Sign in to use this feature.

Years

Between: -

Subjects

remove_circle_outline
remove_circle_outline
remove_circle_outline
remove_circle_outline
remove_circle_outline
remove_circle_outline
remove_circle_outline

Journals

Article Types

Countries / Regions

Search Results (18)

Search Parameters:
Keywords = safe weekly consumption

Order results
Result details
Results per page
Select all
Export citation of selected articles as:
29 pages, 3436 KB  
Systematic Review
Are Nuts Safe in Diverticulosis? A Mixed-Methods Systematic Review of Available Evidence
by Constantinos Voniatis, Timea Csupor and Attila Szijártó
Nutrients 2025, 17(13), 2122; https://doi.org/10.3390/nu17132122 - 26 Jun 2025
Viewed by 1833
Abstract
Background: Diverticulosis is defined as the presence of diverticula in the intestinal tract. While asymptomatic in most cases, severe complications can arise. The precise etiology of diverticulosis is still being investigated, but its correlation to dietary exposures has been proven. While certain diet [...] Read more.
Background: Diverticulosis is defined as the presence of diverticula in the intestinal tract. While asymptomatic in most cases, severe complications can arise. The precise etiology of diverticulosis is still being investigated, but its correlation to dietary exposures has been proven. While certain diet recommendations have cemented themselves throughout the years, others seem to be always disputed. Nut consumption has been highly questioned among researchers and clinicians alike for decades. Objectives: This review aims to examine all available data regarding nut consumption and diverticulosis. Methods: We performed a systematic literature review from various databases (PubMed, Web of Science, Embase, and the Cochrane Library). We followed a multi-modal approach, incorporating both qualitative and quantitative techniques to assess and evaluate studies that investigated nut exposure and diverticulosis. Results: Nine observational studies encompassing over two million person-years were included. The qualitative synthesis and risk-of-bias assessments align with a neutral to modestly protective effect of moderate nut intake. Analysis of nut-specific cohorts revealed no significant increase in diverticulitis risk (HR 0.89, 95% CI 0.71–1.12). A sensitivity analysis including a prudent dietary pattern yielded a significant risk reduction (HR 0.75, 0.58–0.97). Dose–response modelling indicated a linear 5% reduction in risk per additional weekly serving. Robustness checks (leave-one-out analysis, tripping point analysis, etc.) confirmed the stability of these findings, with no single study unduly influencing the pooled estimates. Conclusions: Although limitations are present, current evidence suggests that moderate nut consumption is safe and may be protective against diverticulosis, while showing no adverse effect on diverticulitis incidence. Full article
(This article belongs to the Special Issue Nuts for Human: The Role of Nuts in a Healthy Diet)
Show Figures

Figure 1

23 pages, 829 KB  
Article
Bisphenols, Toxic Elements, and Potentially Toxic Elements in Ready-to-Eat Fish and Meat Foods and Their Associated Risks for Human Health
by Federica Litrenta, Vincenzo Nava, Angela Giorgia Potortì, Vincenzo Lo Turco, Benedetta Sgrò and Giuseppa Di Bella
Toxics 2025, 13(6), 433; https://doi.org/10.3390/toxics13060433 - 25 May 2025
Cited by 2 | Viewed by 790
Abstract
In this study, simultaneous exposure to bisphenols and toxic and potentially toxic elements from the consumption of ready-to-eat foods was assessed. In total, 120 different ready-to-eat foods purchased in different Sicilian supermarkets and online shops were analysed. BPA was detected in most of [...] Read more.
In this study, simultaneous exposure to bisphenols and toxic and potentially toxic elements from the consumption of ready-to-eat foods was assessed. In total, 120 different ready-to-eat foods purchased in different Sicilian supermarkets and online shops were analysed. BPA was detected in most of the analysed foods. Statistical analysis was performed, differentiating the samples according to geographical origin and packaging type. Good separation between European and non-European samples could be observed, with the former being characterised by lower levels of Cd and Pb, while the latter showed the highest concentrations of Pb and Cd, followed by Mn and Fe. The calculated estimated weekly intake (EWI) was well below the intake levels recommended by regulatory agencies, indicating that ready-to-eat foods can be safely consumed at expected dietary levels. However, the recently established tolerable daily intake (TDI) for BPA increases the risk quotient values to >1, indicating a risk to the consumer. Full article
(This article belongs to the Section Agrochemicals and Food Toxicology)
Show Figures

