Sign in to use this feature.

Years

Between: -

Subjects

remove_circle_outline
remove_circle_outline
remove_circle_outline
remove_circle_outline
remove_circle_outline
remove_circle_outline
remove_circle_outline
remove_circle_outline
remove_circle_outline

Journals

remove_circle_outline
remove_circle_outline
remove_circle_outline
remove_circle_outline
remove_circle_outline
remove_circle_outline
remove_circle_outline
remove_circle_outline
remove_circle_outline
remove_circle_outline
remove_circle_outline
remove_circle_outline
remove_circle_outline
remove_circle_outline

Article Types

Countries / Regions

remove_circle_outline
remove_circle_outline
remove_circle_outline
remove_circle_outline
remove_circle_outline
remove_circle_outline

Search Results (1,197)

Search Parameters:
Keywords = reference point selection

Order results
Result details
Results per page
Select all
Export citation of selected articles as:
17 pages, 6022 KB  
Article
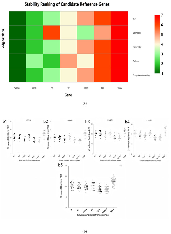
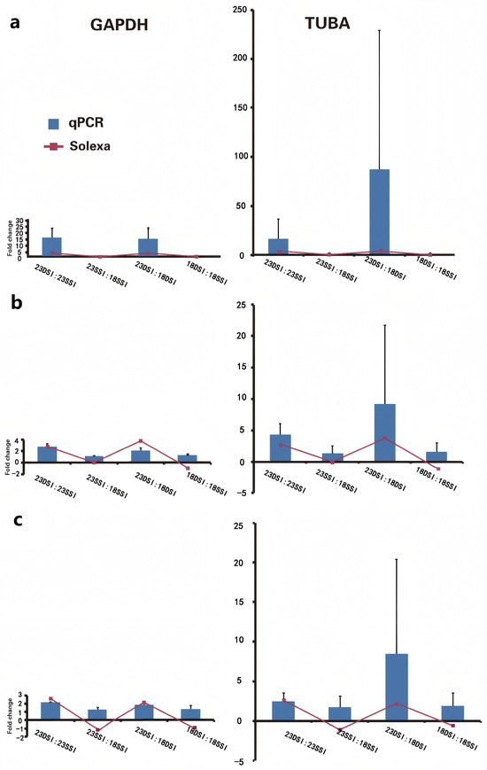
Evaluation of Suitable Reference Gene During the Development of Paired or Unpaired Female Schistosoma japonicum on the 18th and the 23rd Days Post Infection
by Suwen Wang, Liang Feng and Jun Sun
Pathogens 2025, 14(10), 1066; https://doi.org/10.3390/pathogens14101066 - 21 Oct 2025
Viewed by 141
Abstract
Background: Identifying optimal housekeeping genes is essential to accurately quantify gene expression dynamics across the 18th day (male and female begin to pair) and the 23rd day (female begin to sex mature) post infection of Schistosoma japonicum, because this process involves selecting [...] Read more.
Background: Identifying optimal housekeeping genes is essential to accurately quantify gene expression dynamics across the 18th day (male and female begin to pair) and the 23rd day (female begin to sex mature) post infection of Schistosoma japonicum, because this process involves selecting suitable housekeeping genes to ensure the reliability and accuracy of all subsequent expression analyses, thereby improving the precision of biological interpretations. Schistosoma japonicum transcriptomics reveals marked stage-dependent variation in candidate reference genes, which directly challenges the long-standing hypothesis that commonly recommended reference genes remain stably expressed throughout the 18th day and the 23rd day post-infection developmental phases and therefore emphasizes the critical need for careful selection and rigorous validation in any specific experimental context. Methods: In this study, seven widely reported genes (GAPDH, TUBA, ACTB, SOD1, TP, ND and PS) of Schistosoma japonicum were systematically validated by combining Solexa high-throughput sequence analysis with targeted qPCR experiments to identify the most suitable reference genes on the 18th day and the 23rd day post infection of Schistosoma japonicum, and the expression stability of these seven candidate genes was then comprehensively evaluated using four complementary algorithms—the ΔCT method and the GeNorm V3.5, BestKeeper, and NormFinder software applications. Results: GAPDH displayed the most consistent expression profiles, whereas TUBA exhibited the least stability, particularly at the specific time points of 18 and 23 days post infection in both paired and unpaired female Schistosoma japonicum. Conclusions: The suitability of any housekeeping gene is strongly dependent on the study’s specific context and experimental conditions. Therefore, the conclusions drawn here are explicitly limited to the developmental window of 18 and 23 days post infection. Rigorous, stage-specific validation is indispensable before reliable quantitative gene expression analyses can be performed. Full article
(This article belongs to the Section Parasitic Pathogens)
Show Figures

