Sign in to use this feature.

Years

Between: -

Subjects

remove_circle_outline
remove_circle_outline
remove_circle_outline
remove_circle_outline
remove_circle_outline
remove_circle_outline
remove_circle_outline

Journals

remove_circle_outline
remove_circle_outline
remove_circle_outline
remove_circle_outline
remove_circle_outline
remove_circle_outline
remove_circle_outline
remove_circle_outline
remove_circle_outline
remove_circle_outline
remove_circle_outline
remove_circle_outline
remove_circle_outline
remove_circle_outline
remove_circle_outline
remove_circle_outline

Article Types

Countries / Regions

remove_circle_outline
remove_circle_outline
remove_circle_outline
remove_circle_outline
remove_circle_outline

Search Results (699)

Search Parameters:
Keywords = pulmonary flow

Order results
Result details
Results per page
Select all
Export citation of selected articles as:
21 pages, 4839 KB  
Article
Reproducibility of 4D Flow MRI-Derived Diastolic Function Testing by Mitral and Pulmonary Venous Flow Indices in Healthy Volunteers
by Thomas in de Braekt, Paul R. Roos, Patrick Houthuizen, Harrie C. M. van den Bosch, Hildo J. Lamb and Jos J. M. Westenberg
Appl. Sci. 2026, 16(8), 3930; https://doi.org/10.3390/app16083930 - 17 Apr 2026
Viewed by 261
Abstract
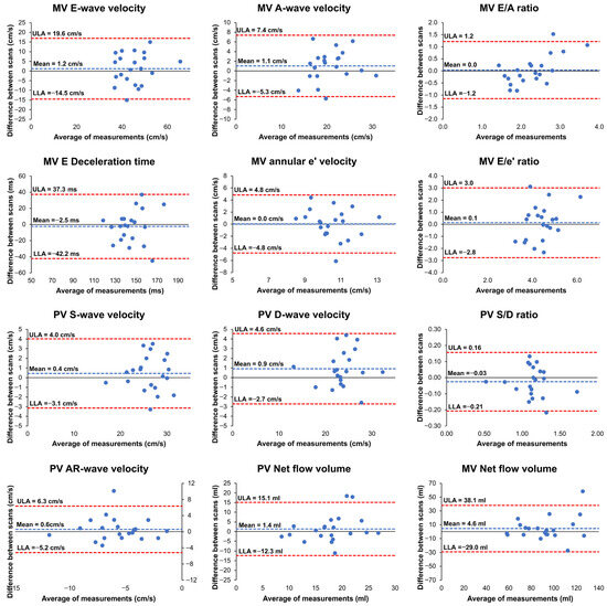
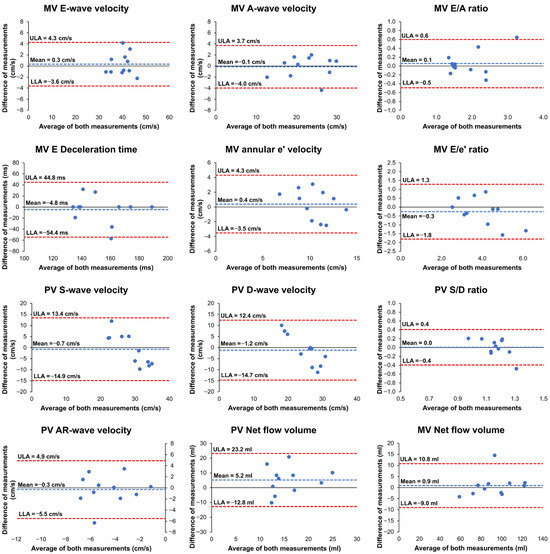
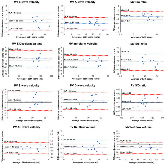
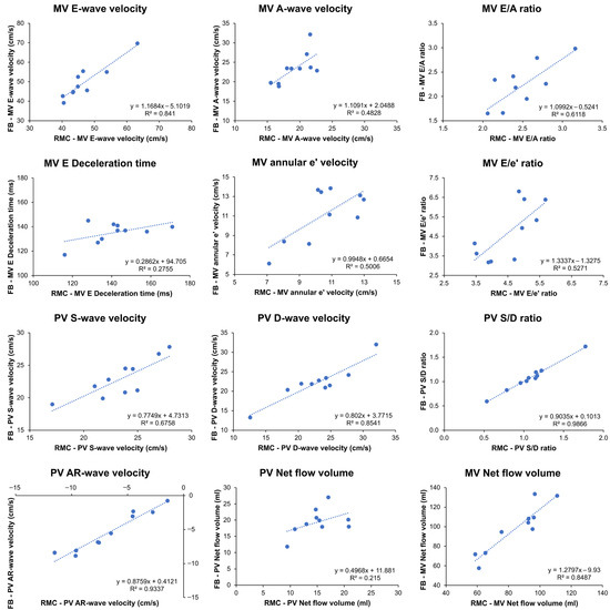
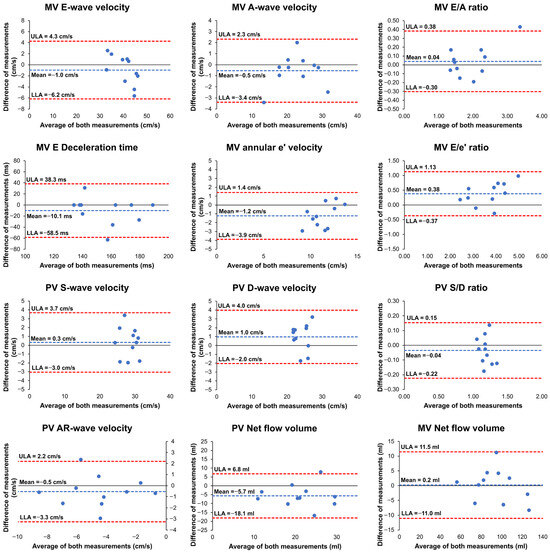
Accurate assessment of mitral valve (MV) and pulmonary vein (PV) flow velocities is important for left ventricular diastolic function testing. This study investigated the scan–rescan reproducibility of 4D Flow MRI-assessed MV and PV flow velocities in 21 healthy volunteers (25 ± 4 years). [...] Read more.
Accurate assessment of mitral valve (MV) and pulmonary vein (PV) flow velocities is important for left ventricular diastolic function testing. This study investigated the scan–rescan reproducibility of 4D Flow MRI-assessed MV and PV flow velocities in 21 healthy volunteers (25 ± 4 years). Participants underwent repeated whole-heart 3T 4D Flow MRI involving repositioning and different respiratory compensation strategies (motion-uncompensated free-breathing vs. respiratory motion-compensated navigator gating). MV parameters (net flow volume (NFV), E-wave velocity, A-wave velocity, E/A ratio, E deceleration time (DT), annular e’ velocity, E/e’ ratio) and PV parameters (NFV, S-wave velocity, D-wave velocity, S/D ratio, atrial reversal (AR) wave velocity) were derived from velocity–time curves and compared using intraclass correlation coefficients (ICCs), Bland–Altman analysis, and Pearson’s correlation (r). Results showed significant moderate-to-strong scan–rescan agreement and correlation for most MV and PV parameters (ICC = 0.51–0.92; r = 0.51–0.92; all p < 0.05), except E DT, e’ velocity, E/e’ ratio, PV NFV, and AR velocity (ICC = −0.13–0.47; r = −0.14–0.47). Subanalysis of respiratory motion strategies showed moderate-to-strong agreement and correlation for MV and PV parameters (ICC = 0.61–0.99; r = 0.52–0.99; all p < 0.05 excluding E DT), except E DT (ICC = 0.44) and PV NFV (ICC = 0.46; r = 0.46). While intraobserver agreement was mostly moderate-to-excellent (ICC = 0.58–0.97; ICC = 0.41 for E DT), interobserver agreement was poor for E DT and PV parameters (ICC = −0.12–0.34). Overall, 4D Flow MRI shows acceptable reproducibility for selected diastolic flow parameters, particularly mitral inflow indices, but substantial variability and limited robustness for key indices currently restrict its clinical applicability. Full article
Show Figures

