Sign in to use this feature.

Years

Between: -

Subjects

remove_circle_outline
remove_circle_outline
remove_circle_outline
remove_circle_outline
remove_circle_outline
remove_circle_outline
remove_circle_outline
remove_circle_outline
remove_circle_outline

Journals

remove_circle_outline
remove_circle_outline
remove_circle_outline
remove_circle_outline
remove_circle_outline

Article Types

Countries / Regions

remove_circle_outline
remove_circle_outline
remove_circle_outline
remove_circle_outline

Search Results (626)

Search Parameters:
Keywords = river fragmentation

Order results
Result details
Results per page
Select all
Export citation of selected articles as:
21 pages, 12435 KB  
Article
Mapping the Spatial Distribution of Urban Agriculture with a Novel Classification Framework: A Case Study of the Pearl River Delta Region
by Shanshan Feng, Ruiqing Chen, Shun Jiang, Xuying Huang, Chengrui Mao, Lei Zhang and Canfang Zhou
Agronomy 2026, 16(9), 862; https://doi.org/10.3390/agronomy16090862 - 24 Apr 2026
Abstract
Urban agriculture plays a critical yet increasingly complex role in sustainable urban development, especially in high-density regions undergoing rapid transformation. Accurate mapping of its spatial distribution and functional composition remains a methodological challenge due to its fragmented landscape, small plot sizes, and multifunctional [...] Read more.
Urban agriculture plays a critical yet increasingly complex role in sustainable urban development, especially in high-density regions undergoing rapid transformation. Accurate mapping of its spatial distribution and functional composition remains a methodological challenge due to its fragmented landscape, small plot sizes, and multifunctional nature. This study addresses this gap by developing and applying a novel hierarchical classification framework that integrates agricultural land cover types with key socio-economic functions to map urban agriculture in the Pearl River Delta (PRD), China. This framework is structured around agricultural land categories (i.e., cropland, garden, forest, grass, and water body) and further delineated by two primary production functions, planting and breeding, with a third functional dimension, leisure activities, proposed as a conceptual extension for future research. Using unmanned aerial vehicle (UAV) imagery and high-resolution satellite data, we constructed a spatial sample database for urban agriculture. The random forest algorithm was applied to classify urban agriculture with Gaofen-2 imagery, generating detailed spatial distribution maps across the study area, with consistently reliable overall accuracy (79.07–81.82%), though this may be slightly optimistic due to potential spatial autocorrelation between training and testing samples. While the framework performed exceptionally well for spectrally and spatially distinct classes such as water bodies and perennial plantations, challenges remained in discriminating among annual field crops due to spectral similarity. These findings underscore the potential of integrating multi-temporal remote sensing data to capture phenological variations for improved classification. This study provides a replicable, functionally informed mapping approach that not only advances the methodological toolkit for urban agriculture characterization but also offers a valuable evidence base for land use planning, agricultural policy, and sustainable urban development in rapidly urbanizing regions. Full article
Show Figures

Figure 1

16 pages, 1450 KB  
Article
Same Fishways, Different Rivers: Do Ecohydrological Origins Shape Passage Strategies in Allopatric Mediterranean Cyprinids?
by Filipe Romão, Francisco Javier Bravo-Córdoba, Ana L. Quaresma, Ana García-Vega, Juan F. Fuentez-Pérez and Francisco J. Sanz-Ronda
Sustainability 2026, 18(9), 4226; https://doi.org/10.3390/su18094226 - 24 Apr 2026
Abstract
River fragmentation caused by dam construction threatens global fish conservation. Mediterranean ecosystems are particularly affected, and the Iberian Peninsula, with its highly fragmented rivers, exemplifies this challenge. Endemic allopatric congeneric barbels (Luciobarbus bocagei and L. sclateri) are particularly vulnerable cyprinids because [...] Read more.
River fragmentation caused by dam construction threatens global fish conservation. Mediterranean ecosystems are particularly affected, and the Iberian Peninsula, with its highly fragmented rivers, exemplifies this challenge. Endemic allopatric congeneric barbels (Luciobarbus bocagei and L. sclateri) are particularly vulnerable cyprinids because they rely on river connectivity for migration. Despite the deployment of fishways, their effectiveness in Mediterranean rivers with variable hydrology and high endemism remains unclear. This study compares the passage of L. bocagei (Duero basin) and L. sclateri (Segura basin) across two fishway types: Vertical Slot and Submerged Notch with Bottom Orifice. Passage trials were analysed using standardised metrics, motivation, ascent success, and transit time, under a time-to-event framework. Results suggest that species, size, ecohydrological context, and fishway interact to shape passage outcomes. L. sclateri exhibited higher motivation and faster passage attempts, likely reflecting adaptation to ephemeral flows. Ascent success was similar between species and fishway type. Larger individuals demonstrated greater motivation and shorter transit times, regardless of species or fishway. These findings highlight the importance of integrating ecohydrological context and behavioural variability into fishway assessment. Adaptive management accounting for species- and site-specific traits is essential to enhance connectivity and support endemic populations under growing anthropogenic and climatic pressures. Full article
Show Figures