Figure 1

19 pages, 5496 KB  
Article
Screening and Validation of Stable Reference Genes for Real-Time Quantitative PCR in Indocalamus tessellatus (Munro) P. C. Keng Under Multiple Tissues and Abiotic Stresses
by Xiaoqing Hu, Chenjie Zhou, Junhao Pan, Wangqing Wu, Shuang Wu, Xiaofang Yan, Chenxin Wang and Qianggen Zhu
Forests 2025, 16(10), 1607; https://doi.org/10.3390/f16101607 - 20 Oct 2025
Viewed by 199
Abstract
Indocalamus tessellatus (Munro) P. C. Keng is a bamboo species with significant economic and ecological value, and exhibits considerable resistance to abiotic stresses. However, systematic evaluation of reference genes for gene expression analysis in this species is lacking. Analysis of multi-tissue transcriptomes yielded [...] Read more.
Indocalamus tessellatus (Munro) P. C. Keng is a bamboo species with significant economic and ecological value, and exhibits considerable resistance to abiotic stresses. However, systematic evaluation of reference genes for gene expression analysis in this species is lacking. Analysis of multi-tissue transcriptomes yielded 3801 relatively stable genes; from these, we selected eleven new candidates along with nine widely adopted reference genes. We then evaluated these candidates under four conditions: drought (15% PEG-6000), salt (200 mM NaCl), waterlogging (root submergence in water), and a multi-tissue panel (leaf, leaf sheath, culm, shoot, and root). Under stress, early and sustained time points were sampled to capture dynamic transcriptional responses. Expression stability was assessed using geNorm, NormFinder, BestKeeper, and ΔCt, and results were integrated with RefFinder to generate comprehensive stability rankings for each condition. The most stable reference genes were condition-dependent: MD10B and PP2A under drought, eIF1A and Ite23725 under salt stress, PP2A and eIF4A under waterlogging, and 60S and UBP1 across different tissues. Notably, commonly used genes such as UBI and Actin7 were less stable. Peroxidase (POD) was used as a validation marker because it is a known stress-responsive gene, providing a sensitive readout of normalization accuracy. Validation confirmed that selecting suitable reference genes is essential for dependable expression quantification. These findings provide a robust set of reference genes for qRT-PCR studies in I. tessellatus, supporting future molecular and functional research in bamboo. Full article
Show Figures

Figure 1

21 pages, 6062 KB  
Article
Apple Orchard Mapping in China Based on an Automatic Sample Generation Algorithm and Random Forest
by Chunxiao Wu, Jianyu Yang, Han Zhou, Shuoji Zhang, Xiangyi Xiao, Kaixuan Tang, Xinyi Zhang, Nannan Zhang and Dongping Ming
Remote Sens. 2025, 17(20), 3449; https://doi.org/10.3390/rs17203449 - 16 Oct 2025
Viewed by 310
Abstract
Accurate apple orchard mapping plays a vital role in managing agricultural resources. However, national-scale apple orchard mapping faces challenges such as the “same spectrum with different objects” phenomenon between apple trees and other crops, as well as difficulties in sample collection. To address [...] Read more.
Accurate apple orchard mapping plays a vital role in managing agricultural resources. However, national-scale apple orchard mapping faces challenges such as the “same spectrum with different objects” phenomenon between apple trees and other crops, as well as difficulties in sample collection. To address the above issues, this study proposes a knowledge-assisted apple mapping framework that automatically generates samples using agronomic knowledge and employs a random forest algorithm for classification. Firstly, an apple mapping composite index (AMCI) was developed by integrating the chlorophyll content and leaf structural characteristics of apple trees. In a single Sentinel-2 image, a novel natural vegetation phenolic compounds index was applied to systematically exclude natural vegetation, and based on this, the AMCI was used to generate an initial apple distribution map. Using this initial map, apple samples were obtained through random point selection and visual interpretation, and other samples were constructed based on land cover products. Finally, a 10 m-resolution apple orchard map of China was generated with the random forest algorithm. The results show an overall accuracy of 90.7% and a kappa of 0.814. Moreover, the extracted area shows an 82.11% consistency with official statistical data, demonstrating the effectiveness of the proposed method. This simple and robust framework provides a valuable reference for large-scale crop mapping. Full article
(This article belongs to the Special Issue Innovations in Remote Sensing Image Analysis)
Show Figures

