Sign in to use this feature.

Years

Between: -

Subjects

remove_circle_outline
remove_circle_outline
remove_circle_outline

Journals

Article Types

Countries / Regions

Search Results (10)

Search Parameters:
Keywords = quasilinear elliptic problem

Order results
Result details
Results per page
Select all
Export citation of selected articles as:
15 pages, 346 KB  
Article
Contour Limits and a “Gliding Hump” Argument
by Ammar Khanfer and Kirk Eugene Lancaster
Axioms 2025, 14(6), 425; https://doi.org/10.3390/axioms14060425 - 30 May 2025
Viewed by 429
Abstract
We investigate the behavior of solutions of second-order elliptic Dirichlet problems for a convex domain by using a “gliding hump” technique and prove that there are no contour limits at a specified point of the boundary of the domain. Then we consider two-dimensional [...] Read more.
We investigate the behavior of solutions of second-order elliptic Dirichlet problems for a convex domain by using a “gliding hump” technique and prove that there are no contour limits at a specified point of the boundary of the domain. Then we consider two-dimensional domains which have a reentrant (i.e., nonconvex) corner at a point P of the boundary of the domain. Assuming certain comparison functions exist, we prove that for any solution of an appropriate Dirichlet problem on the domain whose graph has finite area, there are infinitely many curves of finite length in the domain ending at P along which the solution has a limit at P. We then prove that such behavior occurs for quasilinear operations with positive genre. Full article
Show Figures

Figure 1

14 pages, 272 KB  
Article
Weak Solutions to Leray–Lions-Type Degenerate Quasilinear Elliptic Equations with Nonlocal Effects, Double Hardy Terms, and Variable Exponents
by Khaled Kefi and Mohammed M. Al-Shomrani
Mathematics 2025, 13(7), 1185; https://doi.org/10.3390/math13071185 - 3 Apr 2025
Cited by 1 | Viewed by 403
Abstract
This study investigates the existence and multiplicity of weak solutions for a class of degenerate weighted quasilinear elliptic equations that incorporate nonlocal nonlinearities, a double Hardy term, and variable exponents. The problem encompasses a degenerate nonlinear operator characterized by variable exponent growth, along [...] Read more.
This study investigates the existence and multiplicity of weak solutions for a class of degenerate weighted quasilinear elliptic equations that incorporate nonlocal nonlinearities, a double Hardy term, and variable exponents. The problem encompasses a degenerate nonlinear operator characterized by variable exponent growth, along with a nonlocal interaction term and specific constraints on the nonlinearity. By employing critical point theory, we establish the existence of at least three weak solutions under sufficiently general assumptions. Full article
24 pages, 328 KB  
Article
Quasilinear Fractional Neumann Problems
by Dimitri Mugnai and Edoardo Proietti Lippi
Mathematics 2025, 13(1), 85; https://doi.org/10.3390/math13010085 - 29 Dec 2024
Cited by 1 | Viewed by 620
Abstract
We study an elliptic quasilinear fractional problem with fractional Neumann boundary conditions, proving an existence and multiplicity result without assuming the classical Ambrosetti–Rabinowitz condition. Improving previous results, we also provide the weak formulation of solutions without regularity assumptions and we provide an example, [...] Read more.
We study an elliptic quasilinear fractional problem with fractional Neumann boundary conditions, proving an existence and multiplicity result without assuming the classical Ambrosetti–Rabinowitz condition. Improving previous results, we also provide the weak formulation of solutions without regularity assumptions and we provide an example, even in the linear case, for which no regularity can indeed be assumed. Full article
(This article belongs to the Section C1: Difference and Differential Equations)
12 pages, 281 KB  
Article
Solvability of Some Elliptic Equations with a Nonlocal Boundary Condition
by Serik Aitzhanov, Bakytbek Koshanov and Aray Kuntuarova
Mathematics 2024, 12(24), 4010; https://doi.org/10.3390/math12244010 - 20 Dec 2024
Viewed by 1282
Abstract
In this work, we study a nonlocal boundary value problem for a quasilinear elliptic equation. Using the method of regularization and parameter continuation, we prove the existence and uniqueness of a regular solution to the nonlocal boundary value problem, i.e., a solution that [...] Read more.
In this work, we study a nonlocal boundary value problem for a quasilinear elliptic equation. Using the method of regularization and parameter continuation, we prove the existence and uniqueness of a regular solution to the nonlocal boundary value problem, i.e., a solution that possesses all generalized derivatives in the sense of S. L. Sobolev, which are involved in the corresponding equation. Full article
23 pages, 1359 KB  
Article
Numerical Identification of Boundary Conditions for Richards’ Equation
by Miglena N. Koleva and Lubin G. Vulkov
Mathematics 2024, 12(2), 299; https://doi.org/10.3390/math12020299 - 17 Jan 2024
Viewed by 1985
Abstract
A time stepping quasilinearization approach to the mixed (or coupled) form of one and two dimensional Richards’ equations is developed. For numerical solution of the linear ordinary differential equation (ODE) for 1D case and elliptic for 2D case, obtained after this semidiscretization, a [...] Read more.
A time stepping quasilinearization approach to the mixed (or coupled) form of one and two dimensional Richards’ equations is developed. For numerical solution of the linear ordinary differential equation (ODE) for 1D case and elliptic for 2D case, obtained after this semidiscretization, a finite volume method is used for direct problems arising on each time level. Next, we propose a version of the decomposition method for the numerical solution of the inverse ODE and 2D elliptic boundary problems. Computational results for some soil types and its related parameters reported in the literature are presented. Full article
(This article belongs to the Special Issue Applications of Mathematics to Fluid Dynamics)
Show Figures

