Sign in to use this feature.

Years

Between: -

Subjects

remove_circle_outline
remove_circle_outline
remove_circle_outline
remove_circle_outline
remove_circle_outline
remove_circle_outline
remove_circle_outline
remove_circle_outline
remove_circle_outline

Journals

remove_circle_outline
remove_circle_outline
remove_circle_outline
remove_circle_outline
remove_circle_outline

Article Types

Countries / Regions

remove_circle_outline
remove_circle_outline
remove_circle_outline
remove_circle_outline
remove_circle_outline
remove_circle_outline
remove_circle_outline

Search Results (2,897)

Search Parameters:
Keywords = satellite image mapping

Order results
Result details
Results per page
Select all
Export citation of selected articles as:
31 pages, 81142 KB  
Article
SAOF: A Semantic-Aware Optical Flow Framework for Fine-Grained Disparity Estimation in High-Resolution Satellite Stereo Images
by Dingkai Wang, Feng Wang, Jingyi Cao, Niangang Jiao, Yuming Xiang, Enze Zhu, Jingxing Zhu and Hongjian You
Remote Sens. 2025, 17(24), 4017; https://doi.org/10.3390/rs17244017 - 12 Dec 2025
Viewed by 60
Abstract
Disparity estimation from high-resolution satellite stereo images is critical for 3D reconstruction but remains challenging due to large disparities, complex structures, and textureless regions. To address this, we propose a Semantic-Aware Optical Flow (SAOF) framework for fine-grained disparity estimation, which enhances optical flow-based [...] Read more.
Disparity estimation from high-resolution satellite stereo images is critical for 3D reconstruction but remains challenging due to large disparities, complex structures, and textureless regions. To address this, we propose a Semantic-Aware Optical Flow (SAOF) framework for fine-grained disparity estimation, which enhances optical flow-based via a multi-level optimization incorporating sub-top pyramid re-PatchMatch, scale-adaptive matching windows, and multi-feature cost refinement. For improving the spatial consistency of the resulting disparity map, SAMgeo-Reg is utilized to produce semantic prototypes, which are used to build guidance embeddings for integration into the optical flow estimation process. Experiments on the US3D dataset demonstrate that SAOF outperforms state-of-the-art methods across challenging scenarios. It achieves an average endpoint error (EPE) of 1.317 and a D1 error of 9.09%. Full article
26 pages, 16103 KB  
Article
Integrating Phenological Features with Time Series Transformer for Accurate Rice Field Mapping in Fragmented and Cloud-Prone Areas
by Tiantian Xu, Peng Cai, Hangan Wei, Huili He and Hao Wang
Sensors 2025, 25(24), 7488; https://doi.org/10.3390/s25247488 - 9 Dec 2025
Viewed by 213
Abstract
Accurate identification and monitoring of rice cultivation areas are essential for food security and sustainable agricultural development. However, regions with frequent cloud cover, high rainfall, and fragmented fields often face challenges due to the absence of temporal features caused by cloud and rain [...] Read more.
Accurate identification and monitoring of rice cultivation areas are essential for food security and sustainable agricultural development. However, regions with frequent cloud cover, high rainfall, and fragmented fields often face challenges due to the absence of temporal features caused by cloud and rain interference, as well as spectral confusion from scattered plots, which hampers rice recognition accuracy. To address these issues, this study employs a Satellite Image Time Series Transformer (SITS-Former) model, enhanced with the integration of diverse phenological features to improve rice phenology representation and enable precise rice identification. The methodology constructs a rice phenological feature set that combines temporal, spatial, and spectral information. Through its self-attention mechanism, the model effectively captures growth dynamics, while multi-scale convolutional modules help suppress interference from non-rice land covers. The study utilized Sentinel-2 satellite data to analyze rice distribution in Wuxi City. The results demonstrated an overall classification accuracy of 0.967, with the estimated planting area matching 91.74% of official statistics. Compared to traditional rice distribution analysis methods, such as Random Forest, this approach outperforms in both accuracy and detailed presentation. It effectively addresses the challenge of identifying fragmented rice fields in regions with persistent cloud cover and heavy rainfall, providing accurate mapping of cultivated areas in difficult climatic conditions while offering valuable baseline data for yield assessments. Full article
(This article belongs to the Section Smart Agriculture)
Show Figures