Figure 1

11 pages, 234 KB  
Article
Feasibility of Hybrid Telerehabilitation and Its Impact on Quality of Life in Patients with Heart Failure and Implanted Left Ventricular Assist Device (LVAD)
by Ewa Piotrowicz, Anna Mierzyńska, Tomasz Chwyczko, Izabela Jaworska, Ilona Kowalik, Mariusz Kuśmierczyk and Ryszard Piotrowicz
Appl. Sci. 2025, 15(4), 1953; https://doi.org/10.3390/app15041953 - 13 Feb 2025
Viewed by 903
Abstract
(1) Left ventricular assist device (LVAD) implantation is increasingly used as a treatment option for patients with advanced heart failure (HF). There is a need to provide patients with LVAD with long-term care, preferably at home. The implementation of home-based telerehabilitation (HTR) and [...] Read more.
(1) Left ventricular assist device (LVAD) implantation is increasingly used as a treatment option for patients with advanced heart failure (HF). There is a need to provide patients with LVAD with long-term care, preferably at home. The implementation of home-based telerehabilitation (HTR) and telecare offers new opportunities in this field. Purpose: The purpose of this study was to assess the feasibility and safety of HTR and telecare in HF patients with implanted LVAD and evaluate patients’ acceptance of and adherence to HTR. (2) The study enrolled 30 HF patients with recently implanted LVAD (21 Heart Mate III, 9 Heart Ware) (29 males, mean 59 years) who underwent a 12-week telecare and HTR program based on walking, respiratory, and resistance training, five times weekly. HTR was telemonitored with a device adjusted to register electrocardiogram (ECG) recordings and to transmit data via a mobile phone network to the monitoring center. The moments of automatic ECG registration were pre-set and coordinated with exercise. The influence on physical capacity was assessed by comparing changes in peak oxygen consumption (pVO2; [mL/kg/min]) and workload duration (t; [s]) during the cardiopulmonary exercise test. (3) HTR resulted in a significant physical capacity improvement in pVO2 12.5 ± 2.9 vs. 15.1 ± 3.0 (p < 0.001), and workload duration t 628 ± 204 vs. 728 ± 222 (p < 0.001) during the cardiopulmonary exercise test. There were neither deaths nor adverse events during HTR. Patients accepted HTR, including the need for interactive everyday collaboration with the medical team. All patients completed HTR. (4) HTR is a feasible and safe form of rehabilitation that is well-accepted by patients. The adherence to HTCR was high. Full article
17 pages, 294 KB  
Article
Seasonal Changes in the Elemental Composition of Five Valuable Fish Species (Sparidae) from Bozcaada, North Aegean Sea: A Health Risk and Nutritional Benefit Assessment
by İlknur Yuvka, Ali Rıza Kosker, Mustafa Durmus, Yılmaz Ucar and Yesim Ozogul
Foods 2025, 14(2), 324; https://doi.org/10.3390/foods14020324 - 20 Jan 2025
Cited by 5 | Viewed by 1244
Abstract
This study investigates the seasonal variations in the elemental composition of five economically valuable Sparidae fish species from Bozcaada, North Aegean: red seabream (Pagrus major), gilthead seabream (Sparus aurata), saddled seabream (Oblada melanura), white seabream (Diplodus [...] Read more.
This study investigates the seasonal variations in the elemental composition of five economically valuable Sparidae fish species from Bozcaada, North Aegean: red seabream (Pagrus major), gilthead seabream (Sparus aurata), saddled seabream (Oblada melanura), white seabream (Diplodus sargus), and common dentex (Dentex dentex), with a focus on both essential minerals and toxic metals. Fish samples (n = 10 per species per season) were collected across four seasons, and their weights and lengths were recorded. The concentrations of elements such as calcium, potassium, magnesium, phosphorus, copper, iron, manganese, zinc, chromium, nickel, selenium, cadmium, and mercury were analyzed using Inductively Coupled Plasma Mass Spectrometry (ICP-MS). The elemental concentrations varied as follows: Ca (11,388.46–55,470.76), K (17,230.83–27,594.86), Mg (1436.02–2326.73), Na (1962.30–7847.41), P (13,112.11–15,516.57), Fe (107.61–282.00), Cu (36.44–59.13), Mn (6.19–19.87), Zn (98.67–256.26), Cr (4.54–11.96), Ni (6.33–13.89), Se (0.82–7.33), Cd (0.08–0.32), and Hg (0.08–1.50) mg/kg. Health risk assessments, including Estimated Weekly Intake (EWI), Target Hazard Quotient (THQ), and Cancer Risk (CR), were calculated for both adult and child consumers. The results showed that while the essential minerals remained within safe limits, seasonal variations in the concentrations of toxic metals could pose potential health risks, particularly with frequent consumption. This research provides valuable insights into balancing the nutritional benefits and safety of fish from Bozcaada, offering recommendations for informed consumption and public health policies aimed at optimizing benefits while minimizing risks. Full article
