Sign in to use this feature.

Years

Between: -

Subjects

remove_circle_outline
remove_circle_outline
remove_circle_outline
remove_circle_outline
remove_circle_outline

Journals

Article Types

Countries / Regions

Search Results (16)

Search Parameters:
Keywords = prunin

Order results
Result details
Results per page
Select all
Export citation of selected articles as:
14 pages, 892 KB  
Article
Metabolomic Analysis Provides Insights into Bud Paradormancy in Camellia sinensis cv. Huangdan
by Mingjie Chen, Zhenghua Du, Wenjie Yue, Xiangrui Kong, Quanming Xu, Dongsheng Fang and Changsong Chen
Int. J. Mol. Sci. 2025, 26(11), 5094; https://doi.org/10.3390/ijms26115094 - 26 May 2025
Viewed by 949
Abstract
Bud paradormancy has been widely studied in perennial deciduous woody species, but little attention has been paid to paradormancy set and release in perennial evergreen tree species. Here, shoot bud paradormancy in Camellia sinensis cv. Huangdan was studied by untargeted metabolomics. We found [...] Read more.
Bud paradormancy has been widely studied in perennial deciduous woody species, but little attention has been paid to paradormancy set and release in perennial evergreen tree species. Here, shoot bud paradormancy in Camellia sinensis cv. Huangdan was studied by untargeted metabolomics. We found that after removing the axillary floral buds for one day, the paradormancy of the axillary shoot buds was released. The paradormant shoot buds had lower glucose-1-phosphate, fructose, and D-(-)-tagatofuranose content but higher trehalose, raffinose, galactinol, and α-D-xylopyranose content. Meanwhile, high levels of asparagine were accumulated. Flavonoids were differentially accumulated, and higher levels of three flavone glycosides (C-diglucosylapigenin, apigenin 6-C-glucoside 8-C-arabinoside, and prunin) and four proanthocyanidins (Procyanidin trimer isomer 1, Galloylprocyanidin dimer, Procyanidin trimer isomer 3, and Galloylated trimeric proanthocyanidin) were accumulated in paradormant shoot buds. During the paradormancy-to-growth transition, all these metabolites were reversed. These data suggest that the reconfiguration of carbon, nitrogen, and flavonoid metabolism could be an important aspect for the paradormancy set and release of tea axillary shoot buds. This study provided novel insights into shoot bud paradormancy set and release in a perennial evergreen tree species. Full article
(This article belongs to the Special Issue Advances in Tea Tree Metabolism and Genetics)
Show Figures

Graphical abstract

13 pages, 3478 KB  
Article
Ectropis obliqua-Induced Secondary Metabolites Are Regulated by Methyl Jasmonate in a Threshold-Dependent Manner
by Yongchen Yu, Xiaona Qian, Xiwang Li, Zhichao Chai, Dejiang Ni and Xiaoling Sun
Int. J. Mol. Sci. 2025, 26(9), 4248; https://doi.org/10.3390/ijms26094248 - 29 Apr 2025
Cited by 1 | Viewed by 960
Abstract
The jasmonic acid (JA) signaling pathway has been demonstrated to play a crucial role in plant defense against herbivorous insects. However, the relationship between Ectropis obliqua-induced defensive metabolites and the JA signaling pathway in tea plants remains poorly understood. In this study, [...] Read more.
The jasmonic acid (JA) signaling pathway has been demonstrated to play a crucial role in plant defense against herbivorous insects. However, the relationship between Ectropis obliqua-induced defensive metabolites and the JA signaling pathway in tea plants remains poorly understood. In this study, we investigated seven key special metabolites, including p-coumaroylputrescine, feruloylputrescine, prunin, naringenin, and three monolignols, to address this knowledge gap. Epicatechin was selected as a positive control based on its well-documented regulation through the JA signaling pathway. Notably, the content of all selected compounds was significantly increased by E. obliqua infestation. Furthermore, exogenous application of high-dose methyl jasmonate (MeJA) induced the accumulation of six of the eight compounds, excluding p-coumaryl alcohol and sinapyl alcohol, whereas low-dose MeJA failed to elicit their accumulation. To confirm the results, we screened two bioactive molecules, D-allose and L-theanine, which significantly increased the endogenous JA levels at low concentrations. Interestingly, neither D-allose nor L-theanine triggered the biosynthesis of these defensive compounds. Additionally, D-allose-treated tea leaves had no significant effect on the performance of E. obliqua larvae. These findings demonstrate that the metabolic accumulation induced by E. obliqua is mediated through a high-threshold JA signaling cascade. This study provides novel insights into the relationship between plant resistance and JA signaling pathway, advancing our understanding of special metabolites mediated plant-insect interactions. Full article
(This article belongs to the Section Molecular Plant Sciences)
Show Figures

