Sign in to use this feature.

Years

Between: -

Subjects

remove_circle_outline
remove_circle_outline
remove_circle_outline
remove_circle_outline
remove_circle_outline

Journals

Article Types

Countries / Regions

Search Results (7)

Search Parameters:
Keywords = real-time hybrid simulation (RTHS)

Order results
Result details
Results per page
Select all
Export citation of selected articles as:
23 pages, 24940 KB  
Article
Innovative Experimental Assessment of Human–Structure Interaction Effects on Footbridges with Accurate Multi-Axial Dynamic Sensitivity Using Real-Time Hybrid Simulation
by Bryan Castillo, Johannio Marulanda and Peter Thomson
Appl. Sci. 2024, 14(19), 8908; https://doi.org/10.3390/app14198908 - 3 Oct 2024
Cited by 1 | Viewed by 1922
Abstract
This study evaluates the dynamic performance of a reference footbridge under human–structure interaction (HSI) effects using real-time hybrid simulation (RTHS). The footbridge, designed with precise multi-axial dynamic sensitivity, is tested under pedestrian gait velocities of 1.20, 1.50, and 1.80 [...] Read more.
This study evaluates the dynamic performance of a reference footbridge under human–structure interaction (HSI) effects using real-time hybrid simulation (RTHS). The footbridge, designed with precise multi-axial dynamic sensitivity, is tested under pedestrian gait velocities of 1.20, 1.50, and 1.80 m·s1. The RTHS framework involves an analytical continuous model of the footbridge as a numerical substructure and real human gait loads as the experimental substructure. The results reveal significant dynamic coupling between pedestrian-induced loads and the responses of the structure. Lateral vibrations exhibit a fundamental frequency of approximately 1.0 Hz, whereas vertical vibrations peaked near 2.0 Hz. Dynamic synchronization, particularly at higher gait velocities, amplified the structural vibrations, with lateral loading increasing by up to 300% in the middle span. Vertical loads show substantial amplification and attenuation depending on gait velocity and footbridge location. Lateral accelerations display a dispersion of approximately 15.0%, whereas vertical accelerations showed higher variability, with dispersions reaching up to 20%. The RTHS technique demonstrates high fidelity and accuracy, with global errors below 2.95% and delays of less than 2.10 ms across all evaluated directions. These results emphasize the critical importance of accounting for HSI effects in the design of pedestrian footbridges because human-induced vibrations can significantly impact structural serviceability and user comfort. This study offers important insights into optimizing footbridge design to mitigate the risks of excessive vibrations and ensure both safety and functionality under typical pedestrian loads. Full article
(This article belongs to the Special Issue Advances in Foot Biomechanics and Gait Analysis)
Show Figures

