Sign in to use this feature.

Years

Between: -

Subjects

remove_circle_outline
remove_circle_outline
remove_circle_outline
remove_circle_outline
remove_circle_outline
remove_circle_outline
remove_circle_outline

Journals

Article Types

Countries / Regions

Search Results (185)

Search Parameters:
Keywords = red blood cell distribution width

Order results
Result details
Results per page
Select all
Export citation of selected articles as:
12 pages, 1694 KB  
Article
Preoperative Systemic Inflammatory Marker Profile in Surgically Treated Intradural Spinal Tumors: A Retrospective Cohort Study
by Muhammet Kırkgeçit, Hasan Türkoğlu, Muharrem Furkan Yüzbaşı, Emrullah Cem Kesilmez, Fırat Yıldız, Yusuf Aslan, Şahin Kırmızıgöz and Kasım Zafer Yüksel
Medicina 2026, 62(5), 950; https://doi.org/10.3390/medicina62050950 (registering DOI) - 13 May 2026
Viewed by 149
Abstract
Background and Objectives: We aimed to determine whether preoperative systemic inflammatory markers derived from complete blood count differ between patients with intradural spinal tumors and healthy controls, and whether any such difference varies by pathological subtype or motor deficit status. Materials and [...] Read more.
Background and Objectives: We aimed to determine whether preoperative systemic inflammatory markers derived from complete blood count differ between patients with intradural spinal tumors and healthy controls, and whether any such difference varies by pathological subtype or motor deficit status. Materials and Methods: Sixty-four patients who underwent surgery for histopathologically confirmed intradural spinal tumors between 2015 and 2023 were enrolled alongside 64 age- and sex-matched healthy controls. The neutrophil-to-lymphocyte ratio (NLR), platelet-to-lymphocyte ratio (PLR), lymphocyte-to-monocyte ratio (LMR), systemic immune-inflammation index (SII), pan-immune-inflammation value (PIV), and red cell distribution width (RDW) were calculated from preoperative complete blood count results. Comparisons were performed at the patient–control level and stratified by pathological diagnosis (meningioma, schwannoma, ependymoma, other) and motor deficit status. Results: NLR (median 2.47 vs. 2.06; p < 0.001), PLR (157.1 vs. 121.0; p < 0.001), SII (706.1 vs. 595.0; p = 0.003), and PIV (404.2 vs. 287.0; p < 0.001) were all significantly elevated in the tumor group, while LMR was significantly lower (3.66 vs. 4.34; p < 0.001). RDW did not differ between groups (p = 0.420). Stratification by pathological subgroup and motor deficit status revealed no significant differences in any marker. Conclusion: Intradural spinal tumors—including the predominantly benign cases that made up most of this cohort—are accompanied by a detectable preoperative shift in systemic inflammatory markers, one that appears independent of tumor histology and neurological presentation. These findings demonstrate a measurable systemic inflammatory response in patients with intradural spinal tumors. However, the absence of differences across pathological subtypes and motor deficit status suggests that these markers reflect a generalized host response rather than tumor-specific characteristics, and their role in clinical decision-making remains to be clarified. Full article
(This article belongs to the Section Neurology)
Show Figures

Figure 1

21 pages, 523 KB  
Article
Alterations in Erythrocyte and Platelet Characteristics Are Poor Indicators of Metastasis in Dogs with Carcinoma or Sarcoma: A Preliminary Study
by Adriana A. Mulder, Amelia Goddard and Paolo Pazzi
Vet. Sci. 2026, 13(5), 465; https://doi.org/10.3390/vetsci13050465 - 11 May 2026
Viewed by 252
Abstract
Cancer is a leading cause of death in humans and dogs. Several erythrocyte and platelet characteristics (indices and morphology) have shown promise as indicators of metastasis in humans. Similar studies have not been performed in dogs. This study evaluated erythrocyte and platelet characteristics [...] Read more.
Cancer is a leading cause of death in humans and dogs. Several erythrocyte and platelet characteristics (indices and morphology) have shown promise as indicators of metastasis in humans. Similar studies have not been performed in dogs. This study evaluated erythrocyte and platelet characteristics measured on the Advia 2120i in 59 tumor-bearing dogs with carcinoma or sarcoma. Tumor-bearing dogs with and without intracavitary hemorrhage that underwent complete post-mortem and histopathology examinations were compared to healthy age-controlled dogs. Carcinoma- and sarcoma-bearing dogs without hemorrhage were compared. All tumor-bearing dogs without hemorrhage or metastasis were compared to those with metastasis, and characteristics were evaluated as indicators of metastasis. Tumor-bearing dogs without intracavitary hemorrhage (n = 49) had decreased hematocrit (p = 0.002) and reticulocyte hemoglobin content (p = 0.022), and increase in anisocytosis (p = 0.002), polychromasia (p = 0.002), macrocytosis (p = 0.032), codocytes (p = 0.022), absolute reticulocyte count (p = 0.035), platelet concentration (p = 0.002), plateletcrit (p = 0.022), and platelet volume distribution width (p = 0.022) compared to healthy dogs (n = 20). In tumor-bearing dogs with intracavitary hemorrhage (n = 10), additional significant differences were reflective of acute hemorrhage. No difference in characteristics between carcinoma- and sarcoma-bearing dogs without hemorrhage was identified. After correction for multiple comparisons, no differences in erythrocyte or platelet characteristics were identified between tumor-bearing dogs without intracavitary hemorrhage and metastasis and those without metastasis. Significant differences in characteristics exist between tumor-bearing dogs and healthy dogs. Based on the limited number of dogs in this preliminary study, no red blood cell or platelet characteristics were associated with metastatic disease in tumor-bearing dogs without hemorrhage. Full article
Show Figures

