Sign in to use this feature.

Years

Between: -

Subjects

remove_circle_outline
remove_circle_outline
remove_circle_outline
remove_circle_outline
remove_circle_outline
remove_circle_outline
remove_circle_outline
remove_circle_outline
remove_circle_outline

Journals

Article Types

Countries / Regions

Search Results (75)

Search Parameters:
Keywords = residential areas matching

Order results
Result details
Results per page
Select all
Export citation of selected articles as:
22 pages, 3350 KB  
Article
Challenges in the Legal and Technical Integration of Photovoltaics in Multi-Family Buildings in the Polish Energy Grid
by Robert Kowalak, Daniel Kowalak, Konrad Seklecki and Leszek S. Litzbarski
Energies 2026, 19(2), 474; https://doi.org/10.3390/en19020474 - 17 Jan 2026
Viewed by 284
Abstract
This article analyzes the case of a typical modern residential area, which was built following current legal regulations in Poland. For the purposes of the calculations, a housing estate consisting of 32 houses was assumed, with a connection power of 36 kW each. [...] Read more.
This article analyzes the case of a typical modern residential area, which was built following current legal regulations in Poland. For the purposes of the calculations, a housing estate consisting of 32 houses was assumed, with a connection power of 36 kW each. The three variants evaluate power consumption and photovoltaic system operation: Variant I assumes no PV installations and fluctuating consumer power demands; Variant II involves PV installations in all estate buildings with a total capacity matching the building’s 36 kW connection power and minimal consumption; and Variant III increases installed PV capacity per building to 50 kW, aligning with apartment connection powers, also with minimal consumption. The simulations performed indicated that there may be problems with voltage levels and current overloads of network elements. Although in case I the transformer worked properly, after connecting the PV installation in an extreme case, it was overloaded by about 117% (Variant II) or even about 180% (Variant III). The described case illustrates the impact of changes in regulations on the stability of the electricity distribution network. A potential solution to this problem is to oversize the distribution network elements, introduce power restrictions for PV installations or to oblige prosumers to install energy storage facilities. Full article
(This article belongs to the Special Issue Advances in the Design and Application of Solar Energy in Buildings)
Show Figures

Figure 1

23 pages, 13024 KB  
Article
Assessing Urban Flood Risk and Identifying Critical Zones in Xiamen Island Based on Supply–Demand Matching
by Lin Cheng, Guotao Li, Gong Liu and Zhi Zheng
Sustainability 2025, 17(24), 10927; https://doi.org/10.3390/su172410927 - 6 Dec 2025
Viewed by 612
Abstract
The supply–demand relationship of flood regulation services (FRS) plays a vital role in mitigating urban flooding. Yet, existing studies still fall short in the comprehensiveness of FRS indicators, the accuracy of assessment scope, and the fine-scale analysis needed to delineate spatial supply–demand features [...] Read more.
The supply–demand relationship of flood regulation services (FRS) plays a vital role in mitigating urban flooding. Yet, existing studies still fall short in the comprehensiveness of FRS indicators, the accuracy of assessment scope, and the fine-scale analysis needed to delineate spatial supply–demand features and precisely identify critical areas. Using Xiamen Island as a case study, we first quantify ecosystem-based FRS supply with the InVEST model and assess socioeconomic FRS demand under the H-E-V framework; second, we perform parcel-level supply–demand matching to identify spatial patterns and typologies; then, we diagnose FRS status via the coupling–coordination degree model (CCDM); and finally, we delineate flood-risk hotspots through priority-intervention grading. The results indicate that (1) higher FRS supply clusters in the south, southwest, and northeast, whereas demand is markedly higher in the central–northern sector, yielding an overall pattern of “pronounced mismatch in the central and north, with relatively sufficient supply along the periphery.” (2) Low supply–high demand zones exhibit the highest flood risk and contain higher proportions of industrial, transportation, and residential land. (3) These low supply–high demand zones are further subdivided into five priority-intervention levels, for which we propose tiered, differentiated risk-management strategies. Collectively, the findings clarify supply–demand mechanisms and mismatch characteristics, providing decision support for urban flood safety and sustainable development. Full article
Show Figures

