Sign in to use this feature.

Years

Between: -

Subjects

remove_circle_outline
remove_circle_outline
remove_circle_outline
remove_circle_outline
remove_circle_outline
remove_circle_outline
remove_circle_outline

Journals

Article Types

Countries / Regions

Search Results (56)

Search Parameters:
Keywords = pyramidal slip

Order results
Result details
Results per page
Select all
Export citation of selected articles as:
16 pages, 6331 KB  
Article
Microstructural Analysis of Hot-Compressed Mg-Nd-Zr-Ca Alloy with Low Rare-Earth Content
by Yiquan Li, Bingchun Jiang, Rui Yang, Lei Jing and Liwei Lu
Materials 2025, 18(19), 4490; https://doi.org/10.3390/ma18194490 - 26 Sep 2025
Abstract
Microstructural analysis of hot-compressed magnesium alloys is crucial for understanding the plastic formability of magnesium alloys during thermo-mechanical processing. Thermal compression tests and finite element simulations were conducted on a low rare-earth (RE) Mg-1.8Nd-0.4Zr-0.3Ca alloy. Multiple microstructural characterization techniques were employed to analyze [...] Read more.
Microstructural analysis of hot-compressed magnesium alloys is crucial for understanding the plastic formability of magnesium alloys during thermo-mechanical processing. Thermal compression tests and finite element simulations were conducted on a low rare-earth (RE) Mg-1.8Nd-0.4Zr-0.3Ca alloy. Multiple microstructural characterization techniques were employed to analyze slip systems, twinning mechanisms, dynamic recrystallization (DRX), and precipitate phases in the hot-compressed alloy. The results demonstrated that the equivalent strain distribution within compressed specimens exhibits heterogeneity, with a larger equivalent strain in the core. After thermal compression, the original microscopic structure formed a necklace-like structure. The primary DRX mechanisms comprise continuous dynamic recrystallization (CDRX), twin-induced dynamic recrystallization (TDRX), and particle-stimulated nucleation (PSN). Pyramidal slip and recrystallization constitute primary contributors to peak texture weakening and tilting. Mg41Nd5 and α-Zr phases enhanced dislocation density by impeding dislocation motion and promoting cross-slip activation. Hot compression provided the necessary thermal activation energy and stress conditions for solute atom diffusion and clustering, triggering dynamic precipitation of Mg41Nd5 phases. Full article
(This article belongs to the Section Metals and Alloys)
Show Figures

Figure 1

13 pages, 3334 KB  
Article
Open-Access Crystal Plasticity Finite Element Implementation in ANSYS for Dislocation-Induced Nanoindentation in Magnesium
by Syed Taha Khursheed, Moein Imani Foumani, Yunhua Luo and Guo-zhen Zhu
Inventions 2025, 10(5), 77; https://doi.org/10.3390/inventions10050077 - 28 Aug 2025
Viewed by 570
Abstract
This study focuses on developing and implementing crystal plasticity finite element modeling (CPFEM) codes on the ANSYS platform. The code incorporates a plasticity constitutive law that describes the behaviors of basal, prismatic, and pyramidal slips in magnesium, and is validated against plane-strain compression [...] Read more.
This study focuses on developing and implementing crystal plasticity finite element modeling (CPFEM) codes on the ANSYS platform. The code incorporates a plasticity constitutive law that describes the behaviors of basal, prismatic, and pyramidal slips in magnesium, and is validated against plane-strain compression experiments and simulations using established codes on the ABAQUS CAE platform. The validated CPFEM code is applied to simulate the dislocation-induced nanoindentation response of pure magnesium across different crystallographic orientations, allowing visualization of strain distributions associated with different slips. Consistent with experimental observations, basal slip is identified as the primary active slip, whereas prismatic and pyramidal slips show varying activities with respect to the direction of the indentation. Novelty arises from an ANSYS–native CPFEM implementation that is cross-validated against published ABAQUS simulations and an experiment under a single, consistent constitutive set. This framework enables orientation-resolved mapping of slip system activity and subsurface strain fields under spherical nanoindentation, providing analysis capability seldom available in prior ANSYS–based studies. Full article
Show Figures