Figure 1

17 pages, 570 KB  
Review
Risk Stratification in Pulmonary Embolism: The Expanding Role of Biomarkers
by Cyrus Moini, Piseth Lay, Sebastien Jochmans, Fidele Azandjo, Nassima El Karroumi, Anne-Laure Bouilland and El Mahdi Hafiani
Biomedicines 2026, 14(5), 1046; https://doi.org/10.3390/biomedicines14051046 - 4 May 2026
Viewed by 850
Abstract
Pulmonary embolism (PE) remains a frequent and potentially fatal condition, with early mortality largely driven by (RV) failure and hemodynamic collapse. Rapid and accurate prognostic assessment is therefore central to management. Current European Society of Cardiology (ESC) strategies rely first on hemodynamic status [...] Read more.
Pulmonary embolism (PE) remains a frequent and potentially fatal condition, with early mortality largely driven by (RV) failure and hemodynamic collapse. Rapid and accurate prognostic assessment is therefore central to management. Current European Society of Cardiology (ESC) strategies rely first on hemodynamic status to identify high-risk patients requiring urgent reperfusion consideration, and then—when patients are normotensive—on a stepwise approach combining clinical risk scores, RV imaging, and circulating biomarkers. Clinical tools such as HESTIA and the Pulmonary Embolism Severity Index (PESI)/simplified PESI (sPESI) enable early identification of low-risk patients suitable for outpatient pathways and stratify 30-day mortality risk, but do not integrate biological data. Consequently, biomarkers have an expanding role in refining prognosis, particularly within the heterogeneous intermediate-risk group. This review provides a practical overview of established and emerging biomarkers for PE risk stratification. Conventional cardiac biomarkers—troponins and natriuretic peptides (BNP/NT-proBNP)—reflect RV myocardial injury and strain and, when combined with imaging evidence of RV dysfunction, allow discrimination between intermediate–low- and intermediate–high-risk PE, guiding monitoring intensity and escalation strategies. D-dimer, while essential in diagnostic algorithms because of its high negative predictive value, has only an adjunctive and indirect prognostic role. Beyond these markers, growing evidence supports additional biomarkers capturing complementary pathways: neurohormonal stress (copeptin), early myocardial injury (H-FABP), inflammation and hypoxia (GDF-15), tissue hypoperfusion (lactate), and molecular regulation (circulating microRNAs). Readily available inflammatory indices derived from blood counts (NLR, PLR, LMR), red cell distribution width, and hs-CRP may further contribute within multimarker models, although specificity and validation remain limitations. Future directions include multimodal and omics-driven biomarker profiling integrated with advanced imaging to enable more precise, dynamic, and personalized PE care, from acute risk prediction to long-term follow-up and prevention of chronic thromboembolic complications. Full article
(This article belongs to the Section Molecular and Translational Medicine)
Show Figures

