Sign in to use this feature.

Years

Between: -

Subjects

remove_circle_outline
remove_circle_outline
remove_circle_outline
remove_circle_outline
remove_circle_outline
remove_circle_outline
remove_circle_outline
remove_circle_outline

Journals

Article Types

Countries / Regions

Search Results (74)

Search Parameters:
Keywords = rotation frequency of impeller

Order results
Result details
Results per page
Select all
Export citation of selected articles as:
26 pages, 12326 KB  
Article
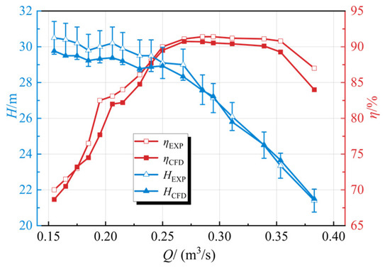
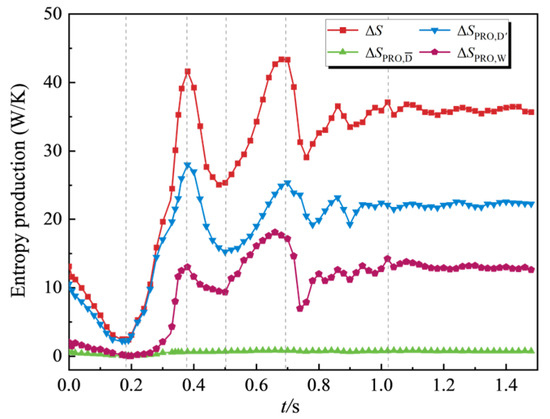
A Study on Energy Loss and Transient Flow Characteristics of a Large Volute Centrifugal Pump During Power-Off Process Under Cavitation Conditions
by Qingzhao Pang, Desheng Zhang, Gang Yang, Xi Shen, Qiang Pan, Linlin Geng and Qinghui Lu
J. Mar. Sci. Eng. 2025, 13(10), 1973; https://doi.org/10.3390/jmse13101973 - 15 Oct 2025
Viewed by 240
Abstract
A novel pumped storage system using centrifugal pumps to transfer water between reservoirs in coastal hydropower plants has significantly mitigated grid instability. However, frequent start–stop operations of large vertical centrifugal pumps, which serve as the core equipment, severely affect the operational stability of [...] Read more.
A novel pumped storage system using centrifugal pumps to transfer water between reservoirs in coastal hydropower plants has significantly mitigated grid instability. However, frequent start–stop operations of large vertical centrifugal pumps, which serve as the core equipment, severely affect the operational stability of these systems. In this study, the intrinsic connection between the cavitating flow field and irreversible losses during the process was analyzed using the entropy production theory. The time–frequency characteristics of pressure pulsation in pump were analyzed by using the continuous wavelet transform. The results indicate that with the reduction in the flow rate and rotational speed, the sheet cavitation at the impeller inlet rapidly weakens until it vanishes. The cavity cavitation within the draft tube commences to emerge in the turbine mode. Separation vortices are formed due to the mismatch in the flow angle at the impeller outlet. These vortices induce local cavitation, causing both a rapid energy loss increase and high-amplitude, low-frequency pressure pulsations. During transient processes, flow instabilities induce high-amplitude, low-frequency pressure pulsations within the stay vane region, with maximum amplitude attained during runaway condition. The research results provide a theoretical foundation for the stable operation of centrifugal pumps. Full article
(This article belongs to the Section Ocean Engineering)
Show Figures

