Sign in to use this feature.

Years

Between: -

Subjects

remove_circle_outline
remove_circle_outline
remove_circle_outline
remove_circle_outline
remove_circle_outline
remove_circle_outline
remove_circle_outline
remove_circle_outline
remove_circle_outline

Journals

remove_circle_outline
remove_circle_outline
remove_circle_outline
remove_circle_outline
remove_circle_outline
remove_circle_outline
remove_circle_outline
remove_circle_outline

Article Types

Countries / Regions

remove_circle_outline
remove_circle_outline
remove_circle_outline

Search Results (398)

Search Parameters:
Keywords = random-coil

Order results
Result details
Results per page
Select all
Export citation of selected articles as:
22 pages, 2503 KB  
Article
Der p 23, A Frequent IgE Sensitizer in Humans, Induces Airway Inflammation in Mice
by Karen Donado, Luis Durango, Inés Benedetti, Nikolina Todorovic, Ronald Regino, Ana Lozano, Victoria Marrugo, Randy Reina, Dilia Mercado, Nathalie Acevedo, Josefina Zakzuk, Enrique Fernández-Caldas, Walter Keller, Leonardo Puerta and Luis Caraballo
Int. J. Mol. Sci. 2025, 26(21), 10765; https://doi.org/10.3390/ijms262110765 - 5 Nov 2025
Viewed by 155
Abstract
Der p 23 induces a high-frequency sensitization in allergic individuals. However, its allergenic activity and clinical impact are scarce. We aimed to evaluate the ability of rDer p 23 to induce allergic inflammation in a mouse model and to test IgE reactivity in [...] Read more.
Der p 23 induces a high-frequency sensitization in allergic individuals. However, its allergenic activity and clinical impact are scarce. We aimed to evaluate the ability of rDer p 23 to induce allergic inflammation in a mouse model and to test IgE reactivity in humans. Female Balb/c mice were sensitized and challenged with rDer p 23 and Dermatophagoides pteronyssinus extract. Specific antibodies were determined by ELISA, inflammatory cell infiltration and goblet cells hyperplasia were evaluated by lung histology, and bronchial hyperreactivity (BHR) was assessed by the FinePoint RC SystemTM and whole-body plethysmography (WBP). IgE reactivity was evaluated by ELISA, the basophils activation test (BAT) and the skin pick test (SPT) in humans. rDer p 23, produced in Escherichia coli, adopts a random coil structure, predominantly exists in a monomeric state, and exhibits high stability. rDer p 23-treated mice showed a significant increase in lung resistance and bronchial hyperreactivity, as well as in eosinophils, neutrophils, and T cell count in bronchoalveolar lavage fluid (BALF). Cytokine and antibodies profiles were biased to a Type-2 response. No significant difference was observed in group 2 Innate Lymphoid Cells (ILC-2s) in lung and regulatory T cells (Treg) in the spleen. In asthmatic individuals sensitized to D. pteronyssinus, serum IgE reactivity to rDer p 23 was 67.5%. BAT and SPT results were significantly higher in allergic patients. Our findings support the pro-allergenic role of rDer p 23 in the development of the pathological features of asthma. Full article
(This article belongs to the Special Issue Molecular Mechanisms of Allergy and Asthma: 3rd Edition)
Show Figures