Figure 1

26 pages, 4975 KB  
Article
Evaluation of Cultivated Land Fragmentation and Analysis of Driving Factors in the Major Grain-Producing Areas of the Middle and Lower Yangtze River Basin
by Jiangtao Gou and Cuicui Jiao
Land 2026, 15(4), 671; https://doi.org/10.3390/land15040671 - 19 Apr 2026
Viewed by 234
Abstract
Cultivated land fragmentation has become a critical constraint on regional agricultural sustainable development. Revealing its spatial patterns and driving mechanisms is of great significance for optimizing the utilization and management of cultivated land resources and enhancing regional agricultural productivity. This study focuses on [...] Read more.
Cultivated land fragmentation has become a critical constraint on regional agricultural sustainable development. Revealing its spatial patterns and driving mechanisms is of great significance for optimizing the utilization and management of cultivated land resources and enhancing regional agricultural productivity. This study focuses on the main grain-producing areas in the middle and lower reaches of the Yangtze River Basin. It constructs a Cultivated Land Fragmentation Index (CLFI) using an integrated method that combines landscape index analysis with an entropy-weighted approach, based on 2023 land-use data. The optimal analytical grain size and extent were determined before employing geographic detectors to identify dominant factors influencing cultivated land fragmentation. The key findings include the following: (1) The appropriate spatial resolution for fragmentation analysis was identified as 330 m, with an optimal analysis extent of 8910 m. (2) CLFI values ranged from 0.001 to 0.973, exhibiting significant spatial heterogeneity. The central plains and northeastern regions demonstrated low fragmentation levels and better contiguous cultivated land distribution, while the western and peripheral areas showed higher fragmentation. A provincial-scale comparison revealed that Jiangxi Province had the highest fragmentation level (0.255), whereas Jiangsu Province had the lowest (0.146). The topographic gradient analysis indicated a decreasing trend from the Guizhou Plateau (0.503) to the North China Plain (0.125), with plateaus and basins showing significantly higher fragmentation than hilly and plain regions. (3) Dominant controlling factors varied among provinces: In provinces with greater topographic relief (Anhui, Hubei, Hunan, Jiangxi), natural factors like elevation, slope gradient, and NDVI primarily controlled fragmentation patterns; in contrast, socioeconomic factors such as nighttime light intensity dominated in Jiangsu Province, characterized by flat terrain and high urbanization. Multi-factor interactions generally enhanced explanatory power regarding spatial patterns, confirming that cultivated land fragmentation is a result of comprehensive multi-factor interactions. This study reveals the spatial distribution characteristics of cultivated land fragmentation at the pixel scale in the study region, providing theoretical foundations and decision-making references for the efficient utilization of cultivated land resources and rural land system reforms. Full article
Show Figures

Figure 1

28 pages, 5199 KB  
Article
Assessing Ecological Importance in Coastal Cities: A State-Interaction-Resilience Framework Across Sea–Land Gradients
by Yingjun Sun, Yanshuang Song, Fang Wang, Fengshuo Yang and Youxiao Wang
Appl. Sci. 2026, 16(8), 3891; https://doi.org/10.3390/app16083891 - 17 Apr 2026
Viewed by 146
Abstract
Coastal cities are located at the critical interface of land–sea interaction, and scientifically assessing their ecological importance is essential for identifying conservation priority areas. Existing assessments focus primarily on static function while neglecting dynamic system processes and resilience characteristics. To address this limitation, [...] Read more.
Coastal cities are located at the critical interface of land–sea interaction, and scientifically assessing their ecological importance is essential for identifying conservation priority areas. Existing assessments focus primarily on static function while neglecting dynamic system processes and resilience characteristics. To address this limitation, this study developed an innovative “State-Interaction-Resilience” (SIR) assessment framework. It integrates ecosystem services (state), ecological connectivity and network supply-demand relationships (interaction), and social-ecological system adaptive capacity (resilience) and incorporates differentiated weighting based on the unique “sea–land gradient” pattern of coastal zones. Using Dongying City in the Yellow River Delta as a case study, the results show the following: (1) The SIR framework evaluation results demonstrate balanced and significant positive correlations with all dimensional indicators (r = 0.3~0.8), showing greater comprehensiveness and scientific validity than traditional evaluation methods, with 81% spatial agreement between identified extremely important areas and existing protected areas. (2) From 2000 to 2020, the overall ecological importance of Dongying City showed an upward trend, with the proportion of extremely important areas significantly increasing from 6.03% to 10.24%, while maintaining a stable spatial gradient pattern of “high along the coast, low inland”. (3) The improvement in ecological importance in coastal core areas mainly resulted from state improvement and resilience enhancement driven by restoration projects such as “aquaculture retreat and wetland restoration”, while inland areas were constrained by both habitat fragmentation and ecological supply-demand mismatch. This study confirms that the SIR framework can accurately capture the spatial heterogeneity of coastal zones. The proposed “core protection-corridor restoration-function enhancement” hierarchical and zonal spatial governance strategy provides scientific evidence and actionable spatial guidance for coastal territorial spatial planning, ecological protection redline optimization, and targeted ecological restoration. Full article
(This article belongs to the Section Ecology Science and Engineering)
Show Figures