Figure 1

21 pages, 15840 KB  
Article
Transient Flow Structures and Energy Loss Mechanisms of a Multistage Pump as a Turbine Under Runaway Conditions
by Peng Lin, Yuting Xiong, Xiaolong Li, Yonggang Lu, Dong Hu, Wei Lu and Jin Peng
Energies 2025, 18(17), 4528; https://doi.org/10.3390/en18174528 - 26 Aug 2025
Viewed by 572
Abstract
Multistage pumps serve as the core power source for fluid transportation, and runaway conditions of multistage pumps as turbines (PATs) may lead to severe consequences. This study investigated the pressure pulsation, flow structure, and impeller transient characteristics of an 11-stage petrochemical pump under [...] Read more.
Multistage pumps serve as the core power source for fluid transportation, and runaway conditions of multistage pumps as turbines (PATs) may lead to severe consequences. This study investigated the pressure pulsation, flow structure, and impeller transient characteristics of an 11-stage petrochemical pump under runaway conditions. Full-flow numerical simulations at varying speeds analyzed head, efficiency, and entropy production via the entropy diagnostic method. The results showed that total entropy production generally increases with rotational speed, while efficiency first rises then declines, peaking at 78.48% at 4000 r/min. Maximum/minimum pressure pulsation peaks consistently occur at identical stages, with dominant peak amplitudes overall increasing with speed. Pressure coefficient amplitudes decrease with frequency growth, with larger pulsation magnitudes observed at monitoring points closer to impeller outlets. Dominant pressure pulsation peaks exhibit upward trends with increasing rotational speed. Both the blade-passing frequency and its harmonics were detected at 5100 r/min, including the impeller inlet/outlet side and the region near the cutwater within the guide vanes. This study identified the critical threshold of 4800 r/min and pinpointed fatigue risk zones, providing a theoretical foundation for designing and manufacturing high-performing multistage PAT systems under runaway conditions. Full article
Show Figures

Figure 1

26 pages, 6409 KB  
Article
Experimental and Numerical Investigation of Cavitation-Induced Pressure Fluctuation Characteristics in the Blade-Tip Region of an Axial Flow Pump
by Haoran Wu, Xi Shen, Chen Ni and Gang Yang
J. Mar. Sci. Eng. 2025, 13(8), 1391; https://doi.org/10.3390/jmse13081391 - 22 Jul 2025
Viewed by 510
Abstract
This paper investigates the pressure fluctuation characteristics induced by cavitation in the blade-tip region of an axial flow pump through experimental and numerical methods. Compared with previous studies, this research not only analyzes the development of cavitation bubbles under varying flow rates but [...] Read more.
This paper investigates the pressure fluctuation characteristics induced by cavitation in the blade-tip region of an axial flow pump through experimental and numerical methods. Compared with previous studies, this research not only analyzes the development of cavitation bubbles under varying flow rates but also explores the transient pressure fluctuation features caused by cavitation. It is found that partial-loading conditions tend to exacerbate cavitation, leading to more pronounced transient flow characteristics. The primary frequency of pressure fluctuations consistently corresponds to the impeller’s rotational frequency and its harmonics, with the magnitude inversely related to flow rate. At the same cavitation stage, lower flow rates exhibit larger amplitudes and more significant fluctuations in high-frequency components. This indicates stronger entrainment disturbance between the cavitation morphology and the mainstream in the blade-tip region at lower flow rates, resulting in more complex flow structures. This study provides a theoretical basis for understanding the mechanisms of pressure fluctuations induced by cavitation in the blade-tip region of axial flow pumps. Full article
(This article belongs to the Section Ocean Engineering)
Show Figures