Figure 1

12 pages, 253 KB  
Article
Molecular Spectrum of α-Thalassemia Mutations in Antalya, Türkiye and Their Relationship with Hematological Parameters
by Özgür Erkal and Barış Paksoy
Genes 2026, 17(5), 543; https://doi.org/10.3390/genes17050543 - 2 May 2026
Viewed by 271
Abstract
Background: Alpha-thalassemia is one of the most common hereditary hemoglobin disorders worldwide and is caused mainly by deletions in the α-globin gene cluster. Understanding the regional mutation spectrum is important for screening programs and genetic counseling. Methods: This retrospective study included 115 patients [...] Read more.
Background: Alpha-thalassemia is one of the most common hereditary hemoglobin disorders worldwide and is caused mainly by deletions in the α-globin gene cluster. Understanding the regional mutation spectrum is important for screening programs and genetic counseling. Methods: This retrospective study included 115 patients evaluated for suspected alpha-thalassemia in Antalya, Türkiye. Molecular analysis was performed using multiplex ligation-dependent probe amplification (MLPA) to detect deletions and duplications in the α-globin gene cluster. Hematological parameters and hemoglobin (Hb) fractions were analyzed and compared among mutation groups. Results: The most frequent mutation detected was the −α3.7 deletion followed by the (−α)20.5 deletion. Patients with compound heterozygous deletions demonstrated lower Hb, mean corpuscular volume (MCV), and mean corpuscular hemoglobin (MCH) values compared with other groups. Significant correlations were observed between Hb levels and red blood cell (RBC), MCV, and MCH, while red cell distribution width (RDW) showed an inverse relationship. Conclusions: The results demonstrate that −α3.7 and (−α)20.5 are the predominant α-globin gene variants in the Antalya region. These findings contribute to the characterization of the α-thalassemia mutation spectrum in a clinical cohort and may help improve carrier screening strategies, prenatal diagnosis programs, and genetic counseling services. Full article
(This article belongs to the Section Human Genomics and Genetic Diseases)
10 pages, 847 KB  
Article
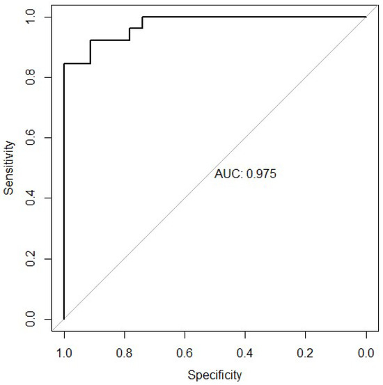
RDW-to-Albumin Ratio as a Simple Biomarker for Early Mortality Risk After LVAD Implantation
by İbrahim Demir, Bilge Ecemiş, Ayşe Zorba, Selinsu Güleşce, Yahya Yıldız, İbrahim Oğuz Karaca and Korhan Erkanlı
Medicina 2026, 62(5), 853; https://doi.org/10.3390/medicina62050853 - 30 Apr 2026
Viewed by 289
Abstract
Background and Objectives: Early risk stratification remains challenging in patients undergoing left ventricular assist device (LVAD) implantation. Red cell distribution width (RDW) and serum albumin reflect systemic stress and nutritional reserve; their ratio (RDW-to-albumin ratio, RAR) may provide a simple preoperative index. We [...] Read more.
Background and Objectives: Early risk stratification remains challenging in patients undergoing left ventricular assist device (LVAD) implantation. Red cell distribution width (RDW) and serum albumin reflect systemic stress and nutritional reserve; their ratio (RDW-to-albumin ratio, RAR) may provide a simple preoperative index. We evaluated whether preoperative RAR is associated with early mortality after LVAD implantation. Materials and Methods: We conducted a retrospective cohort study of LVAD recipients (2019–2025). RAR was calculated as RDW (%) divided by albumin (g/dL) from preoperative blood tests obtained 24–48 h before surgery. The primary endpoint was in-hospital mortality. The secondary endpoint was 90-day survival. In-hospital mortality was analyzed using logistic regression with parsimonious adjustment for INTERMACS high-risk status (profiles 1–2 vs. 3–7); penalized regression was used to reduce small-sample bias. Discrimination was assessed using receiver operating characteristic (ROC) analysis. Ninety-day survival was evaluated using Cox proportional hazards models. Results: Forty-seven patients were included (37 survivors; 10 in-hospital deaths). Higher RAR was associated with increased odds of in-hospital mortality and remained significant after adjustment for INTERMACS high-risk status (OR 1.68, 95% CI 1.04–2.90). INTERMACS high-risk status was strongly associated with in-hospital mortality (OR 17.89, 95% CI 3.19–138.07). RAR demonstrated good discrimination for in-hospital mortality (AUC 0.801, 95% CI 0.648–0.955). For 90-day survival, RAR showed a borderline association in unadjusted analysis (HR 1.28, 95% CI 0.98–1.68) and was not significant after adjustment (HR 1.20, 95% CI 0.89–1.63). Conclusions: In this small single-center cohort, preoperative RAR was independently associated with in-hospital mortality after LVAD implantation. These findings should be considered hypothesis-generating and require external validation. Full article
(This article belongs to the Special Issue New Insights into Heart Failure Management and Treatment)
Show Figures

Figure 1

19 pages, 714 KB  
Article
Red Blood Cell Distribution Width and Neutrophil-to-Lymphocyte Ratio as Markers of Cardiovascular Disease and Vascular Calcification in Chronic Kidney Disease: A Large Cohort Study
by Anastasios Zagaliotis, Athanasios Roumeliotis, Stefanos Roumeliotis, Ioannis E. Neofytou, Garyfallia Varouktsi, Eirini Leptokaridou-Mourtzila, Aikaterini Stamou, Vasiliki Sgouropoulou, Gordana Kocic, Andrej Veljkovic, Rudolf Bittner, Willi Jahnen-Dechent, Leon J. Schurgers and Vassilios Liakopoulos
Metabolites 2026, 16(4), 280; https://doi.org/10.3390/metabo16040280 - 20 Apr 2026
Viewed by 560
Abstract
Background/Objectives: Cardiovascular disease (CVD) in chronic kidney disease (CKD) arises from a multifaceted interplay of pathophysiological processes, including chronic inflammation, oxidative stress (OS), and accelerated vascular calcification (VC). Red blood cell distribution width (RDW) and the neutrophil-to-lymphocyte ratio (NLR) have emerged as simple, [...] Read more.
Background/Objectives: Cardiovascular disease (CVD) in chronic kidney disease (CKD) arises from a multifaceted interplay of pathophysiological processes, including chronic inflammation, oxidative stress (OS), and accelerated vascular calcification (VC). Red blood cell distribution width (RDW) and the neutrophil-to-lymphocyte ratio (NLR) have emerged as simple, inexpensive, and readily available hematological indices that may capture these underlying disturbances. As such, they hold promise as accessible biomarkers for stratifying cardiovascular risk in patients with CKD. Methods: This cross-sectional study enrolled 497 patients, comprising 477 with CKD across all stages and 20 controls. We evaluated the associations of RDW and NLR with both traditional and non-traditional cardiovascular risk factors, as well as with serum calcification propensity (T50). Spearman’s correlation and multivariable regression analysis were used to assess these relationships. Results: Both RDW and NLR were significantly elevated in patients with established CVD (p < 0.001 for both) and demonstrated a progressive increase across advancing CKD stages (p < 0.001). RDW and NLR showed positive correlations with age, CVD duration, urea, phosphorus, parathormone, CRP, FG23, and mean carotid intima–media thickness (cIMT), while exhibiting inverse correlations with eGFR, serum albumin, hemoglobin, lipids, antioxidants such as superoxide dismutase, fetuin-A, and T50. Additionally, NLR correlated positively with the duration of hypertension and diabetes, as well as with albuminuria. Quartile analysis revealed a stepwise decline in T50 across increasing categories of RDW and NLR, supporting the link with impaired calcification defense. In multivariable analysis, T50 independently predicted NLR (β = −0.013; p = 0.018), whereas total cholesterol (β = −0.011; p = 0.019) and cIMT (β = 0.38; p = 0.018) emerged as independent determinants of RDW. Conclusions: RDW and NLR strongly reflect the burden of inflammation, metabolic disturbance, and vascular dysfunction in patients across the CKD spectrum. The consistent associations with impaired calcification defense and with established cardiovascular risk markers underscore the potential value as accessible indicators of cardiovascular vulnerability in CKD. These findings support incorporating RDW and NLR into routine risk assessment and highlight T50 as a mechanistically relevant determinant of hematologic inflammation profiles. Full article
(This article belongs to the Section Endocrinology and Clinical Metabolic Research)
Show Figures