Figure 1

16 pages, 319 KB  
Article
Hermeneutical Reflections on the Roman and Ambrosian Lectionary: Criteria, Principles of Selection, Arrangement of the Readings, Possible Improvements
by Marco Benini
Religions 2025, 16(10), 1289; https://doi.org/10.3390/rel16101289 - 10 Oct 2025
Viewed by 241
Abstract
This article examines the hermeneutical criteria underlying the various principles of selection and arrangement of the readings within the celebration of the Sunday Eucharist. Methodologically, two dimensions of the lectionary will be considered: the horizontal, referring to the arrangement of the readings throughout [...] Read more.
This article examines the hermeneutical criteria underlying the various principles of selection and arrangement of the readings within the celebration of the Sunday Eucharist. Methodologically, two dimensions of the lectionary will be considered: the horizontal, referring to the arrangement of the readings throughout the liturgical year, and the vertical, focusing on the intertextuality and thematic relationships among the readings within a single celebration. A special point of reference will be the lesser-known Ambrosian Lectionary of 2008 (Milan), which may be regarded as an advancement of the Roman Ordo Lectionum Missae. In its selection and arrangement of readings, it consciously takes alternative paths to the Roman model. At the end, this article draws conclusions for liturgical hermeneutics and for a possible revision of the Roman order of readings, exploring how the advantages of the Roman and the Ambrosian lectionary could be combined. Full article
(This article belongs to the Special Issue Bible and Liturgy in Dialogue)
31 pages, 4793 KB  
Article
An Approximate Belief Rule Base Student Examination Passing Prediction Method Based on Adaptive Reference Point Selection Using Symmetry
by Jingying Li, Kangle Li, Hailong Zhu, Cuiping Yang and Jinsong Han
Symmetry 2025, 17(10), 1687; https://doi.org/10.3390/sym17101687 - 8 Oct 2025
Viewed by 216
Abstract
Student exam pass prediction (EPP) is a key task in educational assessment and can help teachers identify students’ learning obstacles in a timely manner and optimize teaching strategies. However, existing EPP models, although capable of providing quantitative analysis, suffer from issues such as [...] Read more.
Student exam pass prediction (EPP) is a key task in educational assessment and can help teachers identify students’ learning obstacles in a timely manner and optimize teaching strategies. However, existing EPP models, although capable of providing quantitative analysis, suffer from issues such as complex algorithms, poor interpretability, and unstable accuracy. Moreover, the evaluation process is opaque, making it difficult for teachers to understand the basis for scoring. To address this, this paper proposes an approximate belief rule base (ABRB-a) student examination passing prediction method based on adaptive reference point selection using symmetry. Firstly, a random forest method based on cross-validation is adopted, introducing intelligent preprocessing and adaptive tuning to achieve precise screening of multi-attribute features. Secondly, reference points are automatically generated through hierarchical clustering algorithms, overcoming the limitations of traditional methods that rely on prior expert knowledge. By organically combining IF-THEN rules with evidential reasoning (ER), a traceable decision-making chain is constructed. Finally, a projection covariance matrix adaptive evolution strategy (P-CMA-ES-M) with Mahalanobis distance constraints is introduced, significantly improving the stability and accuracy of parameter optimization. Through experimental analysis, the ABRB-a model demonstrates significant advantages over existing models in terms of accuracy and interpretability. Full article
Show Figures