Figure 1

18 pages, 8400 KB  
Article
An Interpretable Machine Learning Framework for Urban Traffic Noise Prediction in Kuwait: A Data-Driven Approach to Environmental Management
by Jamal Almatawah, Mubarak Alrumaidhi, Hamad Matar, Abdulsalam Altemeemi and Jamal Alhubail
Sustainability 2025, 17(19), 8881; https://doi.org/10.3390/su17198881 - 6 Oct 2025
Cited by 1 | Viewed by 1116
Abstract
Urban traffic noise has become an increasingly significant environmental and public health issue, with many cities—particularly those experiencing rapid urban growth, such as Kuwait—recording levels that often exceed recommended limits. In this study, we present a detailed, data-driven approach for assessing and predicting [...] Read more.
Urban traffic noise has become an increasingly significant environmental and public health issue, with many cities—particularly those experiencing rapid urban growth, such as Kuwait—recording levels that often exceed recommended limits. In this study, we present a detailed, data-driven approach for assessing and predicting equivalent continuous noise levels (LAeq) in residential neighborhoods. The analysis draws on measurements taken at 12 carefully chosen sites covering different road types and urban settings, resulting in 21,720 matched observations. A range of predictors was considered, including road classification, traffic composition, meteorological variables, spatial context, and time of day. Four predictive models—Linear Regression, Support Vector Machine (SVM), Gaussian Process Regression, and Bagged Trees—were evaluated through 5-fold cross-validation. Among these, the Bagged Trees model achieved the strongest performance (R2 = 0.91, RMSE = 2.13 dB(A)). To better understand how the model made its predictions, we used SHAP (SHapley Additive Explanations) analysis, which showed that road classification, location, heavy vehicle volume, and time of day had the greatest influence on noise levels. The results identify the main determinants of traffic noise in Kuwait’s urban areas and emphasize the role of targeted design and planning in its mitigation. Full article
Show Figures

Figure 1

20 pages, 6246 KB  
Article
GIS-Based Automated Waterlogging Depth Calculation and Building Loss Assessment in Urban Communities
by Chun-Pin Tseng, Xiaoxian Chen, Yiyou Fan, Yaohui Liu, Min Qiao and Lin Teng
Water 2025, 17(18), 2725; https://doi.org/10.3390/w17182725 - 15 Sep 2025
Cited by 1 | Viewed by 1208
Abstract
Urban pluvial waterlogging has become a major challenge for densely populated cities due to increasingly extreme rainfall events and the rapid expansion of impervious surfaces. In response to the growing demand for localized waterlogging risk assessments, an automated evaluation framework is proposed that [...] Read more.
Urban pluvial waterlogging has become a major challenge for densely populated cities due to increasingly extreme rainfall events and the rapid expansion of impervious surfaces. In response to the growing demand for localized waterlogging risk assessments, an automated evaluation framework is proposed that integrates high-resolution digital elevation models (DEMs), rainfall scenarios, and classified building data within a GIS-based modeling system. The methodology consists of four modules: (i) design of rainfall scenarios and runoff estimation, (ii) waterlogging depth simulation based on volume-matching algorithms, (iii) construction of depth–damage curves for residential and commercial buildings, and (iv) building-level economic loss estimation though differentiated depth–damage functions for residential/commercial assets—a core innovation enabling sector-specific risk precision. A case study was conducted in the Lixia District, Jinan City, China, involving 15,317 buildings under a 50-year return period rainfall event. The total economic losses were shown to reach approximately USD 327.88 million, with residential buildings accounting for 88.6% of the total. The model achieved a mean absolute percentage error within 5% for both residential and commercial cases. The proposed framework supports high-precision, building-level urban waterlogging damage assessment and demonstrates scalability for use in other high-density urban areas. Note: all monetary values were converted from Chinese Yuan (CNY) to U.S. Dollars (USD) using an average exchange rate of 1 USD = 7.28 CNY. Full article
(This article belongs to the Section Urban Water Management)
Show Figures