Figure 1

10 pages, 1197 KB  
Article
Leukocytosis at Presentation Is an Independent Predictor for Hemorrhage in Cerebral Cavernoma
by Harun Asoglu, Tim Lampmann, Johannes Wach, Mohammed Banat, Marcus Thudium, Hartmut Vatter, Erdem Güresir and Motaz Hamed
Diagnostics 2026, 16(8), 1214; https://doi.org/10.3390/diagnostics16081214 - 18 Apr 2026
Viewed by 317
Abstract
Objective: Cerebral cavernous malformations (CCMs) are usually occult but can present with a symptomatic hemorrhage. Treatment recommendations for CCMs are still controversially discussed, as all CCMs have signs of chronic hemorrhage. The distinction of acute hemorrhage can be difficult, especially when patients [...] Read more.
Objective: Cerebral cavernous malformations (CCMs) are usually occult but can present with a symptomatic hemorrhage. Treatment recommendations for CCMs are still controversially discussed, as all CCMs have signs of chronic hemorrhage. The distinction of acute hemorrhage can be difficult, especially when patients only present with mild symptoms. Because of emerging evidence supporting inflammatory burden as a main avenue in the disease pathogenesis of CCMs, the aim of the present study was to investigate routine inflammatory parameters to support decision-making in ambiguous cases. Methods: A total of 87 patients who underwent CCM resection at the authors’ institution between 2008 and 2021 were included in this study. Data were recorded retrospectively. Patients were dichotomized into two groups: those with acute hemorrhage and those without, as a control group (e.g., resection for seizure control). Inflammatory parameters included C-reactive Protein (CrP), White Blood Cell Count (WBC), Red Cell Distribution Width (RDW), and Mean Platelet Volume/Platelet Count Ratio (MPV/PC). Results: The receiver operating characteristic curve demonstrated moderate diagnostic accuracy for predicting acute hemorrhage from CCM based on WBC at admission (AUC: 0.74, 95%-CI: 0.63–0.84) with a cut-off of ≥6.595 G/L. The multivariable analysis confirmed that having a WBC > 6.595 G/L is an independent predictor for acute hemorrhage of CCM (adjusted odds ratio: 4.5, 95%-CI: 1.8–11.2, p < 0.001). Conclusions: A white blood cell count >6.595 G/L was significantly associated with acute hemorrhage in CCMs and appears to be a quick-to-use biomarker in controversial cases. Moreover, leukocytosis emphasizes the involvement of neuroinflammation in acute hemorrhage of CCM. Further investigations are needed to analyze the precise role of inflammation in CCM pathogenesis and its impact on treatment strategies. Full article
Show Figures

Figure 1

10 pages, 382 KB  
Article
Diagnostic Performance of Blood-Based Inflammatory Indices, Including a Novel Composite Score, for Estimating Fecal Calprotectin Levels in Pediatric Inflammatory Bowel Disease
by Abdulkerim Elmas and Mustafa Akçam
J. Clin. Med. 2026, 15(8), 3046; https://doi.org/10.3390/jcm15083046 - 16 Apr 2026
Viewed by 360
Abstract
Objectives: To evaluate the association between fecal calprotectin (FC) levels and routinely available blood-based inflammatory indices measured during the same clinical episode in pediatric patients, as well as to assess the diagnostic performance of a novel composite parameter, the Gastrointestinal Inflammation Index (GII). [...] Read more.
Objectives: To evaluate the association between fecal calprotectin (FC) levels and routinely available blood-based inflammatory indices measured during the same clinical episode in pediatric patients, as well as to assess the diagnostic performance of a novel composite parameter, the Gastrointestinal Inflammation Index (GII). Methods: This retrospective cross-sectional study included pediatric patients who underwent simultaneous testing for FC, complete blood count, C-reactive protein, and albumin between 2022 and 2025. Hematological inflammatory indices, including neutrophil-to-lymphocyte ratio (NLR), platelet-to-lymphocyte ratio (PLR), red cell distribution width (RDW), platelet mass index (PMI), systemic immune-inflammation index (SII), and the newly developed GII, were calculated. Correlations between FC and inflammatory indices were analyzed. Receiver operating characteristic (ROC) curve analysis was performed to evaluate diagnostic performance, and multivariate logistic regression was used to identify independent predictors of FC positivity. Results: Elevated FC levels were significantly associated with higher C-reactive protein levels, lower albumin concentrations, and increased values of RDW, PMI, SII, and GII (all p < 0.001). GII scores increased progressively across FC categories. In ROC analysis, GII demonstrated the highest discriminatory ability for predicting FC positivity (AUC = 0.660), followed by SII and PMI. In multivariate logistic regression analysis, only NLR remained an independent predictor of FC positivity (OR = 0.65, 95% CI: 0.44–0.97; p = 0.033). Conclusions: Blood-based inflammatory indices show significant associations with fecal calprotectin levels in pediatric inflammatory bowel disease. The novel GII may reflect the integrated systemic inflammatory burden related to intestinal involvement, while NLR appears to be a robust and practical independent marker. These indices may serve as adjunctive, rapid, and cost-effective supportive tools in clinical decision-making, although their moderate diagnostic performance limits their use as standalone screening markers. Full article
(This article belongs to the Section Gastroenterology & Hepatopancreatobiliary Medicine)
Show Figures

