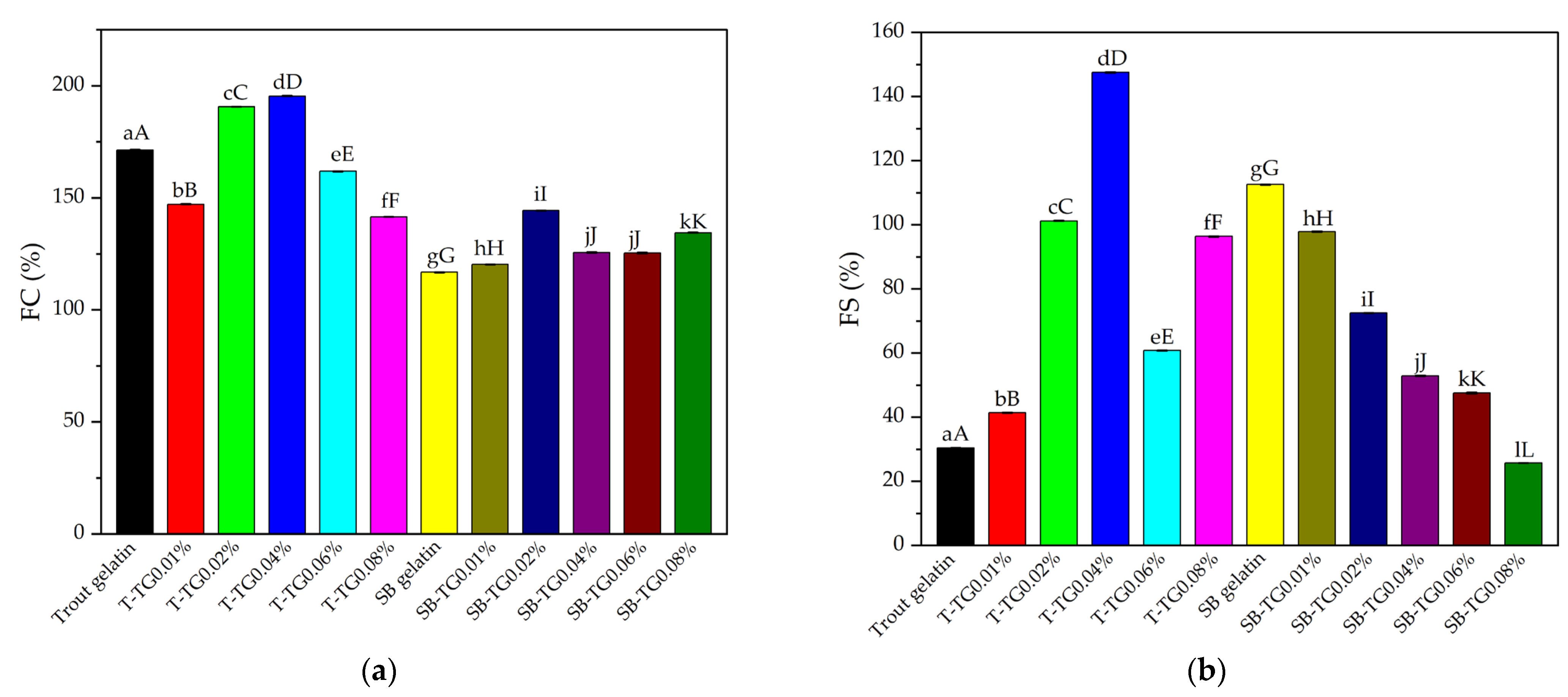
3.1.3. Foam Capacity and Stability
3.1.4. Oil-Binding Capacity (OBC)
3.2. Physicochemical Properties of Fish and TG-Modified Gelatins
3.2.1. Zeta Potential
3.2.2. Transparency and Color Characteristics
3.3. Rheological Properties of Fish and TG-Modified Gelatin Gels
3.4. Structural Properties of Fish and TG-Modified Gelatins
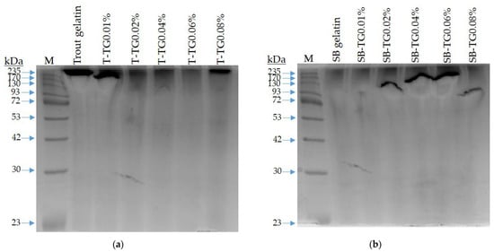
3.4.1. Molecular Weight Distribution
3.4.2. FTIR Analysis
3.4.3. UV-VIS Absorption Spectra
3.4.4. Differential Scanning Calorimetry (DSC) Analysis
3.4.5. Scanning Electron Microscopy (SEM) Analysis
4. Conclusions
Funding
Institutional Review Board Statement
Data Availability Statement
Conflicts of Interest
Abbreviations
| T | Trout gelatin |
| SB | Sea bass gelatin |
| TG | Transglutaminase |
| DSC | Differential scanning calorimetry |
| OBC | Oil-binding capacity |
| EAI | Emulsion activity index |
| ESI | Emulsion stability index |
| PBS | Phosphate-buffered saline |
| SDS | Sodium dodecyl sulfate |
| SEM | Scanning electron microscopy |
| Td | Phase transition temperature |
| TUIK | Turkish Statistical Institute |
| FC | Foam Capacity |
| FS | Foam Stability |
References
- Ahmad, M.I.; Li, Y.; Pan, J.; Liu, F.; Dai, H.; Fu, Y.; Huang, T.; Farooq, S.; Zhang, H. Collagen and gelatin: Structure, properties, and applications in food industry. Int. J. Biol. Macromol. 2024, 254, 128037. [Google Scholar] [CrossRef]
- Cebi, N.; Durak, M.Z.; Toker, O.S.; Sagdic, O.; Arici, M. An evaluation of Fourier transforms infrared spectroscopy method for the classification and discrimination of bovine, porcine and fish gelatins. Food Chem. 2016, 190, 1109–1115. [Google Scholar] [CrossRef]
- Joy, J.M.; Padmaprakashan, A.; Pradeep, A.; Paul, P.T.; Mannuthy, R.J.; Mathew, S. A Review on Fish Skin-Derived Gelatin: Elucidating the Gelatin Peptides—Preparation, Bioactivity, Mechanistic Insights, and Strategies for Stability Improvement. Foods 2024, 13, 2793. [Google Scholar] [CrossRef]
- Huang, T.; Tu, Z.-C.; Shangguan, X.; Sha, X.; Wang, H.; Zhang, L.; Bansal, N. Fish gelatin modifications: A comprehensive review. Trends Food Sci. Technol. 2019, 86, 260–269. [Google Scholar] [CrossRef]
- Derkach, S.R.; Kolotova, D.S.; Voron’ko, N.G.; Obluchinskaya, E.D.; Malkin, A.Y. Rheological Properties of Fish Gelatin Modified with Sodium Alginate. Polymers 2021, 13, 743. [Google Scholar] [CrossRef] [PubMed]
- Derkach, S.R.; Voron’ko, N.G.; Kuchina, Y.A.; Kolotova, D.S. Modified Fish Gelatin as an Alternative to Mammalian Gelatin in Modern Food Technologies. Polymers 2020, 12, 3051. [Google Scholar] [CrossRef]
