Sign in to use this feature.

Years

Between: -

Subjects

remove_circle_outline
remove_circle_outline
remove_circle_outline
remove_circle_outline
remove_circle_outline
remove_circle_outline
remove_circle_outline
remove_circle_outline
remove_circle_outline

Journals

Article Types

Countries / Regions

Search Results (10)

Search Parameters:
Keywords = retractable roof

Order results
Result details
Results per page
Select all
Export citation of selected articles as:
20 pages, 6174 KB  
Article
Underground Coal Gasification Induced Multi-Physical Field Evolution and Overlying Strata Fracture Propagation: A Case Study Targeting Deep Steeply Inclined Coal Seams
by Jing Li, Shuguang Yang, Ziqiang Wang, Bin Zhang, Xin Li and Shuxun Sang
Energies 2026, 19(2), 559; https://doi.org/10.3390/en19020559 - 22 Jan 2026
Viewed by 295
Abstract
Underground coal gasification (UCG) is a controlled combustion process of in situ coal that produces combustible gases through thermal and chemical reactions. In order to investigate the UCG induced multi-physical field evolution and overlying strata fracture propagation of deep steeply inclined coal seam [...] Read more.
Underground coal gasification (UCG) is a controlled combustion process of in situ coal that produces combustible gases through thermal and chemical reactions. In order to investigate the UCG induced multi-physical field evolution and overlying strata fracture propagation of deep steeply inclined coal seam (SICS), which play a vital role in safety and sustainable UCG project, this study established a finite element model based on the actual geological conditions of SICS and the controlled retracting injection point (CRIP) technology. The results are listed as follows: (1) the temperature field influence ranges of the shallow and deep parts of SICS expanded from 15.56 m to 17.78 m and from 26.67 m to 28.89 m, respectively, when the burnout cavity length increased from 100 m to 400 m along the dip direction; (2) the floor mudstone exhibited uplift displacement as a result of thermal expansion, while the roof and overlying strata showed stepwise-increasing subsidence displacement over time, which was caused by stress concentration and fracture propagation, reaching a maximum subsidence of 3.29 m when gasification ended; (3) overlying strata rock damages occurred with induced fractures developing and propagating during UCG. These overlying strata fractures can reach a maximum height of 204.44 m that may result in groundwater influx and gasification failure; (4) considering the significant asymmetry in the evolution of multi-physical fields of SICS, it is suggested that the dip-direction length of a single UCG channel be limited to 200 m. The conclusions of this study can provide theoretical guidance and technical support for the design of UCG of SICS. Full article
(This article belongs to the Section B2: Clean Energy)
Show Figures

Figure 1

12 pages, 23169 KB  
Technical Note
A Simple and Cost-Effective Retractor for Transorbital Neurosurgery: Technical Note and Application in Lacrimal Keyhole Approaches
by Luca Ferlendis, Arianna Fava, Thibault Passeri, Rosaria Abbritti and Sebastien Froelich
J. Clin. Med. 2026, 15(2), 482; https://doi.org/10.3390/jcm15020482 - 7 Jan 2026
Viewed by 942
Abstract
Background: Transorbital approaches (TOAs) provide minimally invasive access to anterior and middle cranial fossa lesions. However, orbital retraction remains a challenge, as narrow corridors limit maneuverability and excessive retraction increase complication risk. Conventional rigid or malleable retractors may obstruct the corridor or [...] Read more.
Background: Transorbital approaches (TOAs) provide minimally invasive access to anterior and middle cranial fossa lesions. However, orbital retraction remains a challenge, as narrow corridors limit maneuverability and excessive retraction increase complication risk. Conventional rigid or malleable retractors may obstruct the corridor or exert uneven pressure on delicate tissues. We present a handmade, semi-rigid plastic retractor as a low-cost, effective solution to optimize orbital retraction in TOAs. Methods: The retractor was fashioned from a cylindrical plastic drill bit container, cut into two semicircular pieces with rounded edges. Its application is described within the transorbital eyebrow lacrimal keyhole approach (TELKA). During the bony phase, one piece is placed on the orbital roof for periorbital retraction and protection, while a second may be positioned laterally to protect the temporalis muscle when required. Once adequate working space is achieved, the lateral retractor is removed and the medial one maintained throughout the procedure. Technical details are illustrated through representative clinical cases, supported by anatomical dissection and an operative video. Results: Across thirteen TELKA procedures, the semi-rigid retractor provided stable, low-intensity retraction with even pressure distribution, minimizing corridor obstruction and facilitating both microscopic and endoscopic maneuverability. No orbital or visual complications related to retraction were observed; periorbital structures were preserved, with no postoperative proptosis or aesthetic defects. Conclusions: This handmade, semi-rigid retractor is a safe, customizable, and reproducible tool that enhances surgical freedom while minimizing orbital morbidity in TOAs. It is particularly advantageous in keyhole procedures such as TELKA, representing a promising alternative to conventional retraction systems. Full article
Show Figures