Figure 1

16 pages, 2545 KB  
Article
Elevated Red Blood Cell Distribution Width Predicts Mortality and Major Adverse Cardiovascular Events After Acute Myocardial Infarction: A Large Propensity Score-Matched Cohort Study
by Kuan-Chung Ting, Chi-Jiang Liao, Chun Lee and Ming-Jen Tsai
J. Clin. Med. 2026, 15(6), 2432; https://doi.org/10.3390/jcm15062432 - 22 Mar 2026
Viewed by 612
Abstract
Background: Red blood cell distribution width (RDW) is an accessible prognostic biomarker in cardiovascular disease, but its independent association with clinical outcomes in patients with acute myocardial infarction (AMI) undergoing percutaneous coronary intervention (PCI) remains incompletely characterized, particularly regarding its prognostic value [...] Read more.
Background: Red blood cell distribution width (RDW) is an accessible prognostic biomarker in cardiovascular disease, but its independent association with clinical outcomes in patients with acute myocardial infarction (AMI) undergoing percutaneous coronary intervention (PCI) remains incompletely characterized, particularly regarding its prognostic value independent of anemia status. Methods: Using the TriNetX US Collaborative Network (70 healthcare organizations; >105 million patients), we identified 84,811 adult AMI patients who underwent PCI between January 2019 and December 2023 and had RDW measured on the index date. Patients were stratified by RDW ≥ 13.5% (high) versus <13.5% (low) and matched 1:1 using propensity scores based on 38 baseline characteristics. The primary outcome was 1-year all-cause mortality, assessed using a 30-day landmark approach. Secondary outcomes included major adverse cardiovascular events (MACE), heart failure, cardiogenic shock, recurrent AMI, cerebrovascular accident, ventricular tachycardia/fibrillation, and cardiac arrhythmia. Results: After matching (32,010 pairs), high RDW was significantly associated with increased 1-year all-cause mortality (HR 1.77, 95% CI 1.62–1.93, p < 0.001). High RDW was also associated with greater risks of MACE (HR 1.12), heart failure (HR 1.24), cardiogenic shock (HR 1.26), recurrent AMI (HR 1.11), cerebrovascular accident (HR 1.16), and cardiac arrhythmia (HR 1.14; all p < 0.01). Findings remained consistent across serial sensitivity analyses and subgroup analyses. Among non-anemic patients, high RDW remained strongly associated with mortality (HR 1.67, 95% CI 1.50–1.85, p < 0.001). Conclusions: Elevated RDW at the time of AMI is independently associated with mortality and adverse cardiovascular outcomes after PCI, including among non-anemic patients. RDW may serve as a readily available tool to support early risk stratification in this population. Full article
(This article belongs to the Section Cardiology)
Show Figures

Figure 1

11 pages, 694 KB  
Article
Prognostic Value of Red Blood Cell Distribution Width in Predicting Acute Kidney Injury After Cardiac Surgery: A Retrospective Cohort Study
by Daniele Marianello, Antonella Puddu, Cesare Biuzzi, Alberto Fogagnolo, Savino Spadaro, Lucrezia Galasso, Alessandra Cartocci, Francesco Lorenzo De Matteis, Sandro Sponga, Fabio Silvio Taccone, Sabino Scolletta and Federico Franchi
J. Clin. Med. 2026, 15(6), 2403; https://doi.org/10.3390/jcm15062403 - 21 Mar 2026
Cited by 1 | Viewed by 447
Abstract
Background/Objectives: Acute kidney injury (AKI) remains a significant complication following cardiac surgery, associated with increased morbidity and mortality. The early detection of AKI is limited by the cost, availability, and unclear clinical utility of the current biomarkers. This study aimed to evaluate [...] Read more.
Background/Objectives: Acute kidney injury (AKI) remains a significant complication following cardiac surgery, associated with increased morbidity and mortality. The early detection of AKI is limited by the cost, availability, and unclear clinical utility of the current biomarkers. This study aimed to evaluate the red cell distribution width (RDW) on ICU admission as a predictor of postoperative AKI. Methods: We conducted a retrospective analysis of adult patients undergoing isolated coronary artery bypass grafting (CABG) or combined CABG and aortic valve surgery at a tertiary cardiac surgery centre (University Hospital of Siena, Italy) between January 2015 and December 2020. AKI was defined according to the KDIGO criteria. The RDW was measured preoperatively (T0), at ICU admission (T1), and at 24 (T2) and 48 h (T3) postoperatively. Temporal RDW changes (ΔRDW) were also calculated. Multivariate logistic regression identified independent predictors of AKI, and receiver operating characteristic (ROC) analysis evaluated the predictive accuracy. Results: A total of 456 patients were included, with an overall AKI incidence of 31%. Patients developing AKI exhibited significantly higher RDW at all measured time points, especially at ICU admission. Multivariate analysis identified age, RDW (OR 1.19, 95% CI: 1.03–1.37, p = 0.016) and serum creatinine at ICU admission, and elevated lactate at T2 as independent AKI predictors. In subgroup analyses, RDW at ICU admission remained significantly associated with AKI in patients who were not transfused, but not in patients who were. Conclusions: In this study, a high RDW at ICU admission represented an early postoperative marker independently associated with AKI after cardiac surgery, particularly in patients who did not receive transfusion. Full article
(This article belongs to the Section Cardiovascular Medicine)
Show Figures