Figure 1

23 pages, 22342 KB  
Article
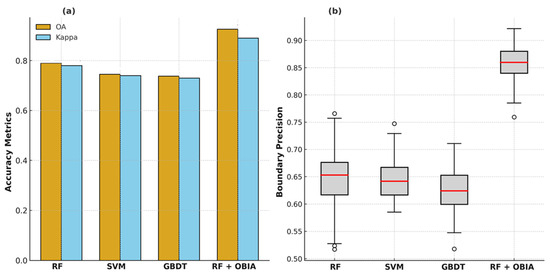
National-Scale Orchard Mapping and Yield Estimation in Pakistan Using Object-Based Random Forest and Multisource Satellite Imagery
by Ansar Ali, Ibrar ul Hassan Akhtar, Maisam Raza and Amjad Ali
Sensors 2025, 25(24), 7468; https://doi.org/10.3390/s25247468 - 8 Dec 2025
Viewed by 240
Abstract
Accurate geospatial inventories of fruit orchards are essential for precision horticulture and food security, yet Pakistan lacks consistent spatial datasets at district and tehsil levels. This study presents the first national-scale, object-based Random Forest (RF) framework for orchard delineation and yield estimation by [...] Read more.
Accurate geospatial inventories of fruit orchards are essential for precision horticulture and food security, yet Pakistan lacks consistent spatial datasets at district and tehsil levels. This study presents the first national-scale, object-based Random Forest (RF) framework for orchard delineation and yield estimation by integrating multi-temporal Sentinel-2 imagery on Google Earth Engine (GEE) with high-resolution Pakistan Remote Sensing Satellite-1 (PRSS-1) data. Among the tested classifiers, RF achieved the highest performance on Sentinel-2 data (Overall Accuracy (OA) = 79.0%, kappa (κ) = 0.78), outperforming Support Vector Machines (OA = 74.5%, κ = 0.74) and Gradient Boosting Decision Trees (OA = 73.8%, κ = 0.73), with statistical significance confirmed (McNemar’s χ2, p < 0.01). Integrating RF with Object-Based Image Analysis (OBIA) on PRSS-1 imagery further enhanced boundary precision (OA = 92.6%, κ = 0.89), increasing Producer’s and User’s accuracies to 90.4% and 91.5%, and increasing Intersection-over-Union (IoU) from 0.71 to 0.86 (p < 0.01). Regression-based yield modeling using field-observed data revealed that mean- and median vegetation index aggregations provided the most stable predictions (R2 = 0.77–0.79; RMSE = 72–105 kg tree−1), while extreme-value models showed higher errors (R2 = 0.46–0.56; RMSE > 560 kg tree−1). The resulting multisensory geospatial inventory of citrus and mango orchards establishes a scalable, transferable, and operationally viable framework for orchard mapping yield forecasting, and resource planning, demonstrating the strategic value of national satellite assets for food security monitoring in data-scarce regions. Full article
(This article belongs to the Section Smart Agriculture)
Show Figures

Figure 1

26 pages, 102536 KB  
Article
SPOD-YOLO: A Modular Approach for Small and Oriented Aircraft Detection in Satellite Remote Sensing Imagery
by Jiajian Chen, Pengyu Guo, Yong Liu, Lu Cao, Dechao Ran, Kai Wang, Wei Hu and Liyang Wan
Remote Sens. 2025, 17(24), 3963; https://doi.org/10.3390/rs17243963 - 8 Dec 2025
Viewed by 150
Abstract
The accurate detection of small, densely packed and arbitrarily oriented aircraft in high-resolution remote sensing imagery remains highly challenging due to significant variations in object scale, orientation and background complexity. Existing detection frameworks often struggle with insufficient representation of small objects, instability of [...] Read more.
The accurate detection of small, densely packed and arbitrarily oriented aircraft in high-resolution remote sensing imagery remains highly challenging due to significant variations in object scale, orientation and background complexity. Existing detection frameworks often struggle with insufficient representation of small objects, instability of rotated bounding box regression and inability to adapt to complex background. To address these limitations, we propose SPOD-YOLO, a novel detection framework specifically designed for small aircraft in remote sensing images. This method is based on YOLOv11, combined with the feature attention mechanism of swintransformer, through targeted improvements on cross-scale feature modelling, dynamic convolutional adaptation, and rotational geometry optimization to achieve effective detection. Additionally, we have constructed a new dataset based on satellite remote sensing images, which has high density of small aircraft with rotated bounding box annotations to provide more realistic and challenging evaluation settings. Extensive experiments on MAR20, UCAS-AOD and the constructed dataset demonstrate that our method achieves consistent performance gains over state-of-the-art approaches. SPOD-YOLO achieves an 4.54% increase in mAP50 and a 11.78% gain in mAP50:95 with only 3.77 million parameters on the constructed dataset. These results validate the effectiveness and robustness of our approach in complex remote sensing scenarios, offering a practical advancement for the detection of small objects in aerospace imagery. Full article
Show Figures