Figure 1

26 pages, 6966 KB  
Article
Surface Subsidence Response to Safety Pillar Width Between Reactor Cavities in the Underground Gasification of Thin Coal Seams
by Ivan Sakhno, Svitlana Sakhno and Oleksandr Vovna
Sustainability 2025, 17(6), 2533; https://doi.org/10.3390/su17062533 - 13 Mar 2025
Cited by 7 | Viewed by 1754
Abstract
Underground coal gasification (UCG) is a clean and automated coal technological process that has great potential. Environmental hazards such as the risk of ground surface subsidence, flooding, and water pollution are among the problems that restrict the application of UCG. Overburden rock stability [...] Read more.
Underground coal gasification (UCG) is a clean and automated coal technological process that has great potential. Environmental hazards such as the risk of ground surface subsidence, flooding, and water pollution are among the problems that restrict the application of UCG. Overburden rock stability above UCG cavities plays a key role in the prevention of the mentioned environmental hazards. It is necessary to optimize the safety pillar width to maintain rock stability and ensure minimal coal losses. This study focused on the investigation of the influence of pillar parameters on surface subsidence, taking into account the non-rectangular shape of the pillar and the presence of voids above the UCG reactor in the immediate roof. The main research was carried out using the finite element method in ANSYS 17.2 software. The results of the first simulation stage demonstrated that during underground gasification of a thin coal seam using the Controlled Retraction Injection Points method, with reactor cavities measuring 30 m in length and pillars ranging from 3.75 to 15 m in width, the surface subsidence and rock movement above gasification cavities remain within the pre-peak limits, provided the safety pillar’s bearing capacity is maintained. The probability of crack initiation in the rock mass and subsequent environmental hazards is low. However, in the case of the safety pillars’ destruction, there is a high risk of crack evolution in the overburden rock. In the case of crack formation above the gasification panel, the destruction of aquiferous sandstones and water breakthroughs into the gasification cavities become possible. The surface infrastructure is therefore at risk of destruction. The assessment of the pillars’ stability was carried out at the second stage using numerical simulation. The study of the stress–strain state and temperature distribution in the surrounding rocks near a UCG reactor shows that the size of the heat-affected zone of the UCG reactor is less than the thickness of the coal seam. This shows that there is no significant direct influence of the gasification process on the stability of the surrounding rocks around previously excavated cavities. The coal seam failure in the side walls of the UCG reactor, which occurs during gasification, leads to a reduction in the useful width of the safety pillar. The algorithm applied in this study enables the optimization of pillar width under any mining and geological conditions. This makes it possible to increase the safety and reliability of the UCG process. For the conditions of this research, the failure of coal at the stage of gasification led to a decrease in the useful width of the safety pillar by 0.5 m. The optimal width of the pillar was 15 m. Full article
Show Figures

Figure 1

27 pages, 24939 KB  
Article
Extending the Capsicum Growing Season under Semi-Arid Climate by Using a Suitable Protected Cropping Structure
by Giao N. Nguyen and Neil Lantzke
Int. J. Plant Biol. 2023, 14(4), 922-948; https://doi.org/10.3390/ijpb14040068 - 19 Oct 2023
Viewed by 2526
Abstract
Carnarvon is a key horticultural district in Western Australia which is located approximately 900 km north of Perth and is characterised by a semi-arid climate. In Carnarvon, capsicum (Capsicum annuum L.) is the second most important vegetable crop after tomato, with approximately [...] Read more.
Carnarvon is a key horticultural district in Western Australia which is located approximately 900 km north of Perth and is characterised by a semi-arid climate. In Carnarvon, capsicum (Capsicum annuum L.) is the second most important vegetable crop after tomato, with approximately 3700 tonnes of capsicum fruit produced annually with a farm gate value of AUD 13.5 million. High temperatures, excessive sunlight, low air humidity, and strong wind in spring and summer are major impediments to the achievement of high yield and quality of capsicum in this region. Capsicums are usually planted between March (early autumn) and May (late autumn), and the harvest is usually finished by October (spring) of the same year when grown under shade net houses. However, the internal microenvironment in the shade net houses is sub-optimal for the crop in the early and late growing season due to excessive temperatures and low humidity, resulting in a shorter harvest window and lower production. This study was conducted to examine the possibilities to extend the cropping season for capsicum varieties (i.e., Chevello and Chevi) grown under the retractable roof production system (RRPS) and explore an alternative protected cropping structure that is more affordable and suitable to grow vegetable crops under Carnarvon weather conditions. Overall, the results showed that capsicums planted in February (planting 1) performed better than specimens planted later on in the season: planting 1 performed better and yielded the highest marketable fruit yield (102.6 t ha−1) compared to those planted in early April (planting 2, 72.5 t ha−1) and late May (planting 3, 36.1 t ha−1). The RRPS effectively mitigated the adverse weather conditions and provided a more optimised internal microenvironment for vigorous crop establishment in late summer and an extended harvest in late spring, leading to a higher marketable fruit yield per crop. The total soluble solids were cultivar-specific, with the Brix level of Chevello changing with planting time while those of Chevi remained constant. The study identifies the potential for an alternative protected cropping structure, i.e., the modified multi-span polytunnels. The technical feasibility and affordability of the alternative protected cropping structure is also discussed. Full article
(This article belongs to the Section Plant Response to Stresses)
Show Figures