Figure 1

21 pages, 14961 KB  
Article
Unsteady Flow Analysis Inside an Electric Submersible Pump with Impeller Blade Perforation
by Siyuan Li, Yang Zhang, Jianhua Bai, Jinming Dai, Hua Zhang, Jian Wang and Ling Zhou
Water 2025, 17(12), 1790; https://doi.org/10.3390/w17121790 - 14 Jun 2025
Viewed by 563
Abstract
The electric submersible pump (ESP) is a critical component in subsurface resource extraction systems, yet the presence of gas in the working medium significantly affects its performance. To investigate the impact of impeller perforation on gas–liquid mixing and internal flow characteristics, unsteady numerical [...] Read more.
The electric submersible pump (ESP) is a critical component in subsurface resource extraction systems, yet the presence of gas in the working medium significantly affects its performance. To investigate the impact of impeller perforation on gas–liquid mixing and internal flow characteristics, unsteady numerical simulations were conducted based on the Euler–Euler multiphase flow model. The transient evolution of the gas phase distribution, flow behavior, and liquid phase turbulent entropy generation rate was analyzed under an inlet gas volume fraction of 5%. Results show that under part-load flow conditions, impeller perforation reduces the amplitude of dominant frequency fluctuations and enhances periodicity, thereby mitigating low-frequency disturbances. Under design flow conditions, it leads to stronger dominant frequencies and intensified low-frequency fluctuations. Gas phase distribution varies little under low and design flow rates, while at high flow rates, gas accumulations shift from the midsection to the outlet with rotor rotation. As the flow rate increases, liquid velocity rises, and flow streamlines become more uniform within the channels. Regions of high entropy generation coincide with high gas concentration zones: they are primarily located near the impeller inlet and suction side under low flow, concentrated at the inlet and mid-passage under design flow, and significantly reduced and shifted toward the impeller outlet under high flow conditions. The above results indicate that the perforation design of ESP impellers should be optimized according to operating conditions to improve gas dispersion paths and flow channel geometry. Under off-design conditions, perforations can enhance operational stability and transport performance, while under design conditions, the location and size of the perforations must be precisely controlled to balance efficiency and vibration suppression. Full article
(This article belongs to the Special Issue Hydraulics and Hydrodynamics in Fluid Machinery, 2nd Edition)
Show Figures

Figure 1

30 pages, 12183 KB  
Article
Improving Hydrodynamics and Energy Efficiency of Bioreactor by Developed Dimpled Turbine Blade Geometry
by Anton Ruzhanskyi, Sergii Kostyk, Igor Korobiichuk and Vladislav Shybetskyi
Symmetry 2025, 17(5), 693; https://doi.org/10.3390/sym17050693 - 30 Apr 2025
Cited by 2 | Viewed by 1002
Abstract
The hydrodynamic efficiency of bioreactors is contingent upon the design of the impeller, particularly the blade geometry, which influences flow symmetry. This study evaluates the impact of dimpled surfaces on the blades of a turbine impeller on mixing processes. Investigations were conducted using [...] Read more.
The hydrodynamic efficiency of bioreactors is contingent upon the design of the impeller, particularly the blade geometry, which influences flow symmetry. This study evaluates the impact of dimpled surfaces on the blades of a turbine impeller on mixing processes. Investigations were conducted using simulations in ANSYS (2021R2) with the k-ε turbulence model and experiments measuring vortex funnel depth and power consumption at 247 rpm in an 11-L cylindrical vessel. Results indicate that dimples disrupt the rotational symmetry of the blades, increasing the volume-averaged flow velocity from 0.312 m/s to 0.321 m/s (a 2.9% increase); the maximum shear strain rate from 161 s−1 to 1442 s−1; and the turbulent vortex frequency from 183 s−1 to 290 s−1 (a 58% increase). The volume-averaged shear strain rate rose from 44 s−1 to 63 s−1 (a 43% improvement), and the vortex funnel depth increased from 44 mm to 50 mm (a 14% increase), indicating enhanced homogenization. This facilitates efficient processing of sensitive biological organisms, such as mycoplasmas, and more robust structures, including fungi and mycelium. However, power consumption increased by 4.5% (from 4.9 W to 5.1 W). Thus, disrupting symmetry with dimples intensifies hydrodynamic processes, enhancing mixing efficiency, but requires optimization to reduce energy costs, offering prospects for advancing biotechnological systems. Full article
Show Figures

