Sign in to use this feature.

Years

Between: -

Subjects

remove_circle_outline
remove_circle_outline
remove_circle_outline
remove_circle_outline
remove_circle_outline

Journals

Article Types

Countries / Regions

Search Results (69)

Search Parameters:
Keywords = ribosome translocation

Order results
Result details
Results per page
Select all
Export citation of selected articles as:
16 pages, 1680 KB  
Article
Effect of the Bacterial Chaperones SecB and Trigger Factor (TF) on the Folding Dynamics and In Vitro Translocation of Cytoplasmic and Secretory Model Proteins
by Ying Xu, Haitham Sedky, Dries Smets, Jochem Smit, Spyridoula Karamanou, Anastassios Economou and Kurt Vermeire
Int. J. Mol. Sci. 2025, 26(23), 11485; https://doi.org/10.3390/ijms262311485 - 27 Nov 2025
Viewed by 314
Abstract
Nascent polypeptides selected for export are synthesized in the cytoplasm by ribosomes and inserted into or translocated across membranes to reach their correct location. Exported proteins delay their folding and remain soluble during their cytoplasmic transit to the membrane. In bacteria, most secretory [...] Read more.
Nascent polypeptides selected for export are synthesized in the cytoplasm by ribosomes and inserted into or translocated across membranes to reach their correct location. Exported proteins delay their folding and remain soluble during their cytoplasmic transit to the membrane. In bacteria, most secretory proteins require additional support from cytosolic chaperones such as trigger factor (TF) and SecB to promote their translocation competence. Here, we investigate the effect of TF and SecB on the folding dynamics and in vitro translocation of secretory and cytoplasmic model proteins PpiA and PpiB, respectively. Global hydrogen—deuterium exchange mass spectrometry (HDX-MS) experiments reveal that SecB delays the folding of slow-folding PpiA proteins but has no effect on fast folders like PpiB. In vitro protein translocation results show that TF inhibits the Sec-dependent translocation of mature PpiA/B and derivative proteins, as well as some secretory preproteins carrying a signal peptide (SP), whereas SecB has no clear effect under the same conditions. However, SecB proves to be dominant over TF in protein translocation in vitro. Finally, for the secretory preprotein proPpiA, SecB prevents SP-induced aggregation. Our findings indicate that the combined properties of signal peptides and mature domains dictate chaperone specificity and translocation efficiency, with both TF and SecB acting in a substrate-specific manner. Full article
(This article belongs to the Special Issue Molecular Research on Bacteria: 2nd Edition)
Show Figures

Figure 1

15 pages, 10048 KB  
Article
Heat Shock Factor HSFA6b Mediates Mitochondrial Unfolded Protein Response in Arabidopsis thaliana
by Guolong Yu, Zhuoran Huang, Chaocheng Guo, Jiahao Li, Xinyuan Wang, Yudong Wang and Xu Wang
Plants 2024, 13(22), 3116; https://doi.org/10.3390/plants13223116 - 5 Nov 2024
Cited by 2 | Viewed by 2393
Abstract
Mitochondria are important organelles in eukaryotes and are involved in various metabolic processes. Mitochondrial proteotoxic stress triggers the mitochondrial unfolded protein response (UPRmt) to restore mitochondrial protein homeostasis and maintain normal life activities. However, the regulatory mechanism of plant UPRmt [...] Read more.
Mitochondria are important organelles in eukaryotes and are involved in various metabolic processes. Mitochondrial proteotoxic stress triggers the mitochondrial unfolded protein response (UPRmt) to restore mitochondrial protein homeostasis and maintain normal life activities. However, the regulatory mechanism of plant UPRmt remains to be revealed in Arabidopsis. Based on the fact that UPRmt activates heat shock protein (HSP) genes, we identified the heat shock transcription factor HSFA6b as a key regulator mediating UPRmt through reverse genetics. HSFA6b responded to mitochondrial proteotoxic stress and regulated mitochondrial heat shock proteins’ genes’ (mtHSPs) expression. HSFA6b translocated to the nuclear after treatment with doxycycline (Dox)—a mitochondrial ribosome translation inhibitor. HSFA6b binds to the mtHSPs promoters and activates mtHSPs expression. The HSFA6b mutation blocked the UPRmt signals to promote root growth under mitochondrial proteotoxic stress and accelerated leaf senescence during development. Our study reveals a novel signal-regulating mechanism in the UPRmt pathways and provides new insights regarding the regulation of plant growth and development and stress resistance by the UPRmt pathways. Full article
(This article belongs to the Section Plant Molecular Biology)
Show Figures