Figure 1

18 pages, 5082 KB  
Article
Ecological Security Pattern Construction in the Yellow River Water Replenishment Area of Gannan, China
by Wenqi Gao, Shengting Wang, Shouxia Wu, Shangke Yuan, Yujia Zhang, Leping He and Tuo Han
Forests 2026, 17(4), 495; https://doi.org/10.3390/f17040495 - 16 Apr 2026
Viewed by 239
Abstract
The northeastern margin of the Qinghai–Tibet Plateau is an ecologically fragile region that faces severe habitat fragmentation, which directly threatens regional biodiversity conservation and ecological security. To address this challenge, this study constructed a hierarchical “source-corridor-node” ecological network for the Gannan Tibetan Autonomous [...] Read more.
The northeastern margin of the Qinghai–Tibet Plateau is an ecologically fragile region that faces severe habitat fragmentation, which directly threatens regional biodiversity conservation and ecological security. To address this challenge, this study constructed a hierarchical “source-corridor-node” ecological network for the Gannan Tibetan Autonomous Prefecture by integrating Morphological Spatial Pattern Analysis (MSPA), the Minimum Cumulative Resistance (MCR) model, landscape connectivity assessment, and gravity modeling. The key results are as follows: (1) The Gannan Yellow River Water Source Replenishment Area contains 11 core ecological source regions, which are predominantly located in the southeastern regions of Diebu County and Zhouqu County, covering a total area of 4237.81 km2; (2) Ecological resistance analysis identifies high-resistance zones concentrated in anthropogenically active river valleys and urban belts (e.g., Hezuo urban area, Awanzang Town, and the G213 corridor). Low-resistance zones are predominantly situated in protected ecological enclaves (e.g., Zhagana Geopark and Gahai Wetland Reserve); (3) A total of 55 ecological corridors were identified, with a total length of 4355.77 km. Among these, 26 were classified as key ecological corridors, primarily distributed in Diebu and Zhouqu counties in the eastern part of Gannan Prefecture. These areas feature relatively concentrated ecological sources, and the key corridors play a critical role in connecting isolated ecological patches and maintaining regional ecological connectivity. (4) Across the entire territory of Gannan Prefecture, a total of 81 first-level ecological nodes and 53 second-level ecological nodes were delineated. As the core hub of the regional ecological network in Gannan Prefecture, Diebu County encompasses 60 First-level and 41 Second-level ecological nodes, respectively. The hierarchical “source-corridor-node” ecological network constructed in this study effectively enhances the overall landscape connectivity of the area. This progressive analytical framework—integrating source identification, corridor extraction, and node diagnosis—provides a scientific basis for biodiversity conservation, territorial ecological restoration, and sustainable development in high-altitude ecologically fragile zones. Full article
(This article belongs to the Section Forest Ecology and Management)
Show Figures