Figure 1

23 pages, 3401 KB  
Article
Remote Sensing Applied to Dynamic Landscape: Seventy Years of Change Along the Southern Adriatic Coast
by Federica Pontieri, Michele Innangi, Mirko Di Febbraro and Maria Laura Carranza
Remote Sens. 2025, 17(24), 3961; https://doi.org/10.3390/rs17243961 - 8 Dec 2025
Viewed by 310
Abstract
Coastal landscapes are complex socio-ecological systems that undergo rapid transformations driven by both natural dynamics and human pressures. Their sustainable management depends on robust, cost-effective remote sensing methodologies for long-term monitoring and quantitative assessment of spatiotemporal change. In this study, we developed an [...] Read more.
Coastal landscapes are complex socio-ecological systems that undergo rapid transformations driven by both natural dynamics and human pressures. Their sustainable management depends on robust, cost-effective remote sensing methodologies for long-term monitoring and quantitative assessment of spatiotemporal change. In this study, we developed an integrated remote-sensing-based framework that combines historical aerial photograph interpretation, transition matrix analysis, and machine learning to assess coastal dune landscape dynamics over a seventy-year period. Georeferenced orthorectified and preprocessed aerial imagery freely available from the Italian Ministry of the Environment for the years 1954, 1986, and Google Satellite Images for 2022 were used to generate detailed land-cover maps, enabling the analysis of two temporal intervals (1954–1986 and 1986–2022). Transition matrices quantified land-cover conversions and identified sixteen dynamic processes, while a Random Forest (RF) classifier, optimized through parameter tuning and cross-validation, modeled and compared landscape dynamics within protected Long-Term Ecological Research (LTER) sites and adjacent unprotected areas. Model performance was evaluated using Balanced Accuracy (BA) to ensure robustness and to interpret the relative importance of change-driving variables. The RF model achieved high accuracy in distinguishing change processes inside and outside LTER sites, effectively capturing subtle yet ecologically relevant transitions. Results reveal non-random, contrasting landscape trajectories between management regimes: protected sites tend toward naturalization, whereas unprotected sites exhibit persistent urban influence. Overall, this research demonstrates the potential of integrating multi-temporal remote sensing, spatial statistics, and machine learning as a scalable and transferable framework for long-term coastal landscape monitoring and conservation planning. Full article
(This article belongs to the Special Issue Emerging Remote Sensing Technologies in Coastal Observation)
Show Figures

Figure 1

18 pages, 2281 KB  
Article
Evaluating Remotely Sensed Spectral Indices to Quantify Seagrass in Support of Ecosystem-Based Fisheries Management in a Marine Protected Area of Western Australia
by Nick Konzewitsch, Lara Mist and Scott N. Evans
Remote Sens. 2025, 17(24), 3932; https://doi.org/10.3390/rs17243932 - 5 Dec 2025
Viewed by 237
Abstract
Understanding and monitoring benthic habitat distribution is essential for implementing ecosystem-based fisheries management (EBFM). Satellite remote sensing offers a rapid and cost-effective approach to marine habitat assessments; however, its application requires context-specific adjustment to account for environmental variability and differing study aims. As [...] Read more.
Understanding and monitoring benthic habitat distribution is essential for implementing ecosystem-based fisheries management (EBFM). Satellite remote sensing offers a rapid and cost-effective approach to marine habitat assessments; however, its application requires context-specific adjustment to account for environmental variability and differing study aims. As such, predictor variables must be tailored to the specific site and target habitat. This study uses Sentinel-2 Level 2A surface reflectance satellite imagery and stability selection via Random Forest Recursive Feature Elimination to assess the importance of remote sensing indices for mapping moderately deep (<20 m) seagrass habitats in relation to the Marine Stewardship Council-certified Western Australia Enhanced Greenlip Abalone Fishery (WAEGAF). Of the seven indices tested, the Normalised Difference Aquatic Vegetation Index (NDAVI) and Depth Invariant Index for the blue and green bands were selected in the optimal model on every run. The kernelised NDAVI and Water-Adjusted Vegetation Index also scored highly (both 0.92) and were included in the final classification and regression models. Both models performed well and predicted a similar cover and distribution of seagrass within the fishery compared to the surrounding area, providing a baseline and supporting EBFM of the WAEGAF within the surrounding marine protected area. Importantly, the use of indices from freely accessible ready-to-use satellite products via Google Earth Engine workflows and expedited ground truth image annotation using highly accurate (0.96) automatic image annotation provides a rapidly repeatable method for delivering ecosystem information for this fishery. Full article
Show Figures

