Sign in to use this feature.

Years

Between: -

Subjects

remove_circle_outline
remove_circle_outline
remove_circle_outline

Journals

Article Types

Countries / Regions

Search Results (14)

Search Parameters:
Keywords = proteasome gate

Order results
Result details
Results per page
Select all
Export citation of selected articles as:
26 pages, 3027 KB  
Article
Cinnarizine, a Calcium Channel Blocker, Partially Prevents the Striatal Dopamine Decline and Loss of Nigral Dopamine Neurons in the Lactacystin-Induced Rat Model of Parkinson’s Disease
by Elżbieta Lorenc-Koci, Tomasz Lenda, Jolanta Konieczny, Danuta Jantas and Helena Domin
Int. J. Mol. Sci. 2025, 26(18), 8833; https://doi.org/10.3390/ijms26188833 - 10 Sep 2025
Viewed by 839
Abstract
Selective proteasome inhibitors, used to model Parkinsonian-like pathology, are known to disrupt calcium homeostasis, but the role of calcium ions in dopaminergic neuron degeneration remains unclear. The present in vivo study examined the effects of a 7-day intraperitoneal administration of cinnarizine (10 or [...] Read more.
Selective proteasome inhibitors, used to model Parkinsonian-like pathology, are known to disrupt calcium homeostasis, but the role of calcium ions in dopaminergic neuron degeneration remains unclear. The present in vivo study examined the effects of a 7-day intraperitoneal administration of cinnarizine (10 or 30 mg/kg), a voltage-gated calcium channel blocker, in rats unilaterally injected into the substantia nigra compacta (SNc) with lactacystin (Lac; 1 µg/2 µL) or vehicle. Dopamine (DA) and its metabolites were quantified in striatal homogenates via high-performance liquid chromatography. The SN of rats treated with 10 mg/kg cinnarizine was used for Western blot analysis of tyrosine hydroxylase (TH), while tissue from animals receiving 30 mg/kg was processed for histological analysis of TH-immunoreactive (TH-ir) and cresyl violet (CV)-stained neurons. Significant reductions in striatal DA and its metabolites were observed one week after Lac injection, along with increased DA catabolism. Cinnarizine at both doses partially prevented DA loss and attenuated enhanced DA turnover. Moreover, 10 mg/kg cinnarizine partially preserved TH protein levels, while 30 mg/kg provided histological protection of TH-ir neurons in the SN. Cinnarizine was also tested in vitro in human SH-SY5Y neuroblastoma cells and primary mouse cortical neurons exposed to Lac or rotenone to further assess its neuroprotective potential. In SH-SY5Y cells, cinnarizine (1–10 µM) significantly increased cell viability and reduced lactate dehydrogenase release after toxin exposure. Cinnarizine failed to counteract lactacystin-induced toxicity in primary cortical neurons but markedly reduced rotenone-evoked cell death at similar concentrations. These findings indicate that cinnarizine exerts dose-dependent neuroprotective effects in vivo and selective protective actions in vitro, supporting the potential utility of voltage-gated calcium channel blockers in treating Parkinson’s disease. Full article
(This article belongs to the Special Issue Neuroprotective Effects of Food Ingredients)
Show Figures