Figure 1

27 pages, 2909 KB  
Article
Integrated Spatial Planning as a Framework for Climate Adaptation in Coastal and Marine Systems
by Francisco Javier Córdoba-Donado, Vicente Negro-Valdecantos, Gregorio Gómez-Pina, Juan J. Muñoz-Pérez and Luis Juan Moreno-Blasco
J. Mar. Sci. Eng. 2026, 14(8), 732; https://doi.org/10.3390/jmse14080732 - 15 Apr 2026
Viewed by 327
Abstract
Coastal socio-ecological systems are increasingly exposed to the combined pressures of climate change, land-use intensification, hydrological alterations and expanding infrastructure networks. These pressures interact across the land–catchment–lagoon–sea continuum, generating complex feedbacks that challenge traditional planning instruments, which remain sectoral and fragmented. The Mar [...] Read more.
Coastal socio-ecological systems are increasingly exposed to the combined pressures of climate change, land-use intensification, hydrological alterations and expanding infrastructure networks. These pressures interact across the land–catchment–lagoon–sea continuum, generating complex feedbacks that challenge traditional planning instruments, which remain sectoral and fragmented. The Mar Menor (SE Spain), a semi-enclosed Mediterranean lagoon affected by intensive agriculture, urbanisation, hydrological modifications and recurrent extreme climatic events, exemplifies this systemic vulnerability. Existing planning frameworks—local urban plans, regional territorial plans, river basin management plans, maritime spatial plans and lagoon-specific strategies—operate independently, each addressing only a fragment of the system and none integrating climate change as a structuring axis. This article introduces Integrated Spatial Planning (ISP) as a novel territorial–climatic framework designed to overcome these limitations. ISP integrates climate forcing, land uses, catchment processes, lagoon dynamics, marine conditions, critical infrastructures, intermodal and energy corridors and multilevel governance into a single analytical structure. A central component of the methodology is a four-zone multilevel zoning system that connects municipal, regional, basin, marine and EEZ planning domains within a unified territorial–climatic logic. The ISP matrix is applied to the Mar Menor to produce the first holistic diagnosis of the system. Results reveal strong land–sea–catchment interactions, high climatic exposure, vulnerable infrastructures and structural governance fragmentation. The matrix exposes systemic incompatibilities and vulnerabilities that remain invisible in sectoral planning instruments. The discussion demonstrates how ISP clarifies the roles and responsibilities of each governance level, supports multilevel coherence and integrates critical infrastructures and intermodal corridors into climate-resilient planning. ISP reframes climate change as the organising principle of territorial planning and provides a replicable, scalable methodology for coastal socio-ecological systems facing accelerating climate pressures. The Mar Menor case illustrates the urgent need for integrated territorial–climatic governance and positions ISP as a scientifically robust and operationally viable pathway for long-term adaptation and resilience. Full article
(This article belongs to the Special Issue Marine Climate Models and Environmental Dynamics)
Show Figures

Graphical abstract

17 pages, 6791 KB  
Article
Characterization of Economic Activities in the Tecolutla River Basin, Mexico: A Focus on the Risk of Microplastics in the Production Chain
by Bertha Moreno-Rodríguez, Yodaira Borroto-Penton, Luis Alberto Peralta-Pelaez, Gustavo Martínez-Castellanos, Carolina Peña-Montes and Humberto Raymundo González-Moreno
Microplastics 2026, 5(2), 69; https://doi.org/10.3390/microplastics5020069 - 8 Apr 2026
Viewed by 305
Abstract
The study of river basins is key to understanding the dynamics of microplastic (MPs) generation, transport, and accumulation in regions where various productive activities converge and waste management is limited. The objective of this study was to characterize economic activities in the Tecolutla [...] Read more.
The study of river basins is key to understanding the dynamics of microplastic (MPs) generation, transport, and accumulation in regions where various productive activities converge and waste management is limited. The objective of this study was to characterize economic activities in the Tecolutla River basin, Mexico, to identify risk factors associated with MPs generation and release throughout the production chain. A descriptive applied research study was conducted using a structured questionnaire administered to 19 economic units distributed across seven municipalities in the Tecolutla River basin, Veracruz, Mexico. The instrument allowed for the evaluation of the use of plastic materials in inputs, production processes, final products, and waste management practices. Among the economic units analyzed (n = 19), 94.7% reported the use of polymeric materials, with a predominance of thermoplastics such as polyethylene terephthalate (PET), polyvinyl chloride (PVC), and polypropylene (PP), which have a high potential for secondary fragmentation. Within the tertiary sector, accommodation and food preparation services account for the highest proportion of units with limited separation and recycling practices. Activities in the secondary sector, especially the textile and construction industries, showed a high potential for releasing this pollutant due to the use of synthetic fibers, composite materials, and the absence of retention systems. The results provide a basis for the design of mitigation strategies targeting priority productive sectors at the watershed scale. Full article
Show Figures