Figure 1

20 pages, 12818 KB  
Article
Modal Vibration Suppression for Magnetically Levitated Rotor Considering Significant Gyroscopic Effects and Interface Contact
by Kun Zeng, Yang Zhou, Yuanping Xu and Jin Zhou
Actuators 2025, 14(2), 76; https://doi.org/10.3390/act14020076 - 6 Feb 2025
Cited by 2 | Viewed by 992
Abstract
Featured with optimal power consumption, active magnetic bearings (AMBs) have been extensively integrated into turbomachinery applications. For turbomachinery components, including the rotor and impeller, their connection is generally based on bolted joints, which would easily induce excessive interface contact. As a result, the [...] Read more.
Featured with optimal power consumption, active magnetic bearings (AMBs) have been extensively integrated into turbomachinery applications. For turbomachinery components, including the rotor and impeller, their connection is generally based on bolted joints, which would easily induce excessive interface contact. As a result, the pre-tightening torque can induce modal vibrations in the rotor upon levitation. Although a notch filter can be adopted to suppress the vibrations, it should be noted that the current reported notch filters are based on fixed center frequency, making it challenging to enable high effectiveness over a broad range of rotor speeds, particularly in cases where the gyroscopic effect is significant. Herein, a modal vibration suppression based on a varying-frequency notch filter is proposed, considering gyroscopic effect and interface contact. First, the rotor–AMB system was developed, taking into consideration the bolted-joint interface contact. This modeled the effect of the interface contact as a time-varying force in the positive feedback. Secondly, the relationship between vibration frequency and rotational speed was obtained, based on simulations. Lastly, a test rig was configured to validate the performance of the frequency-varying notch filter. The experimental data confirm that the filter is capable of attenuating the modal vibrations resulting from interface contact across all operational speeds. Full article
(This article belongs to the Special Issue Advanced Theory and Application of Magnetic Actuators—2nd Edition)
Show Figures

Figure 1

18 pages, 8631 KB  
Article
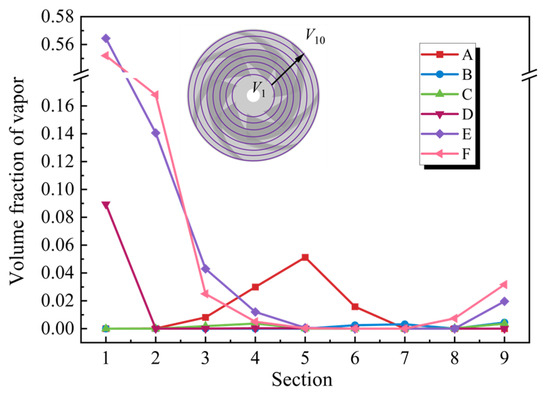
Flow Characteristics and Pressure Pulsation Analysis of Cavitation Induced in a Double-Volute Centrifugal Pump
by Yongsha Tu, Xueying Zhao, Lifeng Lu, Wenjie Zhou, Siwei Li, Jin Dai, Zhongzan Wang, Yuan Zheng and Chunxia Yang
Water 2025, 17(3), 445; https://doi.org/10.3390/w17030445 - 5 Feb 2025
Cited by 2 | Viewed by 1433
Abstract
Cavitation is a complex multiphase flow phenomenon, and the generation of transient phase transitions between liquid and vapor during cavitation development leads to multi-scale vortex motion. The transient cavitation dynamics and centrifugal pump’s rotor–stator interaction will induce pressure fluctuations in the impeller and [...] Read more.
Cavitation is a complex multiphase flow phenomenon, and the generation of transient phase transitions between liquid and vapor during cavitation development leads to multi-scale vortex motion. The transient cavitation dynamics and centrifugal pump’s rotor–stator interaction will induce pressure fluctuations in the impeller and the volute fluid of the centrifugal pump, resulting in a complex flow field structure. Based on the Schnerr–Sauer cavitation model and SST k-ω turbulence model, this paper studies the transient characteristics of the cavitation-induced unsteady flow in the centrifugal pump and the excitation response to the pressure pulsation in the volute under different flow conditions, taking the large vertical double-volute centrifugal pump as the research object. The results indicate the following: As the impeller rotates, in the external excitation response, the jet-wake flow structure at the centrifugal pump blade outlet shows an increase in the blade frequency signal. This is evident near the measurement points of the volute tongue and separator. When severe cavitation occurs, the maximum amplitude at the blade frequency in the volute shifts from the pump tongue (30°) to the downstream of the tongue (45°). The value of fpmax is 3.1 times that when NPSHa = 8.88 m. By applying the Omega vortex identification method, it can be seen that the interaction between the vortices at the blade trailing edge and the stable vortex in the volute tongue undergoes a process of elongation, fusion, separation, and recovery. This represents the downstream influence of the impeller on the volute. When Q = 0.9Qd, the process of the blade passage vortex tail detaching and dissipating in the impeller flow path can be observed, demonstrating the upstream influence of the volute on the impeller. Full article
(This article belongs to the Special Issue Advanced Numerical Approaches for Multiphase and Cavitating Flows)
Show Figures

