Sign in to use this feature.

Years

Between: -

Subjects

remove_circle_outline
remove_circle_outline
remove_circle_outline
remove_circle_outline
remove_circle_outline
remove_circle_outline
remove_circle_outline
remove_circle_outline
remove_circle_outline

Journals

remove_circle_outline
remove_circle_outline
remove_circle_outline
remove_circle_outline
remove_circle_outline

Article Types

Countries / Regions

remove_circle_outline
remove_circle_outline
remove_circle_outline
remove_circle_outline
remove_circle_outline

Search Results (410)

Search Parameters:
Keywords = purification and identification

Order results
Result details
Results per page
Select all
Export citation of selected articles as:
18 pages, 1730 KB  
Article
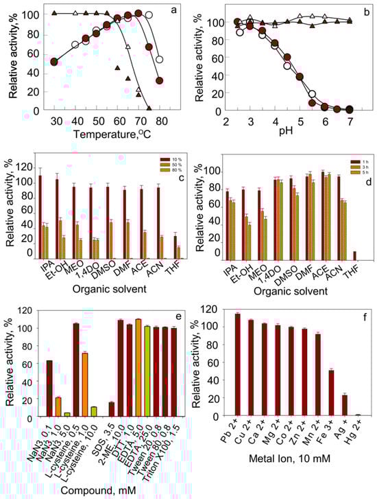
Hirschioporus abietinus Laccase: Cloning, Heterologous Expression, Characterization and Solvent Tolerance Evaluation
by Ingrida Radveikienė, Marius Dagys, Rita Meškienė, Rolandas Meškys, Regina Vidžiūnaitė and Vida Časaitė
Molecules 2026, 31(3), 458; https://doi.org/10.3390/molecules31030458 - 28 Jan 2026
Abstract
Laccases are versatile biocatalysts with broad industrial relevance. Their heterologous expression enables efficient production, purification, and functional optimization. The white-rot fungus Hirschioporus abietinus produces an effective extracellular laccase (Lac2), inspiring the identification and cloning of its encoding gene. To enable high and stable [...] Read more.
Laccases are versatile biocatalysts with broad industrial relevance. Their heterologous expression enables efficient production, purification, and functional optimization. The white-rot fungus Hirschioporus abietinus produces an effective extracellular laccase (Lac2), inspiring the identification and cloning of its encoding gene. To enable high and stable enzyme production, the gene was expressed in Pichia pastoris and the cultivation conditions for the selected variant were optimized to enhance the yield of recombinant laccase. The Lac2 was then purified and its biochemical properties characterized. The high-redox potential laccase Lac2 exhibited strong tolerance to common metal ions and maintained catalytic activity in the presence of a range of organic solvents. Overall, the results suggest that Lac2 possesses properties compatible with small-scale production and effective use in biosensor systems. Full article
(This article belongs to the Section Macromolecular Chemistry)
Show Figures

Figure 1

23 pages, 1605 KB  
Review
Network-Driven Insights into Plant Immunity: Integrating Transcriptomic and Proteomic Approaches in Plant–Pathogen Interactions
by Yujie Lv and Guoqiang Fan
Int. J. Mol. Sci. 2026, 27(3), 1242; https://doi.org/10.3390/ijms27031242 - 26 Jan 2026
Abstract
Plant immunity research is being reshaped by integrative multi-omics approaches that connect transcriptomic, proteomic, and interactomic data to build systems-level views of plant–pathogen interactions. This review outlines the scope and methodological landscape of these approaches, with particular emphasis on how transcriptomic and proteomic [...] Read more.
Plant immunity research is being reshaped by integrative multi-omics approaches that connect transcriptomic, proteomic, and interactomic data to build systems-level views of plant–pathogen interactions. This review outlines the scope and methodological landscape of these approaches, with particular emphasis on how transcriptomic and proteomic insights converge through network-based analyses to elucidate defense regulation. Transcriptomics captures infection-induced transcriptional reprogramming, while proteomics reveals protein abundance changes, post-translational modifications, and signaling dynamics essential for immune activation. Network-driven computational frameworks including iOmicsPASS, WGCNA, and DIABLO enable the identification of regulatory modules, hub genes, and concordant or discordant molecular patterns that structure plant defense responses. Interactomic techniques such as yeast two-hybrid screening and affinity purification–mass spectrometry further map host–pathogen protein–protein interactions, highlighting key immune nodes such as receptor-like kinases, R proteins, and effector-targeted complexes. Recent advances in machine learning and gene regulatory network modeling enhance the predictive interpretation of transcription–translation relationships, especially under combined or fluctuating stress conditions. By synthesizing these developments, this review clarifies how integrative multi-omics and network-based frameworks deepen understanding of the architecture and coordination of plant immune networks and support the identification of molecular targets for engineering durable pathogen resistance. Full article
Show Figures