Figure 1

33 pages, 4328 KB  
Review
Prunin: An Emerging Anticancer Flavonoid
by Juie Nahushkumar Rana and Sohail Mumtaz
Int. J. Mol. Sci. 2025, 26(6), 2678; https://doi.org/10.3390/ijms26062678 - 16 Mar 2025
Cited by 55 | Viewed by 5492
Abstract
Despite the substantial advances in cancer therapies, developing safe and effective treatment methodologies is critical. Natural (plant-derived compounds), such as flavonoids, might be crucial in developing a safe treatment methodology without toxicity toward healthy tissues. Prunin is a flavonoid with the potential to [...] Read more.
Despite the substantial advances in cancer therapies, developing safe and effective treatment methodologies is critical. Natural (plant-derived compounds), such as flavonoids, might be crucial in developing a safe treatment methodology without toxicity toward healthy tissues. Prunin is a flavonoid with the potential to be used in biomedical applications. Prunin has yet to undergo thorough scientific research, and its precise molecular mechanisms of action remain largely unexplored. This review summarizes the therapeutic potential of prunin for the first time, focusing on its underlying mechanisms as an anticancer compound. Prunin has gained significant attention due to its antioxidant, anti-inflammatory, and anticancer effects. This review aims to unlock how prunin functions at the molecular level to exert its anticancer effects, primarily modulating key cellular pathways. Furthermore, we have discussed the prunin’s potential as an adjunctive therapy with conventional treatments, highlighting its ability to strengthen treatment responses while decreasing drug resistance. Moreover, the discussion probes into innovative delivery methods, particularly nanoformulations, that might address prunin’s bioavailability, solubility, and stability limitations and optimize its therapeutic application. By providing a comprehensive analysis of prunin’s properties, this review aims to stimulate further exploration of using prunin as an anticancer agent, thereby progressing the development of targeted, selective, safe, and effective therapeutic methods. Full article
(This article belongs to the Section Bioactives and Nutraceuticals)
Show Figures

Figure 1

19 pages, 4391 KB  
Article
Metabolomic and Transcriptomic Analyses Reveal the Factors Underlying Mature Fruit Pericarp Color Variations in the ‘Xinli No. 7’ Pear (Pyrus sinkiangensis)
by Yi Wang, Can Lu, Pan Yan, Shijie An, Ling Ma, Qiangqing Zheng, Yonghui Deng and Qiling Chen
Metabolites 2025, 15(2), 81; https://doi.org/10.3390/metabo15020081 - 30 Jan 2025
Cited by 2 | Viewed by 1362
Abstract
Background/Objectives: The ‘Xinli No. 7’ pear is a new pear variety with the advantages of early ripening, high quality, high storage resistance, and a long shelf life. Peel color is an important appearance-related trait and an important indicator of fruit quality and [...] Read more.
Background/Objectives: The ‘Xinli No. 7’ pear is a new pear variety with the advantages of early ripening, high quality, high storage resistance, and a long shelf life. Peel color is an important appearance-related trait and an important indicator of fruit quality and commercial value. Methods: In this study, we investigated the polyphenol compound biosynthesis metabolic pathway in the fruit pericarp of ‘Xinli No. 7’ pear using metabolomic and transcriptomic approaches, and qRT–PCR was used for the relative expression analysis of 21 DEGs associated with flavonoid biosynthesis. Results: A total of 128 phenolic compounds were identified, along with 1850 differently expressed genes (DEGs) in peels of different colors. Caftaric acid, apigenin, astragalin, phlorizin, prunin, taxifolin, rutin, naringenin, and their derivatives were abundant in the peel of ‘Xinli No. 7’ pear. An integrated analysis of transcriptomic and metabolomic data revealed that one PGT1, one LAR, two ANS, three 4CL, one CHS, one DFR, and one CHI gene involved in flavonoid biosynthesis exhibited markedly different expression levels in the fruit pericarp of ‘Xinli No. 7’ pear. Metabolic profiling of pear skin led to the identification of polyphenol substances involved in the flavonoid biosynthetic process and revealed 16 flavonoid compounds with high accumulation in pear fruit with red skin (PR). Notably, MYBs (25), bHLHs (18), WRKYs (15), NACs (15), ERFs (15), and MADs (2) may also contribute to the accumulation of flavonoid metabolites and the biosynthesis of anthocyanins in the peel of ‘Xinli No. 7’. Conclusions: Therefore, our results demonstrate the key role of phenolic compounds and candidate transcription factors involved in the peel color formation of ‘Xinli No. 7’ pear fruit. Full article
(This article belongs to the Special Issue LC-MS/MS Analysis for Plant Secondary Metabolites)
Show Figures