Figure 1

27 pages, 11653 KB  
Article
Climate Change and Historical Food-Related Architecture Abandonment: Evidence from Italian Case Studies
by Roberta Varriale and Roberta Ciaravino
Heritage 2025, 8(10), 423; https://doi.org/10.3390/heritage8100423 - 5 Oct 2025
Viewed by 887
Abstract
Climatic factors have always played a key role in the construction of food-related architecture: mitigation of outdoor temperatures or winds, adoption of raining waters in the productive processes, etc. However, sometimes, climate change has impacted the profitability of those structures and eventually caused [...] Read more.
Climatic factors have always played a key role in the construction of food-related architecture: mitigation of outdoor temperatures or winds, adoption of raining waters in the productive processes, etc. However, sometimes, climate change has impacted the profitability of those structures and eventually caused their abandonment. Today, historical food-related architectures are significant elements of local rural heritage, and they are also tangible symbols of all the values connected to the corresponding typical food productions. When the cultural value of rural cultural assets and the historical management of climatic factors coexist, this potential can be investigated, and the results can ultimately be included in the corresponding enhancement processes. To exploit this potential, the paper introduces the theoretical concept of food-related architecture as climatic indicators, with reference to the changes in the climate that have occurred during their construction, as well as their abandonment. According to the thesis of the research, the adoption of the concept of climatic indicators can implement the value of selected minor cultural assets, support sustainable rural regeneration plans and integrate missing historical climate series and data. In the Materials and Methods section, two theoretical charts have been introduced, and the pyramid of the Mediterranean diet was analyzed to allow for the selection of some food-related architectures to test the theoretical approach developed. Then, three Italian case studies have been analyzed: the concept of climate indicators was tested, and some potential focus points of actions connected to this aspect were elucidated. The case studies are the Pietragalla wine district in the Basilicata Region, the Apulian rock-cut oil mills and Mills’s Valley in the Campania Region. Full article
(This article belongs to the Special Issue Sustainability for Heritage)
Show Figures

Figure 1

50 pages, 6411 KB  
Article
AI-Enhanced Eco-Efficient UAV Design for Sustainable Urban Logistics: Integration of Embedded Intelligence and Renewable Energy Systems
by Luigi Bibbò, Filippo Laganà, Giuliana Bilotta, Giuseppe Maria Meduri, Giovanni Angiulli and Francesco Cotroneo
Energies 2025, 18(19), 5242; https://doi.org/10.3390/en18195242 - 2 Oct 2025
Viewed by 572
Abstract
The increasing use of UAVs has reshaped urban logistics, enabling sustainable alternatives to traditional deliveries. To address critical issues inherent in the system, the proposed study presents the design and evaluation of an innovative unmanned aerial vehicle (UAV) prototype that integrates advanced electronic [...] Read more.
The increasing use of UAVs has reshaped urban logistics, enabling sustainable alternatives to traditional deliveries. To address critical issues inherent in the system, the proposed study presents the design and evaluation of an innovative unmanned aerial vehicle (UAV) prototype that integrates advanced electronic components and artificial intelligence (AI), with the aim of reducing environmental impact and enabling autonomous navigation in complex urban environments. The UAV platform incorporates brushless DC motors, high-density LiPo batteries and perovskite solar cells to improve energy efficiency and increase flight range. The Deep Q-Network (DQN) allocates energy and selects reference points in the presence of wind and payload disturbances, while an integrated sensor system monitors motor vibration/temperature and charge status to prevent failures. In urban canyon and field scenarios (wind from 0 to 8 m/s; payload from 0.35 to 0.55 kg), the system reduces energy consumption by up to 18%, increases area coverage by 12% for the same charge, and maintains structural safety factors > 1.5 under gust loading. The approach combines sustainable materials, efficient propulsion, and real-time AI-based navigation for energy-conscious flight planning. A hybrid methodology, combining experimental design principles with finite-element-based structural modelling and AI-enhanced monitoring, has been applied to ensure structural health awareness. The study implements proven edge-AI sensor fusion architectures, balancing portability and telemonitoring with an integrated low-power design. The results confirm a reduction in energy consumption and CO2 emissions compared to traditional delivery vehicles, confirming that the proposed system represents a scalable and intelligent solution for last-mile delivery, contributing to climate resilience and urban sustainability. The findings position the proposed UAV as a scalable reference model for integrating AI-driven navigation and renewable energy systems in sustainable logistics. Full article
Show Figures