Graphical abstract

25 pages, 4528 KB  
Article
Structural Engineering of Tyrosine-Based Neuroprotective Peptides: A New Strategy for Efficient Blood–Brain Barrier Penetration
by Zehui Li, Qiyue Zhu, Yashu Qiao, Junxi Fu, Li Tao and Weihong Min
Foods 2025, 14(21), 3744; https://doi.org/10.3390/foods14213744 - 31 Oct 2025
Viewed by 283
Abstract
The relationship between the structure of walnut-derived peptides and their activity of transport efficiency across the blood–brain barrier (BBB) remains unclear. In this study, a series of walnut-derived peptides were synthesized by substituting leucine (L) with tyrosine (Y), lysine (K), or arginine (R). [...] Read more.
The relationship between the structure of walnut-derived peptides and their activity of transport efficiency across the blood–brain barrier (BBB) remains unclear. In this study, a series of walnut-derived peptides were synthesized by substituting leucine (L) with tyrosine (Y), lysine (K), or arginine (R). Three outstanding peptides—EVSGPGYSPN, TWLPYPR, and YVPFPYP—were selected based on their antioxidant capacity and BBB transport efficiency, with EVSGPGYSPN exhibiting the highest activity. Reversed-phase high-performance liquid chromatography (RP-HPLC) and Transwell assay results demonstrated that EVSGPGYSPN can remain stable during gastrointestinal digestion and penetrate the BBB. Pharmacokinetic results revealed that the cumulative concentration of EVSGPGYSPN in the brain reached 1.25 ± 0.91 µg/g at 10 h, while its plasma half-life exceeded 12 h. Furthermore, it significantly reduced reactive oxygen species (ROS) levels to 110.46 ± 15.16%. Nuclear magnetic resonance (NMR) and Fourier-transform infrared spectroscopy (FTIR) results indicated that EVSGPGYSPN is rich in aromatic hydrogen signals and exhibits low methyl signals, which may enhance its antioxidant activity. Circular dichroism (CD) spectroscopy showed that EVSGPGYSPN has the highest random coil content, which facilitates its binding to transporters on the BBB and promotes BBB permeability. This study provides valuable insights into the design of brain-targeted peptide delivery systems. Full article
(This article belongs to the Special Issue Bioactive Peptides and Probiotic Bacteria: Modulators of Human Health)
Show Figures

Figure 1

18 pages, 4982 KB  
Article
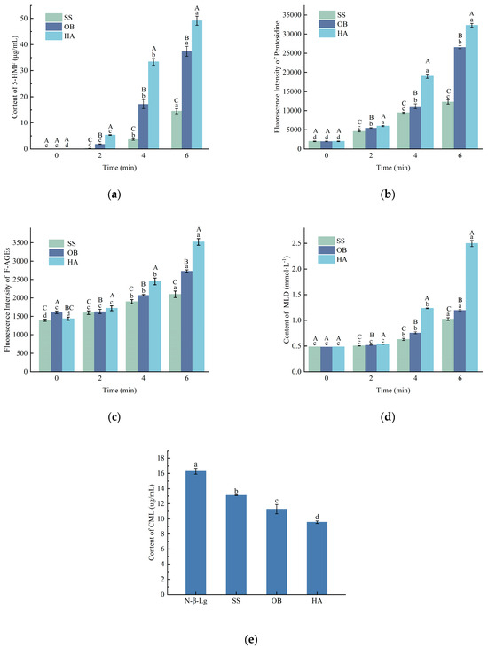
Effect of Different High-Temperature Heating Methods on the Glycation Reaction and Advanced Glycation Reaction Products of β-Lactoglobulin
by Xueying Zhang, Qiannan Jiang, Jiaojiao Liu, Hui Wang, Haiyan Lu, Danting Liu, Pingwei Wen, Zongcai Tu and Yueming Hu
Foods 2025, 14(21), 3722; https://doi.org/10.3390/foods14213722 - 30 Oct 2025
Viewed by 298
Abstract
β-lactoglobulin (β-Lg), the major whey protein containing nine lysine residues, serves as an ideal model for studying protein glycation and thermal processing safety in dairy products. This study systematically compared three different high-temperature treatment methods, namely superheated steam (SS), hot [...] Read more.
β-lactoglobulin (β-Lg), the major whey protein containing nine lysine residues, serves as an ideal model for studying protein glycation and thermal processing safety in dairy products. This study systematically compared three different high-temperature treatment methods, namely superheated steam (SS), hot air (HA), and oil bath (OB), to investigate their effects on the spatial conformation and glycation product formation of proteins in the β-Lg-glucose system. The results show that compared with OB and HA, SS has a lower degree of glycation, lower consumption of free amino groups, and less unfolding of the protein’s three-dimensional structure. It leads to a lower proportion of α-helix transformation into β-sheet and random coil in the protein. SS resulted in the least browning and produced less 5-hydroxymethylfurfural, pentosidine, fluorescent advanced glycation end products, and melanogenin, yet produced the highest amount of Carboxymethyllysine. Mass spectrometry analysis shows that lysine residues were the primary glycation sites. Therefore, this work provides molecular-level insights into how different heating techniques modulate protein glycation and structural stability, supporting the potential of superheated steam as a gentler alternative to control glycation for β-Lg in food thermal processing. Full article
(This article belongs to the Section Food Engineering and Technology)
Show Figures