Figure 1

24 pages, 5160 KB  
Article
Using Satellite Remote Sensing to Estimate Rangeland Carrying Capacity for Sustainable Management of the Marismeño Horse in Doñana National Park, Spain
by Emilio Ramírez-Juidias, Ángel Díaz de la Serna-Moreno and Manuel Delgado-Pertíñez
Animals 2025, 15(24), 3507; https://doi.org/10.3390/ani15243507 - 5 Dec 2025
Viewed by 321
Abstract
Rangeland degradation poses a serious challenge for the sustainable management of free-ranging livestock in Mediterranean wetlands. In Doñana National Park, Spain, the endangered Marismeño horse depends exclusively on natural forage, making it essential to monitor vegetation productivity and grazing suitability under increasing climate [...] Read more.
Rangeland degradation poses a serious challenge for the sustainable management of free-ranging livestock in Mediterranean wetlands. In Doñana National Park, Spain, the endangered Marismeño horse depends exclusively on natural forage, making it essential to monitor vegetation productivity and grazing suitability under increasing climate variability. This study presents a satellite-based assessment of rangeland carrying capacity to support the adaptive management of this iconic breed. A six-year time series (2015–2020) of 1242 images from Landsat 8 OLI/TIRS and Sentinel-2 (L1C/L2A) was processed using ILWIS and Python-based workflows to derive vegetation indices (GNDVI, NDMI) and model aboveground biomass, forage energy, and grazing pressure across five grazing units. Results revealed strong seasonal cycles, with biomass and nutritive value peaking in spring and declining sharply in summer. Ecotonal zones such as La Vera y Sotos acted as crucial refuges during drought-induced resource shortages. The harmonized multi-sensor approach demonstrated high reliability for mapping forage dynamics and assessing carrying capacity at fine scales. This remote sensing framework offers an effective, scalable tool for sustainable livestock management in Doñana, directly supporting biodiversity conservation and the long-term resilience of Mediterranean rangeland ecosystems. Full article
(This article belongs to the Section Equids)
Show Figures

Figure 1

26 pages, 6470 KB  
Article
Impact of Synthetic Data on Deep Learning Models for Earth Observation: Photovoltaic Panel Detection Case Study
by Enes Hisam, Jesus Gimeno, David Miraut, Manolo Pérez-Aixendri, Marcos Fernández, Rossana Gini, Raúl Rodríguez, Gabriele Meoni and Dursun Zafer Seker
ISPRS Int. J. Geo-Inf. 2025, 14(12), 481; https://doi.org/10.3390/ijgi14120481 - 4 Dec 2025
Viewed by 462
Abstract
This study explores the impact of synthetic data, both physically based and generatively created, on deep learning analytics for earth observation (EO), focusing on the detection of photovoltaic panels. A YOLOv8 object detection model was trained using a publicly available, multi-resolution very high [...] Read more.
This study explores the impact of synthetic data, both physically based and generatively created, on deep learning analytics for earth observation (EO), focusing on the detection of photovoltaic panels. A YOLOv8 object detection model was trained using a publicly available, multi-resolution very high resolution (VHR) EO dataset (0.8 m, 0.3 m, and 0.1 m), comprising 3716 images from various locations in Jiangsu Province, China. Three benchmarks were established using only real EO data. Subsequent experiments evaluated how the inclusion of synthetic data, in varying types and quantities, influenced the model’s ability to detect photovoltaic panels in VHR imagery. Physically based synthetic images were generated using the Unity engine, which allowed the generation of a wide range of realistic scenes by varying scene parameters automatically. This approach produced not only realistic RGB images but also semantic segmentation maps and pixel-accurate masks identifying photovoltaic panel locations. Generative synthetic data were created using diffusion-based models (DALL·E 3 and Stable Diffusion XL), guided by prompts to simulate satellite-like imagery containing solar panels. All synthetic images were manually reviewed, and corresponding annotations were ensured to be consistent with the real dataset. Integrating synthetic with real data generally improved model performance, with the best results achieved when both data types were combined. Performance gains were dependent on data distribution and volume, with the most significant improvements observed when synthetic data were used to meet the YOLOv8-recommended minimum of 1500 images per class. In this setting, combining real data with both physically based and generative synthetic data yielded improvements of 1.7% in precision, 3.9% in recall, 2.3% in mAP@50, and 3.3% in mAP@95 compared to training with real data alone. The study also emphasizes the importance of carefully managing the inclusion of synthetic data in training and validation phases to avoid overfitting to synthetic features, with the goal of enhancing generalization to real-world data. Additionally, a pre-training experiment using only synthetic data, followed by fine-tuning with real images, demonstrated improved early-stage training performance, particularly during the first five epochs, highlighting potential benefits in computationally constrained environments. Full article
(This article belongs to the Topic Artificial Intelligence Models, Tools and Applications)
Show Figures