Figure 1

21 pages, 1441 KB  
Article
An Analysis of Alignments of District Housing Targets in England
by David Gray
Land 2025, 14(9), 1710; https://doi.org/10.3390/land14091710 - 23 Aug 2025
Viewed by 796
Abstract
Context: It has been claimed that recently, in England, the places with the greatest amount of housing built were the places that least needed them. This is an accusation that has echoes in a number of countries around the globe. The lack of [...] Read more.
Context: It has been claimed that recently, in England, the places with the greatest amount of housing built were the places that least needed them. This is an accusation that has echoes in a number of countries around the globe. The lack of construction leads to greater unaffordability and a lower level of economic activity than could have been achieved if labour, particularly those with high human capital, was not so constrained as to where they could afford to live. The recent National Planning Policy Framework for England imposes mandatory targets on housing planning authorities. As such, the following question is raised: will the targets result in additional residential homes being located in places of greater need than the prevailing pattern? Research Questions: The paper sets out to consider the spatial mismatch between housing additions and national benefit in terms of unaffordability and productivity. Specifically, do the concentrations of high and/or low rates of the prevailing rates of additional dwellings and the target rates of adding dwellings correspond with the clusters of high and/or low unaffordability and productivity? A further question considered is: does the spatial distribution of additional dwellings match the clusters of population growth? Method: The values of the variables are transformed at the first stage into Anselin’s LISA categories. LISA maps can reveal unusually high spatial concentrations of values, or clusters. The second stage entails comparing sets of the transformed data for agreement of the classifications. An agreement coefficient is provided by Fleiss’s kappa. Data: The data used is of additional dwellings, the total number of dwellings, population estimates, gross value added per hour worked (productivity data), and house price–earnings ratios. The period of study covers the eight years prior to 2020 and the two years after, omitting 2020 itself due to the unusual impact on economic activity. All the data is at local authority district level. Findings: The hot and cold spots of additional dwellings do not correspond those of house price–earnings ratios or productivity. However, population growth hot spots show moderate agreement with those of where additional dwellings are concentrated. This is in line with findings from elsewhere, suggesting that population follows housing supply. Concentrations of districts with relatively high targets per unit of existing stocks are found correspond (agree strongly) with clusters of house price–earnings ratios. Links between productivity and housing are much weaker. Conclusions: The strong link between targets and affordability suggests that if the targets are met, the claim that the places that build the most housing are the places that least need them can be challenged. That said, house-price–earnings ratios present a view of unaffordability that will favour greater building in the countryside rather than cities outside of London, which runs against concentrating new housing in urban areas consistent with fostering clusters/agglomerations implicit in the new modern industrial strategy. Full article
(This article belongs to the Section Land Planning and Landscape Architecture)
Show Figures

Figure 1

22 pages, 9599 KB  
Article
The Impact of New Subway Construction on the Commuting Methods and Time Utilization of Residents Along the Line: A Comparison Before and After the Completion of the Subway in Kunming City
by Kun Zhao and Baohong He
ISPRS Int. J. Geo-Inf. 2025, 14(7), 258; https://doi.org/10.3390/ijgi14070258 - 1 Jul 2025
Cited by 1 | Viewed by 2075
Abstract
Subway construction changes land use patterns, disrupting the balance between traffic supply and demand and influencing residents’ activity and travel behaviors along the route. Previous studies have often overlooked the multiple attributes of the subway and their varying impacts on daily activities. To [...] Read more.
Subway construction changes land use patterns, disrupting the balance between traffic supply and demand and influencing residents’ activity and travel behaviors along the route. Previous studies have often overlooked the multiple attributes of the subway and their varying impacts on daily activities. To understand how subway construction affects travel and activity patterns, this study analyzed travel data from two years before and after the opening of the Kunming Subway. Propensity score matching was used to control for socioeconomic changes unrelated to the subway. The findings show the following: (1) The subway’s introduction leads to the development of commercial and civic amenities around its stations, attracting wealthier and more educated residents, which contributes to gentrification. (2) Overall, subway construction extends urban residential and employment areas, increasing residents’ dependence on cars and promoting a more motor-centric lifestyle. As a result, the subway’s ability to reduce car usage is limited. (3) The subway alters the impact of the built environment on travel behavior, with residents closer to the subway experiencing shorter travel distances and reduced activity spaces, while those further away maintain longer travel distances and greater activity areas. Full article
Show Figures