Figure 1

19 pages, 3139 KB  
Article
Genome-Wide Identification and Expression Analysis of the SRS Gene Family in Hylocereus undatus
by Fanjin Peng, Lirong Zhou, Shuzhang Liu, Renzhi Huang, Guangzhao Xu and Zhuanying Yang
Plants 2025, 14(20), 3139; https://doi.org/10.3390/plants14203139 - 11 Oct 2025
Viewed by 371
Abstract
SHORT INTERNODE (SHI)-Related Sequence (SRS) transcription factors play crucial roles in plant growth, development, and stress responses and have been extensively studied in various plant species. However, the molecular functions and regulatory mechanisms of SRS genes in the economically important tropical fruit crop [...] Read more.
SHORT INTERNODE (SHI)-Related Sequence (SRS) transcription factors play crucial roles in plant growth, development, and stress responses and have been extensively studied in various plant species. However, the molecular functions and regulatory mechanisms of SRS genes in the economically important tropical fruit crop pitaya (Hylocereus undatus) remain poorly understood. This study identified 9 HuSRS genes in pitaya via bioinformatics analysis, with subcellular localization predicting nuclear distributions for all. Gene structure analysis showed 1–4 exons, and conserved motifs (RING-type zinc finger and IXGH domains) were shared across subclasses. Phylogenetic analysis classified the HuSRS genes into three subfamilies. Subfamily I (HuSRS1HuSRS4) is closely related to poplar and tomato homologs and subfamily III (HuSRS6HuSRS8) contains a recently duplicated paralogous pair (HuSRS7/HuSRS8) and shows affinity to rice SRS genes. Protein structure prediction revealed dominance of random coils, α-helices, and extended strands, with spatial similarity correlating to subfamily classification. Interaction networks showed HuSRS1, HuSRS2, HuSRS7 and HuSRS8 interact with functional proteins in transcription and hormone signaling. Promoter analysis identified abundant light/hormone/stress-responsive elements, with HuSRS5 harboring the most motifs. Transcriptome and qPCR analyses revealed spatiotemporal expression patterns: HuSRS4, HuSRS5, and HuSRS7 exhibited significantly higher expression levels in callus (WG), which may be associated with dedifferentiation capacity. In seedlings, HuSRS9 exhibited extremely high transcriptional accumulation in stem segments, while HuSRS1, HuSRS5, HuSRS7 and HuSRS8 were highly active in cotyledons. This study systematically analyzed the characteristics of the SRS gene family in pitaya, revealing its evolutionary conservation and spatio-temporal expression differences. The research results have laid a foundation for in-depth exploration of the function of the SRS gene in the tissue culture and molecular breeding of pitaya. Full article
(This article belongs to the Section Plant Genetics, Genomics and Biotechnology)
Show Figures

Figure 1

21 pages, 4272 KB  
Article
Identification of a Novel Peptide from Agaricus blazei Murrill and Its Immune-Enhancing Activity by Regulation of PI3K/AKT/mTOR Signaling Pathways in RAW 264.7 Cells
by Xianguo Zou, Yeqi Yu, Yun Chi, Kai Yang, Zeyuan Deng, Hong Gu and Peilong Sun
Foods 2025, 14(20), 3467; https://doi.org/10.3390/foods14203467 - 11 Oct 2025
Viewed by 450
Abstract
This study aimed to screen and identify a novel immune-enhancing peptide and explore the molecular mechanism. Five novel peptides were identified from Agaricus blazei Murrill (ABM), and their secondary structure components consisted of random coil (50.5%), α-helix (28.9%), β-turn (15.6%), and β-sheet (5.0%). [...] Read more.
This study aimed to screen and identify a novel immune-enhancing peptide and explore the molecular mechanism. Five novel peptides were identified from Agaricus blazei Murrill (ABM), and their secondary structure components consisted of random coil (50.5%), α-helix (28.9%), β-turn (15.6%), and β-sheet (5.0%). A novel peptide (LNEDELRDA) with a molecular weight of 1074.0989 Da could bind with PI3K, AKT, mTOR, IL-6, IL-1β, and TNF-α through hydrogen bonding interactions, and the binding energies were −8.1, −8.3, −7.2, −6.0, −7.4, and −5.8 kcal/mol, respectively. This peptide was synthesized and validated for immune-enhancing ability, showing the strongest immune-enhancing capacity by increasing the cell viability and phagocytic activity of RAW 264.7 macrophages, significantly promoting the production of NO, cytokines TNF-α, IL-1β, and IL-6 in cells, and up-regulating the mRNA and protein expression levels of the PI3K/AKT/mTOR signaling pathway. Our results are the first to reveal that ABM-derived peptide LNEDELRDA could be considered as a promising food-borne immunomodulator that could contribute to enhancing immune function. Full article
(This article belongs to the Section Nutraceuticals, Functional Foods, and Novel Foods)
Show Figures