(This article belongs to the Section Foods of Marine Origin)
15 pages, 306 KB  
Article
Metal Content, Fatty Acid and Vitamins in Commercially Available Canned Fish on the Bulgarian Market: Benefit–Risk Ratio Intake
by Katya Peycheva, Veselina Panayotova, Tatyana Hristova, Albena Merdzhanova, Diana Dobreva, Tonika Stoycheva, Rositsa Stancheva, Patrizia Licata and Francesco Fazio
Foods 2024, 13(6), 936; https://doi.org/10.3390/foods13060936 - 19 Mar 2024
Viewed by 2361
Abstract
Today, the distribution and consumption of canned products have become widespread due to the convenience of using processed fish products. This study aims to evaluate elements of toxicological concern and essential elements (Cd, Al, Cu, Cr, Mn, Fe, Pb, Ni, and Zn), the [...] Read more.
Today, the distribution and consumption of canned products have become widespread due to the convenience of using processed fish products. This study aims to evaluate elements of toxicological concern and essential elements (Cd, Al, Cu, Cr, Mn, Fe, Pb, Ni, and Zn), the fatty acid composition, and the fat-soluble vitamin and antioxidant pigment contents of various canned fish products purchased on the Bulgarian market. The estimated weekly intake and human health benefit–risk ratio based on metal elements and n-3 LC-PUFA contents in canned fish products were assessed. The contents of the analyzed elements in the canned samples were found to be below the limits set by various health organizations. Al was detected in only one sample. The profile of fatty acids showed that the canned fish had high PUFA/SFA ratios, EPA + DHA contents and low SFA, AI and TI values. The analyzed canned fish contained significant contents of fat-soluble vitamins. The Atlantic bonito in a jar sample was characterized by a high percentage of vitamin A (26.7% RDI) and vitamin D3 (142% RDI) per 100 g portion. The calculated EWI value shows that the consumption of canned fish products did not present any risk. The benefit–risk ratio indicates that the canned fish species are safe for human consumption, except for one sample regarding Cr. Full article
(This article belongs to the Special Issue Seafood: Processing, Preservation, Nutrition, Marketing, and Policy)
23 pages, 2097 KB  
Article
Mercury in Fish and Human Hair and Estimated Dietary Intake in a Riverside Community of the Madeira River Basin in the Brazilian Amazon
by Thayson Araujo Canela, Lucas Cabrera Monteiro, Cássio da Silva Cabral, Fábio da Silva Ximenes, Iuri Aparecida da Silva Oliveira, José Vicente Elias Bernardi, Ronaldo de Almeida and Wanderley Rodrigues Bastos
Toxics 2024, 12(3), 208; https://doi.org/10.3390/toxics12030208 - 9 Mar 2024
Cited by 10 | Viewed by 3577
Abstract
Mercury (Hg) is a chemical element that poses risks to human health due to its high toxicity and environmental persistence. We determined the total Hg (THg) and methyl Hg (MeHg) concentrations in hair samples from residents of the Demarcação District (Porto Velho, Rondônia) [...] Read more.
Mercury (Hg) is a chemical element that poses risks to human health due to its high toxicity and environmental persistence. We determined the total Hg (THg) and methyl Hg (MeHg) concentrations in hair samples from residents of the Demarcação District (Porto Velho, Rondônia) in the Brazilian Amazon, as well as in water and fish samples, to evaluate factors influencing human exposure. The average THg concentration in human hair was 7.86 ± 6.78 mg kg−1 and it was significantly higher in men, with an increasing trend related to age. There was no significant difference between female age groups. Human exposure to Hg through water was negligible compared to fish consumption. The average weekly intake estimates in the community varied between 1.54 and 4.62 μg kg−1, substantially higher than the recommended limit. The fish species with the highest amounts safe for daily consumption were herbivores and detritivores. Our results contribute to an understanding of how exposure to Hg affects the health of riverside populations and provide insights for new research to develop methods to mitigate such exposure and thus improve the quality of life of Amazonian people. Full article
(This article belongs to the Section Metals and Radioactive Substances)
Show Figures