Figure 1

15 pages, 65580 KB  
Article
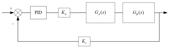
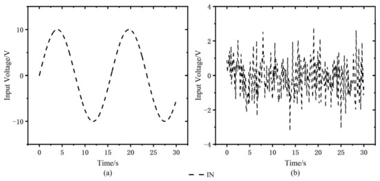
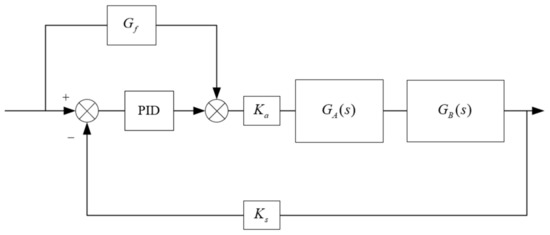
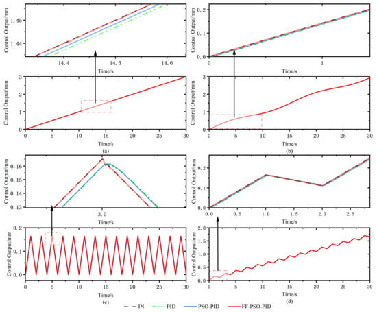
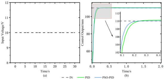
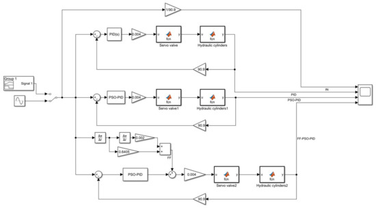
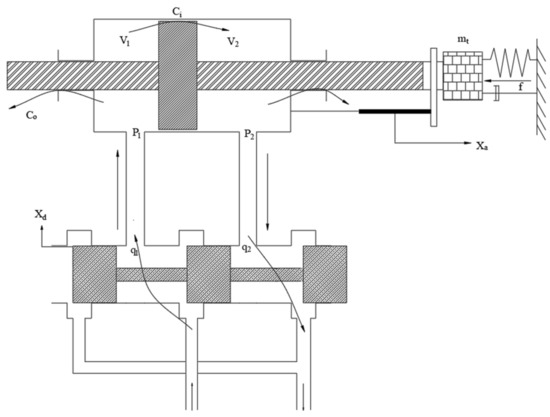
Real-Time Hybrid Test Control Research Based on Improved Electro-Hydraulic Servo Displacement Algorithm
by Yaoyu Shen, Ying-Qing Guo, Xiumei Zha and Yina Wang
Sensors 2023, 23(10), 4765; https://doi.org/10.3390/s23104765 - 15 May 2023
Cited by 6 | Viewed by 1882
Abstract
Real-time hybrid testing (RTH) is a test method for dynamic loading performance evaluation of structures, which is divided into digital simulation and physical testing, but the integration of the two may lead to problems such as time lag, large errors, and slow response [...] Read more.
Real-time hybrid testing (RTH) is a test method for dynamic loading performance evaluation of structures, which is divided into digital simulation and physical testing, but the integration of the two may lead to problems such as time lag, large errors, and slow response time. The electro-hydraulic servo displacement system, as the transmission system of the physical test structure, directly affects the operational performance of RTH. Improving the performance of the electro-hydraulic servo displacement control system has become the key to solving the problem of RTH. In this paper, the FF-PSO-PID algorithm is proposed to control the electro-hydraulic servo system in real-time hybrid testing (RTH), which uses the PSO algorithm to operate the optimized PID parameters and the feed-forward compensation algorithm to compensate the displacement. First, the mathematical model of the electro-hydraulic displacement servo system in RTH is presented and the actual parameters are determined. Then, the objective evaluation function of the PSO algorithm is proposed to optimize the PID parameters in the context of RTH operation, and a displacement feed-forward compensation algorithm is added for theoretical study. To verify the effectiveness of the method, joint simulations were performed in Matlab/Simulink to compare and test FF-PSO-PID, PSO-PID, and conventional PID (PID) under different input signals. The results show that the proposed FF-PSO-PID algorithm effectively improves the accuracy and response speed of the electro-hydraulic servo displacement system and solves the problems of RTH time lag, large error, and slow response. Full article
(This article belongs to the Section Physical Sensors)
Show Figures

Figure 1

24 pages, 4128 KB  
Article
An Adaptive and Robust Control Strategy for Real-Time Hybrid Simulation
by Hong-Wei Li, Fang Wang, Yi-Qing Ni, You-Wu Wang and Zhao-Dong Xu
Sensors 2022, 22(17), 6569; https://doi.org/10.3390/s22176569 - 31 Aug 2022
Cited by 11 | Viewed by 2232
Abstract
A real-time hybrid simulation (RTHS) is a promising technique to investigate a complicated or large-scale structure by dividing it into numerical and physical substructures and conducting cyber-physical tests on it. The control system design of an RTHS is a challenging topic due to [...] Read more.
A real-time hybrid simulation (RTHS) is a promising technique to investigate a complicated or large-scale structure by dividing it into numerical and physical substructures and conducting cyber-physical tests on it. The control system design of an RTHS is a challenging topic due to the additional feedback between the physical and numerical substructures, and the complexity of the physical control plant. This paper proposes a novel RTHS control strategy by combining the theories of adaptive control and robust control, where a reformed plant which is highly simplified compared to the physical plant can be used to design the control system without compromising the control performance. The adaptation and robustness features of the control system are realized by the bounded-gain forgetting least-squares estimator and the sliding mode controller, respectively. The control strategy is validated by investigating an RTHS benchmark problem of a nonlinear three-story steel frame The proposed control strategy could simplify the control system design and does not require a precise physical plant; thus, it is an efficient and practical option for an RTHS. Full article
Show Figures