Figure 1

17 pages, 12208 KB  
Article
Metabolomics Analysis of Phenolic Composition and Content in Five Pear Cultivars Leaves
by Huijun Jiao, Qiuzhu Guan, Ran Dong, Kun Ran, Hongwei Wang, Xiaochang Dong and Shuwei Wei
Plants 2024, 13(17), 2513; https://doi.org/10.3390/plants13172513 - 7 Sep 2024
Cited by 4 | Viewed by 2557
Abstract
Phenolic compounds are the predominant chemical constituents in the secondary metabolites of plants and are commonly found in pears. In this study, we focused on the analysis of the phenolic composition and antioxidant activity of leaves from five pear cultivars (Cuiguan, Chaohong, Kuerle, [...] Read more.
Phenolic compounds are the predominant chemical constituents in the secondary metabolites of plants and are commonly found in pears. In this study, we focused on the analysis of the phenolic composition and antioxidant activity of leaves from five pear cultivars (Cuiguan, Chaohong, Kuerle, Nanguoli, and Yali) and tea leaves (Fudingdabai as the control) using ultra-performance liquid chromatography coupled with electrospray ionization triple quadrupole mass spectrometry. The results indicated significant differences in the amount and composition of phenolic metabolites between tea and pear leaves, as well as among the five pear varieties. Only approximately one-third of the metabolites exhibited higher levels in pear leaves compared to that in tea leaves. The total phenol content in the Yali cultivar was higher than that in the other pear cultivars. Furthermore, specific phenolic metabolites with high expression were identified in the leaves of different groups. The levels of delphinidin 3-glucoside, aesculin, prunin, cosmosiin, quercetin 3-galactoside, isorhamnetin-3-O-glucoside, nicotiflorin, narcissin, chlorogenic acid, and cryptochlorogenic acid were relatively high among the five pear cultivars. (-)-Gallocatechin gallate, 6-methylcoumarin, aesculetin, hesperidin, kaempferol, and caftaric acid were identified as specific metabolic substances unique to each type of pear leaf. Most of the differential metabolites showed positive correlations and were primarily enriched in the flavonoid biosynthesis, flavone and flavonol biosynthesis, and phenylpropanoid biosynthesis pathways. DPPH (1,1-Diphenyl-2-picrylhydrazyl radical) analysis indicated that the Yali cultivar exhibited the highest antioxidant activity compared to other varieties. This systematic analysis of the differences in phenolic metabolite composition and antioxidant activity between pear and tea leaves provides a theoretical foundation for the development and utilization of pear leaf resources. Full article
Show Figures