Figure 1

26 pages, 5062 KB  
Article
Expression Profiles of Housekeeping Genes and Tissue-Specific Genes in Different Tissues of Chinese Sturgeon (Acipenser sinensis)
by Yanping Li, Yunyun Lv, Peilin Cheng, Ying Jiang, Cao Deng, Yongming Wang, Zhengyong Wen, Jiang Xie, Jieming Chen, Qiong Shi and Hao Du
Animals 2024, 14(23), 3357; https://doi.org/10.3390/ani14233357 - 21 Nov 2024
Viewed by 1924
Abstract
The Chinese sturgeon (Acipenser sinensis) is an ancient, complex autooctoploid fish species that is currently facing conservation challenges throughout its distribution. To comprehensively characterize the expression profiles of genes and their associated biological functions across different tissues, we performed a transcriptome-scale [...] Read more.
The Chinese sturgeon (Acipenser sinensis) is an ancient, complex autooctoploid fish species that is currently facing conservation challenges throughout its distribution. To comprehensively characterize the expression profiles of genes and their associated biological functions across different tissues, we performed a transcriptome-scale gene expression analysis, focusing on housekeeping genes (HKGs), tissue-specific genes (TSGs), and co-expressed gene modules in various tissues. We collected eleven tissues to establish a transcriptomic repository, including data from Pacific Biosciences isoform sequencing (PacBio Iso-seq) and RNA sequencing (RNA-seq), and then obtained 25,434 full-length transcripts, with lengths from 307 to 9515 bp and an N50 of 3195 bp. Additionally, 20,887 transcripts were effectively identified and classified as known homologous genes. We also identified 787 HKGs, and the number of TSGs varied from 25 in the liver to 2073 in the brain. TSG functions were mainly enriched in certain signaling pathways involved in specific physiological processes, such as voltage-gated potassium channel activity, nervous system development, glial cell differentiation in the brain, and leukocyte transendothelial migration in the spleen and pronephros. Meanwhile, HKGs were highly enriched in some pathways involved in ribosome biogenesis, proteasome core complex, spliceosome activation, elongation factor activity, and translation initiation factor activity, which have been strongly implicated in fundamental biological tissue functions. We also predicted five modules, with eight hub genes in the brown module, most of which (such as rps3a, rps7, rps23, rpl11, rpl17, rpl27, and rpl28) were linked to ribosome biogenesis. Our results offer insights into ribosomal proteins that are indispensable in ribosome biogenesis and protein synthesis, which are crucial in various cell developmental processes and neural development of Chinese sturgeon. Overall, these findings will not only advance the understanding of fundamental biological functions in Chinese sturgeon but also supply a valuable genetic resource for characterizing this extremely important species. Full article
(This article belongs to the Section Animal Genetics and Genomics)
Show Figures

Figure 1

20 pages, 2208 KB  
Article
Acceleration of Protein Degradation by 20S Proteasome-Binding Peptides Generated by In Vitro Artificial Evolution
by Yunhao Zhu, Kaishin Shigeyoshi, Yumiko Hayakawa, Sae Fujiwara, Masamichi Kishida, Hitoshi Ohki, Tomohisa Horibe, Masafumi Shionyu, Tamio Mizukami and Makoto Hasegawa
Int. J. Mol. Sci. 2023, 24(24), 17486; https://doi.org/10.3390/ijms242417486 - 14 Dec 2023
Cited by 1 | Viewed by 2747
Abstract
Although the 20S core particle (CP) of the proteasome is an important component of the 26S holoenzyme, the stand-alone 20S CP acts directly on intrinsically disordered and oxidized/damaged proteins to degrade them in a ubiquitin-independent manner. It has been postulated that some structural [...] Read more.
Although the 20S core particle (CP) of the proteasome is an important component of the 26S holoenzyme, the stand-alone 20S CP acts directly on intrinsically disordered and oxidized/damaged proteins to degrade them in a ubiquitin-independent manner. It has been postulated that some structural features of substrate proteins are recognized by the 20S CP to promote substrate uptake, but the mechanism of substrate recognition has not been fully elucidated. In this study, we screened peptides that bind to the 20S CP from a random eight-residue pool of amino acid sequences using complementary DNA display an in vitro molecular evolution technique. The identified 20S CP-binding amino acid sequence was chemically synthesized and its effects on the 20S CP were investigated. The 20S CP-binding peptide stimulated the proteolytic activity of the inactive form of 20S CP. The peptide bound directly to one of the α-subunits, opening a gate for substrate entry on the α-ring. Furthermore, the attachment of this peptide sequence to α-synuclein enhanced its degradation by the 20S CP in vitro. In addition to these results, docking simulations indicated that this peptide binds to the top surface of the α-ring. These peptides could function as a key to control the opening of the α-ring gate. Full article
(This article belongs to the Section Biochemistry)
Show Figures