Figure 1

15 pages, 2112 KB  
Article
Radiomics-Based Preoperative Assessment of Muscle-Invasive Bladder Cancer Using Combined T2 and ADC MRI: A Multicohort Validation Study
by Dmitry Kabanov, Natalia Rubtsova, Aleksandra Golbits, Andrey Kaprin, Valentin Sinitsyn and Mikhail Potievskiy
J. Imaging 2025, 11(10), 342; https://doi.org/10.3390/jimaging11100342 - 1 Oct 2025
Viewed by 375
Abstract
Accurate preoperative staging of bladder cancer on MRI remains challenging because visual reads vary across observers. We investigated a multiparametric MRI (mpMRI) radiomics approach to predict muscle invasion (≥T2) and prospectively tested it on a validation cohort. Eighty-four patients with urothelial carcinoma underwent [...] Read more.
Accurate preoperative staging of bladder cancer on MRI remains challenging because visual reads vary across observers. We investigated a multiparametric MRI (mpMRI) radiomics approach to predict muscle invasion (≥T2) and prospectively tested it on a validation cohort. Eighty-four patients with urothelial carcinoma underwent 1.5-T mpMRI per VI-RADS (T2-weighted imaging and DWI-derived ADC maps). Two blinded radiologists performed 3D tumor segmentation; 37 features per sequence were extracted (LifeX) using absolute resampling. In the training cohort (n = 40), features that differed between non-muscle-invasive and muscle-invasive tumors (Mann–Whitney p < 0.05) underwent ROC analysis with cut-offs defined by the Youden index. A compact descriptor combining GLRLM-LRLGE from T2 and GLRLM-SRLGE from ADC was then fixed and applied without re-selection to a prospective validation cohort (n = 44). Histopathology within 6 weeks—TURBT or cystectomy—served as the reference. Eleven T2-based and fifteen ADC-based features pointed to invasion; DWI texture features were not informative. The descriptor yielded AUCs of 0.934 (training) and 0.871 (validation) with 85.7% sensitivity and 96.2% specificity in validation. Collectively, these findings indicate that combined T2/ADC radiomics can provide high diagnostic accuracy and may serve as a useful decision support tool, after multicenter, multi-vendor validation. Full article
(This article belongs to the Topic Machine Learning and Deep Learning in Medical Imaging)
Show Figures

Figure 1

25 pages, 26694 KB  
Article
Research on Wind Field Correction Method Integrating Position Information and Proxy Divergence
by Jianhong Gan, Mengjia Zhang, Cen Gao, Peiyang Wei, Zhibin Li and Chunjiang Wu
Biomimetics 2025, 10(10), 651; https://doi.org/10.3390/biomimetics10100651 - 1 Oct 2025
Viewed by 325
Abstract
The accuracy of numerical model outputs strongly depends on the quality of the initial wind field, yet ground observation data are typically sparse and provide incomplete spatial coverage. More importantly, many current mainstream correction models rely on reanalysis grid datasets like ERA5 as [...] Read more.
The accuracy of numerical model outputs strongly depends on the quality of the initial wind field, yet ground observation data are typically sparse and provide incomplete spatial coverage. More importantly, many current mainstream correction models rely on reanalysis grid datasets like ERA5 as the true value, which relies on interpolation calculation, which directly affects the accuracy of the correction results. To address these issues, we propose a new deep learning model, PPWNet. The model directly uses sparse and discretely distributed observation data as the true value, which integrates observation point positions and a physical consistency term to achieve a high-precision corrected wind field. The model design is inspired by biological intelligence. First, observation point positions are encoded as input and observation values are included in the loss function. Second, a parallel dual-branch DenseInception network is employed to extract multi-scale grid features, simulating the hierarchical processing of the biological visual system. Meanwhile, PPWNet references the PointNet architecture and introduces an attention mechanism to efficiently extract features from sparse and irregular observation positions. This mechanism reflects the selective focus of cognitive functions. Furthermore, this paper incorporates physical knowledge into the model optimization process by adding a learned physical consistency term to the loss function, ensuring that the corrected results not only approximate the observations but also adhere to physical laws. Finally, hyperparameters are automatically tuned using the Bayesian TPE algorithm. Experiments demonstrate that PPWNet outperforms both traditional and existing deep learning methods. It reduces the MAE by 38.65% and the RMSE by 28.93%. The corrected wind field shows better agreement with observations in both wind speed and direction, confirming the effectiveness of incorporating position information and a physics-informed approach into deep learning-based wind field correction. Full article
(This article belongs to the Special Issue Nature-Inspired Metaheuristic Optimization Algorithms 2025)
Show Figures