Figure 1

21 pages, 4115 KB  
Article
Inhibitory Effects of Gyeongok-go on Lung Injury in a Chronic Obstructive Pulmonary Disease Mouse Model
by Won-Kyung Yang, Jin Kwan Choi, Seung-Hyung Kim, Su Won Lee, Yee Ran Lyu and Yang-Chun Park
Pharmaceuticals 2026, 19(4), 618; https://doi.org/10.3390/ph19040618 - 14 Apr 2026
Viewed by 315
Abstract
Background/Objectives: Chronic obstructive pulmonary disease (COPD) is characterized by incomplete recovery of airflow blockage; however, effective therapeutic agents that can prevent lung function deterioration are limited. East Asian herbal treatments have gained attention for their potential benefits in managing COPD. This study aimed [...] Read more.
Background/Objectives: Chronic obstructive pulmonary disease (COPD) is characterized by incomplete recovery of airflow blockage; however, effective therapeutic agents that can prevent lung function deterioration are limited. East Asian herbal treatments have gained attention for their potential benefits in managing COPD. This study aimed to evaluate the inhibitory effects of Gyeongok-go (GOG) on lung injury in a COPD mouse model. Methods: Lipopolysaccharide (LPS)-induced alveolar macrophage (MH-S) cells were treated with GOG (50, 100, 200, and 400 μg/mL), and analyzed using enzyme-linked immunosorbent assay (ELISA). C57BL/6 mice were challenged with cigarette smoke extract and LPS and then treated with vehicle only, dexamethasone (3 mg/kg), or GOG (100, 200, or 400 mg/kg). Bronchoalveolar lavage fluid (BALF) or lung tissues were analyzed using cytospin, ELISA, real-time PCR, flow cytometry, hematoxylin and eosin, and Masson’s trichrome staining. Results: Treatment with GOG decreased tumor necrosis factor-alpha (TNF-α) and interleukin (IL)-6 expression in LPS-challenged MH-S cells. In COPD mice, GOG significantly decreased the elevated numbers of neutrophils, total cells, macrophages, and Gr-1+/Siglec-F, Gr-1+/CD11b+, and CD44high/CD62L cells. It also downregulated the expression of TNF-α, IL-17A, macrophage inflammatory protein-2 (MIP2), and CXC chemokine ligand-1 in BALF. GOG also inhibited the increase in Mip2, Cox-2, and Trpv1 mRNA expression. Moreover, GOG prevented the increase in the number of total cells, neutrophils, Gr-1+/Siglec-F, Gr-1+/CD11b+, CD44high/CD62L, and CD21+/CD35+/B220+ cells in lung tissues. Notably, GOG decreased the severity of lung injury. Conclusions: Overall, these findings indicate that GOG alleviates lung injury, suggesting its potential in the treatment of COPD. Full article
(This article belongs to the Section Pharmacology)
Show Figures