Figure 1

22 pages, 9404 KB  
Article
Impact of Seasonal Variation and Population Growth on Coliform Bacteria Concentrations in the Brunei River: A Temporal Analysis with Future Projection
by Oluwakemisola Onifade, Zaharaddeen Karami Lawal, Norazanita Shamsuddin, Pg Emeroylariffion Abas, Daphne Teck Ching Lai and Stefan Herwig Gӧdeke
Water 2025, 17(7), 1069; https://doi.org/10.3390/w17071069 - 3 Apr 2025
Cited by 5 | Viewed by 2557
Abstract
Coliform bacteria pollution poses a significant challenge to water quality in the Brunei River, a critical resource in Brunei Darussalam. This study investigates the impact of seasonal variations and population growth on coliform concentrations across eight monitoring stations while addressing data limitations in [...] Read more.
Coliform bacteria pollution poses a significant challenge to water quality in the Brunei River, a critical resource in Brunei Darussalam. This study investigates the impact of seasonal variations and population growth on coliform concentrations across eight monitoring stations while addressing data limitations in forecasting future trends. Seasonal variations, analyzed using box plots, revealed significantly higher coliform levels during the rainy season, driven by urban and residential runoff. Population growth, assessed using propensity score matching, showed that stations in densely populated areas experienced elevated contamination levels. Temporal trends, analyzed using the Rescaled Adjusted Partial Sums (RAPS) method, indicated a declining trend from 2013 to 2018, followed by a sharp increase post-2018, linked to urbanization, wastewater discharge, and overburdened sewage infrastructure, particularly in upstream stations. To forecast coliform levels, ARIMA, Logistic Regression, and Bidirectional Long Short-Term Memory (BiLSTM) models were employed and their predictive performance evaluated. Despite the constraints of a small dataset, the BiLSTM model outperformed others in most stations, emphasizing its ability to capture complex temporal relationships. Furthermore, a Mann–Kendall trend analysis of the BiLSTM predicted data over a five-year period and revealed significant upward trends in coliform levels. This study highlights the potential of combining advanced predictive models with robust analytical techniques and focused data collection efforts to support sustainable water quality management in data-scarce environments. Full article
Show Figures

Figure 1

22 pages, 4207 KB  
Article
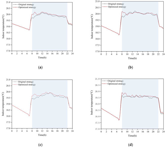
Study on Operation Control Strategy for Campus Public Building Heating Systems in Severe Cold Areas
by Chuntian Lu, Shourui Xue, Yuetong Zhang and Songqing Wang
Buildings 2025, 15(6), 858; https://doi.org/10.3390/buildings15060858 - 10 Mar 2025
Viewed by 1523
Abstract
This study addresses the optimization of heating systems for university building clusters in severe cold regions, focusing on their functional complexity, temporal usage patterns, and spatial heterogeneity. The actual university heating project in Harbin was chosen as a case study, breaking through the [...] Read more.
This study addresses the optimization of heating systems for university building clusters in severe cold regions, focusing on their functional complexity, temporal usage patterns, and spatial heterogeneity. The actual university heating project in Harbin was chosen as a case study, breaking through the limitations of previous studies focusing on residential or commercial buildings. The research systematically investigates heating load variations during operational periods. It proposes three regulation strategies: constant supply water temperature with constant temperature difference regulation, variable supply water temperature with constant temperature difference regulation, and variable supply water temperature with constant temperature difference regulation combined with time-division and zone-based heating for partial buildings. The energy-saving potential of the three schemes is analyzed in depth by comparison. The results demonstrate that, compared to the constant temperature water supply and constant temperature difference regulation scheme, the other two schemes achieved energy-saving rates of 17.1% and 34.8%, respectively. In the time dimension, these schemes match the time period of energy use in universities, and in the spatial dimension, they can realize the differentiated heat supply in the functional zoning of the building clusters. This study provides a reference for optimizing the regulation of heating systems in severe cold areas. Full article
(This article belongs to the Section Building Energy, Physics, Environment, and Systems)
Show Figures