Figure 1

30 pages, 2573 KB  
Article
Agent Systems and GIS Integration in Requirements Analysis and Selection of Optimal Locations for Energy Infrastructure Facilities
by Anna Kochanek, Tomasz Zacłona, Michał Szucki and Nikodem Bulanda
Appl. Sci. 2025, 15(19), 10406; https://doi.org/10.3390/app151910406 - 25 Sep 2025
Viewed by 303
Abstract
The dynamic development of agent systems and large language models opens up new possibilities for automating spatial and investment analyses. The study evaluated a reactive AI agent with an NLP interface, integrating Apache Spark for large-scale data processing with PostGIS as a reference [...] Read more.
The dynamic development of agent systems and large language models opens up new possibilities for automating spatial and investment analyses. The study evaluated a reactive AI agent with an NLP interface, integrating Apache Spark for large-scale data processing with PostGIS as a reference point. The analyses were carried out for two areas: Nowy Sącz (36,000 plots, 7 layers) and Ostrołęka (220,000 plots). For medium-sized datasets, both technologies produced similar results, but with large datasets, PostGIS exceeded time limits and was prone to failures. Spark maintained stable performance, analyzing 220,000 plots in approximately 240 s, confirming its suitability for interactive applications. In addition, clustering and spatial search algorithms were compared. The basic DFS required 530 s, while the improved one reduced the time almost tenfold to 54–62 s. The improved K-Means improved the spatial compactness of clusters (0.61–0.76 vs. <0.50 in most base cases) with a time of 56–64 s. Agglomerative clustering, although accurate, was too slow (3000–6000 s). The results show that the combination of Spark, improved algorithms, and agent systems with NLP significantly speeds up the selection of plots for renewable energy sources, supporting sustainable investment decisions. Full article
(This article belongs to the Special Issue Urban Geospatial Analytics Based on Big Data)
Show Figures

Figure 1

31 pages, 3118 KB  
Article
Toward Efficient Health Data Identification and Classification in IoMT-Based Systems
by Afnan Alsadhan, Areej Alhogail and Hessah A. Alsalamah
Sensors 2025, 25(19), 5966; https://doi.org/10.3390/s25195966 - 25 Sep 2025
Viewed by 700
Abstract
The Internet of Medical Things (IoMT) is a rapidly expanding network of medical devices, sensors, and software that exchange patient health data. While IoMT supports personalized care and operational efficiency, it also introduces significant privacy risks, especially when handling sensitive health information. Data [...] Read more.
The Internet of Medical Things (IoMT) is a rapidly expanding network of medical devices, sensors, and software that exchange patient health data. While IoMT supports personalized care and operational efficiency, it also introduces significant privacy risks, especially when handling sensitive health information. Data Identification and Classification (DIC) are therefore critical for distinguishing which data attributes require stronger safeguards. Effective DIC contributes to privacy preservation, regulatory compliance, and more efficient data management. This study introduces SDAIPA (SDAIA-HIPAA), a standardized hybrid IoMT data classification framework that integrates principles from HIPAA and SDAIA with a dual risk perspective—uniqueness and harm potential—to systematically classify IoMT health data. The framework’s contribution lies in aligning regulatory guidance with a structured classification process, validated by domain experts, to provide a practical reference for sensitivity-aware IoMT data management. In practice, SDAIPA can assist healthcare providers in allocating encryption resources more effectively, ensuring stronger protection for high-risk attributes such as genomic or location data while minimizing overhead for lower-risk information. Policymakers may use the standardized IoMT data list as a reference point for refining privacy regulations and compliance requirements. Likewise, AI developers can leverage the framework to guide privacy-preserving training, selecting encryption parameters that balance security with performance. Collectively, these applications demonstrate how SDAIPA can support proportionate and regulation-aligned protection of health data in smart healthcare systems. Full article
(This article belongs to the Special Issue Securing E-Health Data Across IoMT and Wearable Sensor Networks)
Show Figures