Figure 1

10 pages, 635 KB  
Article
Esophageal Protection and Temperature Monitoring Using the Circa S-Cath™ Temperature Probe during Epicardial Radiofrequency Ablation of the Pulmonary Veins and Posterior Left Atrium
by Rani Kronenberger, Orlando Parise, Ines Van Loo, Sandro Gelsomino, Ashley Welch, Carlo De Asmundis and Mark La Meir
J. Clin. Med. 2022, 11(23), 6939; https://doi.org/10.3390/jcm11236939 - 25 Nov 2022
Cited by 2 | Viewed by 2827
Abstract
Although epicardial bipolar radiofrequency ablation should diminish the risk of esophageal thermal injury in comparison to an endocardial ablation, cases of lethal atrio-esophageal fistula have been reported. To better understand this risk and to reduce the possibility of a thermal injury, we monitored [...] Read more.
Although epicardial bipolar radiofrequency ablation should diminish the risk of esophageal thermal injury in comparison to an endocardial ablation, cases of lethal atrio-esophageal fistula have been reported. To better understand this risk and to reduce the possibility of a thermal injury, we monitored the esophageal temperature with the Circa S-Cath™ temperature probe during and immediately after the ablation while implementing three procedural safety measures. Twenty patients (15 males; 63 ± 10 years) were prospectively enrolled (November 2019–February 2021). All patients underwent an epicardial ablation procedure, including an antral left and right pulmonary vein isolation with bidirectional bipolar clamping, and a roof and inferior line using unidirectional bipolar radiofrequency. Three procedural preventive mitigations were implemented: (1) transesophageal echocardiographic visualization of the atrio-esophageal interface, with probe retraction before the energy delivery; (2) lifting the ablated tissue away from the esophagus during an energy application; and (3) a 30 s cool-off and irrigation period after the energy delivery. The esophageal temperature was recorded using an insulated multisensory intraluminal esophageal temperature probe (Circa S-Cath™). Of the 20 patients enrolled, 7 patients had paroxysmal atrial fibrillation (AF), 8 persistent AF and 5 longstanding persistent AF. The average maximum luminal esophageal temperature observed was 36.2 ± 0.7 °C (34.8–38.2 °C). In our clinical experience, no abrupt increase in the luminal esophageal temperature above the baseline was observed. Since no measurements exceeded the threshold of 39 °C, no prompt interruption of energy delivery was required. Intraluminal esophageal temperature monitoring is feasible and can be helpful in confirming correct catheter position and safe energy application in bipolar epicardial left atrial ablation. Intra-procedural preventive mitigations should be implemented to reduce the risk of esophageal temperature rises. Full article
(This article belongs to the Special Issue State of the Art in Management of Atrial Fibrillation)
Show Figures