Figure 1

13 pages, 2495 KB  
Article
Electronic Circular Dichroism Detects Conformational Changes Associated with Proteasome Gating Confirmed Using AFM Imaging
by Alessandro D’Urso, Roberto Purrello, Alessandra Cunsolo, Danilo Milardi, Caterina Fattorusso, Marco Persico, Maria Gaczynska, Pawel A. Osmulski and Anna Maria Santoro
Biomolecules 2023, 13(4), 704; https://doi.org/10.3390/biom13040704 - 20 Apr 2023
Viewed by 2625
Abstract
Many chronic diseases, including cancer and neurodegeneration, are linked to proteasome dysregulation. Proteasome activity, essential for maintaining proteostasis in a cell, is controlled by the gating mechanism and its underlying conformational transitions. Thus, developing effective methods to detect gate-related specific proteasome conformations could [...] Read more.
Many chronic diseases, including cancer and neurodegeneration, are linked to proteasome dysregulation. Proteasome activity, essential for maintaining proteostasis in a cell, is controlled by the gating mechanism and its underlying conformational transitions. Thus, developing effective methods to detect gate-related specific proteasome conformations could be a significant contribution to rational drug design. Since the structural analysis suggests that gate opening is associated with a decrease in the content of α-helices and β-sheets and an increase in random coil structures, we decided to explore the application of electronic circular dichroism (ECD) in the UV region to monitor the proteasome gating. A comparison of ECD spectra of wild type yeast 20S proteasome (predominantly closed) and an open-gate mutant (α3ΔN) revealed an increased intensity in the ECD band at 220 nm, which suggests increased contents of random coil and β-turn structures. This observation was further supported by evaluating ECD spectra of human 20S treated with low concentration of SDS, known as a gate-opening reagent. Next, to evaluate the power of ECD to probe a ligand-induced gate status, we treated the proteasome with H2T4, a tetracationic porphyrin that we showed previously to induce large-scale protein conformational changes upon binding to h20S. H2T4 caused a significant increase in the ECD band at 220 nm, interpreted as an induced opening of the 20S gate. In parallel, we imaged the gate-harboring alpha ring of the 20S with AFM, a technique that we used previously to visualize the predominantly closed gate in latent human or yeast 20S and the open gate in α3ΔN mutant. The results were convergent with the ECD data and showed a marked decrease in the content of closed-gate conformation in the H2T4-treated h20S. Our findings provide compelling support for the use of ECD measurements to conveniently monitor proteasome conformational changes related to gating phenomena. We predict that the observed association of spectroscopic and structural results will help with efficient design and characterization of exogenous proteasome regulators. Full article
Show Figures

Figure 1

16 pages, 7539 KB  
Article
A Role for the Proteasome Alpha2 Subunit N-Tail in Substrate Processing
by Indrajit Sahu, Monika Bajorek, Xiaolin Tan, Madabhushi Srividya, Daria Krutauz, Noa Reis, Pawel A. Osmulski, Maria E. Gaczynska and Michael H. Glickman
Biomolecules 2023, 13(3), 480; https://doi.org/10.3390/biom13030480 - 5 Mar 2023
Cited by 3 | Viewed by 2806
Abstract
The proteolytic active sites of the 26S proteasome are sequestered within the catalytic chamber of its 20S core particle (CP). Access to this chamber is through a narrow channel defined by the seven outer α subunits. In the resting state, the N-termini of [...] Read more.
The proteolytic active sites of the 26S proteasome are sequestered within the catalytic chamber of its 20S core particle (CP). Access to this chamber is through a narrow channel defined by the seven outer α subunits. In the resting state, the N-termini of neighboring α subunits form a gate blocking access to the channel. The attachment of the activators or regulatory particles rearranges the blocking α subunit N-termini facilitating the entry of substrates. By truncating or mutating each of the participating α N-termini, we report that whereas only a few N-termini are important for maintaining the closed gate, all seven N-termini participate in the open gate. Specifically, the open state is stabilized by a hydrogen bond between an invariant tyrosine (Y) in each subunit with a conserved aspartate (D) in its counterclockwise neighbor. The lone exception is the α1–α2 pair leaving a gap in the ring circumference. The third residue (X) of this YD(X) motif aligns with the open channel. Phenylalanine at this position in the α2 subunit comes in direct contact with the translocating substrate. Consequently, deletion of the α2 N-terminal tail attenuates proteolysis despite the appearance of an open gate state. In summary, the interlacing N-terminal YD(X) motifs regulate both the gating and translocation of the substrate. Full article
(This article belongs to the Special Issue Allosteric Regulation in Ubiquitin Proteasome System)
Show Figures