Figure 1

11 pages, 1659 KB  
Article
Mitochondrial Genome Characteristics and Phylogenetic Analysis of Fulmekiola serrata (Kobus) (Thysanoptera: Thripidae)
by Jiong Yin, Zhi-Ming Luo, Yin-Hu Li, Chang-Mi Wang, Jie Li, Rong-Yue Zhang, Hong-Li Shan, Xiao-Yan Wang and You-Qing Chen
Int. J. Mol. Sci. 2024, 25(19), 10431; https://doi.org/10.3390/ijms251910431 - 27 Sep 2024
Cited by 1 | Viewed by 1411
Abstract
Sugarcane thrips, Fulmekiola serrata (Kobus) (Thysanoptera: Thripidae), is a common foliar pest that infests sugarcane and is found throughout tropical and subtropical countries. In this study, we obtained and analyzed the complete mitochondrial genome of F. serrata for the first time and explored [...] Read more.
Sugarcane thrips, Fulmekiola serrata (Kobus) (Thysanoptera: Thripidae), is a common foliar pest that infests sugarcane and is found throughout tropical and subtropical countries. In this study, we obtained and analyzed the complete mitochondrial genome of F. serrata for the first time and explored the phylogenetic relationships of the higher-order elements of Thysanoptera members at the mitochondrial level. The complete mitochondrial genome of F. serrata is 16,596 bp in length and includes 13 protein-coding genes (PCGs), 22 transfer RNA (tRNA) genes, 2 ribosomal RNA (rRNA) genes, and 1 noncoding control region. A+T accounted for 75% of the total bases in the mitochondrial genome of F. serrata, revealing an obvious AT bias. Among the 13 PCGs, except for nad5, which had a start codon of TTG, the remaining genes had ATNs typical of insects (ATA, ATT, ATC, and ATG); nad1, nad2, nad3, and atp8 had incomplete termination codons of TA or T. The remaining nine PCGs were complete with the termination codon TAA. Of the 22 tRNA secondary structures, all were typical cloverleaf secondary structures except for trnS1, which was missing the DHU arm. Compared with the hypothetical ancestral gene arrangement of arthropods, F. serrata presented extensive gene rearrangement, with 23 translocated genes, 8 inverted genes, and 5 shuffled genes. Both maximum likelihood (ML) and Bayesian inference (BI) phylogenetic trees resulted in similar topologies: ((Thripidae + (Stenurothripidae + Aeolothripidae)) + Phlaeothripidae), with Thripidae, Aeolothripidae and Phlaeothripidae being monophyletic groups, whereas F. serrata is closely related to Thrips palmi, and the two are sister groups. Full article
(This article belongs to the Section Molecular Genetics and Genomics)
Show Figures

Figure 1

14 pages, 2864 KB  
Article
Antibacterial Activity and Multi-Targeted Mechanism of Action of Suberanilic Acid Isolated from Pestalotiopsis trachycarpicola DCL44: An Endophytic Fungi from Ageratina adenophora
by Juan Wen, Samuel Kumi Okyere, Shu Wang, Jianchen Wang, Ruya Huang, Ziyao Tang, Xiaoxuan Wang, Chenyang Shao and Yanchun Hu
Molecules 2024, 29(17), 4205; https://doi.org/10.3390/molecules29174205 - 4 Sep 2024
Cited by 3 | Viewed by 2729
Abstract
Methicillin-resistant Staphylococcus aureus (MRSA) is a highly threatening foodborne pathogen capable of causing severe organ and life-threatening diseases. Over the past years, various commercial antibiotics have been used to treat MRSA infections. However, these commercial antibiotics have not yielded efficient results and also [...] Read more.
Methicillin-resistant Staphylococcus aureus (MRSA) is a highly threatening foodborne pathogen capable of causing severe organ and life-threatening diseases. Over the past years, various commercial antibiotics have been used to treat MRSA infections. However, these commercial antibiotics have not yielded efficient results and also cause other side effects; therefore, there is a need for the development of effective alternatives to replace these commercial antibiotics. Suberanilic acid, an amide alkaloid obtained from the endophytic fungus Pestalotiopsis trachycarpicola DCL44, has been identified as a significant antimicrobial agent. However, its antibiotic properties on multi-drug-resistant bacteria such as MRSA have not been fully explored. Therefore, to investigate the potential antimicrobial mechanism of suberanilic acid against MRSA, a quantitative proteomics approach using tandem mass tagging (TMT) was used. The results obtained in the study revealed that suberanilic acid targets multiple pathways in MRSA, including disruption of ribosome synthesis, inhibition of membrane translocation for nutrient uptake (ABC transporter system), and causing dysregulation of carbohydrate and amino acid energy metabolism. These results provide new insights into the mechanism of action of suberanilic acid against MRSA and offer technical support and a theoretical basis for the development of novel food antimicrobial agents derived from endophytic fungal origin. Full article
Show Figures