Figure 1

19 pages, 9341 KB  
Article
Mixed Sensitivity-Based Robust H Control Method for Real-Time Hybrid Simulation
by Xizhan Ning
Symmetry 2021, 13(5), 840; https://doi.org/10.3390/sym13050840 - 10 May 2021
Cited by 9 | Viewed by 3045
Abstract
Real-time hybrid simulation (RTHS), dividing the emulated structure into numerical substructures (NS) and physical substructures (PS), is a powerful technique to obtain responses and then to assess the seismic performance of civil engineering structures. A transfer system, a servo-hydraulic actuator or shaking table, [...] Read more.
Real-time hybrid simulation (RTHS), dividing the emulated structure into numerical substructures (NS) and physical substructures (PS), is a powerful technique to obtain responses and then to assess the seismic performance of civil engineering structures. A transfer system, a servo-hydraulic actuator or shaking table, is used to apply boundary conditions between the two substructures. However, the servo-hydraulic actuator is inherently a complex system with nonlinearities and may introduce time delays into the RTHS, which will decrease the accuracy and stability of the RTHS. Moreover, there are various uncertainties in RTHS. An accurate and robust actuator control strategy is necessary to guarantee reliable simulation results. Therefore, a mixed sensitivity-based H control method was proposed for RTHS. In H control, the dynamics and robustness of the closed-loop transfer system are realized by performance weighting functions. A form of weighting function was given considering the requirement in RTHS. The influence of the weighting functions on the dynamics was investigated. Numerical simulations and actual RTHSs were carried out under symmetric and asymmetric dynamic loads, namely sinusoidal and earthquake excitation, respectively. Results indicated that the H control method used for RTHS is feasible, and it exhibits an excellent tracking performance and robustness. Full article
(This article belongs to the Special Issue Symmetry in Structural Health Monitoring)
Show Figures

Figure 1

21 pages, 11765 KB  
Article
Real-Time Hybrid Simulation with Deep Learning Computational Substructures: System Validation Using Linear Specimens
by Elif Ecem Bas and Mohamed A. Moustafa
Mach. Learn. Knowl. Extr. 2020, 2(4), 469-489; https://doi.org/10.3390/make2040026 - 23 Oct 2020
Cited by 22 | Viewed by 6433
Abstract
Hybrid simulation (HS) is an advanced simulation method that couples experimental testing and analytical modeling to better understand structural systems and individual components’ behavior under extreme events such as earthquakes. Conducting HS and real-time HS (RTHS) can be challenging with complex analytical substructures [...] Read more.
Hybrid simulation (HS) is an advanced simulation method that couples experimental testing and analytical modeling to better understand structural systems and individual components’ behavior under extreme events such as earthquakes. Conducting HS and real-time HS (RTHS) can be challenging with complex analytical substructures due to the nature of direct integration algorithms when the finite element method is employed. Thus, alternative methods such as machine learning (ML) models could help tackle these difficulties. This study aims to investigate the quality of the RTHS tests when a deep learning algorithm is used as a metamodel to represent the dynamic behavior of a nonlinear analytical substructure. The compact HS laboratory at the University of Nevada, Reno was utilized to conduct exclusive RTHS tests. Simulating a braced frame structure, the RTHS tests combined, for the first time, linear brace model specimens (physical substructure) along with nonlinear ML models for the frame (analytical substructure). Deep long short-term memory (Deep-LSTM) networks were employed and trained to develop the metamodels of the analytical substructure using the Python environment. The training dataset was obtained from pure analytical finite element simulations for the complete structure under earthquake excitation. The RTHS evaluations were first conducted for virtual RTHS tests, where substructuring was sought between the LSTM metamodel and virtual experimental substructure. To validate the proposed RTHS testing methodology and full system, several actual RTHS tests were conducted. The results from ML-based RTHS were evaluated for different ML models and compared against results from conventional RTHS with finite element models. The paper demonstrates the potential of conducting successful experimental RTHS using Deep-LSTM models, which could open the door for unparalleled new opportunities in structural systems design and assessment. Full article
(This article belongs to the Section Learning)
Show Figures