Graphical abstract

17 pages, 857 KB  
Review
Non-Invasive Ventilatory Support in Postoperative Respiratory Failure: A Phenotype-Driven Approach to Risk Stratification and Modality Selection
by Roshan Shaik, Dylan Persaud, Rohail Gul and Perry Tiberio
Complications 2026, 3(2), 8; https://doi.org/10.3390/complications3020008 - 3 Apr 2026
Viewed by 308
Abstract
Postoperative respiratory failure (PRF) remains a pervasive clinical challenge that substantially contributes to perioperative morbidity, mortality, and prolonged ICU stay. Although conventional oxygen therapy is often sufficient, a significant subset of high-risk patients requires escalation to advanced non-invasive support to avoid reintubation and [...] Read more.
Postoperative respiratory failure (PRF) remains a pervasive clinical challenge that substantially contributes to perioperative morbidity, mortality, and prolonged ICU stay. Although conventional oxygen therapy is often sufficient, a significant subset of high-risk patients requires escalation to advanced non-invasive support to avoid reintubation and invasive mechanical ventilation. Evidence from recent randomized trials, including the 2025 RENOVATE and Goret et al. studies, indicates that both non-invasive ventilation (NIV) and high-flow nasal oxygen (HFNO) reduce postoperative pulmonary complications and reintubation in selected high-risk populations. While NIV is preferred for hypercapnic ventilatory failure and is commonly used in selected high-risk cardiac surgery patients, HFNO offers comparable outcomes in pure hypoxemic failure with the added benefits of superior patient tolerance and a lower incidence of interface-related complications. Effective PRF management necessitates an individualized, physiology-based approach. By implementing a phenotype-driven algorithm that aligns device mechanics with the dominant pathophysiology, such as atelectasis versus pump failure, clinicians can optimize patient outcomes while minimizing the specific risks associated with delayed intubation. Full article
Show Figures

Figure 1

21 pages, 3900 KB  
Article
Detecting Erythrocyte-Derived Extracellular Vesicles Generated from Blood Pump Flow and the Challenges Encountered
by Kylie M. Foster, Ahmed M. El Banayosy, Aly El Banayosy, Hendra Setiadi, Vivek K. Bajpai and Edgar A. O’Rear
Cells 2026, 15(7), 642; https://doi.org/10.3390/cells15070642 - 2 Apr 2026
Viewed by 611
Abstract
Utilization of a blood pump to aid in circulating a patient’s blood, otherwise known as mechanical circulatory support, is an effective and often life-saving treatment for cardiac/pulmonary failure patients, yet adverse events remain a common complication often attributed to mechanical trauma inflicted on [...] Read more.
Utilization of a blood pump to aid in circulating a patient’s blood, otherwise known as mechanical circulatory support, is an effective and often life-saving treatment for cardiac/pulmonary failure patients, yet adverse events remain a common complication often attributed to mechanical trauma inflicted on blood components. This work specifically focuses on erythrocyte-derived extracellular vesicles (ErEVs) as a marker of this mechanical trauma as they are elevated in patients with blood pumps and have been tied to adverse events. Despite this, ErEVs are typically neglected during device development which usually includes testing with animal blood, most commonly porcine and bovine. Flow cytometry was employed to monitor ErEVs generated during a 6 h perfusion of porcine or bovine red blood cells (RBCs) in a blood circulatory loop with the CentriMag blood pump. Successful measurement meant overcoming limitations in suitable stains for the RBCs and ErEVs of the two species. Between the two species, 12 different antibodies and dyes were evaluated, including multiple glycophorin A clones, the typical human erythrocyte antigen. Only CD46 and carboxyfluorescein succinimidyl ester (CFSE) were found to successfully and reliably label porcine and bovine RBCs, respectively. With these stains, statistically significant increases for both porcine and bovine ErEVs with perfusion time were observed. Bovine erythrocytes produced significantly more ErEVs than porcine, indicating they are more sensitive to mechanical trauma and could be useful in early-stage device development. The utility of CD46 and CFSE used for porcine and bovine ErEV detection was demonstrated for in vitro pump testing with implications for physiological and pathological research with these animals. Full article
Show Figures