Figure 1

15 pages, 3954 KB  
Article
Molecular Dynamics Simulation on Orientation-Dependent Mechanical Behaviors of ZnO Single Crystals Under Nanoindentation
by Xiaolin Zhu, Jijun Li, Shiting Yang, Weiguang Zhang, Xiuxia Li, Hui Tang, Fengchao Lang, Lin Lin, Xiaohu Hou, Xueping Zhao and Jiayi Chen
Materials 2025, 18(16), 3905; https://doi.org/10.3390/ma18163905 - 21 Aug 2025
Viewed by 516
Abstract
The present study aims to investigate the orientation-dependent mechanical behaviors of ZnO single crystals under nanoindentation by molecular dynamics simulation. The load–indentation depth curves, atomic displacement, shear strain and dislocations for the c-plane, m-plane and a-plane ZnO single crystals were analyzed in detail. [...] Read more.
The present study aims to investigate the orientation-dependent mechanical behaviors of ZnO single crystals under nanoindentation by molecular dynamics simulation. The load–indentation depth curves, atomic displacement, shear strain and dislocations for the c-plane, m-plane and a-plane ZnO single crystals were analyzed in detail. The simulation results showed that the elastic deformation stage of the loading curves for the three oriented ZnO single crystals can be described well by the Herz elastic contact model. The Young modulus values for the c-plane, m-plane and a-plane ZnO were calculated to be 122.5 GPa, 158.3 GPa and 170.5 GPa, respectively. The onset of plastic deformation occurred first in a-plane ZnO, then in m-plane ZnO, and lastly in c-planeZnO. The atomic displacement vectors in the three oriented ZnO single crystals were in good agreement with the primary activated slip systems predicted by the maximum Schmid factor. For the c-plane ZnO, the activated pyramidal {112¯2}<112¯3> slip system led to a complex dislocation pattern surrounding the indenter. A U-shaped prismatic half-loop was formed in the [211¯0] direction, confirming the activation of the prismatic {101¯0}<112¯0> slip system. For the m-plane ZnO, the activated prismatic {101¯0}<112¯0> slip system led to the preferential nucleation of dislocations along the 11¯20 and [2¯110] directions. A prismatic loop was formed and emitted along the [2¯110] direction, governed by a confined glide on {101¯0} planes. For the a-plane ZnO, the activated prismatic {101¯0}<112¯0> slip system led to dislocations concentrated in the [1¯1¯20] direction beneath the indentation pit, emitting a prismatic loop along this direction. Perfect dislocation (with a Burgers vector of 1/3 <12¯10>) is the dominant dislocation in the three oriented ZnO single crystals. The findings are expected to deepen insights into the anisotropic mechanical properties of ZnO single crystals, offering guidance for the development and applications of ZnO-based devices. Full article
Show Figures

Figure 1

20 pages, 10945 KB  
Article
Temperature-Dependent Deformation Mechanisms in Ti65 Alloy: An In Situ Tensile Study
by Haitao Li, Chenxu Li, Dongmei Chen, Yujing Liu, Zibo Zhao, Bohua Zhang, Meng Qi, Jianrong Liu and Qingjiang Wang
Materials 2025, 18(14), 3270; https://doi.org/10.3390/ma18143270 - 11 Jul 2025
Cited by 1 | Viewed by 512
Abstract
Understanding the relationship between deformation behavior and mechanisms at elevated temperatures is of great significance for applications of high-temperature titanium alloys. This study systematically investigates the plastic deformation behavior of Ti65 alloy under both room-temperature and high-temperature conditions through in situ tensile testing, [...] Read more.
Understanding the relationship between deformation behavior and mechanisms at elevated temperatures is of great significance for applications of high-temperature titanium alloys. This study systematically investigates the plastic deformation behavior of Ti65 alloy under both room-temperature and high-temperature conditions through in situ tensile testing, combined with slip trace analysis, crystal orientation analysis, and geometrical compatibility factor evaluation. TEM observations and molecular dynamics simulations reveal that plastic deformation is predominantly accommodated by basal and prismatic slip systems with minimal pyramidal slip contribution at room temperature. However, elevated temperatures significantly promote pyramidal <a> and <c+a> slip due to thermal activation. This transition stems from a shift in deformation mechanisms: while room-temperature deformation relies on multi-slip and grain rotation to accommodate strain, high-temperature deformation is governed by efficient slip transfer across grain boundaries enabled by enhanced geometrical compatibility. Consistent with this, thermal activation at elevated temperatures reduces the critical resolved shear stress (CRSS), preferentially activating 1/3<11–23> dislocations and thereby substantially improving plastic deformation capability. These findings provide critical insights into the temperature-dependent deformation mechanisms of Ti65 alloy, offering valuable guidance for performance optimization in high-temperature applications. Full article
(This article belongs to the Section Metals and Alloys)
Show Figures