Figure 1

13 pages, 1606 KB  
Article
Prunin Laurate Derived from Natural Substances Shows Antibacterial Activity against the Periodontal Pathogen Porphyromonas gingivalis
by Erika Wada, Chiharu Ito, Mai Shinohara, Satoshi Handa, Miki Maetani, Mayo Yasugi, Masami Miyake, Tatsuji Sakamoto, Ayaka Yazawa and Shigeki Kamitani
Foods 2024, 13(12), 1917; https://doi.org/10.3390/foods13121917 - 18 Jun 2024
Cited by 2 | Viewed by 4434
Abstract
Periodontal disease is an inflammatory disease caused by infection with periodontopathogenic bacteria. Oral care is essential to prevent and control periodontal disease, which affects oral and systemic health. However, many oral hygiene products currently on the market were developed as disinfectants, and their [...] Read more.
Periodontal disease is an inflammatory disease caused by infection with periodontopathogenic bacteria. Oral care is essential to prevent and control periodontal disease, which affects oral and systemic health. However, many oral hygiene products currently on the market were developed as disinfectants, and their intense irritation makes their use difficult for young children and older people. This study investigated the antibacterial effects of prunin laurate (Pru-C12) and its analogs on periodontopathogenic bacteria, Porphyromonas gingivalis (P. gingivalis). Pru-C12 and its analogs inhibited in vitro bacterial growth at more than 10 μM and biofilm formation at 50 µM. Among its analogs, only Pru-C12 showed no cytotoxicity at 100 µM. Three of the most potent inhibitors also inhibited the formation of biofilms. Furthermore, Pru-C12 inhibited alveolar bone resorption in a mouse experimental periodontitis model by P. gingivalis infection. These findings may be helpful in the development of oral hygiene products for the prevention and control of periodontal disease and related disorders. Full article
(This article belongs to the Special Issue Anti-virus and Anti-microbial Activity of Food Ingredients)
Show Figures

Figure 1

15 pages, 7378 KB  
Article
Comparative Metabolomics Analysis of Different Perilla Varieties Provides Insights into Variation in Seed Metabolite Profiles and Antioxidant Activities
by Senouwa Segla Koffi Dossou, Qianchun Deng, Feng Li, Nanjun Jiang, Rong Zhou, Lei Wang, Donghua Li, Meilian Tan, Jun You and Linhai Wang
Foods 2023, 12(23), 4370; https://doi.org/10.3390/foods12234370 - 4 Dec 2023
Cited by 8 | Viewed by 2915
Abstract
Perilla seeds are essential functional foods and key ingredients in traditional medicine. Herein, we investigated the variation in phytochemical profiles and antioxidant activities of twelve different perilla seeds. The seeds showed significant variations in total phenolic and flavonoid contents ranging from 16.92 to [...] Read more.
Perilla seeds are essential functional foods and key ingredients in traditional medicine. Herein, we investigated the variation in phytochemical profiles and antioxidant activities of twelve different perilla seeds. The seeds showed significant variations in total phenolic and flavonoid contents ranging from 16.92 to 37.23 mg GAE/g (GAE, gallic acid equivalent) and 11.6 to 19.52 mg CAE/g (CAE, catechin equivalent), respectively. LC-QqQ-MS (liquid chromatography triple quadrupole tandem mass spectrometry)-based widely targeted metabolic profiling identified a total of 975 metabolites, including 68–269 differentially accumulated metabolites (DAMs). Multivariate analyses categorized the seeds into four groups based on the seed coat and leaf colors. Most key bioactive DAMs, including flavonoids (quercetin-3’-O-glucoside, prunin, naringenin, naringenin chalcone, butin, genistin, kaempferol-3-O-rutinoside, etc.), amino acids (valine, lysine, histidine, glutamine, threonine, etc.), and vitamins (B1, B3, B6, U, etc.) exhibited the highest relative content in PL3 (brown seed, purple leaf), PL1 (white seed, green-purple leaf), and PL4 (white seed, green leaf) groups, respectively. Meanwhile, key differentially accumulated phenolic acids showed a higher relative content in PL1 and PL4 than in other groups. Both seeds exhibited high antioxidant activities, although those of PL2 (brown seed, green leaf) group seeds were the lowest. Our results may facilitate the comprehensive use of perilla seeds in food and pharmaceutical industries. Full article
Show Figures