Graphical abstract

22 pages, 2780 KB  
Review
Lung Function Trajectories After Preterm Birth: A Life-Course Approach to Age-Specific Monitoring
by Dorina Hoxha, Ilaria Bucci, Sabrina Di Pillo, Francesco Chiarelli, Marina Attanasi and Paola Di Filippo
Children 2026, 13(4), 500; https://doi.org/10.3390/children13040500 - 2 Apr 2026
Viewed by 431
Abstract
Preterm birth interrupts critical phases of lung development and is associated with long-term alterations in respiratory structure and function. While bronchopulmonary dysplasia (BPD) has traditionally been considered the principal determinant of adverse outcomes, accumulating evidence indicates that prematurity per se contributes substantially to [...] Read more.
Preterm birth interrupts critical phases of lung development and is associated with long-term alterations in respiratory structure and function. While bronchopulmonary dysplasia (BPD) has traditionally been considered the principal determinant of adverse outcomes, accumulating evidence indicates that prematurity per se contributes substantially to persistent pulmonary impairment. Lung function trajectories in preterm-born children frequently track along lower percentiles from infancy into adolescence and early adulthood, with limited catch-up growth and increased vulnerability to chronic airflow limitation. Assessment of lung function requires a developmentally tailored approach, as feasibility and interpretability vary across age groups. In infancy, non-volitional techniques such as tidal breathing flow-volume loop analysis and raised-volume rapid thoracoabdominal compression allow early evaluation of respiratory mechanics. During toddlerhood, methodological limitations persist, although emerging technologies may expand feasibility. In preschool children, impulse oscillometry enables detection of small airway dysfunction, often preceding spirometric abnormalities. From school age onward, spirometry, body plethysmography, diffusing capacity, and multiple breath washout provide complementary information on obstructive, restrictive, and gas-exchange impairments. Longitudinal studies demonstrate that reduced lung function is not confined to children with BPD and may predispose to early-onset chronic obstructive pulmonary disease-like phenotypes. Early identification of abnormal trajectories and modifiable risk factors supports structured long-term follow-up and preventive strategies. Standardization of age-specific assessment protocols and harmonization of reference values are essential to improve risk stratification and optimize long-term respiratory outcomes in this vulnerable population. Full article
(This article belongs to the Special Issue Bronchopulmonary Dysplasia in Children: Early Diagnosis and Treatment)
Show Figures

Figure 1

11 pages, 247 KB  
Review
High-Flow Nasal Cannula in Patients Awaiting Lung Transplant: Evidence, Clinical Applications, and Outcomes
by Salah M. Zeineldine, Rami Hallak, Antonio Esquinas and Mohamad F. El-Khatib
Adv. Respir. Med. 2026, 94(2), 21; https://doi.org/10.3390/arm94020021 - 30 Mar 2026
Viewed by 311
Abstract
Patients with end-stage lung diseases awaiting lung transplant frequently experience severe hypoxemia, dyspnea, and functional limitations that may compromise survival and transplant eligibility. Optimizing noninvasive respiratory support during the waiting period is crucial to preserve oxygenation, maintain physical conditioning, and avoid escalation to [...] Read more.
Patients with end-stage lung diseases awaiting lung transplant frequently experience severe hypoxemia, dyspnea, and functional limitations that may compromise survival and transplant eligibility. Optimizing noninvasive respiratory support during the waiting period is crucial to preserve oxygenation, maintain physical conditioning, and avoid escalation to invasive mechanical ventilation, which is associated with poorer transplant outcomes. High-flow nasal cannula therapy has emerged as an important noninvasive respiratory support modality capable of providing physiological and clinical benefits such as precise fractions of inspired oxygen, a low level of positive end-expiratory pressure, dead-space washout, and reduced work of breathing. This review summarizes the pathophysiology of hypoxemia in lung transplant candidates, the mechanisms of action of high-flow nasal cannulas, and the current clinical evidence supporting its use in this population during the pre-transplant period. Available evidence suggests that the use of high-flow nasal cannulas improves oxygenation, relieves dyspnea, enhances exercise tolerance, facilitates participation in pulmonary rehabilitation programs, and may reduce the need for endotracheal intubation, thereby improving the likelihood of survival to transplantation. The review also discusses patient selection, the practical implementation of high-flow nasal cannula therapy, and comparisons with other respiratory support modalities. Although the current evidence is largely observational and heterogenous, high flow appears to be a valuable supportive and bridging therapy for selected patients awaiting lung transplant. Future prospective studies are needed to define standardized protocols and evaluate transplant-specific outcomes. Full article
13 pages, 1078 KB  
Article
Shortening Time to Arrival in Out-of-Hospital Cardiac Arrest by Implementing a Dual Dispatch Strategy of EMS and Volunteer Fire Service—A Simulation Study
by Mathias Maleczek, Jakob Ruthner, Maximilian Scheidl, Christian Fohringer, Bernhard Roessler and Oliver Kimberger
J. Clin. Med. 2026, 15(7), 2542; https://doi.org/10.3390/jcm15072542 - 26 Mar 2026
Viewed by 1259
Abstract
Background/Objectives: Survival after out-of-hospital cardiac arrest (OHCA) is strongly influenced by the no-flow interval—the time between cardiac arrest and initiation of cardio-pulmonary resuscitation (CPR)—with the probability of good neurological outcome decreasing by 13% per minute without circulation. Rapid mobilization of all available [...] Read more.
Background/Objectives: Survival after out-of-hospital cardiac arrest (OHCA) is strongly influenced by the no-flow interval—the time between cardiac arrest and initiation of cardio-pulmonary resuscitation (CPR)—with the probability of good neurological outcome decreasing by 13% per minute without circulation. Rapid mobilization of all available responders is therefore critical. Fire services, due to their widespread local presence, can shorten response times, but turnout times—particularly in departments staffed with volunteers—may limit their benefit. In sparsely populated regions, dual dispatch of emergency medical service (EMS) and fire services may help reduce arrival times and thus improve outcomes. Methods: Response times to 1000 hypothetical OHCAs in Lower Austria (19,000 km2, 1.73 million population) were modelled. Travel times were calculated from 121 EMS stations and 1590 fire stations using the fastest route. Turnout times were set at two minutes for EMS and five minutes for fire services, with a sensitivity analysis for eight minutes for fire services. For each event, the shortest travel time was compared for both single EMS and dual EMS and fire service dispatch. Results: Mean response time was 10.6 min (SD 4.7) for EMS alone vs. 7.2 min (SD 2.2) with dual dispatch (p < 0.0001). At the 90th percentile, times were 16.8 vs. 9.7 min. Within 10 min, 49.0% of cases were reached by EMS alone vs. 92.6% with dual dispatch; fire services arrived first in 62.7% of all simulations. With an 8 min turnout, mean dual-dispatch arrival increased to 8.8 min (SD 2.9), with 68.2% of all patients reached within 10 min and firefighters arriving first in 42.9%. Conclusions: Dual dispatch of fire services and EMS significantly reduced response times, particularly in areas with a low population density. Using a dual dispatch strategy, response times were below 10 min in nearly all of the patients. Full article
(This article belongs to the Section Emergency Medicine)
Show Figures