Figure 1

25 pages, 4622 KB  
Article
A Species-Specific COI PCR Approach for Discriminating Co-Occurring Thrips Species Using Crude DNA Extracts
by Qingxuan Qiao, Yaqiong Chen, Jing Chen, Ting Chen, Huiting Feng, Yussuf Mohamed Salum, Han Wang, Lu Tang, Hongrui Zhang, Zheng Chen, Tao Lin, Hui Wei and Weiyi He
Biology 2026, 15(2), 171; https://doi.org/10.3390/biology15020171 - 17 Jan 2026
Viewed by 241
Abstract
Thrips are cosmopolitan agricultural pests and important vectors of plant viruses, and the increasing coexistence of multiple morphologically similar species has intensified the demand for species-specific molecular identification. However, traditional morphological identification and PCR assays using universal primers are often inadequate for mixed-species [...] Read more.
Thrips are cosmopolitan agricultural pests and important vectors of plant viruses, and the increasing coexistence of multiple morphologically similar species has intensified the demand for species-specific molecular identification. However, traditional morphological identification and PCR assays using universal primers are often inadequate for mixed-species samples and field-adaptable application. In this study, we developed a species-specific molecular identification framework targeting a polymorphism-rich region of the mitochondrial cytochrome c oxidase subunit I (COI) gene, which is more time-efficient than sequencing-based COI DNA barcoding, for four economically important thrips species in southern China, including the globally invasive Frankliniella occidentalis. By aligning COI sequences, polymorphism-rich regions were identified and used to design four species-specific primer pairs, each containing a diagnostic 3′-terminal nucleotide. These primers were combined with a PBS-based DNA extraction workflow optimized for single-insect samples that minimizes dependence on column-based purification. The assay achieved a practical detection limit of 1 ng per reaction, demonstrated species-specific amplification, and maintained reproducible amplification at DNA inputs of ≥1 ng per reaction. Notably, PCR inhibition caused by crude extracts was effectively alleviated by fivefold dilution. Although the chemical identities of the inhibitors remain unknown, interspecific variation in inhibition strength was observed, with T. hawaiiensis exhibiting the strongest suppression, possibly due to differences in lysate composition. This integrated framework balances target specificity, operational simplicity, and dilution-mitigated inhibition, providing a field-adaptable tool for thrips species identification and invasive species monitoring. Moreover, it provides a species-specific molecular foundation for downstream integration with visual nucleic acid detection platforms, such as the CRISPR/Cas12a system, thereby facilitating the future development of portable molecular identification workflows for small agricultural pests. Full article
(This article belongs to the Special Issue The Biology, Ecology, and Management of Plant Pests)
Show Figures

Figure 1

17 pages, 2269 KB  
Article
Purification, Structural Characterization, and Antibacterial Evaluation of Poly-γ-Glutamic Acid from Bacillus subtilis
by Gobinath Chandrakasan, Genaro Martin Soto-Zarazúa, Manuel Toledano-Ayala, Priscila Sarai Flores-Aguilar and Said Arturo Rodríguez-Romero
Polymers 2026, 18(2), 172; https://doi.org/10.3390/polym18020172 - 8 Jan 2026
Viewed by 292
Abstract
Extracellular poly-γ-glutamic acid (γ-PGA) produced by Bacillus species demonstrates significant antibacterial properties, positioning it as a promising candidate for diverse biomedical and industrial applications. This study focused on molecular identification of Bacillus subtilis using Polymerase Chain Reaction (PCR) and evaluated the initial production [...] Read more.
Extracellular poly-γ-glutamic acid (γ-PGA) produced by Bacillus species demonstrates significant antibacterial properties, positioning it as a promising candidate for diverse biomedical and industrial applications. This study focused on molecular identification of Bacillus subtilis using Polymerase Chain Reaction (PCR) and evaluated the initial production of γ-PGA from a novel biological source of Bacillus subtilis. Shake flask fermentation was utilized for γ-PGA production, with three distinct growth media (Tryptic, MRS, and Mineral medium) assessed for their efficiency in polymer yield. Characterization of γ-PGA was conducted through FT-IR, HPLC, and GC-MS analyses. FT-IR spectroscopy confirmed the presence of characteristic functional groups such as carbonyl, amide, and hydroxyl groups. HPLC and GC-MS analyses provided insights into the polymer’s purity and molecular composition, highlighting components like methyl esters, hexanoic acid, and monomethyl esters. Furthermore, the study quantified γ-PGA production during a four-day shake flask fermentation period. These findings contribute significantly to bacterial characterization, optimization of fermentation processes, and the exploration of γ-PGA’s potential as an antibacterial agent. Future research directions include refining purification techniques to enhance γ-PGA’s antibacterial efficacy and expanding its applications across various fields. Full article
Show Figures