Figure 1

17 pages, 1305 KB  
Article
Association Between Adolescent Violence Exposure and the Risk of Suicide: A 15-Year Study in Taiwan
by Chieh Sung, Chi-Hsiang Chung, Chien-An Sun, Chang-Huei Tsao, Daphne Yih Ng, Tsu-Hsuan Weng, Li-Yun Fann, Fu-Huang Lin and Wu-Chien Chien
Children 2025, 12(1), 10; https://doi.org/10.3390/children12010010 - 24 Dec 2024
Viewed by 2431
Abstract
Background/Objectives: According to the 2023 Ministry of Health and Welfare statistics, the suicide rate among adolescents aged 15 to 24 has steadily increased since 2018, from 3.7 to 5.5 per 100,000 populations, reaching a recent high. Although previous studies have pointed out that [...] Read more.
Background/Objectives: According to the 2023 Ministry of Health and Welfare statistics, the suicide rate among adolescents aged 15 to 24 has steadily increased since 2018, from 3.7 to 5.5 per 100,000 populations, reaching a recent high. Although previous studies have pointed out that the future risk of suicide of those who had suffered from abuse was higher than that of the general population, researchers seldom focused on adolescent groups. Therefore, the aim of this study was to explore the risk of suicide after youth violence and the impact of subsequent comorbid mental illness and suicide risk. Methods: This retrospective matched cohort study analyzed data from the NHIRD, covering the period from 2000 to 2015. A total of 976 cases aged 10–18 who had experienced violence were included in this study. Controlled grouping was conducted by 1:10 matching based on gender, age, and the time of medical treatment, and a control group who had not experienced violence was selected for comparison. We used the Cox proportional hazards model to analyze the risk of suicide among adolescents after exposure to violence. Results: The suicide rate among adolescents who have experienced violence was significantly higher than that of the control group after 15 years of follow-up (1.0% vs. 0.5%). The prevalence of mental illness or disorders in adolescents exposed to violence was significantly higher than in the control group (45.2% vs. 40.1%). Among adolescents who had experienced violence, the methods of suicide included poisoning (solid and liquid) (53.6% vs. 43.2%), hanging (1.2% vs. 0.6%), firearms (2.4% vs. 0%), and cutting instruments (27.4% vs. 22.8%), all of which were significantly higher than in the control group. After adjusting for gender, age, residential area, and mental health comorbidities, the risk of suicide in those who had experienced violence was 1.475 times that of the control group (95% CI = 1.125–1.933; p = 0.005). Conclusions: In this study, female, younger age, and comorbid mental disorders were identified as risk factors for suicide among the adolescent victims of violence. Exposure to youth violence was associated with an increased prevalence of emotional disorders, including depression and social isolation, which subsequently elevated the suicide risk. These findings underscore the urgent need for governmental attention to the mental health of adolescent victims of violence. Implementing targeted psychological support and intervention programs could play a crucial role in mitigating the risk of suicide among this vulnerable population. Full article
(This article belongs to the Section Global Pediatric Health)
Show Figures