Figure 1

16 pages, 4012 KB  
Article
Enhancing Soil Texture Mapping and Drought Stress Assessment Through Dual-Phase Remote Sensing in Typical Black Soil Regions
by Wenqi Zhang, Wenzhu Dou, Liren Gao, Xue Li and Chong Luo
Sustainability 2025, 17(23), 10793; https://doi.org/10.3390/su172310793 - 2 Dec 2025
Viewed by 207
Abstract
The accurate mapping of soil texture, a key determinant of soil’s hydrological and nutritional behavior, is essential for agricultural drought assessment, yet the application of multi-temporal satellite data for this purpose remains largely unexplored. In this study, we first identified the optimal prediction [...] Read more.
The accurate mapping of soil texture, a key determinant of soil’s hydrological and nutritional behavior, is essential for agricultural drought assessment, yet the application of multi-temporal satellite data for this purpose remains largely unexplored. In this study, we first identified the optimal prediction period by evaluating the performance of single-date imagery (satellite images captured on individual observation dates). Subsequently, dual-phase imagery (DPI) was developed to increase mapping accuracy. Finally, these refined predictions quantified soil texture’s response to drought and its corresponding thresholds. Results demonstrated that: (1) the bare soil period in April provided peak prediction accuracy for all texture fractions (Sand: R2 = 0.617, RMSE = 10.21%; Silt: R2 = 0.606, RMSE = 8.648%; Clay: R2 = 0.604, RMSE = 1.945%); (2) Significant accuracy gain from DPI using April-August imagery fusion (Sand: R2 = 0.677, RMSE = 9.386%; Silt: R2 = 0.660, RMSE = 8.034%; Clay: R2 = 0.658, RMSE = 1.807%); (3) sand content was the most critical factor influencing crop drought stress, with a threshold of 31%. By integrating multi-temporal satellite observations with quantitative drought evaluation for high-resolution soil texture mapping and precision agricultural management in Northeast China’s black soil region. Full article
Show Figures

Figure 1

36 pages, 106084 KB  
Article
Critical Factors for the Application of InSAR Monitoring in Ports
by Jaime Sánchez-Fernández, Alfredo Fernández-Landa, Álvaro Hernández Cabezudo and Rafael Molina Sánchez
Remote Sens. 2025, 17(23), 3900; https://doi.org/10.3390/rs17233900 - 30 Nov 2025
Viewed by 233
Abstract
Ports pose distinctive monitoring challenges due to harsh marine conditions, mixed construction typologies, and heterogeneous ground conditions. These factors complicate the routine use of satellite InSAR, especially when medium-resolution scatterers must be reliably attributed to specific assets for risk and asset management decisions. [...] Read more.
Ports pose distinctive monitoring challenges due to harsh marine conditions, mixed construction typologies, and heterogeneous ground conditions. These factors complicate the routine use of satellite InSAR, especially when medium-resolution scatterers must be reliably attributed to specific assets for risk and asset management decisions. In current practice, persistent and distributed scatterer (PS/DS) points are often interpreted in map view without an explicit positional uncertainty model or systematic linkage to three-dimensional infrastructure geometry. We present an end-to-end Differential InSAR framework tailored to large ports that fuses medium-resolution Sentinel-1 Level 2 Co-registered Single-Look Complex (L2-CSLC) stacks with high-resolution airborne LiDAR at the post-processing stage. For the Port of Bahía de Algeciras (Spain), we process 123 Sentinel-1A/B images (2020–2022) in ascending and descending geometry using PS/DS time-series analysis with ETAD-like timing corrections and RAiDER tropospheric/ionospheric mitigation. LiDAR is then used to (i) derive look-specific shadow/layover masks and (ii) perform a whitening-transformed nearest-neighbor association that assigns PS/DS points to LiDAR points under an explicit range–azimuth–cross-range (RAC) uncertainty ellipsoid. The RAC standard deviations (σr,σa,σc) are derived from the effective CSLC range/azimuth resolution and from empirical height correction statistics, providing a geometry- and data-informed prior on positional uncertainty. Finally, we render dual-geometry red–green composites (ascending to R, descending to G; shared normalization) on the LiDAR point cloud, enabling consistent inspection in plan and elevation. Across asset types, rigid steel/concrete elements (trestles, quay faces, and dolphins) sustain high coherence, small whitened offsets, and stable backscatter in both looks; cylindrical storage tanks are bright but exhibit look-dependent visibility and larger cross-range residuals due to height and curvature; and container yards and vessels show high amplitude dispersion and lower temporal coherence driven by operations. Overall, LiDAR-assisted whitening-based linking reduces effective positional ambiguity and improves structure-specific attribution for most scatterers across the port. The fusion products, geometry-aware linking plus three-dimensional dual-geometry RGB, enhance the interpretability of medium-resolution SAR and provide a transferable, port-oriented basis for integrating deformation evidence into risk and asset management workflows. Full article
Show Figures