Figure 1

18 pages, 8242 KB  
Article
Quasi-In Situ EBSD Investigation of Variant Evolution and Twin Formation in a Hot Isostatic Pressing-Treated Additively-Manufactured Titanium Alloy Under Tensile Loading
by Fengli Zhu, Jiahong Liang, Guojian Cao, Aihan Feng, Hao Wang, Shoujiang Qu and Daolun Chen
Materials 2025, 18(13), 3169; https://doi.org/10.3390/ma18133169 - 3 Jul 2025
Viewed by 678
Abstract
The advent of additive manufacturing (AM), also known as 3D printing, has revolutionized the production of titanium alloys, offering significant advantages in fabricating complex geometries with enhanced mechanical properties. This study investigates the variant-specific deformation mechanisms in HIP-treated TA15 (Ti-6.5Al-2Zr-1Mo-1V) titanium alloy, fabricated [...] Read more.
The advent of additive manufacturing (AM), also known as 3D printing, has revolutionized the production of titanium alloys, offering significant advantages in fabricating complex geometries with enhanced mechanical properties. This study investigates the variant-specific deformation mechanisms in HIP-treated TA15 (Ti-6.5Al-2Zr-1Mo-1V) titanium alloy, fabricated via selective electron beam melting (SEBM). The alloy exhibits a dual-phase (α+β) microstructure, where six distinct α variants are formed through the β→α phase transformation following the Burgers orientation relationship. Variant selection during AM leads to a non-uniform distribution of these α variants, with α6 (22.3%) dominating due to preferential growth. Analysis of the prismatic slip Schmid factor reveals that α4–α6 variants, with higher Schmid factors (>0.45), primarily undergo prismatic slip, while α1–α3 variants, with lower Schmid factors (<0.3), rely on basal or pyramidal slip and twinning for plastic deformation. In-grain misorientation axis (IGMA) analysis further reveals strain-dependent slip transitions: pyramidal slip is activated in α1–α3 variants at lower strains, while prismatic slip becomes the dominant deformation mechanism in α4–α6 variants at higher strains. Additionally, deformation twins, primarily {10–12}<1–101> extension twins (7.1%), contribute to the plasticity of hard-oriented α variants. These findings significantly enhance the understanding of the orientation-dependent deformation mechanisms in HIPed TA15 alloy and provide a crucial basis for optimizing the performance of additively-manufactured titanium alloys. Full article
(This article belongs to the Special Issue Novel Materials for Additive Manufacturing)
Show Figures