Figure 1

19 pages, 429 KB  
Review
Preoxygenation When Standard Approaches Fail: Phenotype-Based Strategies for High-Risk Emergent Intubations
by Laura Gutierrez, Abhinandan Chittal, Sydney Fiore and Perry Tiberio
J. Clin. Med. 2026, 15(7), 2477; https://doi.org/10.3390/jcm15072477 - 24 Mar 2026
Viewed by 443
Abstract
Emergent tracheal intubation in critically ill patients is a common, yet high-risk, intervention. It is frequently complicated by peri-intubation hypoxemia, hemodynamic instability, and metabolic derangements that increase the risk of arrhythmias, hypotension, cardiac arrest, and death. Because the highest-risk interval often occurs in [...] Read more.
Emergent tracheal intubation in critically ill patients is a common, yet high-risk, intervention. It is frequently complicated by peri-intubation hypoxemia, hemodynamic instability, and metabolic derangements that increase the risk of arrhythmias, hypotension, cardiac arrest, and death. Because the highest-risk interval often occurs in the minutes surrounding induction, when apnea, derecruitment, and abrupt cardiopulmonary shifts converge, oxygenation failure frequently reflects a mismatch between preoxygenation strategy and the underlying physiology rather than inadequate oxygen delivery alone. This review proposes a phenotype-based approach to peri-intubation oxygenation and focuses on four high-risk phenotypes in whom standard preoxygenation strategies commonly fail: obesity, neuromuscular disease, right ventricular dysfunction or pulmonary hypertension, and post-operative respiratory failure with altered respiratory mechanics or airway anatomy. We summarize the key mechanisms that shorten safe apnea time, including reduced functional residual capacity, intrapulmonary shunt, elevated oxygen consumption, rapid derecruitment after induction, and impaired oxygenation–hemodynamics coupling. We then compare preoxygenation modalities as physiologic tools, including facemask oxygen, high-flow nasal cannula (HFNC), noninvasive ventilation (NIV), and controlled bag-mask ventilation (BMV), and integrate contemporary randomized trial evidence that informs bedside selection and combination of these approaches. Finally, we synthesize these concepts into a practical, physiology-informed framework to guide clinicians in choosing and troubleshooting preoxygenation strategies in high-risk patients undergoing emergent intubation. Full article
(This article belongs to the Section Intensive Care)
Show Figures

Figure 1

15 pages, 540 KB  
Article
Prevalence and Predictors of Impaired Coronary Flow Velocity Reserve in Adolescents After Arterial Switch Operation
by Andrija Pavlovic, Milorad Tesic, Milan Djukic, Igor Stefanovic, Jasna Kalanj, Maja Bijelic, Maja Trkulja, Marko Pavlovic, Dusan Andric, Milica Kuzmanovic, Vladimir Milovanovic, Dejan Bisenic, Irena Ostric Pavlovic and Vojislav Parezanovic
Diagnostics 2026, 16(7), 963; https://doi.org/10.3390/diagnostics16070963 - 24 Mar 2026
Viewed by 491
Abstract
Background/Objectives: We assessed the prevalence of impaired coronary flow velocity reserve (CFVR) and aimed to identify echocardiographic and clinical predictors of coronary microvascular dysfunction in adolescents after neonatal arterial switch operation (ASO). Methods: This single-center, cross-sectional study included patients that underwent [...] Read more.
Background/Objectives: We assessed the prevalence of impaired coronary flow velocity reserve (CFVR) and aimed to identify echocardiographic and clinical predictors of coronary microvascular dysfunction in adolescents after neonatal arterial switch operation (ASO). Methods: This single-center, cross-sectional study included patients that underwent neonatal ASO for simple D-transposition of the great arteries (D-TGA) during 1998–2013. All patients were evaluated by echocardiography with global left ventricular strain measurement (GLS) and cardiac catheterization, including coronary angiography. Coronary flow velocity reserve was assessed by transthoracic Doppler echocardiography in the left anterior descending artery (LAD) using adenosine induced hyperemia. Patients were stratified into two groups according to CFVR: group with impaired CFVR (<2.5) and group with normal CFVR (≥2.5). Spearman correlation was used to assess the relationship between CFVR and echocardiographic variables. Binary logistic regression was used to determine independent predictors of impaired CFVR. Results: Out of 48 patients included (median age 16 years, age range 13 to 23 years, 71% male), impaired CFVR was found in 21 patients (44%). These patients had decreased longitudinal tricuspid annular plane systolic excursion (TAPSE), greater Z scores for left ventricular end-systolic dimensions and higher mean pulmonary artery pressures (mPAP). CFVR showed modest but significant positive correlations with tricuspid annular plane systolic excursion (TAPSE). Left pulmonary artery branch stenosis, reduced TAPSE and mPAP ≥ 20 mmHg, were significantly associated with impaired CFVR, while decreased TAPSE remained independent predictor in multivariable analysis (odds ratio 5.6, 95% confidence interval 1.24–25.26, p = 0.025). Conclusions: Impaired CFVR appears to be frequently observed in adolescents after uncomplicated neonatal ASO for simple D-TGA. Importantly, impaired CFVR is associated with right ventricular dysfunction. Full article
(This article belongs to the Special Issue Advances in Pediatric Cardiology: Diagnosis and Management)
Show Figures