Figure 1

20 pages, 19148 KB  
Article
Urban Built Environment as a Predictor for Coronary Heart Disease—A Cross-Sectional Study Based on Machine Learning
by Dan Jiang, Fei Guo, Ziteng Zhang, Xiaoqing Yu, Jing Dong, Hongchi Zhang and Zhen Zhang
Buildings 2024, 14(12), 4024; https://doi.org/10.3390/buildings14124024 - 18 Dec 2024
Cited by 3 | Viewed by 1788
Abstract
The relationship between coronary heart disease (CHD) and complex urban built environments remains a subject of considerable uncertainty. The development of predictive models via machine learning to explore the underlying mechanisms of this association, as well as the formulation of intervention policies and [...] Read more.
The relationship between coronary heart disease (CHD) and complex urban built environments remains a subject of considerable uncertainty. The development of predictive models via machine learning to explore the underlying mechanisms of this association, as well as the formulation of intervention policies and planning strategies, has emerged as a pivotal area of research. A cross-sectional dataset of hospital admissions for CHD over the course of a year from a hospital in Dalian City, China, was assembled and matched with multi-source built environment data via residential addresses. This study evaluates five machine learning models, including decision tree (DT), random forest (RF), eXtreme gradient boosting (XGBoost), multi-layer perceptron (MLP), and support vector machine (SVM), and compares them with multiple linear regression models. The results show that DT, RF, and XGBoost exhibit superior predictive capabilities, with all R2 values exceeding 0.70. The DT model performed the best, with an R2 value of 0.818, and the best performance was based on metrics such as MAE and MSE. Additionally, using explainable AI techniques, this study reveals the contribution of different built environment factors to CHD and identifies the significant factors influencing CHD in cold regions, ranked as age, Digital Elevation Model (DEM), house price (HP), sky view factor (SVF), and interaction factors. Stratified analyses by age and gender show variations in the influencing factors for different groups: for those under 60 years old, Road Density is the most influential factor; for the 61–70 age group, house price is the top factor; for the 71–80 age group, age is the most significant factor; for those over 81 years old, building height is the leading factor; in males, GDP is the most influential factor; and in females, age is the most influential factor. This study explores the feasibility and performance of machine learning in predicting CHD risk in the built environment of cold regions and provides a comprehensive methodology and workflow for predicting cardiovascular disease risk based on refined neighborhood-level built environment factors, offering scientific support for the construction of sustainable healthy cities. Full article
Show Figures

Figure 1

23 pages, 3079 KB  
Article
European Green Deal: Substantiation of the Rational Configuration of the Bioenergy Production System from Organic Waste
by Inna Tryhuba, Anatoliy Tryhuba, Taras Hutsol, Szymon Szufa, Szymon Glowacki, Oleh Andrushkiv, Roman Padyuka, Oleksandr Faichuk and Nataliia Slavina
Energies 2024, 17(17), 4513; https://doi.org/10.3390/en17174513 - 9 Sep 2024
Cited by 3 | Viewed by 1446
Abstract
A review of the current state of the theory and practice of bioenergy production from waste allowed us to identify the scientific and applied problem of substantiating the rational configuration of a modular anaerobic bioenergy system, taking into account the volume of organic [...] Read more.
A review of the current state of the theory and practice of bioenergy production from waste allowed us to identify the scientific and applied problem of substantiating the rational configuration of a modular anaerobic bioenergy system, taking into account the volume of organic waste generated in settlements. To solve this problem, this paper develops an approach and an algorithm for matching the configuration of a modular anaerobic bioenergy production system with the amount of organic waste generated in residential areas. Unlike the existing tools, this takes into account the peculiarities of residential areas, which is the basis for accurate forecasting of organic waste generation and, accordingly, determining the configuration of the bioenergy production system. In addition, for each of the scenarios, the anaerobic digestion process is modeled, which allows us to determine the functional indicators that underlie the determination of a rational configuration in terms of cost and environmental performance. Based on the use of the developed tools for the production conditions of the Golosko residential area, Lviv (Ukraine), possible scenarios for the installation of modular anaerobic bioenergy production systems are substantiated. It was found that the greatest annual benefits are obtained from the processing of mixed food and yard waste. The payback period of investments in modular anaerobic bioenergy production systems for given conditions of a residential area largely depends on their configuration and ranges from 3.3 to 8.4 years, which differ from each other by 2.5 times. This indicates that the developed toolkit is of practical value, as it allows the coordination of the rational configuration of modular anaerobic bioenergy production systems with real production conditions. In the future, it is recommended to use the proposed decision support system to model the use of biomass as an energy resource in residential areas, which ensures the determination of the rational configuration of a modular anaerobic bioenergy production system for given conditions. Full article
Show Figures