Figure 1

17 pages, 5640 KB  
Article
Spatio-Temporal Evolution Characteristics and Driving Mechanisms of River Systems in Typical Plain River Network Region
by Mengjie Niu, Qiao Yan, Lei Wang, Mengran Liang and Haoxuan Liu
Sustainability 2026, 18(7), 3556; https://doi.org/10.3390/su18073556 - 4 Apr 2026
Viewed by 431
Abstract
The plain river network region is faced with ecological and environmental challenges such as insufficient hydrological connectivity and degradation of ecosystem services under the influence of urbanization and human activities, and therefore attention needs to be paid to river network changes in this [...] Read more.
The plain river network region is faced with ecological and environmental challenges such as insufficient hydrological connectivity and degradation of ecosystem services under the influence of urbanization and human activities, and therefore attention needs to be paid to river network changes in this region and the synergistic benefits of natural–social–economic multidimensional factors. This study took the Lixiahe region, a typical plain river network region, as the research object, using Mann–Kendall, spatial autocorrelation analysis, random forest, multiple validation and Granger causality test of key drivers to analyze the spatiotemporal evolution of its river network from 2013 to 2025 and quantify driving mechanisms from natural, social and economic factors. The results showed that: (1) From 2013 to 2025, the Lixiahe Plain river network region tended to be trunk and artificial, with the number and connectivity of river networks showing an upward trend while the curvature of river network decreased significantly. (2) The Global Moran’s I index of the Lixiahe Plain river network decreased from 0.612 to 0.534, indicating a continued weakening of spatial agglomeration in the water area and exhibiting characteristics of edge fragmentation. (3) Random forest analysis showed that socioeconomic factors dominated recent river network change in the Lixiahe Plain. Economic factors mainly influenced quantity-related indicators, while social factors were more important for meander degree and connectivity in several ecologically sensitive counties. Multilevel validation demonstrated the robustness and generalization ability of the model. Granger causality analysis further indicated that GDP, road network density, freshwater aquaculture area, and agricultural output statistically preceded changes in key hydrological indicators. These findings suggest that river network management in plain river network regions should move beyond quantity-based engineering expansion and adopt a multi-indicator, spatially differentiated approach. Integrating river quantity, morphology, and connectivity into management can better support the balance between socioeconomic development and ecological protection and promote the sustainable optimization of river network. Full article
Show Figures

Figure 1

26 pages, 538 KB  
Article
Large Arable Land Promotes Abundant Grain: An Analysis of the Impact of Land Plot Size on Farmers’ Grain Production Efficiency and Its Mechanisms
by Yueting Gao, Tongshan Liu and Linyan Ma
Land 2026, 15(4), 590; https://doi.org/10.3390/land15040590 - 3 Apr 2026
Viewed by 344
Abstract
The way land is managed and utilized restricts agricultural development and food production. The fragmentation of arable land, characterized by “many plots and small areas,” is unfavorable for moderate-scale agricultural management and food production supply. Based on survey data of grain farmers in [...] Read more.
The way land is managed and utilized restricts agricultural development and food production. The fragmentation of arable land, characterized by “many plots and small areas,” is unfavorable for moderate-scale agricultural management and food production supply. Based on survey data of grain farmers in the Yellow River Basin, this study employs methods such as 2SLS, PSM, and IVQR to analyze the impact of average plot size on farmers’ grain production efficiency and its mechanisms. It also examines the differentiated effects of expanding plot size on different types of farmers, regions, and crops. The results show the following: (1) Expanding the arable land plot size (ALPS) helps improve farmers’ grain production efficiency, thereby enhancing the quality and benefits of agricultural development. (2) Expanding plot size can affect grain production efficiency through multiple pathways, including promoting machinery use and agricultural technology adoption, reducing material and labor input costs, and increasing grain yields. (3) Expanding plot size is more beneficial to farmers with higher production efficiency and smaller operation scales, as it both “supports the strong” and has a “pro-smallholders” characteristic, with more benefits for farmers in the western region and those growing wheat. Therefore, in order to promote high-quality agricultural development and ensure national food security, policies should focus on addressing land fragmentation and appropriately expanding the average plot size for farmers, especially smallholders. Full article
Show Figures

Figure 1

28 pages, 13424 KB  
Article
The Impact of Landscape Composition and Configuration on Nitrogen Compound Concentrations in Small Polish Lowland Rivers During the Non-Vegetative Season
by Michał Fedorczyk, Alina Gerlée and Maksym Łaszewski
Water 2026, 18(7), 843; https://doi.org/10.3390/w18070843 - 1 Apr 2026
Viewed by 457
Abstract
Understanding how landscape structure affects nutrient pollution is essential for contemporary effective river basin management. This study examined the influence of landscape composition and configuration on concentrations of nitrate (NO3), nitrite (NO2), and ammonium (NH4+ [...] Read more.
Understanding how landscape structure affects nutrient pollution is essential for contemporary effective river basin management. This study examined the influence of landscape composition and configuration on concentrations of nitrate (NO3), nitrite (NO2), and ammonium (NH4+) in 30 small lowland catchments of central–eastern Poland during the cold period. Water samples were collected monthly from September 2021 to April 2022, and land-use patterns were quantified using landscape metrics derived from high-resolution spatial data at the catchment scale and within riparian buffer zones. The results showed that the impact of land use on nitrogen concentrations was strongly dependent on both landscape type and spatial scale. Forests, meadows, wetlands, and water bodies generally acted as sink landscapes, reducing nitrate and nitrite levels. The effect was more pronounced in catchments where forest patches (mainly coniferous) covered a larger area, had greater total Edge Length, and were more complex in shape. It was advantageous when meadow patches were large, cohesive, and weakly fragmented. In contrast, arable land and built-up areas consistently functioned as source landscapes, contributing to higher nitrogen concentrations when characterized by a larger share, size (both), and aggregation degree of patches (arable land). Higher landscape diversity at the catchment scale was associated with lower nitrate and nitrite concentrations. Overall, land-use effects were best explained at larger spatial extents, especially the entire catchment and the 500 m buffer zone. These findings emphasize the need to integrate landscape structure and appropriate spatial scale into nutrient management strategies for lowland agricultural catchments. Full article
(This article belongs to the Special Issue Advanced Research in Non-Point Source Pollution of Watersheds)
Show Figures