Figure 1

18 pages, 1192 KB  
Article
Efficacy of Boswellia serrata Extract and/or an Omega-3-Based Product for Improving Pain and Function in People Older Than 40 Years with Persistent Knee Pain: A Randomized Double-Blind Controlled Clinical Trial
by Silvia Pérez-Piñero, Juan Carlos Muñoz-Carrillo, Desirée Victoria-Montesinos, Ana María García-Muñoz, Luis Andreu-Caravaca, Mario Gómez, Melanie Schölzel, Ana I. García-Guillén and Francisco Javier López-Román
Nutrients 2023, 15(17), 3848; https://doi.org/10.3390/nu15173848 - 3 Sep 2023
Cited by 6 | Viewed by 14211
Abstract
A single-center, randomized, double-blind, controlled clinical trial with four arms was conducted in healthy subjects with persistent knee discomfort (pain intensity on 1–10 cm visual analog scale (VAS) > 3) aged 40 years and older treated with a dietary supplement for 8 weeks. [...] Read more.
A single-center, randomized, double-blind, controlled clinical trial with four arms was conducted in healthy subjects with persistent knee discomfort (pain intensity on 1–10 cm visual analog scale (VAS) > 3) aged 40 years and older treated with a dietary supplement for 8 weeks. The study groups were Boswellia serrata extract (n = 29), an omega-3-based product (AvailOm® 50 High EPA) (n = 31), Boswellia + AvailOm® (n = 30), and placebo (n = 30). The intake of Boswellia + AvailOm® improved the quality of life (QoL) (WOMAC index) and some variables of muscle strength. Statistically significant differences between the AvailOm® and the placebo groups in the decrease of pain intensity were found. Weekly VAS scores showed a significant decrease in pain perception when comparing the AvailOm® product to the placebo, with the lowest VAS scores at week 8. Consumption of Boswellia improved sleep latency. The time to perform the Up and Go test decreased after the intake of AvailOm®. There was an increase in the omega-3 fatty acids, with the greatest increase in the Boswellia + AvailOm® group. AvailOm® was safe and effective in reducing pain and improving the QoL and functionality of subjects over 40 years with persistent knee pain. Full article
(This article belongs to the Special Issue Dietary Supplements for Chronic Pain and Inflammatory Diseases)
Show Figures

Figure 1

14 pages, 1394 KB  
Article
Accumulation of Trace Metals in Fruits from Mango and Syzygium guineense Growing in Residential Households from a Contaminated District of Lubumbashi (DR Congo): Is Fruit Consumption at Risk?
by Serge Langunu, Precis Mpia Imanda Imabo, Benie Bibi Fwanda, Jacques Kilela Mwanasomwe, Gilles Colinet and Mylor Ngoy Shutcha
Toxics 2023, 11(7), 620; https://doi.org/10.3390/toxics11070620 - 17 Jul 2023
Cited by 3 | Viewed by 2149
Abstract
Copper smelting has been a source of soil contamination with trace metals in Penga Penga (Lubumbashi). The residents are exposed to trace metal ingestion, and planting trees is challenging in such soil conditions. Nevertheless, planting trees in former household dumps or using various [...] Read more.
Copper smelting has been a source of soil contamination with trace metals in Penga Penga (Lubumbashi). The residents are exposed to trace metal ingestion, and planting trees is challenging in such soil conditions. Nevertheless, planting trees in former household dumps or using various types of amendments has allowed the provisioning of fruits in a few residences. From the perspective of scaling up the process, a survey has been conducted with the aim of assessing the effectiveness of the planting processes on the trace metal content in fruits and leaves of Mangifera indica L. and Syzygium guineense (Willd) DC. Samples were collected from residential households in Penga Penga and Kalebuka (a non-polluted suburb). The bioconcentration factor (BCF) and the safe weekly consumption (SWC) were calculated for each species. The results showed higher values of total and soluble concentrations of Cu, Pb, and Zn in the rhizosphere of the two species in Penga Penga. Metal concentrations were higher in the fruits and leaves from Penga Penga, with 47% of samples above the FAO and WHO thresholds (vs. 18.5% in Kalebuka). The BCF values were below 1, demonstrating the effectiveness of the process in reducing the translocation of metals to leaves and fruits. Recommendations from the SWC limit Pb consumption to 9 kg for mango flesh and Cd consumption to 6.6 kg for S. guineense fruits in Penga Penga (vs. 78 kg and 68 kg in Kalebuka). Finally, the results of this study provide interesting lessons for the scaling up and technical itinerary of planting trees in Penga Penga. Full article
Show Figures