Graphical abstract

15 pages, 848 KB  
Article
Removal of Phenolic Compounds from Wastewater Through an Alternative Process with Zero-Valent Magnesium as Reactive Material
by Giulia Maria Curcio, Jose Luis Cayambe Guaman, Elvis Gribaldo Aucancela Rivera, Tiziana Andreoli, Rosaria Bruno, Carlo Limonti and Alessio Siciliano
Sustainability 2026, 18(2), 631; https://doi.org/10.3390/su18020631 - 8 Jan 2026
Viewed by 223
Abstract
Phenolic compounds are widespread environmental contaminants whose removal from water and wastewater is essential for ecosystem protection. Among the several purification technologies, the use of zero-valent metals has gained increasing interest in recent years. The identification of effective and environmentally friendly materials is [...] Read more.
Phenolic compounds are widespread environmental contaminants whose removal from water and wastewater is essential for ecosystem protection. Among the several purification technologies, the use of zero-valent metals has gained increasing interest in recent years. The identification of effective and environmentally friendly materials is a key issue for the development of this technology. In this study, zero-valent magnesium (ZVMg), a highly reactive non-toxic material, was used for the first time for the degradation of gallic acid (GA), chosen as a model phenolic compound, in an aqueous system. Several tests were conducted in order to identify the effect of pH, ZVMg amount, and temperature on the process performance. Moreover, the reusability of the reactive material in subsequent treatment cycles was assessed. Optimal operational conditions were achieved with a ZVMg amount of 0.3 g, corresponding to a ratio of 0.33 gGA/gMg, reaching a removal efficiency of almost 90% in about 180 min. The performance was clearly favored by an alkaline environment, and yields close to the maximum values were reached under uncontrolled pH conditions. The increase in temperature significantly accelerated the reaction rate, which followed pseudo-first-order kinetic law, achieving high abatement percentages with a reduced quantity of ZVMg. Finally, Mg0 demonstrated good reusability, maintaining high efficiency, close to 78%, for up to four cycles, with the possibility of restoring the material’s activity through acid washing. The detected results confirm that ZVMg is a promising and sustainable reactive material for environmental remediation processes, offering an effective alternative for the treatment of water contaminated by phenolic compounds. Full article
(This article belongs to the Special Issue Sustainable Solutions for Wastewater Treatment and Recycling)
Show Figures

Figure 1

15 pages, 1746 KB  
Article
Gene-Polymorphism Effects on Growth Efficiency in the Kalmyk Breed of Central Asia
by Nurlybay Kazhgaliyev, Kaster Nurgulsim, Miras Gabbassov, Aizhan Makhanbetova, Assylbek Zhanabayev, Ascar Terlikbayev, Tolegen Assanbayev, Maxat Toishimanov and Tlekbol Sharapatov
Genes 2026, 17(1), 1; https://doi.org/10.3390/genes17010001 - 19 Dec 2025
Viewed by 360
Abstract
Background/Objectives: Understanding the genetic basis of growth and fat deposition is crucial for improving beef productivity in Kalmyk cattle, a breed well adapted to the extreme climatic conditions of Kazakhstan. The present study aimed to determine the effects of single-nucleotide polymorphisms (SNPs) in [...] Read more.
Background/Objectives: Understanding the genetic basis of growth and fat deposition is crucial for improving beef productivity in Kalmyk cattle, a breed well adapted to the extreme climatic conditions of Kazakhstan. The present study aimed to determine the effects of single-nucleotide polymorphisms (SNPs) in the CRTC2 and ELOVL6 genes on intramuscular fat content and to evaluate their associations with growth and meat quality traits in 18-month-old Kalmyk heifers raised under different environmental conditions. Methods: A total of 400 clinically healthy Kalmyk heifers (200 from LLP “Qazaq Asyldary” and 200 from LLP “Agrofirma Turikpen”) were examined. All animals originated from closed breeding herds, and only unrelated individuals without common ancestors to the third generation were included. Zootechnical measurements— live weight, withers height, chest depth, chest girth, and body length—were performed twice by a trained specialist. Backfat thickness and musculus longissimus dorsi depth were measured postmortem. Blood samples were collected for genomic DNA extraction using the GeneJET purification kit, and DNA quality was assessed by Nanodrop, Qubit, and agarose gel electrophoresis. Target fragments of CRTC2 and ELOVL6 were amplified (150–200 bp) and sequenced on an ABI 3500 system. SNP identification, allele frequencies, and genotyping were performed by alignment to the Bos taurus ARS-UCD1.2 reference genome. Statistical analyses were conducted in RStudio using linear and mixed models with “farm” as a random effect. Results: Only one informative polymorphism, g.133528A>G in ELOVL6, was detected. Three genotypes (AA, AG, GG) were observed, with the heterozygous AG genotype showing significantly higher live weight, greater body length, and improved linear measurements compared to AA and GG. No significant associations were detected with backfat thickness or muscle depth. The g.133528A>G polymorphism in ELOVL6 positively influences growth traits without increasing fatness, aligning with the naturally lean phenotype of Kalmyk cattle. Conclusions: The AG genotype may serve as a promising marker for selecting faster-growing animals in marker-assisted breeding programs. Full article
(This article belongs to the Section Animal Genetics and Genomics)
Show Figures