Figure 1

21 pages, 8169 KB  
Article
In Situ Investigation of the Mechanical Property Anisotropy of TC11 Forgings Through Electron Backscatter Diffraction
by Qineng Li, Ke Li and Wuhua Yuan
Materials 2025, 18(10), 2384; https://doi.org/10.3390/ma18102384 - 20 May 2025
Viewed by 559
Abstract
Electron backscatter diffraction and scanning electron microscopy were performed herein to in situ investigate the influence of texture on the anisotropic deformation mechanism of TC11 forged components. The in situ tensile specimen was cut from the TC11 ring forging, and the tensile force–displacement [...] Read more.
Electron backscatter diffraction and scanning electron microscopy were performed herein to in situ investigate the influence of texture on the anisotropic deformation mechanism of TC11 forged components. The in situ tensile specimen was cut from the TC11 ring forging, and the tensile force–displacement curve was recorded while the slip lines in the specimen surface detected was traced during the in situ tensile test. The tensile results show that the yield and ultimate tensile strengths decreased in the order of transverse-direction (TD) > rolling-direction (RD) > normal-direction (ND) samples. The anisotropy of the tensile strength was related to the differences in the activated slip systems of the ND, TD, and RD samples. The slip lines results show that in the yielding stage, the ND, TD, and RD samples were dominated by Prismatic <a>, Pyramidal <c + a>, and Pyramidal <a> slips, respectively. In order to further analyze the relationship between the slip system and the yield strength, an anisotropy coefficient was determined to evaluate the differences in resistances for different activated slip systems, providing a good explanation of the variations in the tensile strength anisotropy. The ratios of the critical resolved shear stress (CRSS) of the basal, Prismatic <a>, primary Pyramidal <c + a>, and secondary Pyramidal <c + a> slip systems in the α phase were estimated to be 0.93:1:1.18:1.05 based on the type, number, orientation of slip activations, and Schmid factor. Moreover, the Prismatic <a> slips primarily occurred in the axial and radial (ND and RD) samples with [0001] and [1-21-2] textures, whereas the Pyramidal <c + a> slip system was dominant in the TD samples with [112-2] and [101-2] textures. Overall, this research demonstrates that the activation of the α-phase slip depends on the grain orientation, SF, and the CRSS, promoting strong strength anisotropy. Full article
Show Figures

Figure 1

16 pages, 13986 KB  
Article
Orientation-Dependent Nanomechanical Behavior of Pentaerythritol Tetranitrate as Probed by Multiple Nanoindentation Tip Geometries
by Morgan C. Chamberlain, Alexandra C. Burch, Milovan Zečević, Virginia W. Manner, Marc J. Cawkwell and David F. Bahr
Crystals 2025, 15(5), 426; https://doi.org/10.3390/cryst15050426 - 30 Apr 2025
Viewed by 707
Abstract
Nanoindentation can be leveraged to aid in the high fidelity modeling of dislocation mediated plasticity in pentaerythritol tetranitrate (PETN), an anisotropic energetic molecular crystal. Moreover, nanoindentation tip parameters such as tip geometry, size, and degree of acuity can be utilized to target anisotropic [...] Read more.
Nanoindentation can be leveraged to aid in the high fidelity modeling of dislocation mediated plasticity in pentaerythritol tetranitrate (PETN), an anisotropic energetic molecular crystal. Moreover, nanoindentation tip parameters such as tip geometry, size, and degree of acuity can be utilized to target anisotropic behavior. In this work, nanoindentation was conducted across a range of orientations on the (110) face of PETN to characterize resultant yield behavior, mechanical property measurements, and resultant slip behavior and fracture initiation. Three different indentation tips were utilized: a 3-sided pyramidal Berkovich tip, a 4-sided high aspect ratio Knoop tip, and a 90° conical tip. Ultimately, indenter tip radius was documented to impact yield behavior, whereas tip geometry affected larger scale processes such as slip, and tip acuity was the dominating factor that led to fracture. The axisymmetric conical tip, serving as a baseline, showed the least amount of variation in mechanical property measurements but also the largest distribution of maximum shear stress at which initial yielding occurred. Its high degree of acuity, however, was more prone to induce fracture at higher loads. The Knoop tip was shown to be suitable for average measurements, but also for elucidation of certain anisotropic features. A distinctly higher perceived hardness at 45° was measured with the Knoop tip, indicating less dislocation motion in that direction also observed in this work via scanning probe microscopy. Lastly, the commonly used Berkovich tip was a good compromise whereby it provided a representative volume element describing the average behavior of the material. These results can be utilized to target desired anisotropic behavior in a wider range of molecular crystals, as well as to inform theoretical considerations for dislocation mediated plasticity in PETN. Full article
(This article belongs to the Special Issue Microstructure and Characterization of Crystalline Materials)
Show Figures