Figure 1

14 pages, 2665 KB  
Article
Mitigating the Adverse Effects of Semi-Arid Climate on Capsicum Cultivation by Using the Retractable Roof Production System
by Giao N. Nguyen and Neil Lantzke
Plants 2022, 11(20), 2794; https://doi.org/10.3390/plants11202794 - 21 Oct 2022
Cited by 10 | Viewed by 3341
Abstract
Capsicum (Capsicum annuum L.) belongs to the Solanaceae family and is an economically important vegetable crop. However, the crop is very sensitive to adverse weather conditions such as high temperatures and excessive sunlight, which cause flower and young fruit to drop and [...] Read more.
Capsicum (Capsicum annuum L.) belongs to the Solanaceae family and is an economically important vegetable crop. However, the crop is very sensitive to adverse weather conditions such as high temperatures and excessive sunlight, which cause flower and young fruit to drop and sunscald to mature fruits. Using protected cultivation such as shade covers or net houses is a feasible agronomic approach to protect the crop from high light intensity, which increases plant growth, reduces fruit damage, and increases marketable fruit yield and quality. Low-cost protected cropping options such as fixed-roof net houses have proved cost-effective and suitable for fruiting vegetable production in semi-arid climatic regions. However, this structure type is unable to protect the crops from rainfall, is prone to cyclone damage and is inflexible to accommodate various vegetable crops which have different requirements for healthy and productive growth. This study was conducted in Carnarvon, which has semi-arid climatic conditions and is a key horticultural district of Western Australia, to compare the Retractable Roof Production System (RRPS) and open field (OF) conditions in the production of capsicum. The data showed that the RRPS modified the internal light, temperature and humidity in favour of the capsicum crop. The RRPS-grown capsicum had higher plant height and lower canopy temperature on hot days than those in the OF. The mean marketable fruit yield of capsicum varieties grown in the RRPS was significantly higher than those in the OF with fruit yields of 97 t ha−1 and 39.1 t ha−1, respectively, but the fruit quality remained unchanged. Overall, the data suggest that the RRPS altered the internal microenvironment and enhanced capsicum crop growth, physiology and fruit yield by setting climatic parameters to automatically control the opening and closing of the roof, the insect net and side curtains, and activation of the fogging system. The future perspective of the deployment of RRPS for capsicum production under climatic conditions in Carnarvon was also discussed. Full article
Show Figures

Figure 1

17 pages, 9897 KB  
Article
Peak Net Pressure Coefficients of Elliptical Center-Open Dome Roofs
by Jong Ho Lee, Dong Jin Cheon, Yong Chul Kim and Sung Won Yoon
Materials 2022, 15(16), 5497; https://doi.org/10.3390/ma15165497 - 10 Aug 2022
Cited by 1 | Viewed by 2149
Abstract
Recently, the demand for spatial structures such as retractable dome roofs is increasing. The safety of dome roofs must be ensured even when they are open. Hence, studies analyzing the peak pressure coefficients of spherical dome roofs are actively being conducted. However, no [...] Read more.
Recently, the demand for spatial structures such as retractable dome roofs is increasing. The safety of dome roofs must be ensured even when they are open. Hence, studies analyzing the peak pressure coefficients of spherical dome roofs are actively being conducted. However, no peak pressure coefficients for the cladding design of elliptical retractable dome roofs have been proposed. Although several studies on elliptical open dome roofs that open from the edge to the center have been conducted, studies on those that open from the center to the edge are still insufficient. This study investigated the peak pressure coefficients of elliptical center-open dome roofs. For wind tunnel tests, a model was fabricated with an opening ratio of 30%. Under experimental conditions, five different wall height-to-span ratios (from 0.1 to 0.5) were used, with the roof rise-to-span ratio set at 0.1. Accordingly, the experimental values of the peak pressure coefficients of elliptical center-open dome roofs were compared with those of the closed dome roofs proposed in the Korean and Japanese wind load codes. Subsequently, their efficiency was verified. The findings were also compared with previous research outcomes. Based on the results, peak net pressure coefficients are proposed for cladding designs suitable for elliptical center-open dome roofs. Full article
(This article belongs to the Special Issue Load Test and Numerical Analysis on Construction Materials)
Show Figures

Figure 1

19 pages, 9532 KB  
Article
Wind Pressure Characteristics Based on the Rise–Span Ratio of Spherical Domes with Openings on the Roof
by Min Jae Park, Sung Won Yoon, Yong Chul Kim and Dong Jin Cheon
Buildings 2022, 12(5), 576; https://doi.org/10.3390/buildings12050576 - 29 Apr 2022
Cited by 13 | Viewed by 3947
Abstract
Wind loads are a primary concern in dome roof structures with openings such as retractable dome roofs. This is because the openings can cause damage to the cladding owing to high internal pressure. In this study, the wind pressure characteristics of a dome [...] Read more.
Wind loads are a primary concern in dome roof structures with openings such as retractable dome roofs. This is because the openings can cause damage to the cladding owing to high internal pressure. In this study, the wind pressure characteristics of a dome with an opening that varied based on the opening, rise–span ratio, and height span were examined by comparing the results from wind tunnel tests with those from previous studies. The negative pressure dominated the internal pressure of the roof in all regions and was not significantly affected by changes in the rise–span and height–span ratios. The reattachment distance of the windward region increased as the rise–span ratio increased, increasing the negative net pressure and decreasing the positive net pressure owing to a relatively large vortex. The roof inclination angle of the leeward region decreased as the rise–span ratio decreased, resulting in a decrease in the negative net pressure and an increase in the positive net pressure owing to a relatively small vortex. Based on the experimental results, a peak net pressure coefficient for cladding design was proposed for an open dome roof with a rise–span ratio of 0.05. Full article
(This article belongs to the Section Building Structures)
Show Figures