Figure 1

21 pages, 37241 KB  
Article
Genome-Wide Identification of the AGC Kinase Family in Tetraploid Potato (Solanum tuberosum L.) Cultivar ‘Qingshu No. 9’ and Functional Analysis of StD6PK in Response to Late Blight (Phytophthora infestans)
by Yifan Zhou, Chunna Lv, Yihan Zhao, Yuting Bao and Fang Wang
Plants 2025, 14(24), 3818; https://doi.org/10.3390/plants14243818 - 15 Dec 2025
Viewed by 425
Abstract
The AGC kinase family is crucial for regulating plant disease resistance, integrating hormone signals, managing reactive oxygen species (ROS) metabolism, and maintaining redox balance. However, research on AGC kinases in Solanaceae plants is limited, and the functions of most AGC kinases remain unidentified. [...] Read more.
The AGC kinase family is crucial for regulating plant disease resistance, integrating hormone signals, managing reactive oxygen species (ROS) metabolism, and maintaining redox balance. However, research on AGC kinases in Solanaceae plants is limited, and the functions of most AGC kinases remain unidentified. Using the tetraploid potato (Solanum tuberosum L.) cultivar ‘Tingsha No. 9’, we conducted a genome-wide identification of the AGC gene family and profiled transcript responses to late-blight (Phytophthora infestans) stress. Additionally, we examined the subcellular localization and characterized the phenotypic responses of overexpression lines of the late-blight–responsive kinase StD6PK under late-blight stress. A total of 141 AGC family members were identified in ‘Qingshu No. 9’, categorized into eight subfamilies. This classification includes one cultivar-specific subfamily that was previously unrecognized, as well as 50 AGC family members within subfamily 1. AGC family members had significant differences in physicochemical characteristics and most of which were located in the nucleus. AGC family members are distributed on 46 chromosomes, with the largest number of chromosome 11 and the least number of chromosome 7. Gene duplication is dominated by whole-genome duplication (WGD) and segmental duplication. Ka/Ks values of all collinear pairs are less than 1. Purification selection drives family evolution in a long evolutionary process. Its promoter is rich in light-responsive, hormone-responsive, and stress-responsive elements, and its expression varies significantly in tissues; and some genes are highly expressed in specific organs. RNA-seq analysis revealed that 78.1% of the members responded to late-blight stress, and the expression levels of the selected eight subfamily members all showed significant increases or decreases after inoculation with late blight. StD6PK (Soltu.Q9.Chr04_A40011450.g) was strongly induced at 48~72 h, and its expression level at 72 h was 5.7 times higher than that at 0 h. Stable transformation of potato demonstrated that overexpression of StD6PK could enhance the resistance of potato to late blight, with subcellular localization revealing its nuclear localization characteristic. This study was the first time to complete the identification of AGC family genome of tetraploid potato ‘Qingshu No. 9’, reveal its evolution and expression characteristics, clarify the response characteristics of StD6PK to late blight, and provide insights into the evolutionary and functional basis of the AGC kinase gene family in potato late blight resistance mechanisms, while supplying genetic resources to accelerate the development of late blight-resistant germplasm. Full article
(This article belongs to the Section Plant Genetics, Genomics and Biotechnology)
Show Figures