Figure 1

17 pages, 8063 KB  
Article
Research on the Comparison of the Flow Evolution Mechanisms of a Water-Jet Pump Between Valley and Peak Conditions
by Min Liu, Yun Long, Yingying Zheng, Jinqing Zhong and Hong Yin
J. Mar. Sci. Eng. 2024, 12(12), 2352; https://doi.org/10.3390/jmse12122352 - 21 Dec 2024
Cited by 1 | Viewed by 953
Abstract
The pump hump significantly influences the vibration and operational stability of pumps. During the development of the mixed-flow waterjet pump, our team found that the pump performance curve had a hump phenomenon and the platform had vibration, so it was suspected that there [...] Read more.
The pump hump significantly influences the vibration and operational stability of pumps. During the development of the mixed-flow waterjet pump, our team found that the pump performance curve had a hump phenomenon and the platform had vibration, so it was suspected that there was a strong secondary flow in the hump region. The calculation model is the SST k-ω turbulence model. The impeller and diffuser use structured grids. By using high-speed photography technology, we map the cavitation flow structures, thereby demonstrating the evolution of cavitation processes. The hump curve was obtained by an experimental test. By comparing the test data and numerical simulation, the consistency of the method and the hump curve is verified. A comparative analysis is performed to investigate the variations in the distribution of internal vortex structures and the evolution of rotating stalls in the impeller. In the valley condition, the main frequency of pressure pulsation in the inlet section of the impeller is 0.75 times the shaft frequency, the main frequency in the middle and outlet sections of the impeller is 1 times the shaft frequency, and the main frequency in the diffuser basin is 1.5 times the shaft frequency, the main frequency in the peak condition at the points of Span = 0.1 and Span = 0.5 of the impeller is the diffuser frequency, the main frequency at the point of Span = 0.9 is the impeller blade frequency, and the main frequency in the diffuser basin is either the shaft frequency or the diffuser blade frequency. This research reveals the characteristics of vortex flow in the pump under hump conditions. It reveals that the evolution mechanism of the hump offers a guide value for the subsequent hydrodynamic design of the hump. Full article
(This article belongs to the Section Ocean Engineering)
Show Figures

Figure 1

20 pages, 10232 KB  
Article
Study on the Cavitation Performance in the Impeller Region of a Mixed-Flow Pump Under Different Flow Rates
by Xu Yang, Jianzhong Zhu, Yi Zhang, Buqing Chen, Yiping Tang, Rui Jiang, Kan Kan, Changliang Ye and Yuan Zheng
Water 2024, 16(22), 3195; https://doi.org/10.3390/w16223195 - 7 Nov 2024
Viewed by 2036
Abstract
Mixed-flow pumps, optimized for marine engineering, provide a balance of high efficiency and adaptability, accommodating varied flow and head demands across challenging oceanic settings and are essential for reliable operations in tidal energy and subsea applications. The primary purpose of this paper is [...] Read more.
Mixed-flow pumps, optimized for marine engineering, provide a balance of high efficiency and adaptability, accommodating varied flow and head demands across challenging oceanic settings and are essential for reliable operations in tidal energy and subsea applications. The primary purpose of this paper is to perform a numerical analysis of the cavitation flow characteristics of the mixed-flow pump under differing operational circumstances. The cavitation simulation was implemented to explore the cavitation bubbles evolution and the pressure pulsation characteristics in the impeller region under diverse flow rates, utilizing the Shear Stress Transport (SST) turbulence model and the Zwart-Gerber-Belamri cavitation model as a foundation. The findings indicate that cavitation bubbles initially distribute at the leading edge of blade suction surfaces at the cavitation growth stage. The bubbles spread gradually with the decline of the available net positive suction head (NPSHa). At the same time, many bubbles appear in the area below the blade and extend to the rim of the suction side of blades. As the flow rate decreases, the critical net positive suction head (NPSHc) gradually declines. The dominant pressure pulsation frequency at the impeller inlet is the blade passing frequency, and the vibration at the impeller shroud inlet is more intense than that at the hub. The dominant frequency at the impeller outlet is mainly the blade passing frequency. With the development of cavitation, it changes to impeller rotation frequency at low flow rates, while the dominant frequency remains unchanged at high flow rates. Full article
Show Figures