Figure 1

15 pages, 3856 KB  
Systematic Review
Effect of Traditional Chinese Exercises on Patients with Chronic Heart Failure (TCE-HF): A Systematic Review and Meta-Analysis
by Qinyi Bao, Shuxin Lei, Shitian Guo, Zhuo Wang, Jiaye Yu, Yayu You, Ning Zhang and Xiaojie Xie
J. Clin. Med. 2023, 12(6), 2150; https://doi.org/10.3390/jcm12062150 - 9 Mar 2023
Cited by 6 | Viewed by 2825
Abstract
Exercise-based cardiac rehabilitation is safe and effective for chronic heart failure (CHF) patients. The present study aimed to investigate the effects of traditional Chinese exercise (TCE) on patients with CHF and the impact of exercise types and duration. Evaluation of randomized controlled trials [...] Read more.
Exercise-based cardiac rehabilitation is safe and effective for chronic heart failure (CHF) patients. The present study aimed to investigate the effects of traditional Chinese exercise (TCE) on patients with CHF and the impact of exercise types and duration. Evaluation of randomized controlled trials (RCTs) of TCE in patients with CHF published since 1997 from PubMed, Embase, Web of Science, the Cochrane Library, Chongqing VIP, Wanfang Databases, and the China National Knowledge was performed. A total of 41 RCTs, including 3209 patients with CHF, were included. It showed that TCE significantly increased 6-min walk distance (6MWD) [mean difference (MD) = 72.82 m, p < 0.001] and left ventricular ejection fraction (MD = 5.09%, p < 0.001), whereas reduced B-type natriuretic peptide (BNP) (MD = −56.80 pg/mL, p < 0.001), N-terminal pro-BNP (MD = −174.94 pg/mL, p < 0.05), and Minnesota Living with Heart Failure Questionnaire scores (MD = −11.31, p < 0.001). However, no significant difference was found in the effects of TCE on peak oxygen consumption. The increase in TCE weekly duration and program duration significantly improved 6MWD (MD = 71.91 m, p < 0.001; MD = 74.11 m, p < 0.001). The combination of TCE and conventional aerobic exercise significantly improved 6MWD (MD = 19.86 m, p < 0.005). TCE improves exercise capacity, cardiac function, and quality of life in patients with CHF, which might be an optimal and available pattern of exercise-based cardiac rehabilitation. Full article
(This article belongs to the Section Cardiology)
Show Figures

Figure 1

20 pages, 1734 KB  
Article
Mercury in Selected Abiotic and Biotic Elements in Two Lakes in Poland: Implications for Environmental Protection and Food Safety
by Monika Rajkowska-Myśliwiec and Mikołaj Protasowicki
Animals 2023, 13(4), 697; https://doi.org/10.3390/ani13040697 - 16 Feb 2023
Cited by 2 | Viewed by 2376
Abstract
Mercury, which tends to bioaccumulate and biomagnify in aquatic food webs, poses a potential health risk to wildlife and to consumers of predatory fish in particular. Its concentration in biota can be high even at low environmental concentrations. Therefore, the aim of this [...] Read more.
Mercury, which tends to bioaccumulate and biomagnify in aquatic food webs, poses a potential health risk to wildlife and to consumers of predatory fish in particular. Its concentration in biota can be high even at low environmental concentrations. Therefore, the aim of this study was to determine mercury in both abiotic (water and sediment) and biotic elements (common reed (Phragmites australis) and fish: pike (Esox lucius), bream (Abramis brama) and roach (Rutilus rutilus)) in the context of assessing the pollution of two lakes in Poland and the safety of fish consumers. The possibility of Hg biomagnification in fish was also considered. Mercury was determined by means of cold vapor atomic absorption spectrometry (CVAAS). The concentrations of Hg in water and bottom sediments of Lake Ińsko were lower than in Lake Wisola. In the bottom sediments of both lakes, a positive correlation was found between the Hg content and organic matter. The concentration of mercury in the organs of common reed did not exceed 0.017 mg/kg dry weight (dw), and its distribution can be presented as follows: root > leaves > stems > rhizomes. In fish organs from both lakes, the average mercury content did not exceed 0.086 mg/kg of wet weight (ww) and in most cases it was the highest in pike. Higher values were only observed in the muscles and skin of roach. This indicates a lack of biomagnification in the relationships between planktivorous-predatory and benthivores-predatory fish. Based on the maximum levels of mercury in fish and the calculated parameters, i.e., estimated daily intake (EDI), target hazard quotient (THQ) and tolerable weekly intake (TWI), the muscles of the examined fish were found to be safe for consumption. The average dietary exposure to total mercury (THg) and methylmercury (MeHg) was below 0.3% of the TWI. Full article
Show Figures