- Wang, C.; Su, K.; Sun, W.; Huang, T.; Lou, Q.; Zhan, S. Comparative investigations of various modification methods on the gelling, rheological properties and mechanism of fish gelatin. Food Chem. 2023, 426, 136632. [Google Scholar] [CrossRef] [PubMed]
- Mao, L.; Ma, L.; Fu, Y.; Chen, H.; Dai, H.; Zhu, H.; Wang, H.; Yu, Y.; Zhang, Y. Transglutaminase modified type A gelatin gel: The influence of intra-molecular and inter-molecular cross-linking on structure-properties. Food Chem. 2022, 395, 133578. [Google Scholar] [CrossRef] [PubMed]
- Xu, J.; Yang, L.; Nie, Y.; Yang, M.; Wu, W.; Wang, Z.; Wang, X.; Zhong, J. Effect of transglutaminase crosslinking on the structural, physicochemical, functional, and emulsion stabilization properties of three types of gelatins. LWT 2022, 163, 113543. [Google Scholar] [CrossRef]
- Alavarse, A.C.; Frachini, E.C.G.; da Silva, R.L.C.G.; Lima, V.H.; Shavandi, A.; Petri, D.F.S. Crosslinkers for polysaccharides and proteins: Synthesis conditions, mechanisms, and crosslinking efficiency, a review. Int. J. Biol. Macromol. 2022, 202, 558–596. [Google Scholar] [CrossRef]
- Liu, Y.; Weng, R.; Wang, W.; Wei, X.; Li, J.; Chen, X.; Liu, Y.; Lu, F.; Li, Y. Tunable physical and mechanical properties of gelatin hydrogel after transglutaminase crosslinking on two gelatin types. Int. J. Biol. Macromol. 2020, 162, 405–413. [Google Scholar] [CrossRef]
- Huang, T.; Tu, Z.-C.; Wang, H.; Liu, W.; Zhang, L.; Zhang, Y.; ShangGuan, X.-C. Comparison of rheological behaviors and nanostructure of bighead carp scales gelatin modified by different modification methods. J. Food Sci. Technol. 2017, 54, 1256–1265. [Google Scholar] [CrossRef]
- Liu, C.; Song, J.; Wang, L.; Wang, P.; Ma, J.; Zhao, B.; Chen, X.; Wang, Y.; Zhang, W.; Wen, P. The impacts of different modification techniques on the gel properties and structural characteristics of fish gelatin. Food Hydrocoll. 2025, 158, 110536. [Google Scholar] [CrossRef]
- Yang, Y.; Mao, L.; Chen, H.; Ma, L.; Fu, Y.; Zhang, Y. The crosslinking sites and molecular conformation of gelatin hydrogel modified by transglutaminase. Food Hydrocoll. 2024, 154, 110132. [Google Scholar] [CrossRef]
- Lin, Y.; Roos, Y.H.; Miao, S. Transglutaminase crosslinked fish gelatin emulsion gels: Structure, rheology behaviors, and delivery functionality. Food Hydrocoll. 2025, 162, 111001. [Google Scholar] [CrossRef]