Figure 1

27 pages, 6499 KB  
Article
Modulation of the 20S Proteasome Activity by Porphyrin Derivatives Is Steered through Their Charge Distribution
by Marco Persico, Anna Maria Santoro, Alessandro D’Urso, Danilo Milardi, Roberto Purrello, Alessandra Cunsolo, Marina Gobbo, Roberto Fattorusso, Donatella Diana, Manuela Stefanelli, Grazia R. Tundo, Diego Sbardella, Massimo Coletta and Caterina Fattorusso
Biomolecules 2022, 12(6), 741; https://doi.org/10.3390/biom12060741 - 24 May 2022
Cited by 1 | Viewed by 2801
Abstract
Cationic porphyrins exhibit an amazing variety of binding modes and inhibition mechanisms of 20S proteasome. Depending on the spatial distribution of their electrostatic charges, they can occupy different sites on α rings of 20S proteasome by exploiting the structural code responsible for the [...] Read more.
Cationic porphyrins exhibit an amazing variety of binding modes and inhibition mechanisms of 20S proteasome. Depending on the spatial distribution of their electrostatic charges, they can occupy different sites on α rings of 20S proteasome by exploiting the structural code responsible for the interaction with regulatory proteins. Indeed, they can act as competitive or allosteric inhibitors by binding at the substrate gate or at the grooves between the α subunits, respectively. Moreover, the substitution of a charged moiety in the peripheral arm with a hydrophobic moiety revealed a “new” 20S functional state with higher substrate affinity and catalytic efficiency. In the present study, we expand our structure–activity relationship (SAR) analysis in order to further explore the potential of this versatile class of 20S modulators. Therefore, we have extended the study to additional macrocyclic compounds, displaying different structural features, comparing their interaction behavior on the 20S proteasome with previously investigated compounds. In particular, in order to evaluate how the introduction of a peptidic chain can affect the affinity and the interacting mechanism of porphyrins, we investigate the MTPyApi, a porphyrin derivatized with an Arg–Pro-rich antimicrobial peptide. Moreover, to unveil the role played by the porphyrin core, this was replaced with a corrole scaffold, a “contracted” version of the tetrapyrrolic ring due to the lack of a methine bridge. The analysis has been undertaken by means of integrated kinetic, Nuclear Magnetic Resonance, and computational studies. Finally, in order to assess a potential pharmacological significance of this type of investigation, a preliminary attempt has been performed to evaluate the biological effect of these molecules on MCF7 breast cancer cells in dark conditions, envisaging that porphyrins may indeed represent a powerful tool for the modulation of cellular proteostasis. Full article
(This article belongs to the Special Issue Allosteric Regulation in Ubiquitin Proteasome System)
Show Figures

Graphical abstract

23 pages, 2441 KB  
Review
PA28γ: New Insights on an Ancient Proteasome Activator
by Paolo Cascio
Biomolecules 2021, 11(2), 228; https://doi.org/10.3390/biom11020228 - 5 Feb 2021
Cited by 46 | Viewed by 7082
Abstract
PA28 (also known as 11S, REG or PSME) is a family of proteasome regulators whose members are widely present in many of the eukaryotic supergroups. In jawed vertebrates they are represented by three paralogs, PA28α, PA28β, and PA28γ, which assemble as heptameric hetero [...] Read more.
PA28 (also known as 11S, REG or PSME) is a family of proteasome regulators whose members are widely present in many of the eukaryotic supergroups. In jawed vertebrates they are represented by three paralogs, PA28α, PA28β, and PA28γ, which assemble as heptameric hetero (PA28αβ) or homo (PA28γ) rings on one or both extremities of the 20S proteasome cylindrical structure. While they share high sequence and structural similarities, the three isoforms significantly differ in terms of their biochemical and biological properties. In fact, PA28α and PA28β seem to have appeared more recently and to have evolved very rapidly to perform new functions that are specifically aimed at optimizing the process of MHC class I antigen presentation. In line with this, PA28αβ favors release of peptide products by proteasomes and is particularly suited to support adaptive immune responses without, however, affecting hydrolysis rates of protein substrates. On the contrary, PA28γ seems to be a slow-evolving gene that is most similar to the common ancestor of the PA28 activators family, and very likely retains its original functions. Notably, PA28γ has a prevalent nuclear localization and is involved in the regulation of several essential cellular processes including cell growth and proliferation, apoptosis, chromatin structure and organization, and response to DNA damage. In striking contrast with the activity of PA28αβ, most of these diverse biological functions of PA28γ seem to depend on its ability to markedly enhance degradation rates of regulatory protein by 20S proteasome. The present review will focus on the molecular mechanisms and biochemical properties of PA28γ, which are likely to account for its various and complex biological functions and highlight the common features with the PA28αβ paralog. Full article
(This article belongs to the Special Issue Regulating Proteasome Activity)
Show Figures