Figure 1

19 pages, 2996 KB  
Article
Comparative Study on the Distribution of Essential, Non-Essential Toxic, and Other Elements across Trophic Levels in Various Edible Aquatic Organisms in Sri Lanka and Dietary Human Risk Assessment
by Anura Upasanta-Kumara Wickrama-Arachchige, Keerthi S. Guruge, Hinako Tani, Tilak Siri Dharmaratne, Marappullige P. Kumara, Yasuaki Niizuma and Takeshi Ohura
Toxics 2022, 10(10), 585; https://doi.org/10.3390/toxics10100585 - 4 Oct 2022
Cited by 3 | Viewed by 3011
Abstract
Thirty-six elements are categorized as essential but toxic in excess amount (EBTEs), non-essential toxic (NETs), and Other in 29 different edible aquatic species dwelling in offshore pelagic, and coastal and estuarine (CE) ecosystems were investigated in Sri Lanka. Elements were analyzed using an [...] Read more.
Thirty-six elements are categorized as essential but toxic in excess amount (EBTEs), non-essential toxic (NETs), and Other in 29 different edible aquatic species dwelling in offshore pelagic, and coastal and estuarine (CE) ecosystems were investigated in Sri Lanka. Elements were analyzed using an energy-dispersive X-ray fluorescence (EDXRF) spectrometer, and an NIC MA-3000 Mercury Analyzer. EBTEs showed a negative relationship, whereas NETs showed a positive relationship between the concentration (mg/kg wet weight) and trophic levels in both ecosystems. EBTEs showed trophic dilution, whereas NETs showed trophic magnification. Some elements in a few organisms exceeded the maximum allowable limit which is safe for human consumption. There was a positive relationship (R2 = 0.85) between the concentration of mercury and body weight of yellowfin tuna (YFT). For the widely consumed YFT, the calculated hazard index (HI) for the non-carcinogenic health and exposure daily intake of NETs for adults were 0.27 and 9.38 × 10−5 mg/kg bw/day, respectively. The estimated provisional tolerable weekly intake (PTWI) (μg/kg bw/w) was 0.47 for arsenic and 0.05 for antimony, cadmium, mercury, and lead. The HI and PTWI values were below the recommended limits; thus, consumption of YFT does not pose any health risk for Sri Lankan adults. Full article
(This article belongs to the Special Issue Risk Assessment of Chemicals in Food and Feed)
Show Figures