Figure 1

17 pages, 972 KB  
Article
Concurrent Assessment of Synthetic and Natural Compounds on the Proliferation of Toxoplasma gondii in In Vitro Models
by Alejandro Zamora-Vélez, Derly Lorena Vanegas, María Camila Fernández, Gerardo Ramos, Edwar Cortés, Ailan Farid Arenas, Néstor Cardona, Jessica Palacio-Rodriguez, Juan David Valencia-Hernandez, Luz Angela Veloza, Juan Carlos Sepúlveda-Arias and Jorge Enrique Gómez-Marín
Trop. Med. Infect. Dis. 2025, 10(12), 349; https://doi.org/10.3390/tropicalmed10120349 - 13 Dec 2025
Viewed by 904
Abstract
Concurrent evaluation of the antiparasitic efficacy of synthetic and natural compounds can provide novel insights into the development of anti-Toxoplasma drugs. We assessed 16 synthetic compounds and two fractions derived from the leaves of Tabebuia rosea and Tabebuia chrysantha tree species for [...] Read more.
Concurrent evaluation of the antiparasitic efficacy of synthetic and natural compounds can provide novel insights into the development of anti-Toxoplasma drugs. We assessed 16 synthetic compounds and two fractions derived from the leaves of Tabebuia rosea and Tabebuia chrysantha tree species for their in vitro activity against live parasites, employing strains that express green fluorescent protein and specific identification of bradyzoites using an anti-BAG1 monoclonal antibody. This study successfully identified several promising synthetic compounds with potent anti-Toxoplasma activity and favorable in vitro selectivity profiles, notably pyrazoline 2 and thiazolidinone 9. One thiazolidinone compound exhibited significant activity against extracellular tachyzoites, whereas one tree fraction demonstrated excellent activity against both tachyzoites and bradyzoites. Additionally, their in silico ADMET properties suggest their potential for good in vivo performance and CNS penetration. Although the natural extracts showed less potency in their crude form, they provide a basis for future purification efforts. The simultaneous evaluation of compounds sourced from diverse discovery pipelines can offer valuable insights into the development of drugs that target various biological pathways. Full article
(This article belongs to the Special Issue Advances in Toxoplasma gondii Infection Research)
Show Figures

Figure 1

15 pages, 1841 KB  
Article
Specific Instability of HLA-A*03:01 Expression in HEK-293 Cells
by María Area-Navarro, Alba Pastor-Moreno, Erika Scholz, Américo Cerqueira, Adrián Tirado-Herranz, Miguel Marcilla, Francesc Canals, Manel Juan, José Ramón Palacio and Iñaki Alvarez
Int. J. Mol. Sci. 2025, 26(23), 11357; https://doi.org/10.3390/ijms262311357 - 24 Nov 2025
Viewed by 692
Abstract
HEK-293 is a highly transfectable human cell line widely used as a model for protein expression. Since large amounts of cells are often required for the purification of HLA immunopeptidomes, suspension-growing variants, such as HEK-293F, facilitate the generation of sufficient cell quantities. The [...] Read more.
HEK-293 is a highly transfectable human cell line widely used as a model for protein expression. Since large amounts of cells are often required for the purification of HLA immunopeptidomes, suspension-growing variants, such as HEK-293F, facilitate the generation of sufficient cell quantities. The HLA class I-typing of these cells is HLA-A*02:01, -A*03:01, -B*07:02, and -C*07:02. HEK-293T cells have been previously used as a source of HLA peptide ligands derived from SARS-CoV-2 proteins. In this study, we purified and analyzed the HLA-I immunopeptidome of HEK-293 and HEK-293F cells using mass spectrometry. Cell surface expression of specific HLA-I allotypes was determined using flow cytometry with allele-specific antibodies. The HLA-I immunopeptidome of HEK-293 cells contained ligands from all three HLA-I allotypes, whereas that of HEK-293F cells lacked peptides derived from HLA-A*03:01. Flow cytometry experiments confirmed the absence of HLA-A*03:01 expression on the surface of HEK-293F cells. Additionally, we generated a HEK-293 transfectant co-expressing the β5i proteasome subunit and the SARS-CoV-2 Spike protein. This transfectant showed selective loss of HLA-A*03:01 expression, suggesting that HEK-293 linages tend to specifically lose this allotype. We propose that HEK-293F cells are unsuitable for the identification of HLA-A*03:01 ligands or for stimulating T-cell responses restricted to this allele. Moreover, HLA-A*03:01 expression should be regularly monitored in HEK-293-derived cells. Full article
(This article belongs to the Special Issue Latest Advances in Comparative Genomics)
Show Figures