Figure 1

18 pages, 10089 KB  
Article
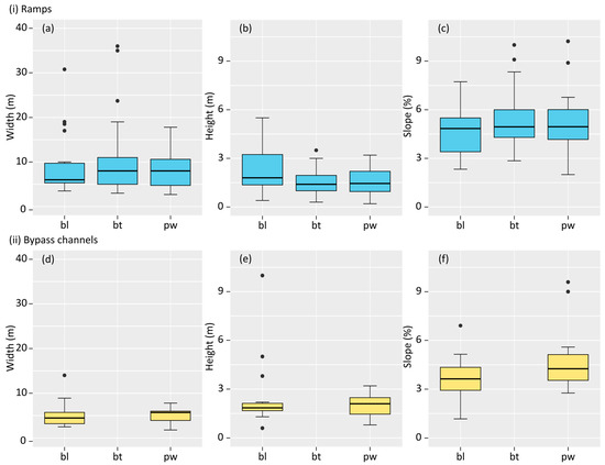
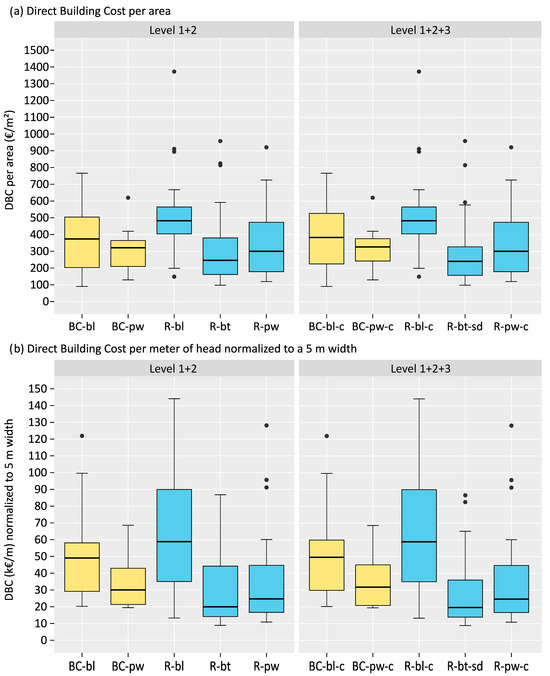
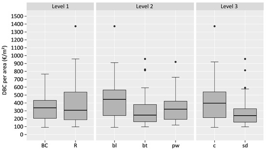
Nature-Like Fishways in Spain: A National Overview of Design, Construction Costs, and Effectiveness
by Asier Saiz-Rojo, Ana García-Vega, Francisco Javier Bravo-Córdoba and Francisco Javier Sanz-Ronda
Water 2026, 18(7), 834; https://doi.org/10.3390/w18070834 - 31 Mar 2026
Viewed by 651
Abstract
Nature-like fishways (NLFs) are a key restoration measure for fragmented rivers at low-head barriers, yet their economic and functional performance is poorly documented. This study provides a comprehensive analysis of 134 NLF projects in Spain (2003–2025), classifying them by typology, energy dissipation elements, [...] Read more.
Nature-like fishways (NLFs) are a key restoration measure for fragmented rivers at low-head barriers, yet their economic and functional performance is poorly documented. This study provides a comprehensive analysis of 134 NLF projects in Spain (2003–2025), classifying them by typology, energy dissipation elements, and construction method. We quantified construction costs using standardized indicators and assessed available hydraulic and biological efficiency data. Results show a predominance of public funding schemes and a strong geographical concentration of NLFs in the northern half of the country, with ramps (76.1%) being more frequent than bypass channels (23.9%). Construction costs varied markedly among designs, with concrete boulder ramps consistently representing the most cost-intensive NLF configurations, while also being strongly influenced by local site conditions and construction constraints. Only a small fraction of projects (13.4%) underwent post-construction efficiency assessments, but those evaluated generally showed favorable performances for multiple fish species. Our findings provide a state-of-the-art overview of NLFs in Spain, together with a practical classification framework and standardized cost indicators to support the planning and prioritization of river connectivity restoration projects. Full article
(This article belongs to the Special Issue Ecohydraulics and Fish Behavior Simulation)
Show Figures