Figure 1

15 pages, 2917 KB  
Review
Structural Insights into Substrate Recognition and Processing by the 20S Proteasome
by Indrajit Sahu and Michael H. Glickman
Biomolecules 2021, 11(2), 148; https://doi.org/10.3390/biom11020148 - 24 Jan 2021
Cited by 47 | Viewed by 8250
Abstract
Four decades of proteasome research have yielded extensive information on ubiquitin-dependent proteolysis. The archetype of proteasomes is a 20S barrel-shaped complex that does not rely on ubiquitin as a degradation signal but can degrade substrates with a considerable unstructured stretch. Since roughly half [...] Read more.
Four decades of proteasome research have yielded extensive information on ubiquitin-dependent proteolysis. The archetype of proteasomes is a 20S barrel-shaped complex that does not rely on ubiquitin as a degradation signal but can degrade substrates with a considerable unstructured stretch. Since roughly half of all proteasomes in most eukaryotic cells are free 20S complexes, ubiquitin-independent protein degradation may coexist with ubiquitin-dependent degradation by the highly regulated 26S proteasome. This article reviews recent advances in our understanding of the biochemical and structural features that underlie the proteolytic mechanism of 20S proteasomes. The two outer α-rings of 20S proteasomes provide a number of potential docking sites for loosely folded polypeptides. The binding of a substrate can induce asymmetric conformational changes, trigger gate opening, and initiate its own degradation through a protease-driven translocation mechanism. Consequently, the substrate translocates through two additional narrow apertures augmented by the β-catalytic active sites. The overall pulling force through the two annuli results in a protease-like unfolding of the substrate and subsequent proteolysis in the catalytic chamber. Although both proteasomes contain identical β-catalytic active sites, the differential translocation mechanisms yield distinct peptide products. Nonoverlapping substrate repertoires and product outcomes rationalize cohabitation of both proteasome complexes in cells. Full article
(This article belongs to the Special Issue Regulating Proteasome Activity)
Show Figures

Figure 1

32 pages, 7416 KB  
Article
The Proteasome Activators Blm10/PA200 Enhance the Proteasomal Degradation of N-Terminal Huntingtin
by Azzam Aladdin, Yanhua Yao, Ciyu Yang, Günther Kahlert, Marvi Ghani, Nikolett Király, Anita Boratkó, Karen Uray, Gunnar Dittmar and Krisztina Tar
Biomolecules 2020, 10(11), 1581; https://doi.org/10.3390/biom10111581 - 20 Nov 2020
Cited by 13 | Viewed by 5764
Abstract
The Blm10/PA200 family of proteasome activators modulates the peptidase activity of the core particle (20S CP). They participate in opening the 20S CP gate, thus facilitating the degradation of unstructured proteins such as tau and Dnm1 in a ubiquitin- and ATP-independent manner. Furthermore, [...] Read more.
The Blm10/PA200 family of proteasome activators modulates the peptidase activity of the core particle (20S CP). They participate in opening the 20S CP gate, thus facilitating the degradation of unstructured proteins such as tau and Dnm1 in a ubiquitin- and ATP-independent manner. Furthermore, PA200 also participates in the degradation of acetylated histones. In our study, we use a combination of yeast and human cell systems to investigate the role of Blm10/PA200 in the degradation of N-terminal Huntingtin fragments (N-Htt). We demonstrate that the human PA200 binds to N-Htt. The loss of Blm10 in yeast or PA200 in human cells results in increased mutant N-Htt aggregate formation and elevated cellular toxicity. Furthermore, Blm10 in vitro accelerates the proteasomal degradation of soluble N-Htt. Collectively, our data suggest N-Htt as a new substrate for Blm10/PA200-proteasomes and point to new approaches in Huntington’s disease (HD) research. Full article
(This article belongs to the Special Issue Regulating Proteasome Activity)
Show Figures