Figure 1

14 pages, 5622 KB  
Article
Robertsonian Translocation between Human Chromosomes 21 and 22, Inherited across Three Generations, without Any Phenotypic Effect
by Concetta Federico, Desiree Brancato, Francesca Bruno, Daiana Galvano, Mariella Caruso and Salvatore Saccone
Genes 2024, 15(6), 722; https://doi.org/10.3390/genes15060722 - 1 Jun 2024
Cited by 2 | Viewed by 5155
Abstract
Chromosomal translocations can result in phenotypic effects of varying severity, depending on the position of the breakpoints and the rearrangement of genes within the interphase nucleus of the translocated chromosome regions. Balanced translocations are often asymptomatic phenotypically and are typically detected due to [...] Read more.
Chromosomal translocations can result in phenotypic effects of varying severity, depending on the position of the breakpoints and the rearrangement of genes within the interphase nucleus of the translocated chromosome regions. Balanced translocations are often asymptomatic phenotypically and are typically detected due to a decrease in fertility resulting from issues during meiosis. Robertsonian translocations are among the most common chromosomal abnormalities, often asymptomatic, and can persist in the population as a normal polymorphism. We serendipitously discovered a Robertsonian translocation between chromosome 21 and chromosome 22, which is inherited across three generations without any phenotypic effect, notably only in females. In situ hybridization with alpha-satellite DNAs revealed the presence of both centromeric sequences in the translocated chromosome. The reciprocal translocation resulted in a partial deletion of the short arm of both chromosomes 21, and 22, with the ribosomal RNA genes remaining present in the middle part of the new metacentric chromosome. The rearrangement did not cause alterations to the long arm. The spread of an asymptomatic heterozygous chromosomal polymorphism in a population can lead to mating between heterozygous individuals, potentially resulting in offspring with a homozygous chromosomal configuration for the anomaly they carry. This new karyotype may not produce phenotypic effects in the individual who presents it. The frequency of karyotypes with chromosomal rearrangements in asymptomatic heterozygous form in human populations is likely underestimated, and molecular karyotype by array Comparative Genomic Hybridization (array-CGH) analysis does not allow for the identification of this type of chromosomal anomaly, making classical cytogenetic analysis the preferred method for obtaining clear results on a karyotype carrying a balanced rearrangement. Full article
(This article belongs to the Special Issue Chromosomal Rearrangements in the Light of Evolutionary Genomics)
Show Figures