Figure 1

26 pages, 6958 KB  
Article
A Multi-Scale Rice Lodging Monitoring Method Based on MSR-Lodfnet
by Xinle Zhang, Xinyi Han, Chuan Qin, Zeyu An, Beisong Qi, Jiming Liu, Baicheng Du, Huanjun Liu, Yihao Wang, Linghua Meng and Chao Wang
Agriculture 2025, 15(23), 2487; https://doi.org/10.3390/agriculture15232487 - 29 Nov 2025
Viewed by 217
Abstract
Rice lodging is a major agricultural disaster that reduces yield and quality. Accurate lodging detection and causal analysis are essential for disaster mitigation and precision management. To overcome the limited coverage and low automation of conventional approaches, we propose MSR-LodfNet, an enhanced semantic-segmentation [...] Read more.
Rice lodging is a major agricultural disaster that reduces yield and quality. Accurate lodging detection and causal analysis are essential for disaster mitigation and precision management. To overcome the limited coverage and low automation of conventional approaches, we propose MSR-LodfNet, an enhanced semantic-segmentation model driven by multi-scale remote-sensing imagery, enabling high-precision lodging mapping from regional to field scales. The study selected 13 state-owned farms in Jiansanjiang, Heilongjiang Province, and jointly used PlanetScope satellite images (3 m) and UAV images (0.2 m) to build an integrated workflow of “satellite macro-monitoring, UAV fine verification, and agronomic factor coupling analysis.” The model synergistically optimizes WFNet, DenseASPP multi-scale context enhancement, and Condensed Attention, markedly improving feature extraction and boundary recognition under multi-source imagery. Experimental results show that the model achieves mIoU 84.34% and mPA 93.31% on UAV images and mIoU 81.96% and mPA 90.63% on PlanetScope images, demonstrating excellent cross-scale adaptability and stability. Causal analysis shows that the high-EVI range is significantly positively correlated with lodging probability; its risk is about 6 times that of the low-EVI range, and the lodging probability of direct-seeded rice is about 2.56 times that of transplanted rice, indicating that it may be associated with a higher lodging risk. The results demonstrate that multi-scale remote sensing combined with agronomic parameters can effectively support the mechanism analysis of lodging disasters, providing a quantitative basis and technical reference for precision rice management and lodging-resistant breeding. Full article
(This article belongs to the Topic Digital Agriculture, Smart Farming and Crop Monitoring)
Show Figures

Figure 1

30 pages, 27251 KB  
Article
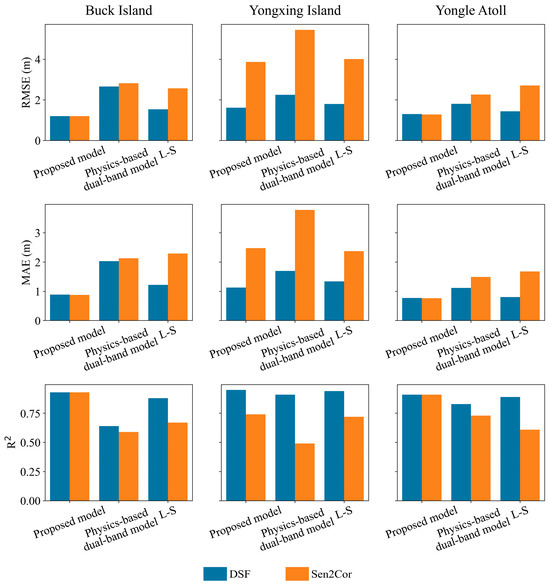
A Semi-Analytical–Empirical Hybrid Model for Shallow Water Bathymetry Using Multispectral Imagery Without In Situ Data
by Chunlong He, Sen Zhang, Qigang Jiang, Xin Gao and Zhenchao Zhang
Remote Sens. 2025, 17(23), 3879; https://doi.org/10.3390/rs17233879 - 29 Nov 2025
Viewed by 368
Abstract
Water depth in shallow marine environments is a fundamental parameter for oceanographic research and coastal engineering applications. High-resolution satellite imagery and long-term medium-resolution imagery offer significant potential for detailed bathymetric mapping and monitoring spatiotemporal variations in bathymetry. However, most of these images contain [...] Read more.
Water depth in shallow marine environments is a fundamental parameter for oceanographic research and coastal engineering applications. High-resolution satellite imagery and long-term medium-resolution imagery offer significant potential for detailed bathymetric mapping and monitoring spatiotemporal variations in bathymetry. However, most of these images contain only three visible bands (blue, green, and red), making bathymetric mapping from such images challenging in practical applications. For the empirical approach, high-quality in situ depth calibration data, which are essential for establishing a reliable empirical bathymetric model, are either unavailable or excessively expensive. For the physics-based approach, images containing only three visible bands can be problematic in accurately deriving depths. To address this limitation, this study proposes a novel semi-analytical-empirical hybrid model for water depth retrieval. The core of the proposed method is the integration of a semi-analytical model with a physics-based dual-band model. This integration quantifies the relative depth relationships among pixels and uses them as a physical constraint. Through this constraint, the method identifies physically reliable depth estimates from the multiple numerical solutions of the semi-analytical model for a subset of shallow-water pixels, which then serve as an in situ–free calibration dataset. This dataset is subsequently used to determine the empirically based optimal retrieval model, which is finally applied to generate the complete bathymetric map. The results from four typical coral reef regions—Buck Island, Yongxing Island, Kaneohe Bay, and Yongle Atoll—demonstrated that the proposed model achieved root-mean-square errors (RMSE) of 0.98–1.62 m, mean absolute errors (MAE) of 0.73–1.13 m, and coefficients of determination (R2) of 0.91–0.95 in comparison to in situ measurements. Compared to both the physics-based dual-band model and the L-S model (i.e., the bathymetry mapping approach combining Log-ratio and Semi-analytical models), the proposed model reduced the RMSE by 9–55%, reduced the MAE by 4–56%, and improved the R2 by 0.01–0.29. Additionally, the accuracy of the proposed model surpasses that of both the physics-based dual-band model and the L-S model across all depth intervals, particularly in deeper depth waters (>15 m). This study offers a robust solution for bathymetric mapping in areas lacking in situ depth data and contributes significantly to advancing optical remote sensing techniques for underwater topography detection. Full article
Show Figures