Figure 1

12 pages, 7227 KB  
Article
Dislocation Transformations at the Common 30°⟨0001⟩ Grain Boundaries During Plastic Deformation in Magnesium
by Yulong Zhu, Yaowu Sun, An Huang, Fangxi Wang and Peng Chen
Nanomaterials 2025, 15(3), 232; https://doi.org/10.3390/nano15030232 - 31 Jan 2025
Cited by 1 | Viewed by 1190
Abstract
After the thermal-mechanical processing of Mg alloys, extensive 30°⟨0001⟩ grain boundaries (GBs) are present in the recrystallized structure, which strongly affects the mechanical properties via interactions with lattice dislocations. In this work, we systematically investigate how the 30°⟨0001⟩ GBs influence the slip transmission [...] Read more.
After the thermal-mechanical processing of Mg alloys, extensive 30°⟨0001⟩ grain boundaries (GBs) are present in the recrystallized structure, which strongly affects the mechanical properties via interactions with lattice dislocations. In this work, we systematically investigate how the 30°⟨0001⟩ GBs influence the slip transmission during plastic deformation. We reveal that basal dislocations can be transmuted into its neighboring grain and continue gliding on the basal plane. The prismatic dislocation can transmit the GB remaining on the same Burgers vector. However, a mobile pyramidal c+a dislocation can be absorbed at GBs, initiating the formation of new grain. These findings provide a comprehensive understanding on GB-dislocation interaction in hexagonal close-packed (HCP) metals. Full article
(This article belongs to the Special Issue Mechanical Properties and Applications for Nanostructured Alloys)
Show Figures

Figure 1

13 pages, 8877 KB  
Article
The Influence of the Strain Rate on Texture Formation During the Plane Strain Compression of AZ80 Magnesium Alloy
by Yebeen Ji, Jimin Yun, Kibeom Kim, Tae Hee Lee and Kwonhoo Kim
Materials 2024, 17(24), 6292; https://doi.org/10.3390/ma17246292 - 23 Dec 2024
Viewed by 744
Abstract
Controlling microstructure and texture development is a key approach to improving the formability of magnesium alloys. In this study, the effects of the strain rate and initial texture on the texture evolution of magnesium alloys during high-temperature processing are investigated. The plane strain [...] Read more.
Controlling microstructure and texture development is a key approach to improving the formability of magnesium alloys. In this study, the effects of the strain rate and initial texture on the texture evolution of magnesium alloys during high-temperature processing are investigated. The plane strain compression of three types of AZ80 magnesium alloys with different initial textures was assessed at 723 K and a train rate of 0.0005 s−1. Work softening was consistently observed in the stress–strain curves of all samples. However, the peak stress varied depending on the initial texture, with lower peak stress observed under conditions favoring prismatic slip. Under these conditions, the activation of non-basal slip suppressed the formation of basal texture. The texture shifted and developed parallel to the transverse direction when prismatic slip was dominant. In contrast, the activation of pyramidal slip led to the formation of a basal texture tilted by 25° from the (0001) plane. The effects of recrystallization and grain boundary migration on texture development were minimal. This study contributes to understanding the texture development mechanisms in magnesium alloys and provides insights into improving their workability and ductility through texture modification. Full article
(This article belongs to the Special Issue Advances in Materials Processing (3rd Edition))
Show Figures