Figure 1

10 pages, 1999 KB  
Article
GNN Codon Adjacency Tunes Protein Translation
by Joyce Sun, Pete Hwang, Eric D. Sakkas, Yancheng Zhou, Luis Perez, Ishani Dave, Jack B. Kwon, Audrey E. McMahon, Mia Wichman, Mitsu Raval, Kristen Scopino, Daniel Krizanc, Kelly M. Thayer and Michael P. Weir
Int. J. Mol. Sci. 2024, 25(11), 5914; https://doi.org/10.3390/ijms25115914 - 29 May 2024
Cited by 2 | Viewed by 2555
Abstract
The central dogma treats the ribosome as a molecular machine that reads one mRNA codon at a time as it adds each amino acid to its growing peptide chain. However, this and previous studies suggest that ribosomes actually perceive pairs of adjacent codons [...] Read more.
The central dogma treats the ribosome as a molecular machine that reads one mRNA codon at a time as it adds each amino acid to its growing peptide chain. However, this and previous studies suggest that ribosomes actually perceive pairs of adjacent codons as they take three-nucleotide steps along the mRNA. We examined GNN codons, which we find are surprisingly overrepresented in eukaryote protein-coding open reading frames (ORFs), especially immediately after NNU codons. Ribosome profiling experiments in yeast revealed that ribosomes with NNU at their aminoacyl (A) site have particularly elevated densities when NNU is immediately followed (3′) by a GNN codon, indicating slower mRNA threading of the NNU codon from the ribosome’s A to peptidyl (P) sites. Moreover, if the assessment was limited to ribosomes that have only recently arrived at the next codon, by examining 21-nucleotide ribosome footprints (21-nt RFPs), elevated densities were observed for multiple codon classes when followed by GNN. This striking translation slowdown at adjacent 5′-NNN GNN codon pairs is likely mediated, in part, by the ribosome’s CAR surface, which acts as an extension of the A-site tRNA anticodon during ribosome translocation and interacts through hydrogen bonding and pi stacking with the GNN codon. The functional consequences of 5′-NNN GNN codon adjacency are expected to influence the evolution of protein coding sequences. Full article
(This article belongs to the Special Issue New Advances in Protein Structure, Function and Design)
Show Figures

Figure 1

16 pages, 3172 KB  
Article
Comparison of Transcriptome Differences between Two Rice Cultivars Differing in Cadmium Translocation from Spike-Neck to Grain
by Shouping Zhao, Qi Zhang, Wendan Xiao, De Chen, Jing Hu, Na Gao, Miaojie Huang and Xuezhu Ye
Int. J. Mol. Sci. 2024, 25(7), 3592; https://doi.org/10.3390/ijms25073592 - 22 Mar 2024
Cited by 4 | Viewed by 2068
Abstract
At present, the mechanism of varietal differences in cadmium (Cd) accumulation in rice is not well understood. Two rice cultivars, ZZY (high translocation-high grain Cd) and SJ18 (low translocation-low grain Cd), were used to analyze transcriptome differences in the spike-neck tissue in field [...] Read more.
At present, the mechanism of varietal differences in cadmium (Cd) accumulation in rice is not well understood. Two rice cultivars, ZZY (high translocation-high grain Cd) and SJ18 (low translocation-low grain Cd), were used to analyze transcriptome differences in the spike-neck tissue in field trials. The results showed that, compared with ZZY, 22,367 differentially expressed genes (DEGs) were identified in SJ18, including 2941 upregulated and 19,426 downregulated genes. GO analysis enriched 59 downregulated terms, concerning 24 terms enriched for more than 1000 DEGs, including cellular and metabolic processes, biological regulation, localization, catalytic activity, transporter activity, signaling, etc. KEGG enrichment identified 21 significant downregulated pathways, regarding the ribosome, metabolic pathways, biosynthesis of secondary metabolism, signaling transduction, cell membrane and cytoskeleton synthesis, genetic information transfer, amino acid synthesis, etc. Weighted gene co-expression network analysis (WGCNA) revealed that these DEGs could be clustered into five modules. Among them, the yellow module was significantly related to SJ18 with hub genes related to OsHMA and OsActin, whereas the brown module was significantly related to ZZY with hub genes related to mitogen-activated protein kinase (MAPK), CBS, and glutaredoxin. This suggests that different mechanisms are involved in the process of spike-neck–grain Cd translocation among varieties. This study provides new insights into the mechanisms underlying differences in Cd transport among rice varieties. Full article
(This article belongs to the Special Issue Plant Responses to Heavy Metals: From Deficiency to Excess)
Show Figures