Figure 1

26 pages, 7995 KB  
Article
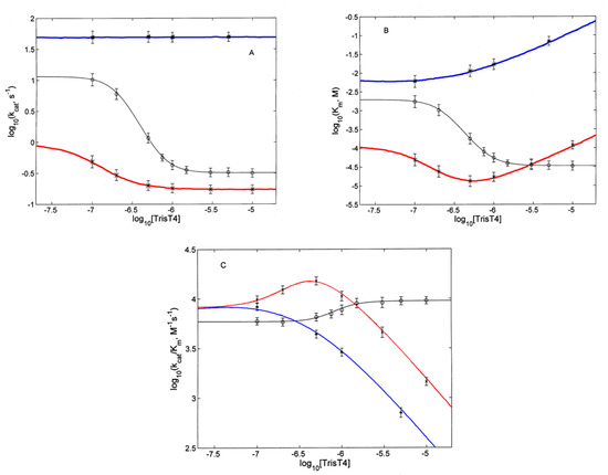
Cooperative Binding of the Cationic Porphyrin Tris-T4 Enhances Catalytic Activity of 20S Proteasome Unveiling a Complex Distribution of Functional States
by Anna Maria Santoro, Alessandro D’Urso, Alessandra Cunsolo, Danilo Milardi, Roberto Purrello, Diego Sbardella, Grazia R. Tundo, Donatella Diana, Roberto Fattorusso, Antonio Di Dato, Antonella Paladino, Marco Persico, Massimo Coletta and Caterina Fattorusso
Int. J. Mol. Sci. 2020, 21(19), 7190; https://doi.org/10.3390/ijms21197190 - 29 Sep 2020
Cited by 9 | Viewed by 3364
Abstract
The present study provides new evidence that cationic porphyrins may be considered as tunable platforms to interfere with the structural “key code” present on the 20S proteasome α-rings and, by consequence, with its catalytic activity. Here, we describe the functional and conformational effects [...] Read more.
The present study provides new evidence that cationic porphyrins may be considered as tunable platforms to interfere with the structural “key code” present on the 20S proteasome α-rings and, by consequence, with its catalytic activity. Here, we describe the functional and conformational effects on the 20S proteasome induced by the cooperative binding of the tri-cationic 5-(phenyl)-10,15,20-(tri N-methyl-4-pyridyl) porphyrin (Tris-T4). Our integrated kinetic, NMR, and in silico analysis allowed us to disclose a complex effect on the 20S catalytic activity depending on substrate/porphyrin concentration. The analysis of the kinetic data shows that Tris-T4 shifts the relative populations of the multiple interconverting 20S proteasome conformations leading to an increase in substrate hydrolysis by an allosteric pathway. Based on our Tris-T4/h20S interaction model, Tris-T4 is able to affect gating dynamics and substrate hydrolysis by binding to an array of negatively charged and hydrophobic residues present on the protein surface involved in the 20S molecular activation by the regulatory proteins (RPs). Accordingly, despite the fact that Tris-T4 also binds to the α3ΔN mutant, allosteric modulation is not observed since the molecular mechanism connecting gate dynamics with substrate hydrolysis is impaired. We envisage that the dynamic view of the 20S conformational equilibria, activated through cooperative Tris-T4 binding, may work as a simplified model for a better understanding of the intricate network of 20S conformational/functional states that may be mobilized by exogenous ligands, paving the way for the development of a new generation of proteasome allosteric modulators. Full article
(This article belongs to the Section Molecular Biophysics)
Show Figures