Figure 1

20 pages, 495 KB  
Article
Algorithmic Environmental Governance in China: AI-Enabled Environmental Supervision and Institutional Sustainability Challenges
by Dianlu Zuo and Zongyu Song
Sustainability 2026, 18(7), 3267; https://doi.org/10.3390/su18073267 - 27 Mar 2026
Viewed by 491
Abstract
Artificial Intelligence (AI) is increasingly embedded in China’s environmental supervision, reshaping how environmental risks are detected and regulated. Existing research mainly focuses on technical performance or isolated policy initiatives, while paying limited attention to the institutional sustainability of regulatory systems integrating AI, understood [...] Read more.
Artificial Intelligence (AI) is increasingly embedded in China’s environmental supervision, reshaping how environmental risks are detected and regulated. Existing research mainly focuses on technical performance or isolated policy initiatives, while paying limited attention to the institutional sustainability of regulatory systems integrating AI, understood as the capacity to operate consistently, transparently, and accountably over time. This article examines how AI becomes institutionally embedded in environmental supervision. It focuses on three dimensions: the formation of regulatory evidence, the allocation of responsibility, and the exercise of administrative capacity. Drawing on qualitative analysis of legal and policy documents issued between 2017 and 2025 and two case studies (AI-enabled air-quality governance in Beijing and AI-enabled water-quality monitoring in the Yangtze River Basin), the study shows that AI deployment generates recurring governance tensions, including opacity in algorithmic evidence formation, fragmented accountability chains, and uneven administrative capacity. The article argues that sustainable AI-enabled supervision depends less on technological intensification than on institutional and governance conditions ensuring transparency, reviewability, and responsibility in routine regulatory practice, thereby contributing to debates on algorithmic regulation and providing policy-relevant insights for maintaining sustainable environmental governance in rapidly digitalizing regulatory contexts. Full article
(This article belongs to the Section Environmental Sustainability and Applications)
Show Figures

Figure 1

24 pages, 6017 KB  
Article
Cascade Dams and Seasonality Jointly Structure Gut Microbiome Biogeography in Saurogobio punctatus
by Rongchao He, Kangtian Zhou, Jiangnan Ni, Zhenxin Chen, Chenyu Yao, Mei Fu, Hongjian Lü and Weizhi Yao
Microorganisms 2026, 14(4), 745; https://doi.org/10.3390/microorganisms14040745 - 26 Mar 2026
Viewed by 398
Abstract
Cascade dams fragment river habitats, but how seasonal hydrology modulates the biogeography and assembly of fish gut microbiota remains unclear. We surveyed gut bacterial communities of the omnivorous fish Saurogobio punctatus across 10 reaches separated by cascade dams in the Qijiang River during [...] Read more.
Cascade dams fragment river habitats, but how seasonal hydrology modulates the biogeography and assembly of fish gut microbiota remains unclear. We surveyed gut bacterial communities of the omnivorous fish Saurogobio punctatus across 10 reaches separated by cascade dams in the Qijiang River during the wet (summer) and dry (winter) seasons using 16S rRNA gene amplicon sequencing. Sampling was synchronized among reaches to minimize temporal variability. Winter exhibited stronger differentiation among reaches and a steeper distance–decay pattern, and reach-scale environmental heterogeneity (especially dissolved inorganic nitrogen) was more stable under weak hydrodynamics. Null model analyses showed that stochastic processes dominated in summer, with dispersal-related processes and drift being prominent under high connectivity, whereas deterministic assembly increased in winter and was mainly associated with homogeneous selection. Compositionality-aware differential abundance analysis (ANCOM-BC2) identified 409 genera with a significant seasonal differential abundance after adjusting for reach (FDR q < 0.05). Random forest classification, used as a complementary prediction-oriented feature-ranking analysis, indicated higher reach discriminability in winter, with Nitrospirota ranking among the top features. PLS-PM indicated that α-diversity had the strongest direct association with β-diversity in the specified model, whereas spatial and environmental effects were linked to β-diversity mainly through indirect, α-diversity-mediated pathways. Biologically, α-diversity may reflect an integrative summary of the within-gut taxon pool shaped by host filtering and environmentally derived inputs (e.g., diet- and habitat-associated sources), which can influence the magnitude of between-reach compositional turnover. Together, these results show that seasonal hydrological regimes tune spatial turnover and assembly of fish gut microbiota in cascade-regulated rivers. Full article
(This article belongs to the Section Environmental Microbiology)
Show Figures