Figure 1

16 pages, 277 KB  
Article
Inflammatory and Metabolic Blood Parameters Associated with Aggression, Impulsivity, and Suicide Risk Among Male Patients with Antisocial Personality Disorder in a Forensic Psychiatry Unit in Turkey: A Cross-Sectional Comparative Study
by Berçem Afşar Karatepe and Gülay Tasci
Diagnostics 2026, 16(6), 831; https://doi.org/10.3390/diagnostics16060831 - 11 Mar 2026
Viewed by 720
Abstract
Background/Objectives: Antisocial personality disorder (ASPD) is strongly associated with violence, substance use, criminal behavior, and elevated suicide risk. Although inflammatory and metabolic dysregulation have been implicated in severe psychiatric disorders, the biological correlates of impulsivity, aggression, and suicide risk in forensic ASPD populations [...] Read more.
Background/Objectives: Antisocial personality disorder (ASPD) is strongly associated with violence, substance use, criminal behavior, and elevated suicide risk. Although inflammatory and metabolic dysregulation have been implicated in severe psychiatric disorders, the biological correlates of impulsivity, aggression, and suicide risk in forensic ASPD populations remain unclear. This study aimed to investigate whether routine hematological, inflammatory, and metabolic parameters are associated with these clinical features. Methods: This cross-sectional study included 57 male individuals diagnosed with antisocial personality disorder (ASPD) who had committed crimes and were referred to the Forensic Psychiatry Department of Elazığ Fethi Sekin City Hospital in Turkey by the court, and 56 age-matched healthy controls. Participants completed standardized assessments of impulsivity (BIS-11), aggression (BPAQ), and suicide probability (SPS). Hematological indices, inflammatory markers, and routine biochemical parameters were analyzed. Group comparisons, correlation analyses, and multivariable logistic regression were performed. Results: Compared with age-matched controls, individuals with ASPD showed markedly higher impulsivity, aggression, and suicide probability, alongside substantially higher rates of substance use, imprisonment history, and suicide attempts (all p < 0.001). Hematological and inflammatory analyses revealed lower red blood cell (RBC) counts and elevated mean corpuscular volume (MCV), red cell distribution width (RDW), C-reactive protein (CRP), neutrophil-to-lymphocyte ratio (NLR), and CRP–albumin ratio (CAR) in the ASPD group (all p < 0.05). Biochemical profiling showed reduced glucose, total protein, albumin, HDL, ALT, and vitamin B12 levels, with increased uric acid levels in ASPD (p < 0.05). Multivariable analysis indicated that being married and having higher education were protective against ASPD, whereas higher uric acid and CAR levels were associated with increased risk. Conclusions: The findings indicate that criminal offenders with ASPD show increased inflammatory markers and altered hematological and biochemical profiles. Routine blood parameters, combined with psychometric assessments, may help identify individuals at higher behavioral risk and support early risk stratification in forensic psychiatric settings, although causal relationships cannot be inferred from this cross-sectional study. Full article
(This article belongs to the Special Issue Advances in Mental Health Diagnosis and Screening, 2nd Edition)
13 pages, 878 KB  
Article
Retrospective Analysis of Hematological Parameter Changes in DMARD-Naive Rheumatoid Arthritis Patients Treated with Methotrexate: Correlation with Disease Activity and Treatment Outcomes
by Esra Dilsat Imrak and İlknur Aktas
Biomedicines 2026, 14(3), 625; https://doi.org/10.3390/biomedicines14030625 - 11 Mar 2026
Viewed by 507
Abstract
Background/Aim: This study aimed to evaluate the changes in hematological indices following methotrexate (MTX) initiation and assess their correlation with and predictive value for treatment responses in rheumatoid arthritis (RA) patients. Methods: A retrospective study was conducted on 299 DMARD-naïve RA patients who [...] Read more.
Background/Aim: This study aimed to evaluate the changes in hematological indices following methotrexate (MTX) initiation and assess their correlation with and predictive value for treatment responses in rheumatoid arthritis (RA) patients. Methods: A retrospective study was conducted on 299 DMARD-naïve RA patients who received MTX monotherapy for 12 weeks. Univariate and multivariate logistic regression identified predictors of remission and low disease activity. Correlation analyses assessed relationships between hematological and disease activity changes. Receiver operating characteristic (ROC) curve analysis evaluated the discriminatory ability of hematological parameters. Results: After 12 weeks of MTX, significant decreases were observed in white blood cell (p = 0.025), neutrophil (p = 0.026), hemoglobin (p = 0.001), and platelet counts (p < 0.001), alongside an increase in red cell distribution width (RDW) (p < 0.001). Multivariate analysis identified only baseline DAS28-CRP (OR: 9826.7, p < 0.001) and CRP (OR: 0.45, p = 0.005) as independent predictors for remission, and baseline swollen joint count, DAS28-CRP, and CRP for LDA. Hematological parameters were not independent predictors. ROC analysis revealed neither baseline values nor changes in hematological indices had satisfactory discriminatory power for remission or LDA. Conclusions: Hematological parameter changes do not serve as robust independent predictors for early treatment response. Clinical disease activity indices remain superior for prognostication in DMARD-naïve patients starting MTX. Full article
(This article belongs to the Section Endocrinology and Metabolism Research)
Show Figures