Figure 1

19 pages, 4173 KB  
Article
Kalman Filter-Based Adaptive Delay Compensation for Benchmark Problem in Real-Time Hybrid Simulation
by Xizhan Ning, Zhen Wang and Bin Wu
Appl. Sci. 2020, 10(20), 7101; https://doi.org/10.3390/app10207101 - 13 Oct 2020
Cited by 16 | Viewed by 3811
Abstract
Real-time hybrid simulation (RTHS) is a versatile, effective, and promising experimental method used to evaluate the structural performance under dynamic loads. In RTHS, the emulated structure is divided into a numerically simulated substructure (NS) and a physically tested substructure (PS), and a transfer [...] Read more.
Real-time hybrid simulation (RTHS) is a versatile, effective, and promising experimental method used to evaluate the structural performance under dynamic loads. In RTHS, the emulated structure is divided into a numerically simulated substructure (NS) and a physically tested substructure (PS), and a transfer system is used to ensure the force equilibrium and deformation compatibility between the substructures. Owing to the inherent dynamics of the PS and transfer system (referred to as a control plant in this study), there is a time-delay between the displacement command and measurement. This causes de-synchronization between the boundary of the PS and NS, and affects the stability and accuracy of the RTHS. In this study, a Kalman filter-based adaptive delay compensation (KF-ADC) method is proposed to address this issue. In this novel method, the control plant is represented by a discrete-time model, whose coefficients are time-varying and are estimated online by the KF using the displacement commands and measurements. Based on this time-varying model, the delay compensator is constructed employing the desired displacements. The KF performance is investigated theoretically and numerically. To assess the performance of the proposed strategy, a series of virtual RTHSs are performed on the Benchmark problem in RTHS, which was based on an actual experimental system. Meanwhile, several promising delay-compensation strategies are employed for comparison. Results reveal that the proposed time-delay compensation method effectively enhances the accuracy, stability, and robustness of RTHS. Full article
(This article belongs to the Special Issue Advances on Structural Engineering, Volume II)
Show Figures

Figure 1

16 pages, 4980 KB  
Article
Hardware-in-the-Loop Simulation Using Real-Time Hybrid-Simulator for Dynamic Performance Test of Power Electronics Equipment in Large Power System
by Jiyoung Song, Kyeon Hur, Jeehoon Lee, Hyunjae Lee, Jaegul Lee, Solyoung Jung, Jeonghoon Shin and Heejin Kim
Energies 2020, 13(15), 3955; https://doi.org/10.3390/en13153955 - 1 Aug 2020
Cited by 13 | Viewed by 3452
Abstract
This paper presents the hardware-in-the-loop simulation for dynamic performance test (HILS-DPT) of power electronic equipment replicas using a real-time hybrid simulator (RTHS). The authors developed the procedure of HILS-DPT, and as an actual case example, the results of HILS-DPT of Static VAR Compensator [...] Read more.
This paper presents the hardware-in-the-loop simulation for dynamic performance test (HILS-DPT) of power electronic equipment replicas using a real-time hybrid simulator (RTHS). The authors developed the procedure of HILS-DPT, and as an actual case example, the results of HILS-DPT of Static VAR Compensator (SVC) replica using RTHS is presented. RTHS is a co-simulation tool that synthesizes real-time simulator (RTS) with transient stability program to perform real-time dynamic simulation of a large power system. As power electronics applications have been increasing, the electric utilities have performed HILS-DPT of the power electronics equipment to validate the performance and investigate interactions. Because inspection tests are limited in their ability to validate its impact on the power system during various contingencies, all power electronics equipment newly installed in the Korean power system should take HILS-DPT using large-scale RTS with replicas since 2018. Although large-scaled RTS offers an accuracy improvement, it requires lots of hardware resources, time, and effort to model and simulate the equipment and power systems. Therefore, the authors performed SVC HILS-DPT using RTHS, and the result of the first practical application of RTHS present feasibility comparing the result of HILS-DPT using large-scale RTS. The authors will discuss the test results and share lessons learned from the industrial experience of HILS-DPT using RTHS. Full article
(This article belongs to the Special Issue Advancements in Real-Time Simulation of Power and Energy Systems)
Show Figures

Graphical abstract

Back to TopTop