Figure 1

18 pages, 3148 KB  
Review
Phytochemical Properties, Extraction, and Pharmacological Benefits of Naringin: A Review
by VS Shilpa, Rafeeya Shams, Kshirod Kumar Dash, Vinay Kumar Pandey, Aamir Hussain Dar, Shaikh Ayaz Mukarram, Endre Harsányi and Béla Kovács
Molecules 2023, 28(15), 5623; https://doi.org/10.3390/molecules28155623 - 25 Jul 2023
Cited by 135 | Viewed by 16313
Abstract
This review describes the various innovative approaches implemented for naringin extraction as well as the recent developments in the field. Naringin was assessed in terms of its structure, chemical composition, and potential food sources. How naringin works pharmacologically was discussed, including its potential [...] Read more.
This review describes the various innovative approaches implemented for naringin extraction as well as the recent developments in the field. Naringin was assessed in terms of its structure, chemical composition, and potential food sources. How naringin works pharmacologically was discussed, including its potential as an anti-diabetic, anti-inflammatory, and hepatoprotective substance. Citrus flavonoids are crucial herbal additives that have a huge spectrum of organic activities. Naringin is a nutritional flavanone glycoside that has been shown to be effective in the treatment of a few chronic disorders associated with ageing. Citrus fruits contain a common flavone glycoside that has specific pharmacological and biological properties. Naringin, a flavone glycoside with a range of intriguing characteristics, is abundant in citrus fruits. Naringin has been shown to have a variety of biological, medicinal, and pharmacological effects. Naringin is hydrolyzed into rhamnose and prunin by the naringinase, which also possesses l-rhamnosidase activity. D-glucosidase subsequently catalyzes the hydrolysis of prunin into glucose and naringenin. Naringin is known for having anti-inflammatory, antioxidant, and tumor-fighting effects. Numerous test animals and cell lines have been used to correlate naringin exposure to asthma, hyperlipidemia, diabetes, cancer, hyperthyroidism, and osteoporosis. This study focused on the many documented actions of naringin in in-vitro and in-vivo experimental and preclinical investigations, as well as its prospective therapeutic advantages, utilizing the information that is presently accessible in the literature. In addition to its pharmacokinetic characteristics, naringin’s structure, distribution, different extraction methods, and potential use in the cosmetic, food, pharmaceutical, and animal feed sectors were discussed. Full article
(This article belongs to the Special Issue Bioactive Compounds from Functional Foods)
Show Figures

Graphical abstract

7 pages, 3395 KB  
Article
Tyrosinase Inhibitory Activity of Extracts from Prunus persica
by Kazuya Murata, Satomi Suzuki, Akane Miyamoto, Miki Horimoto, Suzuna Nanko, Daisuke Mori, Hiroshi Kanamaru and Yuichi Endo
Separations 2022, 9(5), 107; https://doi.org/10.3390/separations9050107 - 26 Apr 2022
Cited by 14 | Viewed by 3880
Abstract
The demand for skin-whitening agents is high across the world, including Asian countries. An extensive screening using a tyrosinase inhibition assay was performed in order to discover novel plant materials. In our research program investigating a safe and effective agent, 50% ethanolic extracts [...] Read more.
The demand for skin-whitening agents is high across the world, including Asian countries. An extensive screening using a tyrosinase inhibition assay was performed in order to discover novel plant materials. In our research program investigating a safe and effective agent, 50% ethanolic extracts prepared from discarded parts of Prunus persica were screened for in vitro tyrosinase inhibitory activity. Among the extracts tested, twig extract showed the most potent inhibitory activity: 38% inhibition at 500 µg/mL. The investigation of active compounds in twig extract found four flavanones that acted as moderate inhibitors, including (−)-prunin, persiconin, (+)-dihydrokaempferol, and (−)-naringenin. These compounds were only observed in the twig extract following preliminary quantification by HPLC, with the following concentrations: (−)-prunin, 1.8 mg/g sample; persiconin, 0.8 mg/g sample; (+)-dihydrokaempferol, 0.8 mg/g sample; (−)-naringenin, 1.7 mg/g sample. These results suggest that twig extracts can be more useful for skin-whitening compared with other parts of the plant. In addition, a new constituent of twig extract was identified, namely isoquercitrin, which suggests that twig extract can be a potent source of flavones and flavanones. Further studies on the identification of novel compounds from twig extract are now underway in our laboratory. Full article
(This article belongs to the Section Purification Technology)
Show Figures