Figure 1

12 pages, 2302 KB  
Communication
Phytochemical Investigation of Aquilaria agallocha and Identification of a Diarylheptanoid Exhibiting Anti-Tau Aggregation Activity
by Yeo Rang Cho, Jiyeon Kim, Bora Kim, Dong Min Kang, Yun Kyung Kim, Jin-Chul Kim, Sungsu Lim and Ki Hyun Kim
Biomedicines 2025, 13(12), 2855; https://doi.org/10.3390/biomedicines13122855 - 23 Nov 2025
Viewed by 455
Abstract
Agarwood from Aquilaria agallocha, known as chim-hyuang in Korea, is widely distributed throughout Southeast Asia and has traditionally been used to treat asthma, pain, and gastrointestinal disorders. As part of our ongoing efforts to identify bioactive metabolites from natural sources, a phytochemical [...] Read more.
Agarwood from Aquilaria agallocha, known as chim-hyuang in Korea, is widely distributed throughout Southeast Asia and has traditionally been used to treat asthma, pain, and gastrointestinal disorders. As part of our ongoing efforts to identify bioactive metabolites from natural sources, a phytochemical investigation of the EtOAc fraction of A. agallocha extract led to the isolation and identification of four compounds, N-trans-feruloyltyramine (1), (3R,5R)-octahydrocurcumin (2), 1,7-bis(4-hydroxyphenyl)heptane (3), and trans-caffeoyltyramine (4), via HPLC purification and LC/MS-based analysis. Structural elucidation of the isolated compounds was achieved using NMR spectroscopy, LC/MS, and high-resolution electrospray ionization mass spectrometry (HR-ESIMS). The absolute configuration of compound 2 was further confirmed by optical rotation and electronic circular dichroism (ECD) analyses. All isolated compounds (14) were evaluated for their inhibitory activity against tau protein aggregation. Notably, compound 2 exhibited a 43.7% reduction in tau aggregation at 20 μM, without cytotoxicity at the same concentration. These findings indicate that phytochemicals from A. agallocha, particularly the diarylheptanoid compound 2, hold promise as natural lead candidates for the development of therapeutic agents targeting tau protein aggregation. Full article
(This article belongs to the Section Neurobiology and Clinical Neuroscience)
Show Figures

Graphical abstract

15 pages, 2132 KB  
Article
Graph Anomaly Detection Algorithm Based on Multi-View Heterogeneity Resistant Network
by Yangrui Fan, Caixia Cui, Zhiqiang Wang, Hui Qi and Zhen Tian
Information 2025, 16(11), 985; https://doi.org/10.3390/info16110985 - 14 Nov 2025
Viewed by 1021
Abstract
Graph anomaly detection (GAD) aims to identify nodes or edges that deviate from normal patterns. However, the presence of heterophilic edges in graphs leads to feature over-smoothing issues. To overcome this limitation, this paper proposes the multi-view heterogeneity resistant network (MV-GHRN) model, which [...] Read more.
Graph anomaly detection (GAD) aims to identify nodes or edges that deviate from normal patterns. However, the presence of heterophilic edges in graphs leads to feature over-smoothing issues. To overcome this limitation, this paper proposes the multi-view heterogeneity resistant network (MV-GHRN) model, which progressively purifies heterophilic edges through multi-view collaboration. First, to address the noise sensitivity of single predictions, the method computes post-aggregation (PA) scores for both the original graph and its perturbed versions and performs weighted fusion, leveraging the consistency of multiple prediction perspectives to enhance the reliability of heterophilic edge identification. Second, a cosine similarity view is introduced as a complementary structural perspective, with both views independently completing heterophilic edge pruning to clean the graph structure from both topological and feature dimensions. Finally, a cross-view self-distillation mechanism is designed, using the fused predictions from the two purified views as teacher signals to guide the optimization of each view in reverse, correcting feature biases caused by heterophilic edges. Experiments on benchmark datasets such as YelpChi and Amazon demonstrate that the framework significantly outperforms existing methods. For instance, on the YelpChi dataset, MV-GHRN surpasses the best baseline by 16.8% and 5.2% in F1-Macro and AUC, respectively, validating the effectiveness of the progressive multi-view purification mechanism. Full article
Show Figures