Figure 1

18 pages, 8295 KB  
Article
Evolution Mechanism of Flow Patterns and Pressure Fluctuations During Runaway Processes of Three Pump–Turbines with Different Blade Lean Angles
by Zhiyan Yang, Jie Fang, Baoyong Zhang, Chengjun Li, Tang Qian and Chunze Zhang
Water 2025, 17(18), 2784; https://doi.org/10.3390/w17182784 - 21 Sep 2025
Viewed by 505
Abstract
Pumped storage power stations are effective stabilizers and regulators of the power grids. However, during the transient process, especially the operating point entering the S-shaped region, the internal flow patterns and pressure pulsations in the pump–turbine unit change violently, seriously affecting the safety [...] Read more.
Pumped storage power stations are effective stabilizers and regulators of the power grids. However, during the transient process, especially the operating point entering the S-shaped region, the internal flow patterns and pressure pulsations in the pump–turbine unit change violently, seriously affecting the safety of the power stations, which requires enough optimizations in the design stage of the pump–turbine. In this paper, to explore the key factors which influence the evolutions of flow patterns and pressure pulsations during the runaway process, three pump–turbine runners with different inlet blade lean, including positive angle, no angle and negative angle, were selected to simulate by using the three-dimensional method. The results show that the changes in the inlet blade lean angles have significant effects on the variation periods and maximum values of the macro parameters during the runaway process, and especially the runner with no lean angle results in the smallest oscillation periods and pressure pulsations but enlarges the runner radial forces. In addition, backflows generate from the hub side under the cases with positive or no blade lean angle, while those occur from the shroud side due to the negative angle. The results provide a basic reference for the design of the pump–turbine. Full article
(This article belongs to the Section Hydraulics and Hydrodynamics)
Show Figures

Figure 1

11 pages, 336 KB  
Article
A Longitudinal Observational Study on Lactation-Associated Changes in Procalcitonin, Protein Carbonyl Content, Asymmetric Dimethylarginine, and Symmetric Dimethylarginine in Dairy Cattle
by Giulia Sala, Matteo Castelli, Chiara Orsetti, Giovanni Armenia, Lucia De Marchi, Valentina Meucci, Micaela Sgorbini and Francesca Bonelli
Vet. Sci. 2025, 12(9), 895; https://doi.org/10.3390/vetsci12090895 - 15 Sep 2025
Viewed by 482
Abstract
Procalcitonin (PCT), protein carbonyl content (PCC), asymmetric dimethylarginine (ADMA), and symmetric dimethylarginine (SDMA) have been proposed as promising biomarkers for detecting diseases in cattle. Their concentrations could potentially be influenced by lactation due to oxidative stress commonly observed during this period. This study [...] Read more.
Procalcitonin (PCT), protein carbonyl content (PCC), asymmetric dimethylarginine (ADMA), and symmetric dimethylarginine (SDMA) have been proposed as promising biomarkers for detecting diseases in cattle. Their concentrations could potentially be influenced by lactation due to oxidative stress commonly observed during this period. This study aimed to evaluate plasma levels of PCT, PCC, ADMA, and SDMA at different stages of lactation in 21 healthy dairy cows: at 15 (T0), 60 (T1), and 150 (T2) days in milk (DIM). Clinically healthy Italian Holstein-Friesian cows were included, selected based on healthy dry periods and weekly veterinary checks during lactation. Blood samples were collected at each time point and biomarkers were measured using validated analytical methods. Data were analyzed using Friedman’s test and the p value was set at 0.05. Median (IQR) PCT values were 64.29 (40.00–143.23), 75.36 (40.00–161.47), and 77.50 pg/mL (40.00–120.18) at T0, T1, and T2, respectively. PCC medians were 0.17 (0.10–0.27), 0.14 (0.08–0.23), and 0.20 (0.08–0.22) nmol/mL/mg; ADMA values were 0.11 (0.09–0.15), 0.11 (0.09–0.13), and 0.10 µmol/L (0.09–0.14); and SDMA values were 0.11 (0.09–0.14), 0.12 (0.09–0.15), and 0.10 µmol/L (0.09–0.16). No statistically significant differences were observed between time points for any biomarker. These findings suggest that, despite physiological oxidative stress during lactation, these biomarkers remain stable in healthy cows. Therefore, establishing distinct reference ranges based on lactation stage may not be necessary. Full article
Show Figures