Figure 1

13 pages, 2731 KB  
Article
Phenolic Compounds Extracted from Cherry Tree (Prunus avium) Branches: Impact of the Process on Cosmetic Properties
by Gaëlle Willig, Fanny Brunissen, Fanny Brunois, Blandine Godon, Christian Magro, Charles Monteux, Cédric Peyrot and Irina Ioannou
Antioxidants 2022, 11(5), 813; https://doi.org/10.3390/antiox11050813 - 22 Apr 2022
Cited by 17 | Viewed by 4234
Abstract
Cherry tree branches (Prunus avium var burlat Rosaceae) are agricultural by-products that are often neglected, yet they are rich in phenolic compounds and highly appreciated for their numerous biological activities. Extracts of cherry tree branches were evaluated for their use in cosmetics, [...] Read more.
Cherry tree branches (Prunus avium var burlat Rosaceae) are agricultural by-products that are often neglected, yet they are rich in phenolic compounds and highly appreciated for their numerous biological activities. Extracts of cherry tree branches were evaluated for their use in cosmetics, particularly for their antioxidant, anti-tyrosinase, and antimicrobial activities. Samples were obtained by accelerated solvent extraction (ASE) at different ethanol percentages and different temperatures. Fourteen phenolic compounds were identified in the extracts by mass spectrometry. Three major compounds were identified (catechin, genistin, and prunin) representing 84 wt% of the total phenolic compounds. Optimal operating conditions maximizing the content of phenolic compounds were determined using a one factor at a time (OFAT) approach (70% aqueous ethanol, 70 °C). The extract obtained under these conditions also showed the highest antioxidant and anti-tyrosinase activities, certainly due to a high catechin content. Although the antimicrobial activities of extracts are less versatile than those of synthetic molecules, they are nonetheless interesting. According to these results, the extracts of cherry tree branches could be used in cosmetics for their interesting properties. Full article
Show Figures

Figure 1

12 pages, 719 KB  
Article
Organic Acid-Catalyzed Subcritical Water Hydrolysis of Immature Citrus unshiu Pomace
by Sang-Bin Lim
Foods 2022, 11(1), 18; https://doi.org/10.3390/foods11010018 - 22 Dec 2021
Cited by 7 | Viewed by 3557
Abstract
Immature Citrus unshiu pomace (ICUP) was hydrolyzed under organic acid-catalyzed, subcritical water (SW) conditions to produce flavonoid monoglucosides (hesperetin-7-O-glycoside and prunin) and aglycons (hesperetin and naringenin) with high biological activities. The results of single-factor experiments showed that with 8 h of [...] Read more.
Immature Citrus unshiu pomace (ICUP) was hydrolyzed under organic acid-catalyzed, subcritical water (SW) conditions to produce flavonoid monoglucosides (hesperetin-7-O-glycoside and prunin) and aglycons (hesperetin and naringenin) with high biological activities. The results of single-factor experiments showed that with 8 h of hydrolysis and an increasing citric acid concentration, the yield of flavonoid monoglucosides (hesperetin-7-O-glycoside and prunin) increased from 0 to 7% citric acid. Afterward, the hesperetin-7-O-glycoside yield remained constant (from 7 to 19% citric acid) while the pruning yield decreased with 19% of citric acid, whereas the aglycon yield increased continuously. In response surface methodology analysis, a citric acid concentration and hydrolysis duration of 13.34% and 7.94 h were predicted to produce the highest monoglucoside yield of 15.41 mg/g, while 18.48% citric acid and a 9.65 h hydrolysis duration produced the highest aglycon yield of 10.00 mg/g. The inhibitory activities of the SW hydrolysates against pancreatic lipase (PL) and xanthine oxidase (XO) were greatly affected by citric acid concentration and hydrolysis duration, respectively. PL and α-glucosidase inhibition rates of 88.2% and 62.7%, respectively, were achieved with 18.48% citric acid and an 8 h hydrolysis duration, compared to 72.8% for XO with 16% citric acid and 12 h of hydrolysis. This study confirms the potential of citric acid-catalyzed SW hydrolysis of ICUP for producing flavonoid monoglucosides and aglycons with enhanced enzyme inhibitory activities. Full article
(This article belongs to the Section Food Biotechnology)
Show Figures