Figure 1

21 pages, 14038 KB  
Article
Experimental Investigation of Wind Pressure Characteristics for Cladding of Dome Roofs
by Dong-Jin Cheon, Yong-Chul Kim, Jong-Ho Lee and Sung-Won Yoon
Materials 2021, 14(18), 5266; https://doi.org/10.3390/ma14185266 - 13 Sep 2021
Cited by 12 | Viewed by 2554
Abstract
Cladding for dome roofs is often made of membrane materials that are light and easy to install. Due to these characteristics, wind damage to dome roof cladding is very common. In particular, open or retractable dome roofs are prone to wind damage because [...] Read more.
Cladding for dome roofs is often made of membrane materials that are light and easy to install. Due to these characteristics, wind damage to dome roof cladding is very common. In particular, open or retractable dome roofs are prone to wind damage because of inadequacies in wind load calculations. In this study, the wind pressure characteristics of a dome with a central opening were investigated. Wind tunnel tests were performed, and the pressure distribution was investigated by analyzing external and internal pressure coefficients. Based on the experimental results, the peak net pressure coefficients for the cladding design of a dome roof with a central opening were proposed. For the external peak pressure coefficients, the values of leeward regions were similar despite height–span ratios and turbulence intensity values. For the internal peak pressure coefficients, negative pressure was dominant, and the coefficients were not significantly affected by changes in height–span ratio. This tendency locally increased the negative peak net pressure, in which the load acts in the upward direction, and relatively significantly increased the positive peak net pressure, in which the load acts in the downward direction. Full article
(This article belongs to the Special Issue Novel High-Performance Building Materials and Structures)
Show Figures

Figure 1

15 pages, 9222 KB  
Article
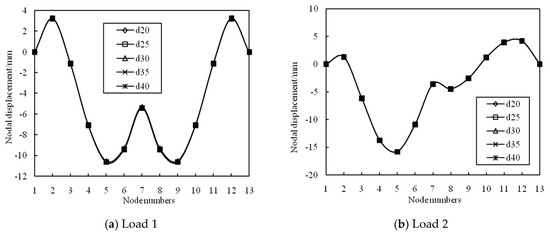
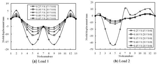
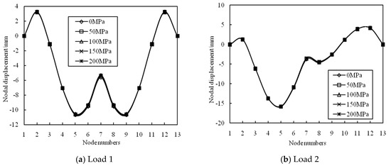
Static Behavior of a Retractable Suspen-Dome Structure
by Xuhong Shen, Qian Zhang, Daniel Sang-Hoon Lee, Jianguo Cai and Jian Feng
Symmetry 2021, 13(7), 1105; https://doi.org/10.3390/sym13071105 - 22 Jun 2021
Cited by 14 | Viewed by 3435
Abstract
A new design of a radially retractable roof structure based on the concept of the suspen-dome is proposed in this paper. The radially foldable bar structure is strengthened by the lower cable-strut system to obtain a higher structural stiffness. Then the comparison of [...] Read more.
A new design of a radially retractable roof structure based on the concept of the suspen-dome is proposed in this paper. The radially foldable bar structure is strengthened by the lower cable-strut system to obtain a higher structural stiffness. Then the comparison of the static behavior between the retractable suspen-domes and their corresponding foldable bar shell with quadrangular mesh is discussed. Moreover, the effects of different structural and geometric parameters, such as the rise-to-span ratio, the cross-section area of beams, cables and struts, and the pre-stress level of the lower cable-strut system, on the nodal displacements and member forces are investigated systematically. The results show that higher structural stiffness is anticipated with the introduction of cable-strut systems into the hybrid structure. When the rise-to-span ratio is equal to 0.2, the maximal nodal displacement of the suspen-dome reaches the minimal value. The increase of the cross-section area of steel beams contributes an enormous amount to the structural stiffness. Increasing cable and strut sections has little impact on the mechanical behavior of suspen-domes. Moreover, the prestress level of cable-strut systems has a slight influence on the nodal displacements and member forces. Parametric analysis can be regarded as an essential basis for the optimization of the design of a retractable suspen-dome structure. Full article
Show Figures

Figure 1

Back to TopTop