Graphical abstract

22 pages, 2787 KB  
Article
Usability Validation of an Integrated Hemodynamic and Pulmonary Monitoring System Using Eye-Tracking Analysis
by Hyunju Jeong, Hyeonkyeong Choi, Hyungmin Kim and Wonseuk Jang
J. Clin. Med. 2026, 15(7), 2474; https://doi.org/10.3390/jcm15072474 - 24 Mar 2026
Viewed by 252
Abstract
Background/Objectives: Hemodynamic monitoring is essential for guiding appropriate treatment by assessing cardiac output and volume status, as well as for preventing complications associated with excessive fluid administration. The EdgeFlow CW10 Plus is a device that extends conventional hemodynamic monitoring by incorporating pulmonary [...] Read more.
Background/Objectives: Hemodynamic monitoring is essential for guiding appropriate treatment by assessing cardiac output and volume status, as well as for preventing complications associated with excessive fluid administration. The EdgeFlow CW10 Plus is a device that extends conventional hemodynamic monitoring by incorporating pulmonary abnormality surveillance through B-line detection. This study aimed to evaluate whether the hemodynamic monitoring and pulmonary monitoring functions are well integrated, and verify the usability and efficiency of the system. Methods: A usability test was conducted with a panel of 15 medical professionals from diverse specialties and varying levels of clinical experience. Data from satisfaction surveys, heat maps, the System Usability Scale (SUS), and the NASA-TLX were analyzed to determine whether usability differences existed based on the duration of clinical experience. Results: The device demonstrated a high overall task success rate, averaging 93.2%. Regarding eye-tracking analysis based on clinical experience, it was observed that participants with more years of experience either failed to direct their gaze toward task-relevant user interface (UI) elements as effectively as those with fewer years of experience or showed similar patterns. Conclusions: The usability evaluation confirmed that the hemodynamic and pulmonary monitoring functions of the EdgeFlow CW 10 PLUS are well integrated, with the device demonstrating high usability and satisfaction. This integration is expected to support medical professionals in monitoring cardiac output and fluid status, facilitating timely therapeutic interventions while preventing complications related to fluid overload. Full article
(This article belongs to the Section Intensive Care)
Show Figures

Figure 1

23 pages, 28834 KB  
Article
Patient-Specific Computational Hemodynamic Modeling of the Right Pulmonary Artery Using CardioMEMS Data: Validation, Simplification, and Sensitivity Analysis
by Angélica Casero, Laura G. Sánchez, Felicia Alfano, Pedro Navas, Juan F. Oteo, Carlos Arellano-Serrano and Manuel Gómez-Bueno
Fluids 2026, 11(3), 83; https://doi.org/10.3390/fluids11030083 - 19 Mar 2026
Viewed by 658
Abstract
This study investigates the application of computational hemodynamic modeling, involving both FSI and CFD models, using SimVascular to simulate blood flow in the right pulmonary artery for patient-specific cardiovascular assessment. The artery’s three-dimensional geometry was reconstructed from a computed tomography (CT) image, and [...] Read more.
This study investigates the application of computational hemodynamic modeling, involving both FSI and CFD models, using SimVascular to simulate blood flow in the right pulmonary artery for patient-specific cardiovascular assessment. The artery’s three-dimensional geometry was reconstructed from a computed tomography (CT) image, and pressure measurements from a CardioMEMS™ device were used as clinical ground truth for validation. To represent the arterial hemodynamics, we initially formulated a fluid–structure interaction (FSI) approach to capture wall mechanics. However, given the high computational cost of fully patient-specific FSI simulations for routine clinical decision-making, we evaluated the validity of key simplifications by assuming rigid vessel walls coupled with a three-element Windkessel (3WK) model and applying a half-sine inflow waveform derived from the patient’s cardiac output. These simplifications yielded results with minimal error: the rigid-wall assumption introduced a 1.1% deviation, while the idealized waveform resulted in a 0.56 mmHg offset. Crucially, while wall rigidity was acceptable, we found that arterial compliance in the boundary conditions is non-negotiable; reducing the model to a pure resistance approach resulted in non-physiological pressures (130 mmHg). A subsequent parametric analysis examined how varying resistance (R) and compliance (C) distinctively alter the pressure waveform morphology. The results underscore the potential of combining remote monitoring data with validated computational simulations to deepen the understanding of cardiovascular dynamics and enhance diagnostic and therapeutic approaches for cardiovascular diseases. Full article
(This article belongs to the Special Issue Advances in Hemodynamics and Related Biological Flows, 2nd Edition)
Show Figures