Figure 1

13 pages, 583 KB  
Article
Prevalence, Persistence, and Agreement of Physical Frailty Tools in Patients with Severe COPD Declining Pulmonary Rehabilitation: An Exploratory 1-Year Prospective Cohort Study
by Henrik Hansen, Jeanette Hansen, Christina Nielsen and Nina Godtfredsen
J. Clin. Med. 2025, 14(18), 6434; https://doi.org/10.3390/jcm14186434 - 12 Sep 2025
Viewed by 629
Abstract
Background: Physical frailty is a prevalent and clinically important manifestation of COPD. While the ERS/ATS recommends the Short Physical Performance Battery (SPPB), handgrip strength (HGS), 30 s sit-to-stand (30secSTS), and Timed-Up-and-Go (TUG) as frailty screening tools, their agreement and predictive performance remain unclear. [...] Read more.
Background: Physical frailty is a prevalent and clinically important manifestation of COPD. While the ERS/ATS recommends the Short Physical Performance Battery (SPPB), handgrip strength (HGS), 30 s sit-to-stand (30secSTS), and Timed-Up-and-Go (TUG) as frailty screening tools, their agreement and predictive performance remain unclear. Furthermore, the trajectory of frailty is poorly understood in patients who decline pulmonary rehabilitation (PR). Objective: To assess the prevalence of and change in physical frailty and its association with 12-month all-cause hospitalizations and mortality. Secondarily, to assess the agreement and predictive value (positive; PPV/negative; NPV) of recommended screening tests in COPD patients declining PR. Methods: In this prospective cohort study, 102 patients with COPD (61 females, mean ± SD age 70 ± 9 years, FEV1 34 ± 11%, SPPB 8.0 ± 3.2 points, CAT 19 ± 7) underwent repeated frailty assessments at baseline and after 12 months using the SPPB (reference), TUG, 30secSTS, and HGS. Results: At baseline, 39% were physically frail (SPPB ≤ 7). Frailty persisted in 86%, and 23% had died at 12 months. Baseline age-adjusted physical frailty was not statistically associated with 12-month all-cause hospitalization (OR 1.79 [0.61–5.24]) or mortality (OR 3.54 [0.95–13.16]). Agreement with SPPB was moderate for TUG (κ = 0.53) and fair for 30secSTS (κ = 0.38) and HGS (κ = 0.26), with similar findings at 12 months. TUG had the highest PPV/NPV (0.85/0.71). Conclusions: Physical frailty is prevalent and persistent in patients with severe COPD who decline PR. ERS/ATS-recommended tools showed fair to moderate agreement and predictive value. TUG was the most robust proxy, though tool selection should be guided by clinical context and purpose. Full article
(This article belongs to the Special Issue Clinical Update in Pulmonary Rehabilitation)
Show Figures

Figure 1

30 pages, 14058 KB  
Article
Effect of Imaging Range on Performance of Terahertz Coded-Aperture Imaging
by Yan Teng, Haodong Yang, Xinhong Cui, Xiaoze Li and Yanchao Shi
Sensors 2025, 25(18), 5667; https://doi.org/10.3390/s25185667 - 11 Sep 2025
Viewed by 401
Abstract
This paper reveals a counterintuitive, non-monotonic dependence of terahertz coded-aperture imaging (TCAI) performance on the imaging range. This phenomenon stems from phase-induced spatiotemporal correlations in the reference-signal matrix (RSM), governed by the wavefront phase interactions between the coded-aperture elements and scatterers on the [...] Read more.
This paper reveals a counterintuitive, non-monotonic dependence of terahertz coded-aperture imaging (TCAI) performance on the imaging range. This phenomenon stems from phase-induced spatiotemporal correlations in the reference-signal matrix (RSM), governed by the wavefront phase interactions between the coded-aperture elements and scatterers on the imaging plane. Image quality deteriorates noticeably when a specific dimensionless criterion, which is defined mathematically and physically in this work, precisely reaches integer values. Under such conditions, the relative phase difference concentrates or clusters into discrete values determined by the imaging range, leading to strong column and row correlations in RSM that compromise the spatiotemporal independence essential for high-quality reconstruction. For imaging ranges exceeding the critical threshold determined by the number of grid points along one dimension of the imaging plane, two degradation mechanisms emerge: increased correlation between RSM columns mapping to directly adjacent scatterers and phase coverage reduction in wavefront encoding. Both effects intensify as the imaging range increases, resulting in a monotonic deterioration of imaging performance. Crucially, reconstruction fails primarily when strong correlations involve dominant scatterers, whereas correlations among non-dominant (dummy) scatterers have a negligible impact. The Two-step Iterative Shrinkage/Thresholding (TwIST) algorithm demonstrates superior robustness under these challenging conditions compared to some other conventional methods. These insights provide practical guidance for optimizing TCAI system design and operational range selection to avoid performance degradation zones. Full article
(This article belongs to the Section Sensing and Imaging)
Show Figures

Figure 1

Back to TopTop