- Chen, H.; Wu, D.; Ma, W.; Wu, C.; Liu, J.; Du, M. Strong fish gelatin hydrogels double crosslinked by transglutaminase and carrageenan. Food Chem. 2022, 376, 131873. [Google Scholar] [CrossRef]
- TUIK. Su Ürünleri İstatistikleri. 2024. Available online: https://www.tarimorman.gov.tr/BSGM/Belgeler/Icerikler/Su%20Ürünleri%20Veri%20ve%20Dökümanları/Bsgm-istatistik.pdf (accessed on 25 May 2025).
- Tekle, S.; Bozkurt, F.; Akman, P.K.; Sagdic, O. Bioactive and Functional properties of gelatin peptide fractions obtained from sea bass (Dicentrarchus labrax) skin. Food Sci. Technol. 2022, 42, e60221. [Google Scholar] [CrossRef]
- Tekle, Ş. Production of protein hydrolysates from fish wastes and determination of their properties. Ph.D. Thesis, Yildiz Technical University, Istanbul, Türkiye, 2022. [Google Scholar]
- Boran, G.; Regenstein, J.M. Optimization of gelatin extraction from silver carp skin. J. Food Sci. 2009, 74, E432–E441. [Google Scholar] [CrossRef]
- Zamorano-Apodaca, J.C.; Garcia-Sifuentes, C.O.; Carvajal-Millan, E.; Vallejo-Galland, B.; Scheuren-Acevedo, S.M.; Lugo-Sanchez, M.E. Biological and functional properties of peptide fractions obtained from collagen hydrolysate derived from mixed by-products of different fish. Food Chem. 2020, 331, 127350. [Google Scholar] [CrossRef]
- Karoud, W.; Sila, A.; Krichen, F.; Martinez-Alvarez, O.; Bougatef, A. Characterization, Surface Properties and Biological Activities of Protein Hydrolysates Obtained from Hake (Merluccius merluccius) Heads. Waste Biomass Valorization 2019, 10, 287–297. [Google Scholar] [CrossRef]
- Kim, T.-K.; Ham, Y.-K.; Shin, D.-M.; Kim, H.-W.; Jang, H.W.; Kim, Y.-B.; Choi, Y.-S. Extraction of crude gelatin from duck skin: Effects of heating methods on gelatin yield. Poultry Sci. 2020, 99, 590–596. [Google Scholar] [CrossRef]
- Tekle, S.; Ozulku, G.; Bekiroglu, H.; Sagdic, O. Effects of Fish Skin Gelatin Hydrolysates Treated with Alcalase and Savinase on Frozen Dough and Bread Quality. Foods 2024, 13, 139. [Google Scholar] [CrossRef]
- Tekle, S.; Goktas, H.; Agan, C.; Develioglu-Arslan, A.; Tekin-Cakmak, Z.H. Using Fish Skin Gelatin Hydrolysate as Stabilizer and/or Emulsifier Agent in Ice Cream Production and Melting, Textural, Rheological, and Sensory Characteristics. Gels 2025, 11, 643. [Google Scholar] [CrossRef] [PubMed]
- Bozkurt, F.; Bekiroglu, H.; Dogan, K.; Karasu, S.; Sagdic, O. Technological and bioactive properties of wheat glutenin hydrolysates prepared with various commercial proteases. LWT 2021, 149, 111787. [Google Scholar] [CrossRef]