Graphical abstract

20 pages, 1625 KB  
Article
The Biological Cost of Every Heartbeat: Imaging-Derived Cardiovascular Vulnerability in Infective Endocarditis
by Corina-Ioana Anton, Rareș Constantin Ranetti and Adrian Streinu-Cercel
Int. J. Mol. Sci. 2026, 27(6), 2733; https://doi.org/10.3390/ijms27062733 - 17 Mar 2026
Viewed by 311
Abstract
Biological cardiovascular vulnerability is defined as an imaging-derived construct integrating myocardial functional impairment, coronary microvascular dysfunction, and modeled hemodynamic burden, including global longitudinal strain, coronary flow reserve, and derived vascular indices. To evaluate whether advanced echocardiographic and coronary Doppler imaging parameters identify biological [...] Read more.
Biological cardiovascular vulnerability is defined as an imaging-derived construct integrating myocardial functional impairment, coronary microvascular dysfunction, and modeled hemodynamic burden, including global longitudinal strain, coronary flow reserve, and derived vascular indices. To evaluate whether advanced echocardiographic and coronary Doppler imaging parameters identify biological cardiovascular vulnerability associated with the severity and complications of infective endocarditis beyond conventional structural findings. In this retrospective single-center cohort study, we analyzed consecutive patients with definite infective endocarditis who underwent advanced echocardiographic and coronary Doppler imaging. Comprehensive transthoracic and transesophageal echocardiography assessed vegetation characteristics, left ventricular function, global longitudinal strain (GLS), diastolic indices, right ventricular function, and pulmonary artery systolic pressure. Coronary microvascular function was evaluated noninvasively using transthoracic Doppler-derived coronary flow reserve (CFR) of the left anterior descending artery. Associations with disease severity and perivalvular complications were evaluated using multivariable regression analysis. Reduced coronary flow reserve was independently associated with the composite severe infective endocarditis phenotype, as defined by perivalvular complications, severe valvular dysfunction, or endocarditis team-guided urgent surgical indication. Coronary flow reserve correlated inversely with vegetation size (r = −0.39; p = 0.002) and regurgitation severity (r = −0.36; p = 0.004). Notably, the inverse association between coronary flow reserve and vegetation size showed substantial interindividual variability, particularly among patients with similar vegetation dimensions, suggesting heterogeneity in microvascular vulnerability beyond structural lesion burden. Despite relatively preserved mean arterial pressure across age groups, advanced imaging revealed progressive increases in systemic vascular resistance, declining wall shear stress, impaired microvascular flow, and reduced myocardial reserve. Imaging-derived cardiovascular vulnerability profiles frequently diverged from chronological age, highlighting heterogeneity in cardiovascular reserve despite apparently stable conventional hemodynamic parameters. Advanced echocardiographic and coronary Doppler imaging characterize a spectrum of biological cardiovascular vulnerability that is associated with clinically adjudicated severity in infective endocarditis, rather than serving as independent prognostic predictors. Full article
(This article belongs to the Special Issue Cardiovascular Research: From Molecular Mechanisms to Novel Therapies)
Show Figures

Figure 1

12 pages, 232 KB  
Article
Effectiveness of a Telemedicine Exercise Program to Improve Lung Function in Young Adults After COVID-19: A Pilot Study
by Eyckle C. H. Wong, Raymond W. M. Lo, Rachel L. C. Kwan, Natalie N. M. Chan, Sara W. Y. Lam, Ruby Y. K. Ng, Suyi K. C. Wong and Grace P. Y. Szeto
Healthcare 2026, 14(6), 718; https://doi.org/10.3390/healthcare14060718 - 11 Mar 2026
Viewed by 329
Abstract
Background: COVID-19 can have adverse effects on individuals’ lung functions for up to 6 months or more after the episode. As a result, people may be reluctant to exercise, and this can have further adverse effects on their lung capacity and fitness. [...] Read more.
Background: COVID-19 can have adverse effects on individuals’ lung functions for up to 6 months or more after the episode. As a result, people may be reluctant to exercise, and this can have further adverse effects on their lung capacity and fitness. This study aimed to examine the effectiveness of a telemedicine program designed to increase the exercise participation of young adults after COVID-19 and evaluate the changes in lung function after exercise training. Methods: The quasi-experimental pre–post study recruited sixty university students who had suffered from COVID-19 within the past 12 months. Four pulmonary outcomes were compared: forced expiratory volume in one second (FEV1), forced vital capacity (FVC), peak expiratory flow rate (PEFR), and the ratio of FEV1 to FVC. The telemedicine exercise (TE) group (n = 36) received an intervention to carry out regular stepping exercise (up to 10,000 steps) via online video instruction and frequent WhatsApp reminder messages. The control group (n = 24) only received an initial WhatsApp message to carry out regular stepping exercise, with no further follow-up. Results: The FVC, FEV1, and FEV1/FVC ratio revealed significant overall improvement both within groups and between groups (p < 0.001), with moderate effect sizes. PEFR showed a significant improvement within groups (p = 0.007) but not between groups (p = 0.533). The TE group recorded a significant increase in daily step count (from 7165 to 9733, p < 0.001) after 4 weeks of training. The control group showed a significant reduction in step count (from 6975 to 6442, p = 0.049). Conclusions: The results confirmed the beneficial effects of the telemedicine exercise program in contributing to increased exercise participation and improved lung functions. Full article
(This article belongs to the Special Issue Innovations in Primary and Community Care for Rehabilitation)
18 pages, 1559 KB  
Review
Stress Echocardiography in the Diagnosis and Evaluation of Pulmonary Hypertension: Practical Recommendations, Haemodynamic Phenotyping, and Application in Adults and Children
by Dafni Charisopoulou, George Koulaouzidis, Panagiota Kleitsioti, Nikolaos Antoniou, Christos Mantzios, Orestis Grammenos and Sotiria Iliopoulou
Diagnostics 2026, 16(5), 792; https://doi.org/10.3390/diagnostics16050792 - 6 Mar 2026
Viewed by 716
Abstract
Pulmonary hypertension (PH) is a complex condition in which early diagnosis remains challenging, particularly in patients with exertional symptoms and normal or borderline resting haemodynamics. Although right heart catheterisation is the diagnostic gold standard, transthoracic echocardiography is the recommended first-line non-invasive test. However, [...] Read more.
Pulmonary hypertension (PH) is a complex condition in which early diagnosis remains challenging, particularly in patients with exertional symptoms and normal or borderline resting haemodynamics. Although right heart catheterisation is the diagnostic gold standard, transthoracic echocardiography is the recommended first-line non-invasive test. However, resting echocardiography provides only a static assessment and may underestimate disease severity in early or latent pulmonary vascular disease due to preserved pulmonary vascular compliance and adaptive right ventricular responses. Because pulmonary haemodynamics are intrinsically flow-dependent, pathological abnormalities may only emerge during increased cardiac output. Stress echocardiography, performed using exercise or pharmacological stress, enables dynamic evaluation of pulmonary pressure responses, cardiac output augmentation, right ventricular contractile reserve, and ventricular interaction. Increasing evidence indicates that stress echocardiography can unmask abnormal pulmonary pressure–flow relationships, impaired pulmonary vascular reserve, and reduced right ventricular–pulmonary arterial coupling that are not apparent at rest, thereby improving functional and haemodynamic characterisation in selected patients. This Diagnostic Review outlines the physiological basis for stress echocardiographic assessment of pulmonary circulation, proposes practical recommendations for patient selection and testing protocols, and provides a framework for interpretation centered on pressure–flow relationships rather than absolute pulmonary pressure thresholds. Particular attention is given to clinical scenarios with high diagnostic yield, including unexplained exertional dyspnoea, systemic sclerosis, suspected heart failure with preserved ejection fraction, at-risk relatives of patients with pulmonary arterial hypertension, selected athletes, and paediatric populations. Stress echocardiography should not be considered a standalone diagnostic test for PH but, when performed in experienced centers and integrated within structured diagnostic pathways, it represents a valuable non-invasive adjunct to guide referral for invasive haemodynamic confirmation. Full article
(This article belongs to the Special Issue Beyond the Image: Cardiac Imaging at the Service of the Patient)
Show Figures