Figure 1

29 pages, 17929 KB  
Article
From Molecular Perturbations to Functional Decline: Multi-Omics Reveals Sperm Cryodamage in Sichuan Bream (Sinibrama taeniatus)
by Zhe Zhao, Qilin Feng, Tianzhi Jin, Qiang Zhao, Shilin Li, Dengyue Yuan, Zhijian Wang and Fang Li
Animals 2026, 16(7), 1014; https://doi.org/10.3390/ani16071014 - 26 Mar 2026
Viewed by 449
Abstract
Sperm cryopreservation is pivotal for conserving fish germplasm, yet cryodamage-induced quality decline limits its application. This study focused on Sichuan bream (Sinibrama taeniatus), an endemic and economically important fish species in the upper Yangtze River. Based on an established cryopreservation protocol, [...] Read more.
Sperm cryopreservation is pivotal for conserving fish germplasm, yet cryodamage-induced quality decline limits its application. This study focused on Sichuan bream (Sinibrama taeniatus), an endemic and economically important fish species in the upper Yangtze River. Based on an established cryopreservation protocol, we evaluated sperm quality using computer-assisted sperm analysis (CASA) and fertility assays, followed by a systematic assessment of structural and functional damage via flow cytometry (membrane integrity, mitochondrial potential, reactive oxygen species, and DNA fragmentation), enzymatic assays (energy metabolism and antioxidant enzymes), Western blotting, and ultrastructural observation. Finally, integrated proteomic and metabolomic analyses were employed to elucidate the underlying physiological mechanisms. The results demonstrated that freeze–thawing significantly impaired sperm motility, fertility, and ultrastructure, concurrently disrupting energy metabolism and the antioxidant system. Crucially, multi-omics revealed that these functional declines were linked to dysregulation in key pathways involving cytoskeleton organization, lipid metabolism, energy homeostasis, and oxidative stress, forming a coherent network from initial molecular perturbation to phenotypic dysfunction. This study provides a comprehensive characterization of sperm cryodamage in Sichuan bream, advancing the understanding of fish sperm cryobiology and informing targeted cryoprotection strategy development. Full article
(This article belongs to the Special Issue New Insights into Male Fertility and Sperm Preservation in Animals)
Show Figures

Figure 1

35 pages, 10703 KB  
Article
A Tale of Two Irrigated Agricultures in the Middle Rio Grande Basin
by Oluwatosin A. Olofinsao, Jingjing Wang and Robert P. Berrens
Sustainability 2026, 18(7), 3191; https://doi.org/10.3390/su18073191 - 24 Mar 2026
Viewed by 391
Abstract
Agriculture in dryland regions faces increasing pressure from climate variability, water scarcity, and competing urban and environmental demands. A recent basin-wide technical analysis for the Rio Grande/Rio Bravo in the United States of America (USA) and Mexico shows that consumptive water use in [...] Read more.
Agriculture in dryland regions faces increasing pressure from climate variability, water scarcity, and competing urban and environmental demands. A recent basin-wide technical analysis for the Rio Grande/Rio Bravo in the United States of America (USA) and Mexico shows that consumptive water use in the river system overall is on an unsustainable path. The Middle Rio Grande Basin (MRGB) of central New Mexico (USA) exemplifies these sustainability challenges, where irrigated agriculture persists despite low precipitation, high evaporative demand, and prolonged drought. This study provides analytical spatial description of irrigated agriculture in the MRGB, examining farm size distribution, crop composition, groundwater access, and consumptive water use measured by evapotranspiration (ET) and effective ET. Using 2021 remotely sensed crops and ET data, groundwater well records, and GIS-based aggregation to the irrigator farm level, the analysis reveals a highly fragmented agricultural landscape dominated numerically by micro-scale and small farms, which together account for 55.9% of total agricultural ET. Alfalfa and other hay crops occupy nearly three-quarters of irrigated acreage and consume 74% of total ET, reflecting the prevalence of forage production. Groundwater access is highly uneven, with most wells concentrated among large farms, creating resilient disparities. The findings highlight that consumptive agricultural water use in the MRGB is diffuse rather than concentrated: non-commercial farms (<12 hectares) account for 55.9% of basin-wide ET, while commercial farms contribute only 14.4% despite occupying about one-fifth of irrigated land. This complicates water conservation efforts. Resilient management strategies must therefore engage thousands of small, largely non-commercial irrigators through mechanisms that recognize both hydrological and spatial realities. The study provides an empirical basis for designing sustainable irrigation and water-management strategies in dryland agricultural systems facing increasing climatic and institutional pressures. Full article
(This article belongs to the Section Sustainable Agriculture)
Show Figures

Figure 1

Back to TopTop