Figure 1

21 pages, 2645 KB  
Article
Comparative Evaluation of Cow and Goat Milk Samples Utilizing Non-Destructive Techniques and Chemometric Approaches
by Kyriaki Chatzimichail, Georgia Ladika, Paris Christodoulou, Vasileios Bartzis, Spyros J. Konteles, Andriana E. Lazou, Eftichia Kritsi, Dionisis Cavouras and Vassilia J. Sinanoglou
Appl. Sci. 2025, 15(20), 10883; https://doi.org/10.3390/app152010883 - 10 Oct 2025
Viewed by 496
Abstract
This study applied a multi-analytical methodology involving Attenuated Total Reflectance Fourier Transform Infrared (ATR-FTIR) spectroscopy, protein secondary structure determination, colorimetry, and texture analysis of milk images at a microscopic level to characterize 47 commercial cow and goat milk samples of different fat content [...] Read more.
This study applied a multi-analytical methodology involving Attenuated Total Reflectance Fourier Transform Infrared (ATR-FTIR) spectroscopy, protein secondary structure determination, colorimetry, and texture analysis of milk images at a microscopic level to characterize 47 commercial cow and goat milk samples of different fat content (whole and light). Colorimetric measurements showed that hue values were significantly higher in light than in whole milks, providing a rapid marker of fat level, while microscopic image analysis indicated that whole milks had more heterogeneous textures with larger fat globules, whereas light milks were more homogeneous. ATR-FTIR spectra revealed lipids, proteins, and carbohydrates as the main constituents; lipid-associated bands were more intense in whole milks, whereas carbohydrate-associated bands, particularly at 1026–1028 cm−1, were stronger in cow milk. Protein secondary structure analysis confirmed β-parallel sheet as the predominant motif, with cow milk showing higher random coil and α-helix proportions and goat milk enriched in β-turn structures. Chemometric modeling using PCA and PLS-DA achieved robust classification of samples by species and fat content, while Receiver Operation Characteristics (ROC) analysis validated markers of differentiation. The combination of the above methodologies enables effective classification of cow’s and goat’s milk, offering a thorough product description. Full article
(This article belongs to the Section Chemical and Molecular Sciences)
Show Figures

Figure 1

18 pages, 8401 KB  
Article
Identification of the Metallocarboxypeptidase M14 Gene Family in Lysiosquillina maculata, Odontodactylus scyllarus and Oratosquilla oratoria Based on the Full-Length Transcriptome
by Jiantong Zhang, Xiuqiang Dong, Xinyan Hu, Xiaowen Duan, Bin Xu and Fangrui Lou
Fishes 2025, 10(10), 515; https://doi.org/10.3390/fishes10100515 - 10 Oct 2025
Viewed by 276
Abstract
Metallocarboxypeptidase (MCP) is a crucial protein enzyme involved in food digestion and absorption in animals, which has a potential influence on the differentiation of the trophic niche. Considering that stomatopods have raptorial appendage-specific trophic niches, the present study screened and compared [...] Read more.
Metallocarboxypeptidase (MCP) is a crucial protein enzyme involved in food digestion and absorption in animals, which has a potential influence on the differentiation of the trophic niche. Considering that stomatopods have raptorial appendage-specific trophic niches, the present study screened and compared the MCP M14 gene family of three stomatopods (Lysiosquillina maculata, Odontodactylus scyllarus, and Oratosquilla oratoria) with different raptorial appendage morphologies based on full-length transcriptome information. There are 13 and 17 MCP M14 gene family members identified in L. maculata and O. scyllarus, respectively, which are classified as M14A, M14B, and M14D subfamilies. However, 15 MCP M14 family members have been identified in O. oratoria, all belonging to the M14A subfamily. The physicochemical properties, phylogenetic relationships, conserved motifs, and secondary and tertiary structures of the MCP M14 amino acid sequences were also analyzed in the present study. The results revealed that each amino acid sequence had unique physicochemical properties. Ten conserved motifs were further characterized across the MCP M14 amino acid sequences, and the type and number of motifs from the same subfamily remained highly conserved. Meanwhile, we found that most of the MCP M14 gene family members have critical residues (including Zn2+ binding sites [His69, Glu72, and His196], substrate-binding residues [Arg124, Arg127, and Arg145], and disulfide bond-forming residues [Cys138 and Cys161]) involved in disulfide bond formation and enzyme activity stabilization. Furthermore, the random coil is the predominant structural feature of the MCP M14 amino acid sequence. In conclusion, these results are undoubtedly valuable for exploring the evolution and regulation mechanisms of the trophic niche in stomatopods. Full article
(This article belongs to the Section Genetics and Biotechnology)
Show Figures