Figure 1

20 pages, 9760 KB  
Review
Application and Challenge of High-Speed Pumps with Low-Temperature Thermosensitive Fluids
by Beile Zhang, Ben Niu, Ze Zhang, Shuangtao Chen, Rong Xue and Yu Hou
Energies 2024, 17(15), 3732; https://doi.org/10.3390/en17153732 - 29 Jul 2024
Cited by 2 | Viewed by 2464
Abstract
The rapid development of industrial and information technology is driving the demand to improve the applicability and hydraulic performance of centrifugal pumps in various applications. Enhancing the rotational speed of pumps can simultaneously increase the head and reduce the impeller diameter, thereby reducing [...] Read more.
The rapid development of industrial and information technology is driving the demand to improve the applicability and hydraulic performance of centrifugal pumps in various applications. Enhancing the rotational speed of pumps can simultaneously increase the head and reduce the impeller diameter, thereby reducing the pump size and weight and also improving pump efficiency. This paper reviews the current application status of high-speed pumps using low-temperature thermosensitive fluids, which have been applied in fields such as novel energy-saving cooling technologies, aerospace, chemical industries, and cryogenic engineering. Due to operational constraints and thermal effects, there are inherent challenges that still need to be addressed for high-speed pumps. Based on numerical simulation and experimental research for different working fluids, the results regarding cavitation within the inducer have been categorized and summarized. Improvements to cavitation models, the mechanism of unsteady cavity shedding, vortex generation and cavitation suppression, and the impact of cavitation on pump performance were examined. Subsequently, the thermal properties and cavitation thermal effects of low-temperature thermosensitive fluids were analyzed. In response to the application requirements of pump-driven two-phase cooling systems in data centers, a high-speed refrigerant pump employing hydrodynamic bearings has been proposed. Experimental results indicate that the prototype achieves a head of 56.5 m and an efficiency of 36.1% at design conditions (n = 7000 rpm, Q = 1.5 m3/h). The prototype features a variable frequency motor, allowing for a wider operational range, and has successfully passed both on/off and continuous operation tests. These findings provide valuable insights for improving the performance of high-speed refrigerant pumps in relevant applications. Full article
Show Figures

Figure 1

15 pages, 13165 KB  
Article
Numerical Study of Low-Specific-Speed Centrifugal Pump Based on Principal Component Analysis
by Yangyang Wei, Han Zhu, Quanwang Fan, Ning Qiu, Jie Wu and Weibin Zhang
Water 2024, 16(13), 1785; https://doi.org/10.3390/w16131785 - 24 Jun 2024
Cited by 1 | Viewed by 1652
Abstract
The characteristics of pressure pulsations in centrifugal pumps have attracted considerable attention. In this study, principal component analysis is used to discuss the pressure pulsations in a centrifugal pump with a low specific speed, and the primary causes for these pressure pulsations are [...] Read more.
The characteristics of pressure pulsations in centrifugal pumps have attracted considerable attention. In this study, principal component analysis is used to discuss the pressure pulsations in a centrifugal pump with a low specific speed, and the primary causes for these pressure pulsations are analyzed in conjunction with experimental results. The results indicate that principal component analysis effectively separates the primary modes that influence the flow field characteristics. An excessive wrap angle results in the formation of a backflow vortex on the working face of the blade. Obvious stratification of the zero-order modal pressure indicates that the geometric structure of the impeller is rational and that the transient flow field is stable. The second- and third-order modes are conjugates, and their dominant frequency coincides with the dominant rotating frequency of the impeller, indicating that the pulsations of a single channel are the primary component of the pressure pulsations. The primary frequency (148.54 Hz) of the pressure pulsations at monitoring points distributed across the volute is three times the rotational frequency (49.51 Hz) of the impeller. The different positions and sub-frequencies of the monitoring points mean that the principal component analysis can effectively identify the impeller-induced sub-frequency difference. Full article
(This article belongs to the Special Issue Hydrodynamics in Pumping and Hydropower Systems)
Show Figures