- Xu, M.; Wei, L.; Xiao, Y.; Bi, H.; Yang, H.; Du, Y. Physicochemical and functional properties of gelatin extracted from Yak skin. Int. J. Biol. Macromol. 2017, 95, 1246–1253. [Google Scholar] [CrossRef] [PubMed]
- Wu, J.; Xiao, J.; Zhu, M.; Yang, H.; Liu, J.; Liu, Y. Study of Physicochemical and Gelation Properties of Fish Gelatin from Different Sources. Appl. Sci. 2023, 13, 5337. [Google Scholar] [CrossRef]
- Mohtar, N.F.; Perera, C.O.; Quek, S.-Y.; Hemar, Y. Optimization of gelatine gel preparation from New Zealand hoki (Macruronus novaezelandiae) skins and the effect of transglutaminase enzyme on the gel properties. Food Hydrocoll. 2013, 31, 204–209. [Google Scholar] [CrossRef]
- Sha, X.-M.; Fang, T.; Zhang, J.-H.; Shu, S.; Jiang, W.-L.; Hu, Z.-Z.; Tu, Z.-C. In vitro gastrointestinal digestion of thermally reversible and irreversible fish gelatin induced by microbial transglutaminase. Food Hydrocoll. 2023, 145, 109079. [Google Scholar] [CrossRef]
- Zhang, T.; Sun, R.; Ding, M.; Tao, L.; Liu, L.; Tao, N.; Wang, X.; Zhong, J. Effect of extraction methods on the structural characteristics, functional properties, and emulsion stabilization ability of Tilapia skin gelatins. Food Chem. 2020, 328, 127114. [Google Scholar] [CrossRef]
- Huang, T.; Tu, Z.-C.; Shangguan, X.; Wang, H.; Zhang, N.; Zhang, L.; Sha, X. Gelation kinetics and characterization of enzymatically enhanced fish scale gelatin–pectin coacervate. J. Sci. Food Agric. 2018, 98, 1024–1032. [Google Scholar] [CrossRef]
- Lin, Y.; Du, H.; Roos, Y.; Miao, S. Transglutaminase crosslinked fish gelatins for emulsion stabilization: From conventional to Pickering emulsions. Food Hydrocoll. 2023, 144, 108979. [Google Scholar] [CrossRef]
- Wu, C.; Wang, J.; Yan, X.; Ma, W.; Wu, D.; Du, M. Effect of partial replacement of water-soluble cod proteins by soy proteins on the heat-induced aggregation and gelation properties of mixed protein systems. Food Hydrocoll. 2020, 100, 105417. [Google Scholar] [CrossRef]
- Boran, G.; Mulvaney, S.J.; Regenstein, J.M. Rheological Properties of Gelatin from Silver Carp Skin Compared to Commercially Available Gelatins from Different Sources. J. Food Sci. 2010, 75, E565–E571. [Google Scholar] [CrossRef] [PubMed]
- Boran, G.; Regenstein, J.M. Chapter 5—Fish Gelatin. In Advances in Food and Nutrition Research; Taylor, S.L., Ed.; Academic Press: Cambridge, MA, USA, 2010; Volume 60, pp. 119–143. [Google Scholar]
- Duan, R.; Zhang, J.; Du, X.; Yao, X.; Konno, K. Properties of collagen from skin, scale and bone of carp (Cyprinus carpio). Food Chem. 2009, 112, 702–706. [Google Scholar] [CrossRef]