Graphical abstract

20 pages, 7147 KB  
Article
Application Potential of Lion’s Mane Mushroom in Soy-Based Meat Analogues by High Moisture Extrusion: Physicochemical, Structural and Flavor Characteristics
by Yang Gao, Song Yan, Kaixin Chen, Qing Chen, Bo Li and Jialei Li
Foods 2025, 14(19), 3402; https://doi.org/10.3390/foods14193402 - 1 Oct 2025
Viewed by 662
Abstract
The aim of this work was to systematically evaluate the effects of Lion’s Mane Mushroom powder (LMM, 0–40%) on the physicochemical properties, structural characteristics, and flavor profile of soy protein isolate-based high-moisture meat analogues (HMMAs). Optimal incorporation of 20% LMM significantly enhanced product [...] Read more.
The aim of this work was to systematically evaluate the effects of Lion’s Mane Mushroom powder (LMM, 0–40%) on the physicochemical properties, structural characteristics, and flavor profile of soy protein isolate-based high-moisture meat analogues (HMMAs). Optimal incorporation of 20% LMM significantly enhanced product quality by acting as a secondary phase that inhibited lateral protein aggregation while promoting longitudinal alignment, achieving a peak fibrous degree of 1.54 with dense, ordered fibers confirmed by scanning electron microscopy. Rheological analysis showed that LMM improved viscoelasticity (G′ > G″) through β-glucan; however, excessive addition (≥30%) compromised structural integrity due to insoluble dietary fiber disrupting protein network continuity, concurrently reducing thermal stability as denaturation enthalpy (ΔH) decreased from 1176.6 to 776.3 J/g. Flavor analysis identified 285 volatile compounds in HMMAs with 20% LMM, including 98 novel compounds, and 101 flavor metabolites were upregulated. The mushroom-characteristic compound 1-octen-3-ol exhibited a marked increase in its Relative Odor Activity Value of 18.04, intensifying mushroom notes. Furthermore, LMM polysaccharides promoted the Maillard reaction, increasing the browning index from 48.77 to 82.07, while β-glucan induced a transition in protein secondary structure from random coil to β-sheet configurations via intramolecular hydrogen bonding. In conclusion, 20% LMM incorporation synergistically improved texture, fibrous structure, and flavor complexity—particularly enhancing mushroom aroma. This research offers valuable insights and a foundation for future research for developing high-quality fungal protein-based meat analogues Full article
Show Figures