Figure 1

21 pages, 1313 KB  
Article
Bioactivity-Directed Isolation of Anticancer Constituents from Underexplored Folklore: Rhus punjabensis Stewart
by Saira Tabassum, Joham Sarfraz Ali, Rida Fatima Saeed, Madiha Asghar, Myra Akhtar, Abdul Momin Rizwan Ahmad and Muhammad Zia
Molecules 2025, 30(22), 4339; https://doi.org/10.3390/molecules30224339 - 8 Nov 2025
Viewed by 705
Abstract
Background: Medicinal plants continue to offer a promising source of novel bioactive compounds for cancer therapy due to their affordability, biocompatibility, and low toxicity. Rhus punjabensis Stewart, an ethnomedicinal species from the family Anacardiaceae, has long been used in the traditional medicine of [...] Read more.
Background: Medicinal plants continue to offer a promising source of novel bioactive compounds for cancer therapy due to their affordability, biocompatibility, and low toxicity. Rhus punjabensis Stewart, an ethnomedicinal species from the family Anacardiaceae, has long been used in the traditional medicine of northern Pakistan to treat inflammatory, hepatic, and infectious diseases. However, its phytochemical composition and anticancer potential remain largely unexplored. Methods: This study employed a bioactivity-guided isolation strategy to identify and characterize anticancer constituents from R. punjabensis leaves. The plant material was sequentially fractionated using solvents of increasing polarity, followed by purification via column chromatography. Each fraction and purified compound was evaluated using antioxidant (DPPH, total antioxidant capacity, and total reducing power) and cytotoxic assays, including brine shrimp lethality, Sulfo-rhodamine B (SRB) against five human cancer cell lines, protein kinase inhibition, and NF-κB chemo-preventive assays. Results: Comparative analysis of spectral data (UV, 1D/2D NMR, and ESI-MS) led to the identification of three triterpenoid compounds—Lupeol, Cycloartenol, and β-sitosterol—reported for the first time from R. punjabensis. Among them, Lupeol displayed the most potent cytotoxicity against DU-145 prostate (IC50 = 11.2 ± 1.2 μg/mL) and HL-60 leukemia (IC50 = 15.2 ± 1.1 μg/mL) cell lines and showed significant NF-κB inhibitory activity (IC50 = 19.4 ± 1.1 μg/mL), indicating its chemo-preventive potential. Cycloartenoland β-sitosterol exhibited moderate antioxidant and antimicrobial activities. Conclusion: The findings validate the ethnopharmacological use of R. punjabensis and confirm it as a new source of triterpenoids with notable anticancer activity. This study provides the first comprehensive account of its bioactive metabolites, reinforcing the significance of bioactivity-directed isolation as a powerful approach for discovering natural anticancer agents. Further in vivo and mechanistic evaluations are warranted to establish their therapeutic efficacy and safety profiles. Full article
(This article belongs to the Special Issue Natural Products Chemistry in Asia)
Show Figures

Graphical abstract

14 pages, 1425 KB  
Article
Evaluating Sodium Hydroxide and Hydrogen Peroxide as Chemical Treatment for Cellulose Extraction from Clitoria fairchildiana Pruning Residues
by Mariana Barboza da Silva, Rosana Reis de Lima Araújo, Renata Maria Rosas Garcia Almeida, Carlos Eduardo de Farias Silva, Maria Regina Pereira Brandão, Thiago de Menezes Bernardino, Larissa Nascimento Lôbo, Jeniffer Mclaine Duarte de Freitas and Johnnatan Duarte de Freitas
Reactions 2025, 6(4), 60; https://doi.org/10.3390/reactions6040060 - 6 Nov 2025
Viewed by 1047
Abstract
Lignocellulosic residues represent a promising source of raw material for obtaining several high-value bioproducts, including cellulose and derivatives. One of the main barriers to cellulose extraction from these residues is the presence of other components associated with the cellulose matrix, such as lignin [...] Read more.
Lignocellulosic residues represent a promising source of raw material for obtaining several high-value bioproducts, including cellulose and derivatives. One of the main barriers to cellulose extraction from these residues is the presence of other components associated with the cellulose matrix, such as lignin and hemicellulose. To overcome this limitation, it is necessary to apply specific treatments to remove these constituents. In this study, the effectiveness of three chemical treatment methods in the purification of cellulose extracted from urban pruning biomass of the species Clitoria fairchildiana were evaluated, namely (i) alkaline treatment using dilute sodium hydroxide solution; (ii) alkaline treatment followed by bleaching with hydrogen peroxide; and (iii) alkaline treatment followed by bleaching with hydrogen peroxide and sodium hydroxide combined. The changes in chemical composition and thermal properties caused by each method were analyzed using techniques such as Fourier transform infrared spectroscopy (FTIR), thermogravimetric analysis (TGA), and scanning electron microscopy (SEM). The results demonstrated that the biomass pretreatment reduced the content of impurities, lignin, and hemicellulose, increasing the cellulose content to 37.16% in the combined treatment (H2O2 + NaOH). Furthermore, the FTIR spectra revealed characteristic bands of important functional groups, which reaffirmed the chemical structure of the extracted cellulose through the identification of hydroxyl, carbonyl groups, and C-H bending vibrations. Additionally, the SEM results indicated an increase in specific surface area and greater exposure of fibrils, providing visual confirmation of the removal of constituents from the cellulosic matrix. Collectively, these results demonstrate the potential of combined chemical treatments for the valorization of Clitoria fairchildiana biomass and indicate its technical feasibility for obtaining cellulose with a higher degree of purity. Full article
Show Figures