Figure 1

15 pages, 576 KB  
Article
Small Intestinal Bacterial Overgrowth and Systemic Laboratory Parameters: A Multivariable Cross-Sectional Analysis
by Monika Waśkow, Krzysztof S. Malinowski, Magdalena Tańska, Sebastian Glowinski and Magdalena Wszędybył-Winklewska
Nutrients 2026, 18(5), 859; https://doi.org/10.3390/nu18050859 - 6 Mar 2026
Viewed by 575
Abstract
Background: Small intestinal bacterial overgrowth (SIBO) has been linked to systemic inflammation and vitamin D deficiency, but its independent clinical relevance remains uncertain. Methods: In this cross-sectional study, 162 adults undergoing hydrogen breath testing were evaluated. Serum 25-hydroxyvitamin D [25(OH)D], leukocyte [...] Read more.
Background: Small intestinal bacterial overgrowth (SIBO) has been linked to systemic inflammation and vitamin D deficiency, but its independent clinical relevance remains uncertain. Methods: In this cross-sectional study, 162 adults undergoing hydrogen breath testing were evaluated. Serum 25-hydroxyvitamin D [25(OH)D], leukocyte count, red blood cell distribution width—standard deviation (RDW-SD), and C-reactive protein were analyzed. Associations were assessed using unadjusted comparisons and multivariable regression models adjusted for age, sex, and BMI. Hydrogen increment was additionally examined as a continuous variable. Results: In unadjusted analyses, SIBO-positive individuals had lower 25(OH)D levels and higher leukocyte counts. However, after adjustment for age, sex, and BMI, SIBO status was not independently associated with 25(OH)D, leukocyte count, or RDW-SD. BMI was independently associated with leukocyte count, and age with RDW-SD. Hydrogen increment was not correlated with laboratory parameters. Conclusions: SIBO was not independently associated with vitamin D status or systemic hematological markers. Host-related factors, particularly BMI and age, appeared to have a greater influence on laboratory variability than SIBO. Full article
(This article belongs to the Section Nutritional Immunology)
Show Figures

Figure 1

15 pages, 1503 KB  
Article
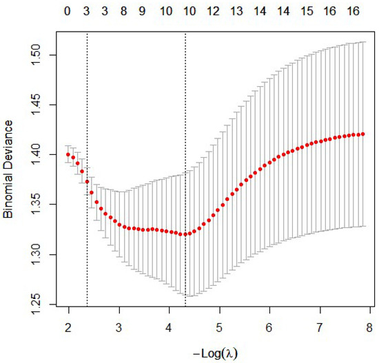
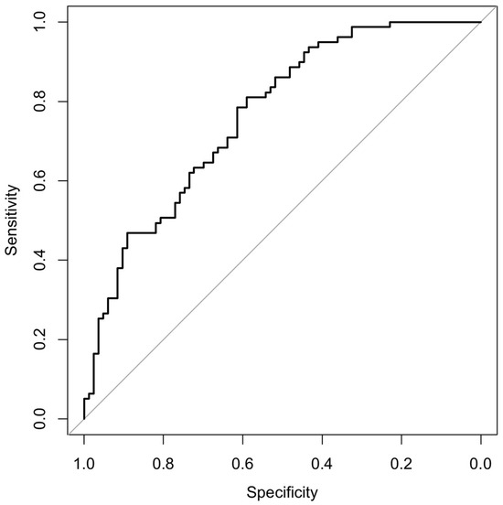
Hematological Indices as Potential Biomarkers of Disease Activity in Ankylosing Spondylitis: LASSO-Based Multivariable Modelling
by Sema Kaymaz-Tahra, Cansın Taşkın and Alpaslan Tanoglu
Medicina 2026, 62(3), 497; https://doi.org/10.3390/medicina62030497 - 6 Mar 2026
Viewed by 523
Abstract
Background and Objectives: Reliable laboratory markers that accurately reflect disease activity in ankylosing spondylitis (AS) are limited. Conventional acute-phase reactants do not consistently correlate with clinical activity. Composite hematological indices derived from complete blood count may better capture systemic inflammatory burden. In [...] Read more.
Background and Objectives: Reliable laboratory markers that accurately reflect disease activity in ankylosing spondylitis (AS) are limited. Conventional acute-phase reactants do not consistently correlate with clinical activity. Composite hematological indices derived from complete blood count may better capture systemic inflammatory burden. In this study, we aimed to investigate hematologic parameters in AS and to assess their relationships with disease activity. Materials and Methods: This retrospective observational study included 196 patients with AS. Disease activity was defined as a Bath Ankylosing Spondylitis Disease Activity Index (BASDAI) ≥4. Demographic variables, laboratory parameters, hematological indices, and extra-articular manifestations were evaluated. Variable selection was performed using least absolute shrinkage and selection operator (LASSO) regression with ten-fold cross-validation. Variables with non-zero coefficients were entered into a multivariable logistic regression model. Model performance was assessed using receiver operating characteristic (ROC) curve analysis. Results: Ninety-seven (49%) patients had active disease. LASSO regression identified erythrocyte sedimentation rate (ESR), white blood cell count, red cell distribution width (RDW), platelet-to-lymphocyte ratio (PLR), and selected extra-articular manifestations as relevant predictors. In multivariable logistic regression, ESR (OR 1.03, 95% CI 1.00–1.06), white blood cell count (OR 1.23, 95% CI 1.04–1.46), and PLR (OR 1.01, 95% CI 1.003–1.020) were independently associated with active disease, while RDW showed a borderline association. The model demonstrated good discriminative ability (AUC 0.77, 95% CI 0.69–0.84). Conclusions: PLR is independently associated with disease activity in ankylosing spondylitis and improves discrimination when incorporated into a multivariable model. Easily accessible hematological indices may complement traditional inflammatory markers in the assessment of disease activity in routine clinical practice. Full article
(This article belongs to the Special Issue Recent Advances in Autoimmune Rheumatic Diseases—3rd Edition)
Show Figures