Figure 1

11 pages, 1765 KB  
Article
Viscosity Analysis of Electron-Beam Degraded Gellan in Dilute Aqueous Solution
by Fathi Elashhab, Lobna Sheha, Nada Elzawi and Abdelsallam E. A. Youssef
Physchem 2025, 5(4), 40; https://doi.org/10.3390/physchem5040040 - 30 Sep 2025
Viewed by 375
Abstract
Gellan gum (Gellan), a versatile polysaccharide applied in gel formation and prebiotic formulations, is often processed to tailor its molecular properties. Previous studies employed gamma irradiation and chemical hydrolysis, though without addressing systematic scaling behavior. This study investigates the structural and conformational modifications [...] Read more.
Gellan gum (Gellan), a versatile polysaccharide applied in gel formation and prebiotic formulations, is often processed to tailor its molecular properties. Previous studies employed gamma irradiation and chemical hydrolysis, though without addressing systematic scaling behavior. This study investigates the structural and conformational modifications of Gellan in dilute aqueous salt solutions using a safer and eco-friendly approach: atmospheric low-dose electron beam (e-beam) degradation coupled with viscosity analysis. Native and E-beam-treated Gellan samples (0.05 g/cm3 in 0.1 M KCl) were examined by relative viscosity at varying temperatures, with intrinsic viscosity and molar mass determined via Solomon–Ciuta and Mark–Houwink relations. Molar mass degradation followed first-order kinetics, yielding rate constants and degradation lifetimes. Structural parameters, including radius of gyration and second virial coefficient, produced scaling coefficients of 0.62 and 0.15, consistent with perturbed coil conformations in a good solvent. The shape factor confirmed preservation of an ideal random coil structure despite irradiation. Conformational flexibility was further analyzed using theoretical models. Transition state theory (TST) revealed that e-beam radiation lowered molar mass and activation energy but raised activation entropy, implying reduced flexibility alongside enhanced solvent interactions. The freely rotating chain (FRC) model estimated end-to-end distance (Rθ) and characteristic ratio (C), while the worm-like chain (WLC) model quantified persistence length (lp). Results indicated decreased Rθ, increased lp, and largely unchanged C, suggesting diminished chain flexibility without significant deviation from ideal coil behavior. Overall, this work provides new insights into Gellan’s scaling laws and flexibility under aerobic low-dose E-beam irradiation, with relevance for bioactive polysaccharide applications. Full article
(This article belongs to the Section Theoretical and Computational Chemistry)
Show Figures

Figure 1

21 pages, 3641 KB  
Article
Structural Analysis of Soluble Elastin in Dry and Hydrated States Using 13C Solid-State NMR
by Tetsuo Asakura, Akira Naito and Keiichi Miyamoto
Polymers 2025, 17(19), 2638; https://doi.org/10.3390/polym17192638 - 30 Sep 2025
Viewed by 347
Abstract
Elastin is the principal protein found in the elastic fibers of vertebrate tissues, and the water within these fibers plays a crucial role in preserving the structure and function of this hydrophobic protein. Soluble elastin was successfully obtained by repeatedly treating insoluble elastin, [...] Read more.
Elastin is the principal protein found in the elastic fibers of vertebrate tissues, and the water within these fibers plays a crucial role in preserving the structure and function of this hydrophobic protein. Soluble elastin was successfully obtained by repeatedly treating insoluble elastin, extracted from pig aorta, with oxalic acid. Solid-state NMR analysis was performed on the soluble elastin, focusing on conformation-dependent chemical shifts of alanine residues. This analysis revealed that cross-linked alanine residues exhibited both α-helix and random coil structures in the dry state. In contrast, the hydrated state favored random coil structures, with some distorted helices possibly present, indicating that the cross-linked configuration is relatively unstable. Similar conformational changes were observed in insoluble elastin, mirroring those found in the soluble form. Additionally, when the soluble elastin was re-cross-linked using 1,12-dodecanedicarboxylic acid and 4-hydroxyphenyl dimethylsulfonium methylsulfate, it retained a mixture of α-helix and random coil structures in the dry state. Remarkably, in the hydrated state, α-helix structures were more prominently preserved alongside random coils. These structural changes corresponded with increased stiffness of molecular chains in the hydrophobic regions compared to their state prior to re-cross-linking, even under hydrated conditions. Full article
(This article belongs to the Special Issue Advanced Spectroscopy for Polymers: Design and Characterization)
Show Figures

Graphical abstract

12 pages, 395 KB  
Article
Mitigating Quality Deterioration of Reduced-Fat Pork Sausages During Cold Storage via Resistant Starch Incorporation: Gel Properties and Protein Conformation Study
by Guanghui Liu, Jingchao Fan, Li Wang, Minghui Liang, Chun Xie and Zhuangli Kang
Gels 2025, 11(10), 763; https://doi.org/10.3390/gels11100763 - 23 Sep 2025
Viewed by 624
Abstract
This study investigated the changes in pH, water retention, color, texture characteristics, protein conformation, thiobarbituric acid reactive substances (TBARSs), total volatile basic nitrogen (TVB-N), and total plate count in reduced-fat sausages. It explored the quality differences between sausages with and without the addition [...] Read more.
This study investigated the changes in pH, water retention, color, texture characteristics, protein conformation, thiobarbituric acid reactive substances (TBARSs), total volatile basic nitrogen (TVB-N), and total plate count in reduced-fat sausages. It explored the quality differences between sausages with and without the addition of resistant starch during storage at 4 °C over a period of 1 to 30 days. The results indicated that TBARS and TVB-N values significantly increased (p < 0.05) with the extension of refrigeration time, and the α-helix and β-sheet structures were transformed into β-turn and random coil structures, leading to a significant decrease in the pH, L* and a* values, texture characteristics, and chewiness of all sausages, as well as a significant increase in storage loss and centrifugation loss. Under the same refrigeration time, the sausage with added resistant starch exhibited better water retention and texture characteristics compared to the treatment without resistant starch. Additionally, the TBARS and TVB-N values were significantly lower (p < 0.05) in the former. Therefore, the incorporation of resistant starch can effectively slow down the deterioration of gel properties and the increase in total bacterial count in reduced-fat sausages during refrigeration. Full article
Show Figures