Figure 1

16 pages, 7065 KB  
Article
Hot Deformation Behavior of Electron-Beam Cold-Hearth Melted Ti-6Al-4V Alloy
by Weiju Jia, Chengliang Mao and Wei Zhou
Metals 2024, 14(12), 1459; https://doi.org/10.3390/met14121459 - 20 Dec 2024
Viewed by 881
Abstract
The deformation behavior and microstructure changes of electron-beam cold-hearth-melted (EBCHM) Ti-6Al-4V alloy were investigated. The stress–strain curves of the alloy were obtained, the constitutive model was established based on the Arrhenius equation, and the hot processing map was drawn. The results showed that [...] Read more.
The deformation behavior and microstructure changes of electron-beam cold-hearth-melted (EBCHM) Ti-6Al-4V alloy were investigated. The stress–strain curves of the alloy were obtained, the constitutive model was established based on the Arrhenius equation, and the hot processing map was drawn. The results showed that the stress of the alloy decreases with increasing temperature and decreasing strain rate. In the β phase field, there are more recrystallized grains when the strain rate is slow, and the recrystallization of the β phase does not have enough time to occur when the strain rate is fast. There are obvious shear bands in the microstructure at the strain rate of 10 s−1. In the α + β field, the morphology and crystallographic orientation of the microstructure changed simultaneously. Globularization is a typical microstructure evolution characteristic. The prismatic slip is easier to activate than basal and pyramidal slips. Moreover, globularization of the lamellar α phase is not synchronously crystallographic and morphological. Full article
(This article belongs to the Special Issue Structure and Mechanical Properties of Titanium Alloys)
Show Figures

Figure 1

15 pages, 5243 KB  
Article
Modifying Microstructure and Improving Mechanical Properties of New Ti-Al-V Titanium Alloys via Fe Addition
by Guoqing Dai, Hai Gu, Jie Zhang, Jie Jiang, Jianhua Sun and Zhonggang Sun
Materials 2024, 17(21), 5161; https://doi.org/10.3390/ma17215161 - 23 Oct 2024
Cited by 2 | Viewed by 1422
Abstract
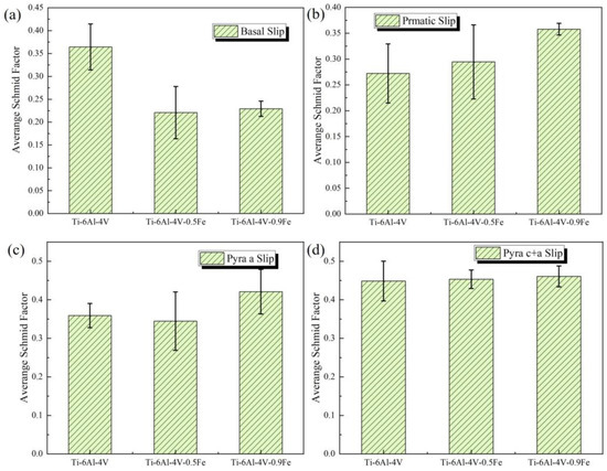
A comprehensive study was carried out to investigate the effects of Fe addition (0–0.9 wt.%) on the microstructure evolution and mechanical properties of Ti-6Al-4V alloys. The results indicate that Fe addition has a significant refinement effect on the microstructure of titanium alloys; specifically, [...] Read more.
A comprehensive study was carried out to investigate the effects of Fe addition (0–0.9 wt.%) on the microstructure evolution and mechanical properties of Ti-6Al-4V alloys. The results indicate that Fe addition has a significant refinement effect on the microstructure of titanium alloys; specifically, 0.9 wt.% Fe addition can lead to a 47.37% decrease in the width of lamellar α. The modulus also decreases by 18.89% with the increase in the Fe content, being 91.40 GPa in Ti-6Al-4V-0.9Fe. And the microhardness and wear resistance are improved due to Fe addition. In addition, the constitutive equation of the Fe content and the elastic compliance coefficient were calculated, which can better describe the relationship between Fe addition and the elastic–plastic properties of titanium alloys. The slip systems’ activity during the deformation process was also discussed using the Schmid factor. It shows that Fe addition is beneficial for the activity of prismatic and pyramidal slip systems, especially in the {101¯0} <112¯0>, {101¯1} <112¯3>, and {112¯2} <112¯3> slip systems. Full article
Show Figures