Figure 1

8 pages, 273 KB  
Article
A Class of Quasilinear Equations with Riemann–Liouville Derivatives and Bounded Operators
by Vladimir E. Fedorov, Mikhail M. Turov and Bui Trong Kien
Axioms 2022, 11(3), 96; https://doi.org/10.3390/axioms11030096 - 24 Feb 2022
Cited by 6 | Viewed by 2351
Abstract
The existence and uniqueness of a local solution is proved for the incomplete Cauchy type problem to multi-term quasilinear fractional differential equations in Banach spaces with Riemann–Liouville derivatives and bounded operators at them. Nonlinearity in the equation is assumed to be Lipschitz continuous [...] Read more.
The existence and uniqueness of a local solution is proved for the incomplete Cauchy type problem to multi-term quasilinear fractional differential equations in Banach spaces with Riemann–Liouville derivatives and bounded operators at them. Nonlinearity in the equation is assumed to be Lipschitz continuous and dependent on lower order fractional derivatives, which orders have the same fractional part as the order of the highest fractional derivative. The obtained abstract result is applied to study a class of initial-boundary value problems to time-fractional order equations with polynomials of an elliptic self-adjoint differential operator with respect to spatial variables as linear operators at the time-fractional derivatives. The nonlinear operator in the considered partial differential equations is assumed to be smooth with respect to phase variables. Full article
(This article belongs to the Special Issue 10th Anniversary of Axioms: Mathematical Physics)
16 pages, 2428 KB  
Article
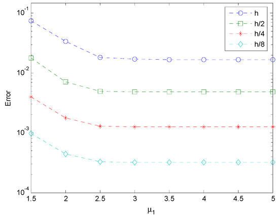
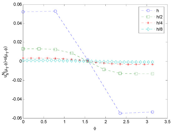
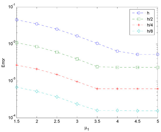
Solution of Exterior Quasilinear Problems Using Elliptical Arc Artificial Boundary
by Yajun Chen and Qikui Du
Mathematics 2021, 9(14), 1598; https://doi.org/10.3390/math9141598 - 7 Jul 2021
Viewed by 1756
Abstract
In this paper, the method of artificial boundary conditions for exterior quasilinear problems in concave angle domains is investigated. Based on the Kirchhoff transformation, the exact quasiliner elliptical arc artificial boundary condition is derived. Using the approximate elliptical arc artificial boundary condition, the [...] Read more.
In this paper, the method of artificial boundary conditions for exterior quasilinear problems in concave angle domains is investigated. Based on the Kirchhoff transformation, the exact quasiliner elliptical arc artificial boundary condition is derived. Using the approximate elliptical arc artificial boundary condition, the finite element method is formulated in a bounded region. The error estimates are obtained. The effectiveness of our method is showed by some numerical experiments. Full article
Show Figures