Figure 1

15 pages, 979 KB  
Article
The Phenolic Compounds in the Young Shoots of Selected Willow Cultivars as a Determinant of the Plants’ Attractiveness to Cervids (Cervidae, Mammalia)
by Maciej Budny, Kazimierz Zalewski, Mariusz Jerzy Stolarski, Wiesław Wiczkowski, Adam Okorski and Robert Stryiński
Biology 2021, 10(7), 612; https://doi.org/10.3390/biology10070612 - 2 Jul 2021
Cited by 9 | Viewed by 2715
Abstract
This study examined the phenolic acids, flavonoids, and salicylates contents in young, 3-month-old shoots (including the leaves) of willow (Salix spp.). The cultivars were selected based on experiments carried out previously in Poland on fodder and energy willows. It was found, using [...] Read more.
This study examined the phenolic acids, flavonoids, and salicylates contents in young, 3-month-old shoots (including the leaves) of willow (Salix spp.). The cultivars were selected based on experiments carried out previously in Poland on fodder and energy willows. It was found, using the HPLC-MS/MS method, that the willow cultivars analyzed from three experimental plots, contained nine different phenolic acids, five salicylates and nine flavonoids, including four flavanols (quercetin, kaempferol, taxifolin and isorhamnetin), two flavanones (prunin, naringenin), two flavones (luteolin, apigenin) and one flavan-3-ol (catechin). The contents of individual compounds were not identical and depended on the cultivar from which they were isolated. The S. laurina 220/205 and S. amygdalina Krakowianka contained the greatest amounts of phenolic acids. The lowest quantities of these compounds were found in the S. viminalis Tur, S. pantaderana and S. cordata clone 1036. The highest concentration of flavonoids in young stems was found in S. fragilis clone 1043. The S. purpurea clone 1131 contained the highest amounts of salicylic compounds. Based on the results obtained from all experimental plots, it was shown that there is a negative correlation between the extent of browsing damage and the content of helicine and salicin from the group of salicylic compounds. A similar analysis between the phenolic acid concentration and the degree of willow browsing showed a positive correlation, especially between ferulic, trans-cinnamic, and synapinic acid. A negative correlation was found between the concentration of protocatechic acid content and browsing by cervids. Full article
Show Figures

Graphical abstract

17 pages, 1656 KB  
Article
Understanding the Fate of Almond (Prunus dulcis (Mill.) D.A. Webb) Oleosomes during Simulated Digestion
by Domenico Trombetta, Antonella Smeriglio, Marcella Denaro, Roberto Zagami, Mara Tomassetti, Rosa Pilolli, Elisabetta De Angelis, Linda Monaci and Giuseppina Mandalari
Nutrients 2020, 12(11), 3397; https://doi.org/10.3390/nu12113397 - 5 Nov 2020
Cited by 12 | Viewed by 3810
Abstract
Background: Almond kernels contain phytochemicals with positive health effects in relation to heart disease, diabetes and obesity. Several studies have previously highlighted that almond cell wall encapsulation during digestion and particle size are factors associated with these benefits. In the present study, we [...] Read more.
Background: Almond kernels contain phytochemicals with positive health effects in relation to heart disease, diabetes and obesity. Several studies have previously highlighted that almond cell wall encapsulation during digestion and particle size are factors associated with these benefits. In the present study, we have characterized almond oleosomes, natural oil droplets abundant in plants, and we have investigated their integrity during simulated gastrointestinal digestion. Methods: Oleosomes were visualized on the almond seed surface by imaging mass spectrometry analysis, and then characterized in terms of droplet size distribution by dynamic light scattering and protein profile by liquid chromatography high-resolution tandem mass spectrometry analysis. Results: The almond oleosomes’ distribution remained monomodal after in vitro mastication, whereas gastric and duodenal digestion led to a bimodal distribution, albeit characterized mainly by a prevalent population with a droplet size decrease related to a rearrangement of the protein profile. Oleosins, structural proteins found in plant oil bodies, persisted unchanged during simulated mastication, with the appearance of new prunin isoforms after gastric and duodenal digestion. Conclusions: The rearrangement of the protein profile could limit lipid bioaccessibility. The data improve our understanding of the behavior of almond lipids during gastrointestinal digestion, and may have implications for energy intake and satiety imparted by almonds. Full article
Show Figures