Figure 1

20 pages, 4839 KB  
Article
Critical Resolved Shear Stress and Work Hardening Determination in HCP Metals: Application to Zr Single Crystals
by Jean-Sébastien Lecomte, Jérôme Crépin and Pierre Barberis
Metals 2024, 14(10), 1101; https://doi.org/10.3390/met14101101 - 25 Sep 2024
Cited by 1 | Viewed by 2314
Abstract
Obtaining precise parameters of deformation modes remains a significant challenge in materials science research. Critical resolved shear stresses (CRSS) and work hardening, particularly in hexagonal metals, are crucial parameters for constitutive laws in crystal plasticity. This paper presents a novel approach to determine [...] Read more.
Obtaining precise parameters of deformation modes remains a significant challenge in materials science research. Critical resolved shear stresses (CRSS) and work hardening, particularly in hexagonal metals, are crucial parameters for constitutive laws in crystal plasticity. This paper presents a novel approach to determine CRSS and specific hardening matrix coefficients for commercially pure zirconium (α-Zr) at room temperature. In situ methods are employed to measure displacement fields using grids applied to the sample surface, while a comprehensive characterization of the activated deformation systems is performed via SEM and TEM. The CRSS for prismatic a, pyramidal a, and 101¯2 and 112¯1 twinning systems, as well as the self-hardening for prismatic slip and several work-hardening coefficients (for prismatic/prismatic and prismatic/pyramidal interactions), are reported in Zr single crystals. Finally, the results are compared with findings from the literature and atomistic simulations. Full article
(This article belongs to the Special Issue Metal Plastic Deformation and Forming)
Show Figures

Figure 1

17 pages, 13251 KB  
Article
The Action Mechanism of Rolling Texture on the Anisotropic Behavior of a Pure Titanium Plate
by Sanzhong Wang, Wei Li, Ziteng Huang, Songsong Li, Genmao Zhang and Hui Yu
Metals 2024, 14(8), 849; https://doi.org/10.3390/met14080849 - 24 Jul 2024
Cited by 3 | Viewed by 1768
Abstract
This work combined theoretical calculation with experimental characterization to methodically study the anisotropy mechanism and evolution of the plastic behavior of pure titanium. Initially, a constant-strain uniaxial tensile test was used to measure the anisotropy of the yield behavior along the rolling direction [...] Read more.
This work combined theoretical calculation with experimental characterization to methodically study the anisotropy mechanism and evolution of the plastic behavior of pure titanium. Initially, a constant-strain uniaxial tensile test was used to measure the anisotropy of the yield behavior along the rolling direction (RD) and transverse direction (TD). Subsequently, the information of crystal orientation both before and after deformation was statistically characterized using electron backscatter diffraction (EBSD). Ultimately, the main deformation mechanism was determined by combining Schmid law with an analysis of the variation of SF values of each deformation mode with the angular relationship between the loading axis and the grain’s c-axis. The findings demonstrate that, for each slip system, the variation trend and value of the SF are influenced by the angle formed by the loading axis and the grain’s c- and a-axes. The primary result of dislocation slip activation is the change of the tilt angle of the grain c-axis from ND to TD, but this has little effect on the tilt angle of the grain c-axis from ND to RD. Prismatic <a> slip dominates the tensile deformation along the RD. Pyramidal <a> slip and pyramidal <c+a> slip will be activated during the subsequent hardening, whereas basal <a> slip is difficult to activate. The prismatic <a> slip in the soft-oriented grain will be preferentially activated during the tensile deformation along the TD, and the prismatic <a> slip and pyramidal <a> slip will become the dominant deformation modes during the subsequent hardening. Some soft-oriented grains could activate basal <a> slip and pyramidal <c+a> slip, but dislocation slip is restricted and coordinated by {10-12}ET. Full article
Show Figures