Figure 1

25 pages, 2907 KB  
Article
Benchmarking ML Algorithms Against Traditional Correlations for Dynamic Monitoring of Bottomhole Pressure in Nitrogen-Lifted Wells
by Samuel Nashed and Rouzbeh Moghanloo
Processes 2025, 13(9), 2820; https://doi.org/10.3390/pr13092820 - 3 Sep 2025
Viewed by 568
Abstract
Proper estimation of flowing bottomhole pressure at coiled tubing depth (BHP-CTD) is crucial in optimization of nitrogen lifting operations in oil wells. Conventional estimation techniques such as empirical correlations and mechanistic models may be characterized by poor generalizability, low accuracy, and inapplicability in [...] Read more.
Proper estimation of flowing bottomhole pressure at coiled tubing depth (BHP-CTD) is crucial in optimization of nitrogen lifting operations in oil wells. Conventional estimation techniques such as empirical correlations and mechanistic models may be characterized by poor generalizability, low accuracy, and inapplicability in real time. This study overcomes these shortcomings by developing and comparing sixteen machine learning (ML) regression models, such as neural networks and genetic programming-based symbolic regression, in order to predict BHP-CTD with field data collected on 518 oil wells. Operational parameters that were used to train the models included fluid flow rate, gas–oil ratio, coiled tubing depth, and nitrogen rate. The best performance was obtained with the neural network with the L-BFGS optimizer (R2 = 0.987) and the low error metrics (RMSE = 0.014, MAE = 0.011). An interpretable equation with R2 = 0.94 was also obtained through a symbolic regression model. The robustness of the model was confirmed by both k-fold and random sampling validation, and generalizability was also confirmed using blind validation on data collected on 29 wells not included in the training set. The ML models proved to be more accurate, adaptable, and real-time applicable as compared to empirical correlations such as Hagedorn and Brown, Beggs and Brill, and Orkiszewski. This study does not only provide a cost-efficient alternative to downhole pressure gauges but also adds an interpretable, data-driven framework to increase the efficiency of nitrogen lifting in various operational conditions. Full article
(This article belongs to the Section AI-Enabled Process Engineering)
Show Figures

Figure 1

13 pages, 5557 KB  
Article
Antioxidant Defense Strategies Against Diaporthe eres Infection in Hongyang Kiwifruit
by Lizhen Ling, Tao Yang, Xiaoqing Long, Shengyu Pan and Shudong Zhang
Biology 2025, 14(9), 1169; https://doi.org/10.3390/biology14091169 - 2 Sep 2025
Viewed by 501
Abstract
Diaporthe eres is a harmful pathogen affecting Hongyang kiwifruit (Actinidia chinensis) after harvest, yet the antioxidant defense strategies are not well understood. This research thoroughly examines the dynamics of the antioxidant response during the infection process. Significant findings indicate an initial [...] Read more.
Diaporthe eres is a harmful pathogen affecting Hongyang kiwifruit (Actinidia chinensis) after harvest, yet the antioxidant defense strategies are not well understood. This research thoroughly examines the dynamics of the antioxidant response during the infection process. Significant findings indicate an initial 3-day latent period (0–3 dpi) that allowed for pathogen establishment, followed by irreversible tissue breakdown characterized by water-soaked lesions at 4 dpi. The study identified a biphasic activation pattern of superoxide dismutase (SOD) with dual activity peaks (1 dpi and 4 dpi), orchestrated by mitochondrial hub gene CEY00_Acc02790 that coordinates peroxidase (POD) networks, while peroxidase (POD) activity exhibited a synchronized but temporary increase, peaking at 4 dpi. Further bioinformatic analysis revealed the possible functional specialization of POD isoforms: α-helix-rich extracellular variants drove cell wall reinforcement through lignification, while random coil-dominant intracellular variants formed to mitigate cytoplasmic reactive oxygen species (ROS) damage, establishing dual physicochemical barriers. Malondialdehyde (MDA) levels rose significantly by 3 dpi, indicating permanent membrane damage. Collectively, these findings elucidate the mechanistic foundation of the ActinidiaDiaporthe pathosystem, identifying the bimodal SOD response and POD specialization as prime targets for developing resistant cultivars and precision postharvest interventions, ultimately reducing losses through biochemical interception of pathogenesis. Full article
Show Figures