Figure 1

16 pages, 2050 KB  
Article
Semi-Continuous Subcritical Water Extraction of Flavonoids from Citrus unshiu Peel: Their Antioxidant and Enzyme Inhibitory Activities
by Dong-Shin Kim and Sang-Bin Lim
Antioxidants 2020, 9(5), 360; https://doi.org/10.3390/antiox9050360 - 25 Apr 2020
Cited by 73 | Viewed by 6727
Abstract
We extracted and hydrolyzed bioactive flavonoids from C. unshiu peel using subcritical water (SW) in a semi-continuous mode. The individual flavonoid yields, antioxidant and enzyme inhibitory activities of the SW extracts were analyzed. The extraction yields of hesperidin and narirutin increased with increasing [...] Read more.
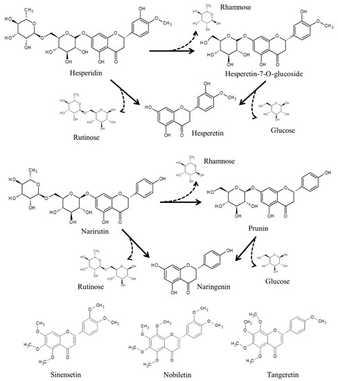
We extracted and hydrolyzed bioactive flavonoids from C. unshiu peel using subcritical water (SW) in a semi-continuous mode. The individual flavonoid yields, antioxidant and enzyme inhibitory activities of the SW extracts were analyzed. The extraction yields of hesperidin and narirutin increased with increasing temperature from 145 °C to 165 °C. Hydrothermal hydrolysis products (HHP), such as monoglucosides (hesperetin-7-O-glucoside and prunin) and aglycones (hesperetin and naringenin) were obtained in the SW extracts at temperatures above 160 °C. The sum of hesperidin and its HHP in the SW extracts was strongly correlated with antioxidant activities, whereas the contents of hesperetin and naringenin were strongly correlated with enzyme inhibitory activities. Hesperetin exhibited the highest antioxidant activities (2,2-diphenyl-1-picrylhydrazyl radical scavenging activity, ferric-reducing antioxidant power, and oxygen radical absorbance capacity), whereas hesperetin-7-O-glucoside exhibited the highest enzyme inhibitory activities (angiotensin-I converting enzyme (ACE) and pancreatic lipase (PL)). Naringenin exhibited the highest enzyme inhibitory activities (xanthine oxidase and α-glucosidase). PMFs (sinensetin, nobiletin, and tangeretin) also exhibited relatively high inhibitory activities against ACE and PL. This study confirms the potential of SW for extracting and hydrolyzing bioactive flavonoids from C. unshiu peel using an environmentally friendly solvent (water) and a shorter extraction time. Full article
Show Figures

Graphical abstract

11 pages, 437 KB  
Article
Antidepressant Potential of Lotus corniculatus L. subsp. corniculatus: An Ethnobotany Based Approach
by Fatma Tuğçe Gürağaç Dereli, Haroon Khan, Eduardo Sobarzo-Sánchez and Esra Küpeli Akkol
Molecules 2020, 25(6), 1299; https://doi.org/10.3390/molecules25061299 - 12 Mar 2020
Cited by 10 | Viewed by 4225
Abstract
As a Turkish traditional medicinal plant, aerial parts of Lotus corniculatus L. subsp. corniculatus (Fabaceae) are used as a painkiller, antihemoroidal, diuretic and sedative. In this study, the antidepressant potential of the plant has been attempted to clarify. Extracts with water, n-Hexane, [...] Read more.
As a Turkish traditional medicinal plant, aerial parts of Lotus corniculatus L. subsp. corniculatus (Fabaceae) are used as a painkiller, antihemoroidal, diuretic and sedative. In this study, the antidepressant potential of the plant has been attempted to clarify. Extracts with water, n-Hexane, ethyl acetate, and methanol were prepared respectively from the aerial parts. Antidepressant activity of the extracts were researched by using three different in vivo test models namely a tail suspension test, antagonism of tetrabenazine-induced hypothermia, ptosis, and suppression of locomotor activity and forced swimming test on male BALB/c mice and in vitro monoamine oxidase (MAO)-A and B inhibition assays. The results were evaluated through comparing with control and reference groups, and then active compounds of the active extract have been determined. Bioassay-guided fractionation of active fraction led to the isolation of three compounds and structures of the compounds were elucidated by spectroscopic methods. The data of this study demonstrate that the MeOH extract of the aerial parts of the plant showed remarkable in vivo antidepressant effect and the isolated compounds medicarpin-3-O-glucoside, gossypetin-3-O-glucoside and naringenin-7-O-glucoside (prunin) from the active sub-fractions could be responsible for the activity. Further mechanistic and toxicity studies are planned to develop new antidepressant-acting drugs. Full article
(This article belongs to the Special Issue Natural Products for Neurodegenerative Diseases)
Show Figures

Graphical abstract

Back to TopTop