Figure 1

22 pages, 5809 KB  
Article
CUL4-DDB1-CRBN E3 Ubiquitin Ligase Regulates Proteostasis of ClC-2 Chloride Channels: Implication for Aldosteronism and Leukodystrophy
by Ssu-Ju Fu, Meng-Chun Hu, Yi-Jheng Peng, Hsin-Yu Fang, Cheng-Tsung Hsiao, Tsung-Yu Chen, Chung-Jiuan Jeng and Chih-Yung Tang
Cells 2020, 9(6), 1332; https://doi.org/10.3390/cells9061332 - 26 May 2020
Cited by 17 | Viewed by 5360
Abstract
Voltage-gated ClC-2 channels are essential for chloride homeostasis. Complete knockout of mouse ClC-2 leads to testicular degeneration and neuronal myelin vacuolation. Gain-of-function and loss-of-function mutations in the ClC-2-encoding human CLCN2 gene are linked to the genetic diseases aldosteronism and leukodystrophy, respectively. The protein [...] Read more.
Voltage-gated ClC-2 channels are essential for chloride homeostasis. Complete knockout of mouse ClC-2 leads to testicular degeneration and neuronal myelin vacuolation. Gain-of-function and loss-of-function mutations in the ClC-2-encoding human CLCN2 gene are linked to the genetic diseases aldosteronism and leukodystrophy, respectively. The protein homeostasis (proteostasis) mechanism of ClC-2 is currently unclear. Here, we aimed to identify the molecular mechanism of endoplasmic reticulum-associated degradation of ClC-2, and to explore the pathophysiological significance of disease-associated anomalous ClC-2 proteostasis. In both heterologous expression system and native neuronal and testicular cells, ClC-2 is subject to significant regulation by cullin-RING E3 ligase-mediated polyubiquitination and proteasomal degradation. The cullin 4 (CUL4)-damage-specific DNA binding protein 1 (DDB1)-cereblon (CRBN) E3 ubiquitin ligase co-exists in the same complex with and promotes the degradation of ClC-2 channels. The CRBN-targeting immunomodulatory drug lenalidomide and the cullin E3 ligase inhibitor MLN4924 promotes and attenuates, respectively, proteasomal degradation of ClC-2. Analyses of disease-related ClC-2 mutants reveal that aldosteronism and leukodystrophy are associated with opposite alterations in ClC-2 proteostasis. Modifying CUL4 E3 ligase activity with lenalidomide and MLN4924 ameliorates disease-associated ClC-2 proteostasis abnormality. Our results highlight the significant role and therapeutic potential of CUL4 E3 ubiquitin ligase in regulating ClC-2 proteostasis. Full article
(This article belongs to the Special Issue Proteostasis in Aging and Disease)
Show Figures

Figure 1

17 pages, 2786 KB  
Article
New Peptide-Based Pharmacophore Activates 20S Proteasome
by Paweł A. Osmulski, Przemysław Karpowicz, Elżbieta Jankowska, Jonathan Bohmann, Andrew M. Pickering and Maria Gaczyńska
Molecules 2020, 25(6), 1439; https://doi.org/10.3390/molecules25061439 - 22 Mar 2020
Cited by 21 | Viewed by 5345
Abstract
The proteasome is a pivotal element of controlled proteolysis, responsible for the catabolic arm of proteostasis. By inducing apoptosis, small molecule inhibitors of proteasome peptidolytic activities are successfully utilized in treatment of blood cancers. However, the clinical potential of proteasome activation remains relatively [...] Read more.
The proteasome is a pivotal element of controlled proteolysis, responsible for the catabolic arm of proteostasis. By inducing apoptosis, small molecule inhibitors of proteasome peptidolytic activities are successfully utilized in treatment of blood cancers. However, the clinical potential of proteasome activation remains relatively unexplored. In this work, we introduce short TAT peptides derived from HIV-1 Tat protein and modified with synthetic turn-stabilizing residues as proteasome agonists. Molecular docking and biochemical studies point to the α1/α2 pocket of the core proteasome α ring as the binding site of TAT peptides. We postulate that the TATs’ pharmacophore consists of an N-terminal basic pocket-docking “activation anchor” connected via a β turn inducer to a C-terminal “specificity clamp” that binds on the proteasome α surface. By allosteric effects—including destabilization of the proteasomal gate—the compounds substantially augment activity of the core proteasome in vitro. Significantly, this activation is preserved in the lysates of cultured cells treated with the compounds. We propose that the proteasome-stimulating TAT pharmacophore provides an attractive lead for future clinical use. Full article
(This article belongs to the Special Issue Proteasome Regulators: Activators and Inhibitors)
Show Figures