Graphical abstract

23 pages, 1358 KB  
Review
Protein–Protein Interactions of Seryl-tRNA Synthetases with Emphasis on Human Counterparts and Their Connection to Health and Disease
by Morana Dulic, Vlatka Godinic-Mikulcic, Mario Kekez, Valentina Evic and Jasmina Rokov-Plavec
Life 2024, 14(1), 124; https://doi.org/10.3390/life14010124 - 15 Jan 2024
Cited by 4 | Viewed by 4939
Abstract
Seryl-tRNA synthetases (SerRSs), members of the aminoacyl-tRNA synthetase family, interact with diverse proteins, enabling SerRSs to enhance their role in the translation of the genetic message or to perform alternative functions in cellular processes beyond translation. Atypical archaeal SerRS interacts with arginyl-tRNA synthetase [...] Read more.
Seryl-tRNA synthetases (SerRSs), members of the aminoacyl-tRNA synthetase family, interact with diverse proteins, enabling SerRSs to enhance their role in the translation of the genetic message or to perform alternative functions in cellular processes beyond translation. Atypical archaeal SerRS interacts with arginyl-tRNA synthetase and proteins of the ribosomal P-stalk to optimize translation through tRNA channeling. The complex between yeast SerRS and peroxin Pex21p provides a connection between translation and peroxisome function. The partnership between Arabidopsis SerRS and BEN1 indicates a link between translation and brassinosteroid metabolism and may be relevant in plant stress response mechanisms. In Drosophila, the unusual heterodimeric mitochondrial SerRS coordinates mitochondrial translation and replication via interaction with LON protease. Evolutionarily conserved interactions of yeast and human SerRSs with m3C32 tRNA methyltransferases indicate coordination between tRNA modification and aminoacylation in the cytosol and mitochondria. Human cytosolic SerRS is a cellular hub protein connecting translation to vascular development, angiogenesis, lipogenesis, and telomere maintenance. When translocated to the nucleus, SerRS acts as a master negative regulator of VEGFA gene expression. SerRS alone or in complex with YY1 and SIRT2 competes with activating transcription factors NFκB1 and c-Myc, resulting in balanced VEGFA expression important for proper vascular development and angiogenesis. In hypoxia, SerRS phosphorylation diminishes its binding to the VEGFA promoter, while the lack of nutrients triggers SerRS glycosylation, reducing its nuclear localization. Additionally, SerRS binds telomeric DNA and cooperates with the shelterin protein POT1 to regulate telomere length and cellular senescence. As an antitumor and antiangiogenic factor, human cytosolic SerRS appears to be a promising drug target and therapeutic agent for treating cancer, cardiovascular diseases, and possibly obesity and aging. Full article
(This article belongs to the Special Issue Protein–Protein Interactions in Health and Disease)
Show Figures

Graphical abstract

24 pages, 4709 KB  
Article
Impact of Ecological Restoration on the Physicochemical Properties and Bacterial Communities in Alpine Mining Area Soils
by Lingjian Kong, Lin Zhang, Yingnan Wang and Zhanbin Huang
Microorganisms 2024, 12(1), 41; https://doi.org/10.3390/microorganisms12010041 - 25 Dec 2023
Cited by 16 | Viewed by 2751
Abstract
Ecological restoration has notably impacted microbe and soil characteristics in abandoned open pit mines, especially in alpine regions. Yet, the adaptive responses of microbial communities in the initial years of mine site restoration remain largely unexplored. This study endeavors to offer a thorough [...] Read more.
Ecological restoration has notably impacted microbe and soil characteristics in abandoned open pit mines, especially in alpine regions. Yet, the adaptive responses of microbial communities in the initial years of mine site restoration remain largely unexplored. This study endeavors to offer a thorough comprehension of soil properties and microbial dynamics during the initial phases of alpine mining land reclamation. It places emphasis on physicochemical properties and microbial community composition and evaluates the feasibility of phytoremediation, along with proposing subsequent measures. Our study employs spatial sequence instead of time-sequenceal sequence to investigate early-stage changes in soil microbes and physicochemical properties in alpine mining land reclamation. We used high-throughput sequencing for the 16S rRNA amplicon study. Over time, soil physicochemical properties improved noticeably. Soil pH shifted from neutral to alkaline (7.04–8.0), while soil electrical conductivity (EC) decreased to 77 μS·cm−1 in R_6a. Cation exchange capacity (CEC) initially decreased from R_2a (12.30–27.98 cmol·kg−1) and then increased. Soil organic matter increased from 17.7 to 43.2 g·kg−1 over time during mine reclamation and restoration. The dominant bacterial community consisted of Proteobacteria (33.94% to 52.09%), Acidobacteriota (4.94% to 15.88%), Bacteroidota (6.52% to 11.15%), Actinobacteriota (7.18% to 9.61%), and Firmicutes (4.52% to 16.80%) with varying relative abundances. Gene annotation of sequences from various reclamation years revealed general function prediction, translation, ribosome structure, cell wall/membrane/envelope biogenesis, nucleotide translocation, and metabolism, along with other related functions. Mine reclamation improved soil fertility and properties, with the R_6a treatment being the most effective. Starting in the 2nd year of reclamation, the effective phosphorus content and the dominance of microbial bacteria, notably the Bacillus content, decreased. Firmicute fertilization promoted phosphorus and bacterial growth. In conclusion, employing a blend of sequencing and experimental approaches, our study unveils early-stage enhancements in soil microbial and physicochemical properties during the reclamation of alpine mining areas. The results underscore the beneficial impacts of vegetation restoration on key properties, including soil fertility, pore structure, and bacterial community composition. Special attention is given to assessing the effectiveness of the R_6a treatment and identifying deficiencies in the R_2a treatment. It serves as a reference for addressing the challenges associated with soil fertility and microbial community structure restoration in high-altitude mining areas in Qinghai–Tibet. This holds great significance for soil and water conservation as well as vegetation restoration in alpine mining regions. Furthermore, it supports the sustainable restoration of local ecosystems. Full article
(This article belongs to the Special Issue Soil Microbial Communities under Environmental Change)
Show Figures