Figure 1

18 pages, 3584 KB  
Article
Advanced Predictive Modeling for Dam Occupancy Using Historical and Meteorological Data
by Ahmet Cemkut Badem, Recep Yılmaz, Muhammet Raşit Cesur and Elif Cesur
Sustainability 2024, 16(17), 7696; https://doi.org/10.3390/su16177696 - 4 Sep 2024
Cited by 3 | Viewed by 2269
Abstract
Dams significantly impact the environment, industries, residential areas, and agriculture. Efficient dam management can mitigate negative impacts and enhance benefits such as flood and drought reduction, energy efficiency, water access, and improved irrigation. This study tackles the critical issue of predicting dam occupancy [...] Read more.
Dams significantly impact the environment, industries, residential areas, and agriculture. Efficient dam management can mitigate negative impacts and enhance benefits such as flood and drought reduction, energy efficiency, water access, and improved irrigation. This study tackles the critical issue of predicting dam occupancy levels precisely to contribute to sustainable water management by enabling efficient water allocation among sectors, proactive drought management, controlled flood risk mitigation, and preservation of downstream ecological integrity. Our research suggests that combining physical models of water inflow and outflow “such as evapotranspiration using the Penman–Monteith equation, along with parameters like water consumption, solar radiation, and rainfall” with data-driven models based on historical reservoir data is crucial for accurately predicting occupancy levels. We implemented various prediction models, including Random Forest, Extra Trees, Long Short-Term Memory, Orthogonal Matching Pursuit CV, and Lasso Lars CV. To strengthen our proposed model with robust evidence, we conducted statistical tests on the mean absolute percentage errors of the models. Consequently, we demonstrated the impact of physical model parameters on prediction performance and identified the best method for predicting dam occupancy levels by comparing it with findings from the scientific literature. Full article
Show Figures

Figure 1

17 pages, 9185 KB  
Article
A Sustainable Dynamic Capacity Estimation Method Based on Bike-Sharing E-Fences
by Chen Deng and Houqiang Ma
Sustainability 2024, 16(14), 6210; https://doi.org/10.3390/su16146210 - 20 Jul 2024
Cited by 3 | Viewed by 1774
Abstract
Increasing urban traffic congestion and environmental pollution have led to the embrace of bike-sharing for its low-carbon convenience. This study enhances the operational efficiency and environmental benefits of bike-sharing systems by optimizing electronic fences (e-fences). Using bike-sharing order data from Shenzhen, China, a [...] Read more.
Increasing urban traffic congestion and environmental pollution have led to the embrace of bike-sharing for its low-carbon convenience. This study enhances the operational efficiency and environmental benefits of bike-sharing systems by optimizing electronic fences (e-fences). Using bike-sharing order data from Shenzhen, China, a data-driven multi-objective optimization approach is proposed to design the sustainable dynamic capacity of e-fences. A dynamic planning model, solved with an improved Non-dominated Sorting Genetic Algorithm II (NSGA-II), adjusts e-fence capacities to match fluctuating user demand, optimizing resource utilization. The results show that an initial placement of 20 bicycles per e-fence provided a balance between cost efficiency and user convenience, with the enterprise cost being approximately 76,000 CNY and an extra walking distance for users of 15.1 m. The optimal number of e-fence sites was determined to be 40 based on the solution algorithm constructed in the study. These sites are strategically located in high-demand areas, such as residential zones, commercial districts, educational institutions, subway stations, and parks. This strategic placement enhances urban mobility and reduces disorderly parking. Full article
(This article belongs to the Section Sustainable Transportation)
Show Figures