Figure 1

12 pages, 296 KB  
Article
Quasilinear Dirichlet Problems with Degenerated p-Laplacian and Convection Term
by Dumitru Motreanu and Elisabetta Tornatore
Mathematics 2021, 9(2), 139; https://doi.org/10.3390/math9020139 - 11 Jan 2021
Cited by 16 | Viewed by 2339
Abstract
The paper develops a sub-supersolution approach for quasilinear elliptic equations driven by degenerated p-Laplacian and containing a convection term. The presence of the degenerated operator forces a substantial change to the functional setting of previous works. The existence and location of solutions [...] Read more.
The paper develops a sub-supersolution approach for quasilinear elliptic equations driven by degenerated p-Laplacian and containing a convection term. The presence of the degenerated operator forces a substantial change to the functional setting of previous works. The existence and location of solutions through a sub-supersolution is established. The abstract result is applied to find nontrivial, nonnegative and bounded solutions. Full article
(This article belongs to the Special Issue Nonlinear Equations: Theory, Methods, and Applications)
10 pages, 293 KB  
Article
Existence and Uniqueness of Solutions for the p(x)-Laplacian Equation with Convection Term
by Bin-Sheng Wang, Gang-Ling Hou and Bin Ge
Mathematics 2020, 8(10), 1768; https://doi.org/10.3390/math8101768 - 13 Oct 2020
Cited by 16 | Viewed by 3124
Abstract
In this paper, we consider the existence and uniqueness of solutions for a quasilinear elliptic equation with a variable exponent and a reaction term depending on the gradient. Based on the surjectivity result for pseudomonotone operators, we prove the existence of at least [...] Read more.
In this paper, we consider the existence and uniqueness of solutions for a quasilinear elliptic equation with a variable exponent and a reaction term depending on the gradient. Based on the surjectivity result for pseudomonotone operators, we prove the existence of at least one weak solution of such a problem. Furthermore, we obtain the uniqueness of the solution for the above problem under some considerations. Our results generalize and improve the existing results. Full article
(This article belongs to the Special Issue Advances in Nonlinear Spectral Theory)
15 pages, 309 KB  
Article
Multiplicity of Radially Symmetric Small Energy Solutions for Quasilinear Elliptic Equations Involving Nonhomogeneous Operators
by Jun Ik Lee and Yun-Ho Kim
Mathematics 2020, 8(1), 128; https://doi.org/10.3390/math8010128 - 15 Jan 2020
Cited by 5 | Viewed by 2184
Abstract
We investigate the multiplicity of radially symmetric solutions for the quasilinear elliptic equation of Kirchhoff type. This paper is devoted to the study of the L -bound of solutions to the problem above by applying De Giorgi’s iteration method and the localization [...] Read more.
We investigate the multiplicity of radially symmetric solutions for the quasilinear elliptic equation of Kirchhoff type. This paper is devoted to the study of the L -bound of solutions to the problem above by applying De Giorgi’s iteration method and the localization method. Employing this, we provide the existence of multiple small energy radially symmetric solutions whose L -norms converge to zero. We utilize the modified functional method and the dual fountain theorem as the main tools. Full article
(This article belongs to the Section C1: Difference and Differential Equations)
Back to TopTop