Figure 1

20 pages, 15632 KB  
Article
Investigating an Earthquake Surface Rupture Along the Kumysh Fault (Eastern Tianshan, Central Asia) from High-Resolution Topographic Data
by Jiahui Han, Haiyun Bi, Wenjun Zheng, Hui Qiu, Fuer Yang, Xinyuan Chen and Jiaoyan Yang
Remote Sens. 2025, 17(23), 3847; https://doi.org/10.3390/rs17233847 - 27 Nov 2025
Viewed by 211
Abstract
As direct geomorphic evidence and records of earthquakes on the surface, coseismic surface ruptures have long been a key focus in earthquake research. However, compared with strike-slip and normal faults, studies on reverse-fault surface ruptures remain relatively scarce. In this study, surface rupture [...] Read more.
As direct geomorphic evidence and records of earthquakes on the surface, coseismic surface ruptures have long been a key focus in earthquake research. However, compared with strike-slip and normal faults, studies on reverse-fault surface ruptures remain relatively scarce. In this study, surface rupture characteristics of the most recent earthquake on the Kumysh thrust fault in eastern Tianshan were investigated using high-resolution topographic data, including 0.5 m- and 5 cm-resolution Digital Elevation Models (DEMs) generated from the WorldView-2 satellite stereo image pairs and Unmanned Aerial Vehicle (UAV) images, respectively. We carefully mapped the spatial geometry of the surface rupture and measured 120 vertical displacements along the rupture strike. Using the moving-window method and statistical analysis, both moving-mean and moving-maximum coseismic displacement curves were obtained for the entire rupture zone. Results show that the most recent rupture on the Kumysh Fault extends ~25 km with an overall NWW strike, exhibits complex spatial geometry, and can be subdivided into five secondary segments, which are discontinuously distributed in arcuate shapes across both piedmont alluvial fans and mountain fronts. Reverse fault scarps dominate the rupture pattern. The along-strike coseismic displacements generally form three asymmetric triangles, with an average displacement of 0.9–1.1 m and a maximum displacement of 2.8–3.2 m, yielding an estimated earthquake magnitude of Mw 6.6–6.7. This study not only highlights the strong potential of high-resolution remote sensing data for investigating surface earthquake ruptures, but also provides an additional example to the relatively underexplored reverse-fault surface ruptures. Full article
(This article belongs to the Section Remote Sensing in Geology, Geomorphology and Hydrology)
Show Figures