Figure 1

19 pages, 18436 KB  
Article
A Study and Optimization of the Unsteady Flow Characteristics in the Last Stage Impeller of a Small-Scale Multi-Stage Hydraulic Turbine
by Jun Yang, Tao Peng, Gang Xu, Wenli Hu, Huazhou Zhong and Xiaohua Liu
Energies 2024, 17(1), 107; https://doi.org/10.3390/en17010107 - 24 Dec 2023
Cited by 2 | Viewed by 1628
Abstract
The demand for small-size multi-stage hydraulic turbines is experiencing rapid growth due to the ongoing efforts towards energy conservation and emission reduction. On account of their compact structural design, these turbines feature a more intricate internal flow configuration, rendering them prone to the [...] Read more.
The demand for small-size multi-stage hydraulic turbines is experiencing rapid growth due to the ongoing efforts towards energy conservation and emission reduction. On account of their compact structural design, these turbines feature a more intricate internal flow configuration, rendering them prone to the creation of low-pressure zones, resulting in vapor–liquid two-phase flow, accompanied by the development of intense vibrations and noise, thereby adversely affecting the safety and stability of turbine operations. Concurrently, an innovative method for analyzing flow fields has been formulated combined with two-dimensional frequency domain visualization technology and proper orthogonal decomposition, serving to establish a diagnostic and optimization framework for the unsteady flow structures within rotating machinery by considering the features related to frequency distribution, spatial distribution, and energy contributions. It was found that there are two main unsteady flow structures which are the areas with high risks of vaporization under this study condition. According to the flow characteristics of the analysis, an optimization scheme was proposed to improve the two-phase flow problem in the secondary impeller, and the preliminary results were satisfactory. Full article
Show Figures

Figure 1

16 pages, 5510 KB  
Article
Analysis of Stress Characteristics of a Vertical Centrifugal Pump Based on Fluid-Structure Interaction
by Siwei Li, Yongsha Tu, Changliang Ye, Hongyeyu Yan, Jin Dai, Mengfan Dang, Chunxia Yang, Yuan Zheng and Yongbiao Li
Water 2023, 15(24), 4269; https://doi.org/10.3390/w15244269 - 13 Dec 2023
Cited by 2 | Viewed by 2746
Abstract
Vertical centrifugal pumps play a crucial role in numerous water conservancy projects. However, their continuous operation can lead to the development of cracks or even fractures in some centrifugal pump blades, resulting in a substantial adverse impact on the operation of the pumping [...] Read more.
Vertical centrifugal pumps play a crucial role in numerous water conservancy projects. However, their continuous operation can lead to the development of cracks or even fractures in some centrifugal pump blades, resulting in a substantial adverse impact on the operation of the pumping station unit and jeopardizing safe production. This study employs the fluid-structure interaction method to comprehensively investigate the modal characteristics of the impeller, both in an air environment and immersed in water. Furthermore, the analysis of static and dynamic stress attributes is conducted. The natural frequency of the impeller when submerged in water is significantly lower than its frequency in an air medium, typically accounting for approximately 0.35 to 0.46 of the air-based natural frequency. There are conspicuous stress concentrations at specific locations within the system, specifically at the rounded corners of the blade back exit edge, the impeller front cover, the middle of the blade inlet edge, and the junction where the blade interfaces with the front and back cover. It is crucial to underscore that when the system operates under high-flow or low-flow conditions, there is a pronounced stress concentration at the interface between the impeller and the rear cover plate. Any deviation from the intended design conditions results in an escalation of equivalent stress levels. Through dynamic stress calculations during a single rotational cycle of the impeller, it is discerned that the cyclic nature of stress at the point of maximum stress is primarily influenced by the number of blades and the rotational velocity of impeller. This research carries significant implications for effectively mitigating blade fractures and cyclic fatigue damage, thereby enhancing the operational reliability of vertical centrifugal pumps in water conservancy applications. Full article
(This article belongs to the Special Issue Advances in Hydrodynamics of Water Pump Station System)
Show Figures