- Yang, M.; Yang, L.; Xu, J.; Nie, Y.; Wu, W.; Zhang, T.; Wang, X.; Zhong, J. Comparison of silver carp fin gelatins extracted by three types of methods: Molecular characteristics, structure, function, and pickering emulsion stabilization. Food Chem. 2022, 368, 130818. [Google Scholar] [CrossRef]
- Ying, Q.; Zhan, S.; Lu, Q.; Yang, W.; Jia, R.; Li, G.; Huang, T. Polysaccharide modified fish gelatin intelligent hydrogels for reliable monitoring freshness of shrimp (Litopenaeus vannamei). Food Hydrocoll. 2025, 159, 110699. [Google Scholar] [CrossRef]












| Samples | Transparency (%) | OBC (mL/g) | Td (°C) |
|---|---|---|---|
| Trout gelatin | 99.61 ± 0.13 bC | 16.06 ± 0.25 aA | 84.20 ± 0.14 aA |
| T-TG0.01% | 100.00 aA | 11.97 ± 0.41 bB | 77.12 ± 0.28 bB |
| T-TG0.02% | 100.00 aA | 11.00 ± 0.92 bBC | 120.95 ± 0.37 cC |
| T-TG0.04% | 100.00 Aa | 7.62 ± 0.17 cE | 114.40 ± 0.26 dD |
| T-TG0.06% | 99.31 cD | 10.61 ± 1.59 bcBCD | 72.24 ± 0.21 eE |
| T-TG0.08% | 100.00 aA | 10.99 ± 0.11 bBC | 127.70 ± 0.33 fF |
| SB gelatin | 99.54 ± 0 yC | 8.97 ± 0.32 xyCDE | 120.89 ± 0.45 xC |
| SB-TG0.01% | 99.77 ± 0 xB | 7.95 ± 0.33 xyDE | 131.23 ± 0.53 yG |
| SB-TG0.02% | 99.31 ± 0 zD | 6.8 ± 0.89 yE | 134.45 ± 0.20 zH |
| SB-TG0.04% | 99.31 ± 0 zD | 8.52 ± 0.06 xyCDE | 130.87 ± 0.15 tI |
| SB-TG0.06% | 99.31 ± 0 zD | 9.2 ± 0.89 xCDE | 133.27 ± 0.27 kK |
| SB-TG0.08% | 99.31 ± 0 zD | 7.07 ± 0.21 xyE | 111.51 ± 0.33 mM |
| Samples | L* | a* | b* | ΔE |
|---|---|---|---|---|
| Trout gelatin | 100.58 ± 0.71 aA | −3.29 ± 0.05 bE | 15.97 ± 0.27 bC | - |
| T-TG0.01% | 99.41 ± 0.70 abcABCD | −3.02 ± 0.08 abCDE | 15.57 ± 0.32 bcC | 1.37 ± 1.36 aAB |
| T-TG0.02% | 100.61 ± 0.86 aA | −2.82 ± 0.32 aABCD | 14.4 ± 1.05 cD | 1.65 ± 0.89 aAB |
| T-TG0.04% | 99.91 ± 0.35 abABC | −3.1 ± 0.05 abDE | 18.15 ± 0.36 aAB | 2.30 ± 0.24 aAB |
| T-TG0.06% | 98.27 ± 0.10 cDE | −2.91 ± 0.08 abBCD | 15.00 ± 0.26 bcCD | 1.41 ± 0.46 aAB |
| T-TG0.08% | 98.85 ± 0.26 bcBCDE | −2.95 ± 0.09 abCD | 15.33 ± 0.33 bcCD | 2.23 ± 0.51 aAB |
| SB gelatin | 100.19 ± 0.41 xAB | −2.53 ± 0.02 xA | 17.67 ± 0.13 zB | - |
| SB-TG0.01% | 97.97 ± 0.18 yDE | −2.74 ± 0.02 ztABC | 18.48 ± 0.19 xyAB | 2.38 ± 0.54 xAB |
| SB-TG0.02% | 97.82 ± 0.21 yE | −2.62 ± 0.02 yAB | 18.92 ± 0.16 xA | 2.69 ± 0.36 xA |
| SB-TG0.04% | 97.50 ± 0.17 yE | −2.72 ± 0.01 czABC | 18.18 ± 0.11 yzAB | 2.74 ± 0.35 xA |
| SB-TG0.06% | 98.49 ± 0.59 yCDE | −2.78 ± 0.02 tABC | 18.26 ± 0.26 yzAB | 0.60 ± 0.33 yB |