Figure 1

12 pages, 2433 KB  
Article
Force-Induced Visualization of Nucleic Acid Functions with Single-Nucleotide Resolution
by Qiongzheng Hu, Haina Jia, Yuhong Wang and Shoujun Xu
Sensors 2023, 23(18), 7762; https://doi.org/10.3390/s23187762 - 8 Sep 2023
Viewed by 1531
Abstract
Nucleic acids are major targets for molecular sensing because of their wide involvement in biological functions. Determining their presence, movement, and binding specificity is thus well pursued. However, many current techniques are usually sophisticated, expensive, and often lack single-nucleotide resolution. In this paper, [...] Read more.
Nucleic acids are major targets for molecular sensing because of their wide involvement in biological functions. Determining their presence, movement, and binding specificity is thus well pursued. However, many current techniques are usually sophisticated, expensive, and often lack single-nucleotide resolution. In this paper, we report the force-induced visualization method that relies on the novel concept of mechanical force to determine the functional positions of nucleic acids with single-nucleotide resolution. The use of an adjustable mechanical force overcomes the variation of analyte concentration and differences in buffer conditions that are common in biological settings. Two examples are described to validate the method: one is probing the mRNA movement during ribosomal translocation, and the other is revealing the interacting sites and strengths of DNA-binding drugs based on the force amplitude. The flexibility of the method, simplicity of the associated device, and capability of multiplexed detection will potentially enable a broad range of biomedical applications. Full article
(This article belongs to the Section Biosensors)
Show Figures

Figure 1

18 pages, 10388 KB  
Article
Comparison of Mitochondrial Genome Sequences between Two Palaemon Species of the Family Palaemonidae (Decapoda: Caridea): Gene Rearrangement and Phylogenetic Implications
by Yuman Sun, Jian Chen, Yingying Ye, Kaida Xu and Jiji Li
Genes 2023, 14(7), 1499; https://doi.org/10.3390/genes14071499 - 22 Jul 2023
Cited by 6 | Viewed by 2362
Abstract
To further understand the origin and evolution of Palaemonidae (Decapoda: Caridea), we determined the mitochondrial genome sequence of Palaemon macrodactylus and Palaemon tenuidactylus. The entire mitochondrial genome sequences of these two Palaemon species encompassed 37 typical genes, including 13 protein-coding genes (PCGs), 2 [...] Read more.
To further understand the origin and evolution of Palaemonidae (Decapoda: Caridea), we determined the mitochondrial genome sequence of Palaemon macrodactylus and Palaemon tenuidactylus. The entire mitochondrial genome sequences of these two Palaemon species encompassed 37 typical genes, including 13 protein-coding genes (PCGs), 2 ribosomal RNA genes (rRNAs), and 22 transfer RNA genes (tRNAs), and a control region (CR). The lengths of their mitochondrial genomes were 15,744 bp (P. macrodactylus) and 15,735 bp (P. tenuidactylus), respectively. We analyzed their genomic features and structural functions. In comparison with the ancestral Decapoda, these two newly sequenced Palaemon species exhibited a translocation event, where the gene order was trnK-trnD instead of trnD-trnK. Based on phylogenetic analysis constructed from 13 PCGs, the 12 families from Caridea can be divided into four major clades. Furthermore, it was revealed that Alpheidae and Palaemonidae formed sister groups, supporting the monophyly of various families within Caridea. These findings highlight the significant gene rearrangements within Palaemonidae and provide valuable evidence for the phylogenetic relationships within Caridea. Full article
(This article belongs to the Special Issue Mitochondrial DNA Replication and Transcription)
Show Figures