Figure 1

20 pages, 3945 KB  
Article
Distribution and Bioaccumulation of Essential and Toxic Metals in Tissues of Thaila (Catla catla) from a Natural Lake, Pakistan and Its Possible Health Impact on Consumers
by Muhammad Saleem, Javed Iqbal, Zongbo Shi, Scott H. Garrett and Munir H. Shah
J. Mar. Sci. Eng. 2022, 10(7), 933; https://doi.org/10.3390/jmse10070933 - 7 Jul 2022
Cited by 18 | Viewed by 4023
Abstract
Although fish are often recommended as a component of a healthy diet, the environmental accumulation of heavy metals in many fish species has been of considerable concern for those weighing the nutritional health benefits against adverse toxic outcome of excess intake of toxic [...] Read more.
Although fish are often recommended as a component of a healthy diet, the environmental accumulation of heavy metals in many fish species has been of considerable concern for those weighing the nutritional health benefits against adverse toxic outcome of excess intake of toxic metals. This study aimed to determine the concentration of essential and toxic metals in the tissues of Catla catla in Mangla Lake and to assess the possible risk to the consumers. Fifty samples of Catla catla were collected from Mangla Lake, Mirpur, Azad Jammu and Kashmir, Pakistan and analyzed for eighteen metals including essential and trace metals. The measured range concentrations (µg/g, wet weight) in muscle tissues, in decreasing order, were: K (955–1632), Ca (550–2081), Na (449–896), Mg (129–312), Zn (61.2–215), Fe (11.6–26.8), Sr (2.60–9.27), Pb (1.72–7.81), Se (1.55–3.55), Co (0.12–4.08), Mn (1.04–4.33), Ni (0.69–3.06), Cu (0.88–2.78), Cr (0.45–1.88), As (0.67–1.58), Cd (0.28–0.56), Hg (0.17–0.57) and Li (0.12–0.38). The metal concentrations found in this study were comparatively higher than those reported in literature. A majority of the metals exhibited higher accumulation in gills compared with those in scales and muscles. Mean levels of Pb, As, Co, Mn, Cd, Cr and Zn in Catla catla muscle were found to be exceeding the international permissible limits for the safe human consumption. The condition factor (K), as an indicator of fish health status, indicated that Catla catla of Mangla Lake are in good health condition. The metal pollution index (MPI) of gills (27.9), scales (12.5) and muscle (7.57) indicated low contamination. Moreover, human health risk was evaluated using estimated weekly intake (EWI) and daily intake (EDI), target hazard quotient (THQ), hazard index (HI) and target cancer risk (TCR). Estimated weekly and daily intake values for As, Cd, Cr, Hg, Ni and Pb were higher than provisional permissible tolerable weekly intake and permissible tolerable daily intake while THQ for As, Cd, Cr, Hg, Pb, Se and Zn was higher than 1. The THQ for As, Hg and Pb was several folds higher than 1, indicative of lifetime non-carcinogenic health risks to the consumers. The hazard index indicated cumulative risk, which greatly increased with increasing fish consumption. Target cancer risk indicated that the people eating the Catla catla from Mangla Lake were exposed to As, Cd, Cr, Ni and Pb with a significant lifetime carcinogenic risk. In summary, consumption of Catla catla from this lake was found to be associated with an increased lifetime risk to the general health of the consumers. Full article
(This article belongs to the Special Issue Water Pollution under Climate Change in Coastal Areas)
Show Figures

Figure 1

15 pages, 1017 KB  
Article
Lead and Cadmium Bioaccumulation in Fresh Cow’s Milk in an Intermediate Area of the Central Andes of Peru and Risk to Human Health
by Doris Chirinos-Peinado, Jorge Castro-Bedriñana, Elva Ríos-Ríos, Gloria Mamani-Gamarra, Elías Quijada-Caro, Analí Huacho-Jurado and Wilfredo Nuñez-Rojas
Toxics 2022, 10(6), 317; https://doi.org/10.3390/toxics10060317 - 11 Jun 2022
Cited by 27 | Viewed by 4103
Abstract
The dairy basin of the Mantaro River located in the centre of Peru faces serious anthropogenic disturbances as it receives emissions and discharges from the metallurgical mining activity located in the headwaters of the basin and milk contaminated with lead (Pb) and cadmium [...] Read more.
The dairy basin of the Mantaro River located in the centre of Peru faces serious anthropogenic disturbances as it receives emissions and discharges from the metallurgical mining activity located in the headwaters of the basin and milk contaminated with lead (Pb) and cadmium (Cd) endangers the environmental and human health, especially children. To measure the concentrations of Pb and Cd in milk and the dangers of their consumption in the Peruvian population, 40 milk samples were collected and quantified by atomic absorption spectrometry. The mean concentration of Pb in milk was 15 ± 2.6 µg/kg, which represented 75% of the Maximum Limit (ML), and that of Cd was 505 ± 123 µg/kg, which exceeded the ML by more than 194 times. The estimated weekly intake of Pb for people aged 2–85 years was below the Provisional Tolerable Weekly Intake (PTWI) references, determining risk coefficients (CRD) < 1. Weekly Cd intake was much higher than the PTWIs and CRDs were between 14 and 34, indicating that consumers would experience carcinogenic health effects, with children being at higher risk than adults, therefore, milk from the area is not safe for consumption. Cd would be transferred mainly through the soil (water)-grass-milk pathway, due to its presence in irrigation water and in fertilizers that contain Cd. The main pathway for Pb entry would be air-soil (water)-milk grass, from the fine particles emitted into the air by the mining-metallurgical activity, developed approximately 90 km from the study area. Full article
(This article belongs to the Special Issue Heavy Metal Contamination in Soil and Health Risks)
Show Figures