| SB-TG0.08% | 97.77 ± 0.70 yE | −2.73 ± 0.03 ztABC | 18.28 ± 0.34 yAB | 0.80 ± 0.36 yB |
| Samples | β-Sheet | Random Coil | α-Helix | β-Turn |
|---|---|---|---|---|
| Trout gelatin | 40.69 ± 0.07 abDE | 8.57 ± 0.57 aH | 10.06 ± 0.82 aC | 40.66 ± 0.52 aB |
| T-TG0.01% | 40.02 ± 0.92 bE | 12.97 ± 0.76 bB | 9.36 ± 0.89 bD | 37.63 ± 0.22 bE |
| T-TG0.02% | 37.23 ± 0.65 cF | 15.98 ± 0.61 cA | 12.00 ± 0.44 cB | 34.77 ± 0.68 cH |
| T-TG0.04% | 41.29 ± 0.87 aD | 8.66 ± 0.27 aH | 10.62 ± 0.86 aC | 39.40 ± 0.97 dC |
| T-TG0.06% | 40.03 ± 0.83 abE | 9.83 ± 0.35 dF | 9.25 ± 0.85 bD | 40.88 ± 0.38 aB |
| T-TG0.08% | 29.46 ± 0.43 dG | 11.91 ± 1.00 eCD | 12.15 ± 0.22 cB | 46.47 ± 0.53 eA |
| SB gelatin | 53.38 ± 0.80 xA | 12.13 ± 0.83 xC | 16.17 ± 0.74 xA | 18.29 ± 0.61 xJ |
| SB-TG0.01% | 43.06 ± 0.60 zC | 11.94 ± 0.97 xyCD | 9.09 ± 0.91 yD | 35.88 ± 0.50 yG |
| SB-TG0.02% | 40.83 ± 0.67 tDE | 11.73 ± 0.52 yD | 10.53 ± 0.61 zC | 36.89 ± 0.18 zF |
| SB-TG0.04% | 42.46 ± 0.31 kC | 10.46 ± 0.63 zE | 10.36 ± 0.9 zC | 36.70 ± 0.81 zF |
| SB-TG0.06% | 46.42 ± 0.65 yB | 9.17 ± 0.43 tG | 10.46 ± 0.58 zC | 33.93 ± 0.32 tI |
| SB-TG0.08% | 45.78 ± 0.63 yB | 8.58 ± 0.36 kH | 7.45 ± 0.60 tE | 38.18 ± 0.29 kD |
Disclaimer/Publisher’s Note: The statements, opinions and data contained in all publications are solely those of the individual author(s) and contributor(s) and not of MDPI and/or the editor(s). MDPI and/or the editor(s) disclaim responsibility for any injury to people or property resulting from any ideas, methods, instructions or products referred to in the content. |
© 2025 by the author. Licensee MDPI, Basel, Switzerland. This article is an open access article distributed under the terms and conditions of the Creative Commons Attribution (CC BY) license (https://creativecommons.org/licenses/by/4.0/).
Share and Cite
Tekle, S. Transglutaminase Crosslinking Enhances Functional and Structural Properties of Fish Gelatins. Polymers 2025, 17, 2822. https://doi.org/10.3390/polym17212822
Tekle S. Transglutaminase Crosslinking Enhances Functional and Structural Properties of Fish Gelatins. Polymers. 2025; 17(21):2822. https://doi.org/10.3390/polym17212822
Chicago/Turabian StyleTekle, Sefik. 2025. "Transglutaminase Crosslinking Enhances Functional and Structural Properties of Fish Gelatins" Polymers 17, no. 21: 2822. https://doi.org/10.3390/polym17212822
APA StyleTekle, S. (2025). Transglutaminase Crosslinking Enhances Functional and Structural Properties of Fish Gelatins. Polymers, 17(21), 2822. https://doi.org/10.3390/polym17212822