Figure 1

17 pages, 1465 KB  
Article
Impact of SARS-CoV-2 Infection on Pulmonary Function in the PURE-Colombia Cohort: A Comparative Analysis with Pre-COVID Values and Non-COVID-19 Controls
by Heiler Lozada-Ramos, Ruth Aralí Martínez-Vega, Maritza Pérez-Mayorga, Patricio López-Jaramillo, Sumathy Rangarajan, MyLinh Duong, Salim Yusuf, Darryl Leong and Liliana Torcoroma García Sánchez
J. Clin. Med. 2026, 15(5), 1868; https://doi.org/10.3390/jcm15051868 - 28 Feb 2026
Viewed by 356
Abstract
Background: The factors driving Coronavirus disease 2019 (COVID-19) severity and its long-term respiratory sequelae remain poorly understood. This study evaluates whether baseline lung function (LF) influences COVID-related clinical outcomes, mortality, and post-infection LF decline. Methods: Data from 602 participants in the [...] Read more.
Background: The factors driving Coronavirus disease 2019 (COVID-19) severity and its long-term respiratory sequelae remain poorly understood. This study evaluates whether baseline lung function (LF) influences COVID-related clinical outcomes, mortality, and post-infection LF decline. Methods: Data from 602 participants in the Prospective Urban Rural Epidemiology (PURE)-Colombia study were analyzed. Among these, 200 with confirmed SARS-CoV-2 infection and 402 controls (65% women; 68% aged ≥60 years). All underwent baseline spirometry prior to 2010 and follow-up testing 1–40 months post-recovery. Among infected individuals, 51 (26%) died. Spirometric parameters Forced Expiratory Volume in 1 Second (FEV1), Forced Vital Capacity (FVC), and Peak Expiratory Flow (PEF) were compared using paired t-tests and Cohen’s d. Non-parametric data were compared using Wilcoxon s (z statistic). Results: Compared to baseline LF, hospitalized COVID-19 patients showed significant declines in follow-up LF: FEV1 (2.84 vs. 2.34 L; p = 0.002), FVC (3.01 vs. 2.53 L; p = 0.006), and PEF (399 vs. 328 L; p = 0.001). Non-hospitalized COVID-19 cases showed a non-significant downward trend, while controls maintained stable LF. Risk factors for post-COVID FEV1 < 80% predicted included hospitalization, elevated waist-to-hip ratio, and incomplete or absent COVID-19 vaccination. Moderate-to-high physical activity was protective. Post-COVID PEF < 80% predicted was associated with female sex, diabetes mellitus, and subsidized healthcare enrollment. Mortality risk was elevated among individuals with low baseline LF, age > 65, male sex, hypertension, obesity, low physical activity, and reduced handgrip strength. Conclusions: Significant LF decline was observed in hospitalized COVID-19 patients, with minimal changes in outpatients and controls. Identifying clinical and demographic predictors of post-COVID LF impairment may inform targeted interventions to mitigate long-term pulmonary complications. Full article
(This article belongs to the Section Respiratory Medicine)
Show Figures

Figure 1

Back to TopTop