Figure 1

12 pages, 2686 KB  
Article
Interplay between Inter-Subunit Rotation of the Ribosome and Binding of Translational GTPases
by Ananya Das, Nichole Adiletta and Dmitri N. Ermolenko
Int. J. Mol. Sci. 2023, 24(8), 6878; https://doi.org/10.3390/ijms24086878 - 7 Apr 2023
Cited by 1 | Viewed by 2750
Abstract
Translational G proteins, whose release from the ribosome is triggered by GTP hydrolysis, regulate protein synthesis. Concomitantly with binding and dissociation of protein factors, translation is accompanied by forward and reverse rotation between ribosomal subunits. Using single-molecule measurements, we explore the ways in [...] Read more.
Translational G proteins, whose release from the ribosome is triggered by GTP hydrolysis, regulate protein synthesis. Concomitantly with binding and dissociation of protein factors, translation is accompanied by forward and reverse rotation between ribosomal subunits. Using single-molecule measurements, we explore the ways in which the binding of translational GTPases affects inter-subunit rotation of the ribosome. We demonstrate that the highly conserved translation factor LepA, whose function remains debated, shifts the equilibrium toward the non-rotated conformation of the ribosome. By contrast, the catalyst of ribosome translocation, elongation factor G (EF-G), favors the rotated conformation of the ribosome. Nevertheless, the presence of P-site peptidyl-tRNA and antibiotics, which stabilize the non-rotated conformation of the ribosome, only moderately reduces EF-G binding. These results support the model suggesting that EF-G interacts with both the non-rotated and rotated conformations of the ribosome during mRNA translocation. Our results provide new insights into the molecular mechanisms of LepA and EF-G action and underscore the role of ribosome structural dynamics in translation. Full article
(This article belongs to the Special Issue Molecular Regulation and Mechanism of Ribonucleoprotein Complexes)
Show Figures

Figure 1

20 pages, 3353 KB  
Article
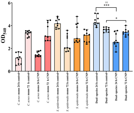
C-Type Natriuretic Peptide Acts as a Microorganism-Activated Regulator of the Skin Commensals Staphylococcus epidermidis and Cutibacterium acnes in Dual-Species Biofilms
by Maria A. Ovcharova, Mikhail I. Schelkunov, Olga V. Geras’kina, Nadezhda E. Makarova, Marina V. Sukhacheva, Sergey V. Martyanov, Ekaterina D. Nevolina, Marina V. Zhurina, Alexey V. Feofanov, Ekaterina A. Botchkova, Vladimir K. Plakunov and Andrei V. Gannesen
Biology 2023, 12(3), 436; https://doi.org/10.3390/biology12030436 - 12 Mar 2023
Cited by 7 | Viewed by 2716
Abstract
The effect of C-type natriuretic peptide in a concentration closer to the normal level in human blood plasma was studied on the mono-species and dual-species biofilms of the skin commensal bacteria Cutibacterium acnes HL043PA2 and Staphylococcus epidermidis ATCC14990. Despite the marginal effect of [...] Read more.
The effect of C-type natriuretic peptide in a concentration closer to the normal level in human blood plasma was studied on the mono-species and dual-species biofilms of the skin commensal bacteria Cutibacterium acnes HL043PA2 and Staphylococcus epidermidis ATCC14990. Despite the marginal effect of the hormone on cutibacteria in mono-species biofilms, the presence of staphylococci in the community resulted in a global shift of the CNP effect, which appeared to increase the competitive properties of C. acnes, its proliferation and the metabolic activity of the community. S. epidermidis was mostly inhibited in the presence of CNP. Both bacteria had a significant impact on the gene expression levels revealed by RNA-seq. CNP did not affect the gene expression levels in mono-species cutibacterial biofilms; however, in the presence of staphylococci, five genes were differentially expressed in the presence of the hormone, including two ribosomal proteins and metal ABC transporter permease. In staphylococci, the Na-translocating system protein MpsB NADH-quinone oxidoreductase subunit L was downregulated in the dual-species biofilms in the presence of CNP, while in mono-species biofilms, two proteins of unknown function were downregulated. Hypothetically, at least one of the CNP mechanisms of action is via the competition for zinc, at least on cutibacteria. Full article
(This article belongs to the Section Microbiology)
Show Figures