Figure 1

18 pages, 12993 KB  
Article
Dynamic Recrystallization, Texture Evolution, and Improved Mechanical Properties of Mg-Y-Zn-V Alloy during Forging and Subsequent Extruding Deformation
by Wenjie Liu, Changjiang Zhang, Qun Shi, Fuyin Han and Peng Cao
Metals 2024, 14(3), 259; https://doi.org/10.3390/met14030259 - 22 Feb 2024
Cited by 4 | Viewed by 2047
Abstract
In this paper, the electron backscatter diffraction (EBSD) technique was used to analyze the dynamic recrystallization (DRX), twinning, slip behavior, and texture evolution during forging and subsequent extruding deformation. The results show that, as the degree of strain increased (forging to extruding), the [...] Read more.
In this paper, the electron backscatter diffraction (EBSD) technique was used to analyze the dynamic recrystallization (DRX), twinning, slip behavior, and texture evolution during forging and subsequent extruding deformation. The results show that, as the degree of strain increased (forging to extruding), the degree of DRX increased, and the DRX mechanism changed from discontinuous DRX (DDRX) during forging to DDRX and continuous DRX (CDRX) during extruding. Particle stimulation nucleation (PSN) promoting DRX occurred during deformation. The deformation process mainly produced {10–12} twins (TTW) and played a role in coordinating the deformation. The slip behavior also changed according to an analysis of in-grain misorientation axes (IGMA) results, changing from slip-dominated with a basal <a> slip to co-dominated with multiple slip modes, with the activation of mainly prismatic <a> and pyramidal <c+a> slip. Meanwhile, the strong basal texture at the beginning of the deformation also changed, and the texture strength decreased from 24.81 to 15.56. The weakening of the texture was mainly due to the formation of DRX grains and twins, as the newly formed DRX and twins reoriented. In the later stages of deformation, the activation of prismatic <a> slip and pyramidal <c+a> slip changed the basal texture component. Based on microstructural analysis, the improvement in mechanical properties was due to fine-grain strengthening and load-transfer strengthening. The ultimate tensile strength (UTS) was 370.5 MPa, the yield strength (YS) was 340.1 MPa, and the elongation (EL) was 15.6%. Full article
Show Figures

Figure 1

11 pages, 5718 KB  
Article
A Classical Molecular Dynamics Study of the Effect of the Atomic Force Microscope Tip Shape, Size and Deformation on the Tribological Properties of the Graphene/Au(111) Interface
by Cem Maden, Hande Ustunel and Daniele Toffoli
Lubricants 2024, 12(2), 46; https://doi.org/10.3390/lubricants12020046 - 6 Feb 2024
Cited by 1 | Viewed by 2150
Abstract
Atomic force microscopes are used, besides their principal function as surface imaging tools, in the surface manipulation and measurement of interfacial properties. In particular, they can be modified to measure lateral friction forces that occur during the sliding of the tip against the [...] Read more.
Atomic force microscopes are used, besides their principal function as surface imaging tools, in the surface manipulation and measurement of interfacial properties. In particular, they can be modified to measure lateral friction forces that occur during the sliding of the tip against the underlying substrate. However, the shape, size, and deformation of the tips profoundly affect the measurements in a manner that is difficult to predict. In this work, we investigate the contribution of these effect to the magnitude of the lateral forces during sliding. The surface substrate is chosen to be a few-layer AB-stacked graphene surface, whereas the tip is initially constructed from face-centered cubic gold. In order to separate the effect of deformation from the shape, the rigid tips of three different shapes were considered first, namely, a cone, a pyramid and a hemisphere. The shape was seen to dictate all aspects of the interface during sliding, from temperature dependence to stick–slip behavior. Deformation was investigated next by comparing a rigid hemispherical tip to one of an identical shape and size but with all but the top three layers of atoms being free to move. The deformation, as also verified by an indentation analysis, occurs by means of the lower layers collapsing on the upper ones, thereby increasing the contact area. This collapse mitigates the friction force and decreases it with respect to the rigid tip for the same vertical distance. Finally, the size effect is studied by means of calculating the friction forces for a much larger hemispherical tip whose atoms are free to move. In this case, the deformation is found to be much smaller, but the stick–slip behavior is much more clearly seen. Full article
(This article belongs to the Special Issue Friction and Wear on the Atomic Scale)
Show Figures

Graphical abstract

Back to TopTop