Graphical abstract

13 pages, 2849 KB  
Article
An Isoform of Nedd4-2 Plays a Pivotal Role in Electrophysiological Cardiac Abnormalities
by Shintaro Minegishi, Tomoaki Ishigami, Hisho Kawamura, Tabito Kino, Lin Chen, Rie Nakashima-Sasaki, Hiroshi Doi, Kengo Azushima, Hiromichi Wakui, Yumi Chiba and Kouichi Tamura
Int. J. Mol. Sci. 2017, 18(6), 1268; https://doi.org/10.3390/ijms18061268 - 14 Jun 2017
Cited by 12 | Viewed by 6010
Abstract
We have previously shown that neural precursor cell-expressed developmentally downregulated gene 4-2 (Nedd4-2) isoforms with a C2 domain are closely related to ubiquitination of epithelial sodium channel (ENaC), resulting in salt-sensitive hypertension by Nedd4-2 C2 targeting in mice. The sodium voltage-gated channel alpha [...] Read more.
We have previously shown that neural precursor cell-expressed developmentally downregulated gene 4-2 (Nedd4-2) isoforms with a C2 domain are closely related to ubiquitination of epithelial sodium channel (ENaC), resulting in salt-sensitive hypertension by Nedd4-2 C2 targeting in mice. The sodium voltage-gated channel alpha subunit 5 (SCN5A) gene encodes the α subunit of the human cardiac voltage-gated sodium channel (I Na), and the potassium voltage-gated channel subfamily H member 2 (KCNH2) gene encodes rapidly activating delayed rectifier K channels (I Kr). Both ion channels have also been shown to bind to Nedd4-2 via a conserved Proline-Tyrosine (PY) motif in C-terminal with subsequent ubiquitination and degradation by proteasome. Therefore, loss of Nedd4-2 C2 isoform might be involved in electrophysiological impairment under various conditions. We demonstrate here that Nedd4-2 C2 isoform causes cardiac conduction change in resting condition as well as proarrhythmic change after acute myocardial infarction (MI). The Nedd4-2 C2 knockout (KO) mice showed bradycardia, prolonged QRS, QT intervals, and suppressed PR interval in resting condition. In addition, enhancement of T peak/T end interval was found in mice with surgical ligation of the distal left coronary artery. Morphological analyses based on both ultrasonography of the living heart, as well as histopathological findings revealed that Nedd4-2 C2 KO mice show no significant structural changes from wild-type littermates under resting conditions. These results suggested that Nedd4-2 with C2 domain might play an important role in cardio-renal syndrome through post-transcriptional modification of both ENaC and cardiac ion channels, which are critical for kidney and heart functions. Full article
Show Figures

Figure 1

15 pages, 335 KB  
Review
Modelling Proteasome and Proteasome Regulator Activities
by Juliane Liepe, Herman-Georg Holzhütter, Peter M. Kloetzel, Michael P. H. Stumpf and Michele Mishto
Biomolecules 2014, 4(2), 585-599; https://doi.org/10.3390/biom4020585 - 20 Jun 2014
Cited by 9 | Viewed by 8517
Abstract
Proteasomes are key proteases involved in a variety of processes ranging from the clearance of damaged proteins to the presentation of antigens to CD8+ T-lymphocytes. Which cleavage sites are used within the target proteins and how fast these proteins are degraded have [...] Read more.
Proteasomes are key proteases involved in a variety of processes ranging from the clearance of damaged proteins to the presentation of antigens to CD8+ T-lymphocytes. Which cleavage sites are used within the target proteins and how fast these proteins are degraded have a profound impact on immune system function and many cellular metabolic processes. The regulation of proteasome activity involves different mechanisms, such as the substitution of the catalytic subunits, the binding of regulatory complexes to proteasome gates and the proteasome conformational modifications triggered by the target protein itself. Mathematical models are invaluable in the analysis; and potentially allow us to predict the complex interactions of proteasome regulatory mechanisms and the final outcomes of the protein degradation rate and MHC class I epitope generation. The pioneering attempts that have been made to mathematically model proteasome activity, cleavage preference variation and their modification by one of the regulatory mechanisms are reviewed here. Full article
(This article belongs to the Special Issue Proteasomes and Its Regulators)
Show Figures

Figure 1

Back to TopTop