Figure 1

11 pages, 4586 KB  
Article
Unsteady Cavitation Analysis of the Centrifugal Pump Based on Entropy Production and Pressure Fluctuation
by Qiaorui Si, Fanjie Deng, Yu Lu, Minquan Liao and Shouqi Yuan
Int. J. Turbomach. Propuls. Power 2023, 8(4), 46; https://doi.org/10.3390/ijtpp8040046 - 11 Nov 2023
Cited by 2 | Viewed by 2621
Abstract
A numerical method using combined detached-eddy simulation (DES) and a cavitation model considering the rotation effect is used for unsteady cavitation flow field of the centrifugal pump. A closed-type pump test system was established to obtain the pump performance and pressure pulsation characteristics [...] Read more.
A numerical method using combined detached-eddy simulation (DES) and a cavitation model considering the rotation effect is used for unsteady cavitation flow field of the centrifugal pump. A closed-type pump test system was established to obtain the pump performance and pressure pulsation characteristics under different flow rates and cavitation condition, which provide boundary conditions and verification of calculations. Based on the calculation results of the unsteady flow field of the centrifugal pump cavitation, the entropy generation analysis of the flow field and an analysis of the pressure fluctuation characteristics were carried out. Then, we tried to reveal the relationship between cavitation and the deterioration of the centrifugal pump performance and the generation of the unstable operation excitation force. The internal energy loss is mainly concentrated in the impeller, volute, and pump cavity area, which accounts for more than 85% of the total entropy generation. The characteristic frequency of a Strouhal number of about 0.333 appears at the volute tongue due to the cavitation flow spread downstream. Full article
Show Figures

Figure 1

17 pages, 8976 KB  
Article
Influence of Rotation Speed and Gas Content on the Transient Gas–Liquid Two-Phase Flow of an Electric Submersible Pump
by Deqing Sun, Zhongmin Xiao, Ziming Feng, Heng Yuan and Wei Cui
Machines 2023, 11(10), 971; https://doi.org/10.3390/machines11100971 - 18 Oct 2023
Cited by 3 | Viewed by 1785
Abstract
In order to study the internal flow characteristics of the electric submersible pump (ESP) when the gas–liquid two-phase flow is conveyed by the variable frequency variable speed operation and the change of the imported gas content, the impeller of the Q10# ESP is [...] Read more.
In order to study the internal flow characteristics of the electric submersible pump (ESP) when the gas–liquid two-phase flow is conveyed by the variable frequency variable speed operation and the change of the imported gas content, the impeller of the Q10# ESP is taken as the research object, based on the Eulerian-Eulerian non-homogeneous phase. The flow model, the unsteady Reynolds time-averaged N-S equation, and the standard k-ε turbulence model are used for transient simulation calculations of the gas–liquid two-phase flow in the impeller of the ESP. Calculations show that with the rotation of the impeller, the gas phase is unevenly distributed in the flow channel. The gas phase is mainly concentrated on the inlet side of the flow channel near the front cover, and the gas phase exhibits periodic aggregation and diffusion in the flow channel. When the impeller speed increases, the period of periodic accumulation and diffusion of gas in the flow channel is shortened and the gas concentration in the impeller decreases, the overall flow velocity in the flow channel increases, and the pressure difference between the inlet and outlet increases. The pressure difference between the two sides of the blade is proportional to the speed of the impeller, and the fluctuation frequency of the blade surface also increases. As the gas content increases, the maximum concentration of gas phase in the flow channel increases. The area occupied by the high concentration of gas phase in the flow channel expands toward the blade’s working surface, and periodically accumulates, diffuses, and grows. The gas-liquid splitting area shrinks toward the front cover side and the pump. The internal pressure increases slightly, the main flow velocity increases, and the vortex action range increases. Full article
(This article belongs to the Section Turbomachinery)
Show Figures

Figure 1

Back to TopTop