Figure 1

48 pages, 8944 KB  
Article
Atmospheric Correction Inter-Comparison eXercise, ACIX-III Land: An Assessment of Atmospheric Correction Processors for EnMAP and PRISMA over Land
by Noelle Cremer, Kevin Alonso, Georgia Doxani, Adam Chlus, David R. Thompson, Philip Brodrick, Philip A. Townsend, Angelo Palombo, Federico Santini, Bo-Cai Gao, Feng Yin, Jorge Vicent Servera, Quinten Vanhellemont, Tobias Eckert, Paul Karlshöfer, Raquel de los Reyes, Weile Wang, Maximilian Brell, Aime Meygret, Kevin Ruddick, Agnieszka Bialek, Pieter De Vis and Ferran Gasconadd Show full author list remove Hide full author list
Remote Sens. 2025, 17(23), 3790; https://doi.org/10.3390/rs17233790 - 21 Nov 2025
Viewed by 674
Abstract
Correcting atmospheric effects on hyperspectral optical satellite scenes is paramount to ensuring the accuracy of derived bio-geophysical products. The open-access benchmark Atmospheric Correction Inter-comparison eXercise (ACIX) was first initiated in 2016 and has now been extended to provide a comprehensive assessment of atmospheric [...] Read more.
Correcting atmospheric effects on hyperspectral optical satellite scenes is paramount to ensuring the accuracy of derived bio-geophysical products. The open-access benchmark Atmospheric Correction Inter-comparison eXercise (ACIX) was first initiated in 2016 and has now been extended to provide a comprehensive assessment of atmospheric processors of space-borne imaging spectroscopy missions (EnMAP and PRISMA) over land surfaces. The exercise contains 90 scenes, covering stations of the Aerosol Robotic Network (AERONET) for assessing aerosol optical depth (AOD) and water vapour (WV) retrievals, as well as stationary networks (RadCalNet and HYPERNETS) and ad hoc campaigns for surface reflectance (SR) validation. AOD, WV, and SR retrievals were assessed using accuracy, precision, and uncertainty metrics. For AOD retrieval, processors showed a range of uncertainties, with half showing overall uncertainties of <0.1 but going up to uncertainties of almost 0.4. WV retrievals showed consistent offsets for almost all processors, with uncertainty values between 0.171 and 0.875 g/cm2. Average uncertainties for SR retrievals depend on wavelength, processor, and sensor (uncertainties are slightly higher for PRISMA), showing average values between 0.02 and 0.04. Although results are biased towards a limited selection of ground measurements over arid regions with low AOD, this study shows a detailed analysis of similarities and differences of seven processors. This work provides critical insights for understanding the current capabilities and limitations of atmospheric correction algorithms for imaging spectroscopy, offering both a foundation for future improvements and a first practical guide to support users in selecting the most suitable processor for their application needs. Full article
(This article belongs to the Section Atmospheric Remote Sensing)
Show Figures

Figure 1

25 pages, 19784 KB  
Article
Spatiotemporal Dynamics of Anthropogenic Night Light in China
by Christopher Small
Lights 2025, 1(1), 4; https://doi.org/10.3390/lights1010004 - 21 Nov 2025
Viewed by 230
Abstract
Anthropogenic night light (ANL) provides a unique observable for the spatially explicit mapping of human-modified landscapes in the form of lighted infrastructure. Since 2013, the Visible Infrared Imaging Radiometer Suite (VIIRS) Day Night Band (DNB) on the Suomi NPP satellite has provided more [...] Read more.
Anthropogenic night light (ANL) provides a unique observable for the spatially explicit mapping of human-modified landscapes in the form of lighted infrastructure. Since 2013, the Visible Infrared Imaging Radiometer Suite (VIIRS) Day Night Band (DNB) on the Suomi NPP satellite has provided more than a decade of near-daily observations of anthropogenic night light. The objective of this study is to quantify changes in ANL in developed eastern China post-2013 using VIIRS DNB monthly mean brightness composites. Specifically, to constrain sub-annual and interannual changes in night light brightness to distinguish between apparent and actual change of ANL sources, and then conduct a spatiotemporal analysis of observed changes to identify areas of human activity, urban development and rural electrification. This analysis is based on a combination of time-sequential bitemporal brightness distributions and quantification of the spatiotemporal evolution of night light using Empirical Orthogonal Function (EOF) analysis. Bitemporal brightness distributions show that bright (>~1 nW/cm2/sr) ANL is heteroskedastic, with temporal variability diminishing with increasing brightness. Hence, brighter lights are more temporally stable. In contrast, dimmer (<~1 nW/cm2/sr) ANL is much more variable on monthly time scales. The same patterns of heteroskedasticity and variability of the lower tail of the brightness distribution are observed in year-to-year distributions. However, year-to-year brightness increases vary somewhat among different years. While bivariate distributions quantify aggregate changes on both subannual and interannual time scales, spatiotemporal analysis quantifies spatial variations in the year-to-year temporal evolution of ANL. The spatial distribution of brightening (and, much less commonly, dimming) revealed by the EOF analysis indicates that most of the brightening since 2013 has occurred at the peripheries of large cities and throughout the networks of smaller settlements on the North China Plain, the Yangtze River Valley, and the Sichuan Basin. A particularly unusual pattern of sequential brightening and dimming is observed on the Loess Plateau north of Xi’an, where extensive terrace construction has occurred. All aspects of this analysis highlight the difference between apparent and actual changes in night light sources. This is important because many users of VIIRS night light attribute all observed changes in imaged night light to actual changes in anthropogenic light sources—without consideration of low luminance variability related to the imaging process itself. Full article
Show Figures

Figure 1

Back to TopTop