Figure 1

45 pages, 2796 KB  
Article
A Simulation-Based Comparative Analysis of Physics and Data-Driven Models for Temperature Prediction in Steel Coil Annealing
by Ján Kačur, Patrik Flegner, Milan Durdán and Marek Laciak
Metals 2025, 15(9), 932; https://doi.org/10.3390/met15090932 - 22 Aug 2025
Viewed by 710
Abstract
Annealing of steel coils in bell-type furnaces is a critical process in steel production, requiring precise temperature control to ensure desired mechanical properties and microstructure. However, direct measurement of inner coil temperatures is impractical in industrial conditions, necessitating model-based estimation. This study presents [...] Read more.
Annealing of steel coils in bell-type furnaces is a critical process in steel production, requiring precise temperature control to ensure desired mechanical properties and microstructure. However, direct measurement of inner coil temperatures is impractical in industrial conditions, necessitating model-based estimation. This study presents a comparative analysis of physics-based and machine learning (ML) approaches for predicting internal temperatures during annealing. A finite difference method (FDM) was developed as a physics-based model and validated against experimental data from both laboratory and industrial annealing cycles. Furthermore, several ML models, including support vector regression (SVR), neural networks (NN), multivariate adaptive regression splines (MARS), k-nearest neighbors (k-NN), and random forests (RFs), were trained on surface temperature measurements to predict inner temperatures. The results demonstrate that the MARS, k-NN, and RF models achieved high prediction accuracy with performance index (PI) values below 1.0 on unseen data, demonstrating excellent generalization capabilities. In contrast, SVR with polynomial kernels and NN exhibited poor performance in specific configurations, highlighting their sensitivity to overfitting and data variability. The findings suggest that combining physics-based models with data-driven techniques offers a robust framework for soft-sensing in annealing operations, enabling improved process monitoring and control. Full article
Show Figures

Figure 1

18 pages, 2752 KB  
Article
Non-Covalent Interactions Between Quercetin and Rice Bran Protein: Mechanisms and Functional Properties
by Shirang Wang, Dianyu Yu, Tengyu Wang, Liping Zhou and Xu Han
Foods 2025, 14(17), 2923; https://doi.org/10.3390/foods14172923 - 22 Aug 2025
Viewed by 766
Abstract
Rice bran protein (RBP) is an important plant protein, but its functional properties are reduced due to the presence of disulfide bonds in the structure. Polyphenol modification is an effective strategy to improve protein functional properties. However, the interactions between quercetin (Que) and [...] Read more.
Rice bran protein (RBP) is an important plant protein, but its functional properties are reduced due to the presence of disulfide bonds in the structure. Polyphenol modification is an effective strategy to improve protein functional properties. However, the interactions between quercetin (Que) and RBP have not been well-studied. In this study, we explored the mechanism of non-covalent interactions between RBP and Que and systematically evaluated the improvement of functional properties of the RBP–Que complex. The results revealed that the addition of Que can significantly affect the particle size, ζ-potential and protein flexibility of the RBP–Que complex, and the non-covalent interactions significantly altered the secondary structure (α-helix content decreased to 20.28%, β-sheet decreased to 22.02%, β-turn increased to 29.30% and random coil increased to 28.40%) and the tertiary conformation of RBP. Spectroscopic data showed that static quenching occurred. Thermodynamic parameters showed that ΔG, ΔH, and ΔS were negative, revealing that the binding process was spontaneous and exothermic and the main reactive bonds were the hydrogen bond and the van der Waals force. When the Que concentration was 120 μmol/g, the emulsifying and foaming properties were improved by 57.72% and 71.88% compared with the RBP, respectively. The study will expand the application of RBP in the food and beverage processing industry. Full article
(This article belongs to the Section Food Engineering and Technology)
Show Figures

Figure 1

Back to TopTop