Figure 1

11 pages, 426 KB  
Article
Non-Institutional Factors That Contribute to the Green Building Premium
by Kwong Wing Chau, Derek D. Huo and Ervi Liusman
Land 2024, 13(7), 1044; https://doi.org/10.3390/land13071044 - 11 Jul 2024
Cited by 1 | Viewed by 1862
Abstract
This study examines the non-institutional factors that affect the green building premium (GBP). Residential properties are chosen for empirical analysis since they are free from institutional factors such as corporate social responsibility (CSR). The study adopts both Mahalanobis Distance Matching (MDM) and Propensity [...] Read more.
This study examines the non-institutional factors that affect the green building premium (GBP). Residential properties are chosen for empirical analysis since they are free from institutional factors such as corporate social responsibility (CSR). The study adopts both Mahalanobis Distance Matching (MDM) and Propensity Score Matching (PSM) to identify the treatment observations (buildings with a green building certificate) and the control observations (non-green buildings). The results are robust across the two methods. The study found that residential buildings with green certificates command a premium and that this premium does not decline over time, which suggests that consumers are willing to pay a GPB in the absence of institutional mandatory requirements. Furthermore, the GBP is higher but with a slower growth rate in higher-income areas, which is consistent with the post-materialist value theory and the prosperity or affluence hypothesis. Full article
(This article belongs to the Special Issue Feature Papers for Land Planning and Landscape Architecture Section)
Show Figures

Figure 1

14 pages, 2701 KB  
Article
Investigating the Connection between Chronic Periodontitis and Parkinson’s Disease: Findings from a Korean National Cohort Study
by Na-Eun Lee, Dae Myoung Yoo, Kyeong Min Han, Ho Suk Kang, Ji Hee Kim, Joo-Hee Kim, Woo Jin Bang, Hyo Geun Choi, Nan Young Kim, Ha Young Park and Mi Jung Kwon
Biomedicines 2024, 12(4), 792; https://doi.org/10.3390/biomedicines12040792 - 3 Apr 2024
Cited by 7 | Viewed by 7129
Abstract
Recent research suggests a potential relevance between chronic periodontitis (CP) and Parkinson’s disease (PD), raising concerns about comorbid PD among elderly CP patients. However, the epidemiologic basis for this association remains unclear. Employing a nested case-control design, this study explored the association between [...] Read more.
Recent research suggests a potential relevance between chronic periodontitis (CP) and Parkinson’s disease (PD), raising concerns about comorbid PD among elderly CP patients. However, the epidemiologic basis for this association remains unclear. Employing a nested case-control design, this study explored the association between CP and subsequent PD occurrences in Korean adults, leveraging a validated national population-based dataset covering the period from 2002 to 2019. It included 8794 PD patients and 35,176 matched control individuals, established through propensity score matching for age, sex, residential area, and income. Baseline characteristics were compared using standardized differences, and logistic regression was employed to assess the impact of CP histories on PD likelihood while controlling for covariates. We performed a thorough examination of CP events within both 1-year and 2-year intervals preceding the index date, incorporating subgroup analyses. Our analysis revealed no statistically significant association between CP history and PD development overall. However, subgroup analysis revealed a slightly increased likelihood of PD development among CP individuals with a high disease burden (Charlson Comorbidity Index score ≥ 2). In conclusion, although our study did not find a significant overall association between CP history and PD development, the elevated likelihood of PD in subgroups with high disease burden may suggest that comorbidities influence PD probability among certain CP patients. Considering comorbid conditions in PD screening for some individuals with CP may be also important. Full article
(This article belongs to the Special Issue Periodontal Inflammation, Periodontal Disease and Systemic Diseases)
Show Figures

Graphical abstract

Back to TopTop