Figure 1

18 pages, 1417 KB  
Article
C282Y Homozygosity Increases Erythrocyte Turnover and Decreases HbA1c—A Population-Based Study
by Rebekka Hillingsø, Alisa Devedzic Kjaergaard, Morten Kranker Larsen, Thomas Mandrup-Poulsen, Henrik Enghusen Poulsen, Mathis Mottelson, Jesper Brix Petersen, Børge Grønne Nordestgaard, Hans Carl Hasselbalch, Stig Egil Bojesen, Jens Helby, Andreas Glenthøj and Christina Ellervik
Int. J. Mol. Sci. 2026, 27(5), 2410; https://doi.org/10.3390/ijms27052410 - 5 Mar 2026
Viewed by 543
Abstract
Individuals with C282Y/C282Y in the hemochromatosis HFE gene have increased iron levels, which catalyze the formation of reactive oxygen species, and an increased risk of diabetes. These individuals may have disproportionately lower hemoglobin A1c (HbA1c) due to increased erythrocyte turnover, decreased erythrocyte counts, [...] Read more.
Individuals with C282Y/C282Y in the hemochromatosis HFE gene have increased iron levels, which catalyze the formation of reactive oxygen species, and an increased risk of diabetes. These individuals may have disproportionately lower hemoglobin A1c (HbA1c) due to increased erythrocyte turnover, decreased erythrocyte counts, and/or an increased mean corpuscular hemoglobin concentration (MCHC). In the Copenhagen General Population Study (N = 103,734) and the Danish General Suburban Population Study (GESUS, N = 20,003), we investigated the association between C282Y/C282Y (N = 399) and other HFE genotypes with erythrocyte count, MCHC, mean corpuscular volume (MCV), red cell distribution width (RDW), and high-sensitivity C-reactive protein (hsCRP). In GESUS, we additionally investigated the association with oxidative stress (by 8-oxo-7,8-dihydroguanosine and 8-oxo-7,8-dihydro-2′-deoxyguanosine), reticulocyte count, reticulocyte hemoglobin, reticulocyte percentage as a proxy for erythrocyte turnover, and HbA1c in linear regressions adjusted for age, sex, cohort, and blood donation. We investigated the mediation between HFE genotype and HbA1c. Compared to non-carriers, individuals with C282Y/C282Y had increased p-iron, transferrin saturation, ferritin, hsCRP, oxidative stress, reticulocyte counts, reticulocyte percentage (1.24% vs. 1.06%, p = 1.7 × 10−5) as a proxy for erythrocyte turnover, MCHC (344 vs. 340 g/L, p = 1.7 × 10−12), MCH, MCV, reticulocyte hemoglobin, p-glucose (5.6 vs. 5.4, p = 0.007), bilirubin, and LDH and decreased RDW, erythrocyte counts (4.49 × 1012/L vs. 4.61 × 1012/L, p = 6.1 × 10−11), estimated erythrocyte survival, and HbA1c (36 vs. 38 mmol/mol, p = 0.01). The associations were similar, although attenuated, for other HFE genotypes. The association between the HFE genotype and decreased HbA1c was partially mediated by increased transferrin saturation, MCHC, MCV, and decreased erythrocyte count, but not by hsCRP, reticulocyte count, oxidative stress, or blood donation. In conclusion, while C282Y/C282Y and other HFE genotypes increased erythrocyte turnover, the disproportionately decreased HbA1c level was explained by fewer but larger erythrocytes filled with more hemoglobin and removed earlier from circulation, thus diluting the relative concentration of intracellular glucose per hemoglobin molecule. Full article
(This article belongs to the Section Molecular Biology)
Show Figures

Graphical abstract

Back to TopTop