Figure 1

13 pages, 1055 KB  
Article
Heavy Metals and the Occurrence of Ulcerative Dermal Necrosis (UDN) in Sea Trout from the RIVER REGA, Poland—Consumer Health Assessment
by Monika Rajkowska-Myśliwiec, Mikołaj Protasowicki, Adam Tański and Sandra Watrak
Int. J. Environ. Res. Public Health 2022, 19(4), 2296; https://doi.org/10.3390/ijerph19042296 - 17 Feb 2022
Cited by 3 | Viewed by 2141
Abstract
Various factors, including heavy metals, can make fish more susceptible to disease. This study investigated, inter alia, the relationship between Pb, Cd, and Hg contamination of the organs and muscles of sea trout from the river Rega (Poland) and the occurrence of UDN [...] Read more.
Various factors, including heavy metals, can make fish more susceptible to disease. This study investigated, inter alia, the relationship between Pb, Cd, and Hg contamination of the organs and muscles of sea trout from the river Rega (Poland) and the occurrence of UDN (ulcerative skin necrosis) symptoms. Moreover, the dietary risk of Pb, Cd, and Hg uptake from the muscles of healthy sea trout was assessed based on estimated daily intake (EDI), target hazard quotient (THQ), benchmark dose lower confidence limits (BMDL01 and BMDL10), and tolerable weekly intake (TWI). The metal concentrations varied, depending on the fish organs and the fish condition. A significantly higher amount of Pb was found in the gonads, gills, and muscles, Cd in the kidneys, and Hg in the muscles of sea trout with UDN symptoms. The lowest concentrations of Pb and Cd were detected in the muscles, and of Hg in the gonads. Dietary exposure to Pb, Cd, and Hg accounted for: 0.4% of BMDL01 and 1.0% of BMDL10, 0.56% of TWI, and 16.5% of TWI, respectively. THQs for each metal and the HI value for combined metals were below 1. The weakening of fish due to UDN-like disease probably increased the accumulation of Pb in the gonads, gills, and muscles, and of Cd in the kidneys, of the sea trout. As regards the maximum levels (MRLs), the muscles of healthy sea trout are safe for consumption. The risk assessment suggests no concern for the health of consumers. Full article
(This article belongs to the Special Issue Health Risks and Dietary Intake of Emerging Pollutants)
Show Figures

Figure 1

15 pages, 2130 KB  
Article
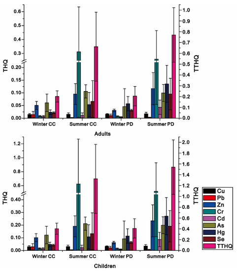
The Bioaccumulation and Health Risk Assessment of Metals among Two Most Consumed Species of Angling Fish (Cyprinus carpio and Pseudohemiculter dispar) in Liuzhou (China): Winter Should Be Treated as a Suitable Season for Fish Angling
by Yupei Hao, Xiongyi Miao, Mian Song and Hucai Zhang
Int. J. Environ. Res. Public Health 2022, 19(3), 1519; https://doi.org/10.3390/ijerph19031519 - 28 Jan 2022
Cited by 15 | Viewed by 3021
Abstract
Wild fish caught by anglers were validated to be commonly polluted by metals, but their contamination status could be varied with changing seasons. To determine the seasonal variation in metal pollution and health risks in these fish, this study took Liuzhou City as [...] Read more.
Wild fish caught by anglers were validated to be commonly polluted by metals, but their contamination status could be varied with changing seasons. To determine the seasonal variation in metal pollution and health risks in these fish, this study took Liuzhou City as an example to investigate the concentrations of eight metals in two dominant angling fishes (Cyprinus carpio and Pseudohemiculter dispar) collected, respectively, in winter and summer. The obtained results suggested the mean concentrations of metals in fish are overall lower in winter. Only Cr, Zn, and Cd in some fish were beyond the thresholds in summer. The significant correlations between fish length and weight and most metals suggested the biological dilution effect could exert its influence in winter. The similar distribution of metals in winter suggested that metal bioaccumulation should be manipulated by living habitats, while the inconsistent distribution of metals in summer may be related to the variation in feeding behavior. The metal pollution index (Pi) values were all below 0.2 in winter, which suggested no metal contamination in fish, but most fish were found to be mostly contaminated by Cr and Cd in summer, which was confirmed by their Pi > 0.2. The fish could be consumed freely in winter due to the total target hazard quotient (TTHQ) below 1, while the consumption of fish was not entirely safe in summer, particularly for children, due to TTHQ values that were generally beyond 1. Given the higher weekly recommended consumption of fish in winter, winter should be treated as a suitable season for fish angling. Full article
(This article belongs to the Section Environmental Science and Engineering)
Show Figures

Figure 1

Back to TopTop