Figure 1

14 pages, 3755 KB  
Article
Nuclear S6K1 Enhances Oncogenic Wnt Signaling by Inducing Wnt/β-Catenin Transcriptional Complex Formation
by Min Gyu Lee, Hwamok Oh, Jong Woo Park, Jueng Soo You and Jeung-Whan Han
Int. J. Mol. Sci. 2022, 23(24), 16143; https://doi.org/10.3390/ijms232416143 - 18 Dec 2022
Cited by 5 | Viewed by 2836
Abstract
Ribosomal protein S6 kinase 1 (S6K1), a key downstream effector of the mammalian target of rapamycin (mTOR), regulates diverse functions, such as cell proliferation, cell growth, and protein synthesis. Because S6K1 was previously known to be localized in the cytoplasm, its function has [...] Read more.
Ribosomal protein S6 kinase 1 (S6K1), a key downstream effector of the mammalian target of rapamycin (mTOR), regulates diverse functions, such as cell proliferation, cell growth, and protein synthesis. Because S6K1 was previously known to be localized in the cytoplasm, its function has been mainly studied in the cytoplasm. However, the nuclear localization and function of S6K1 have recently been elucidated and other nuclear functions are expected to exist but remain elusive. Here, we show a novel nuclear role of S6K1 in regulating the expression of the Wnt target genes. Upon activation of the Wnt signaling, S6K1 translocated from the cytosol into the nucleus and subsequently bound to β-catenin and the cofactors of the Wnt/β-catenin transcriptional complex, leading to the upregulation of the Wnt target genes. The depletion or repression of S6K1 downregulated the Wnt target gene expression by inhibiting the formation of the Wnt/β-catenin transcriptional complex. The S6K1-depleted colon cancer cell lines showed lower transcription levels of the Wnt/β-catenin target genes and a decrease in the cell proliferation and invasion compared to the control cell lines. Taken together, these results indicate that nuclear S6K1 positively regulates the expression of the Wnt target genes by inducing the reciprocal interaction of the subunits of the transcriptional complex. Full article
(This article belongs to the Special Issue mTOR Signaling: Recent Progress)
Show Figures

Figure 1

21 pages, 2896 KB  
Article
SecA2 Associates with Translating Ribosomes and Contributes to the Secretion of Potent IFN-β Inducing RNAs
by Lisa Teubner, Renate Frantz, Luigi La Pietra, Martina Hudel, Jasmin Bazant, Günter Lochnit, Lena Eismann, Günter Kramer, Trinad Chakraborty and Mobarak Abu Mraheil
Int. J. Mol. Sci. 2022, 23(23), 15021; https://doi.org/10.3390/ijms232315021 - 30 Nov 2022
Cited by 2 | Viewed by 2727
Abstract
Protein secretion plays a central role in modulating interactions of the human pathogen Listeria monocytogenes with its environment. Recently, secretion of RNA has emerged as an important strategy used by the pathogen to manipulate the host cell response to its advantage. In general, [...] Read more.
Protein secretion plays a central role in modulating interactions of the human pathogen Listeria monocytogenes with its environment. Recently, secretion of RNA has emerged as an important strategy used by the pathogen to manipulate the host cell response to its advantage. In general, the Sec-dependent translocation pathway is a major route for protein secretion in L. monocytogenes, but mechanistic insights into the secretion of RNA by these pathways are lacking. Apart from the classical SecA1 secretion pathway, L. monocytogenes also encodes for a SecA paralogue (SecA2) which targets the export of a specific subset of proteins, some of which are involved in virulence. Here, we demonstrated that SecA2 co-sediments with translating ribosomes and provided evidence that it associates with a subset of secreted small non-coding RNAs (sRNAs) that induce high levels of IFN-β response in host cells. We found that enolase, which is translocated by a SecA2-dependent mechanism, binds to several sRNAs, suggesting a pathway by which sRNAs are targeted to the supernatant of L. monocytogenes. Full article
(This article belongs to the Special Issue Host-Microbe Interaction 2022)
Show Figures

Figure 1

Back to TopTop