Figure 1

19 pages, 4507 KB  
Article
Digital Microfluidics-Driven Cell-Free Protein Synthesis Platform Reveals Expression and Stability Determinants for Phytoglobins and Cysteine-to-Alanine Substituted Variants
by Leonard Groth and Leif Bülow
Antioxidants 2025, 14(11), 1317; https://doi.org/10.3390/antiox14111317 - 31 Oct 2025
Viewed by 871
Abstract
Heme proteins are central to metabolism and stress responses but remain challenging to express recombinantly due to cytotoxicity and folding constraints. Phytoglobins (Pgbs) exemplify these difficulties, as expression protocols often fail to translate across protein species. Here, we used a cell-free protein synthesis [...] Read more.
Heme proteins are central to metabolism and stress responses but remain challenging to express recombinantly due to cytotoxicity and folding constraints. Phytoglobins (Pgbs) exemplify these difficulties, as expression protocols often fail to translate across protein species. Here, we used a cell-free protein synthesis (CFPS) platform powered by digital microfluidics to screen expression determinants for sugar beet Pgb 1.2 (BvPgb 1.2), its C86A variant, and three of eight newly identified oat Pgbs (AsPgbs), including their cysteine-to-alanine substituted variants. Benchmarking with multiple solubility tags and cell-free blends revealed protein- and variant-specific preferences, with alanine substitutions frequently improving expression and purification yields. Oxidative additives such as glutathione disulfide, alone or combined with protein disulfide isomerase, consistently enhanced production, underscoring the importance of redox environments for Pgb stability. Two selected variants were scaled up and yielded putative soluble apo-form proteins. The results highlight how CFPS enables rapid, parallelized identification of expression requirements while uncovering the role of conserved cysteines and redox conditions in Pgb biogenesis. Full article
(This article belongs to the Section Health Outcomes of Antioxidants and Oxidative Stress)
Show Figures

Figure 1

25 pages, 10150 KB  
Article
Extraction, Purification and Identification of Bovine Lung Peptides and Its Antioxidant Effects on H2O2-Induced HepG2 Cells and Mice with Alcoholic Liver Injury
by Xingyu Xiao, Xunming Zhang, Yi Li, Tong Su, Shuo Zheng, Jiayuan Fang, Qinchuan Lv, Dacheng Wang and Linlin Hao
Antioxidants 2025, 14(11), 1314; https://doi.org/10.3390/antiox14111314 - 31 Oct 2025
Viewed by 837
Abstract
In this study, we constructed an extraction process for bovine lung peptide-1 (BLP-1) derived from bovine lung tissue utilizing single-factor optimization combined with response surface methodology. We systematically analyzed its antioxidant activity, biological safety, and therapeutic mechanisms against alcoholic liver disease (ALD). In [...] Read more.
In this study, we constructed an extraction process for bovine lung peptide-1 (BLP-1) derived from bovine lung tissue utilizing single-factor optimization combined with response surface methodology. We systematically analyzed its antioxidant activity, biological safety, and therapeutic mechanisms against alcoholic liver disease (ALD). In vitro experiments demonstrated that BLP-1 exhibits excellent scavenging activity against various free radicals, while exhibiting no significant cytotoxicity or hemolytic activity. In a model of H2O2-induced oxidative damage in HepG2 cells, BLP-1 significantly alleviated oxidative stress injury by upregulating the activities of intracellular antioxidant enzymes. Animal experiments further confirmed that BLP-1 significantly reduced serum levels of transaminase, inhibited the release of inflammatory factors, enhanced antioxidant enzyme activity, and ameliorated lipid peroxidation and pathological injury in ALD mice. By combining liquid chromatography-tandem mass spectrometry (LC-MS/MS) with bioinformatics, we screened 12 novel antioxidant peptides. Among these, the binding energies of GP9, FG6, and WG6 to Keap1 were −10.2, −9.7, and −8.7 kcal/mol, respectively, indicating their potential to modulate the antioxidant defense system through competitive inhibition of Keap1-Nrf2 interactions. This study provides a novel approach for the high-value utilization of bovine lung and the treatment of ALD, as well as a new source for the extraction of natural antioxidant peptides. Full article
(This article belongs to the Section Extraction and Industrial Applications of Antioxidants)
Show Figures

Figure 1

Back to TopTop