Sign in to use this feature.

Years

Between: -

Subjects

remove_circle_outline
remove_circle_outline
remove_circle_outline
remove_circle_outline
remove_circle_outline
remove_circle_outline
remove_circle_outline

Journals

Article Types

Countries / Regions

Search Results (93)

Search Parameters:
Keywords = previous preterm birth

Order results
Result details
Results per page
Select all
Export citation of selected articles as:
15 pages, 634 KB  
Article
Efficacy of Combined Cervical Pessary and Progesterone in Women at High-Risk of Preterm Birth
by Marcelo Santucci França, Gabriela Ubeda Santucci França, Alan Roberto Hatanaka, Evelyn Traina, Tatiana Emy Kawanami Hamamoto, Danilo Brito Silva, Edward Araujo Júnior, Rosiane Mattar, Antonio Braga and Rodolfo de Carvalho Pacagnella
Diagnostics 2026, 16(3), 402; https://doi.org/10.3390/diagnostics16030402 - 27 Jan 2026
Abstract
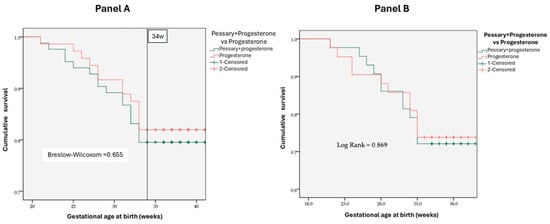
Objective: This study assessed the efficacy of the cervical pessary combined with progesterone to prevent preterm birth in pregnant women with short cervix and previous preterm birth. Methods: This post hoc analysis of the randomized, multicenter P5 trial examined the efficacy of the [...] Read more.
Objective: This study assessed the efficacy of the cervical pessary combined with progesterone to prevent preterm birth in pregnant women with short cervix and previous preterm birth. Methods: This post hoc analysis of the randomized, multicenter P5 trial examined the efficacy of the cervical pessary associated with vaginal progesterone versus progesterone alone for preventing recurrent preterm birth in 155 pregnant women with cervical length ≤30 mm and prior spontaneous preterm birth (sPPTB) (main subgroup), and in 85 women with cervical length ≤25 mm and sPPTB (higher-risk population). The primary outcome was spontaneous preterm birth (sPTB) before 34 weeks; secondary outcomes included sPTB rates before 37, 32, and 28 weeks, analyzed using Odds Ratio (OR) and Kaplan–Meier curves. A secondary objective was to identify predictive factors for sPTB recurrence in the cohort with prior preterm birth (n = 479), irrespective of treatment allocation. Results: Demographic profiles were balanced between groups. The addition of a cervical pessary to progesterone did not result in a significant reduction in sPTB before 34 weeks: to cervix ≤30 mm, OR 1.169 (95% CI 0.524–2.609; p = 0.703) and 1.167 (95% CI 0.466–2.921; p = 0.742) for ≤25 mm; similar null findings were observed across all gestational age thresholds. Kaplan–Meier survival curves demonstrated no significant differences between groups (p > 0.05). Secondary analysis (n = 479) identified principal predictors of sPTB recurrence, regardless of the cervical length: higher education (OR 2.37; 95% CI 0.99–5.63; p = 0.024), previous cervical conization (OR 4.78; 95% CI 1.08–21.19; p = 0.039) previous low birth weight < 2.5 kg (OR 2.43; 95% CI 1.22–4.85; p = 0.051), prior miscarriages (OR 1.36; 95% CI 1.10–1.69; p = 0.005), current twin pregnancy (OR 14.86; 95% CI 4.35–50.68; p < 0.001) and cervical funneling (OR 3.60; 95% CI 1.79–7.24; p < 0.001). Predictive models achieved an AUC of 0.719, with 87.0% sensitivity and 58.8% specificity. Conclusions: These findings do not support the routine use of cervical pessary combined with progesterone in women with dual risk factors. In this Brazilian population, specific clinical and obstetric characteristics—including higher education, cervical funneling, prior low birth weight delivery, previous conization, current twin gestation, and prior miscarriage—could identify women at increased risk for recurrent preterm birth. Full article
(This article belongs to the Special Issue Maternal-Fetal Medicine: Diagnosis, Prognosis and Clinical Features)
Show Figures

Figure 1

17 pages, 1061 KB  
Article
When Every Minute Counts: Predicting Pre-Hospital Deliveries and Neonatal Risk in Emergency Medical Services Using Data-Driven Models
by Joanna Wach, Łukasz Lewandowski, Jakub Staniczek and Michał Czapla
J. Clin. Med. 2026, 15(3), 941; https://doi.org/10.3390/jcm15030941 - 23 Jan 2026
Viewed by 91
Abstract
Background/Objectives: Pre-hospital delivery is an unpredictable event posing significant challenges for Emergency Medical Services (EMS) teams. Despite advances in perinatal care, emergency deliveries outside the hospital environment remain associated with increased maternal and neonatal risks. This study aimed to identify predictors of [...] Read more.
Background/Objectives: Pre-hospital delivery is an unpredictable event posing significant challenges for Emergency Medical Services (EMS) teams. Despite advances in perinatal care, emergency deliveries outside the hospital environment remain associated with increased maternal and neonatal risks. This study aimed to identify predictors of out-of-hospital delivery in EMS-attended labor cases and determinants of neonatal condition immediately after delivery. Methods: We conducted a retrospective analysis of 5097 EMS records of laboring women in Poland from August 2021 to January 2022, of which 2927 were included in the final study sample. Multivariate logistic regression models with multiple imputation for missing data were used to identify predictors of pre-hospital delivery and adverse neonatal condition (Apgar ≤ 7) in EMS-managed childbirths. Results: Pre-hospital delivery was strongly associated with second-stage labor (OR ≈ 535; p < 0.0001), ruptured membranes (OR ≈ 8.7; p < 0.0001), and fewer previous pregnancies (OR = 0.86; p = 0.018), and showed a trend with higher maternal heart rate (OR = 1.015; p = 0.083). Neonatal status classified as Apgar ≤ 7 was significantly associated with preterm birth (p < 0.0001), absence of fetal movements (OR ≈ 26.4; p = 0.025), and complications during pregnancy (p = 0.036). Complications during labor and lack of prenatal care were not significantly associated with increased risk of pre-hospital delivery in the model. Conclusions: Rupture of membranes, second-stage labor, and fewer previous pregnancies are significant predictors of pre-hospital delivery in EMS-managed cases. Absence of fetal movements and preterm gestation predict worse neonatal outcomes (Apgar ≤ 7). Early identification of these factors may enhance prehospital perinatal care and improve maternal and neonatal prognosis. Full article
(This article belongs to the Section Emergency Medicine)
Show Figures

Figure 1

7 pages, 297 KB  
Case Report
Managing High Risk Pregnancy in Single Ventricle Physiology with Acquired von Willebrand Disease: A Case Report
by Yash Nagpal, Nisha Chachad, Paola Andrea Benito, Todd Stuart Roth and Joshua Saef
Reports 2025, 8(3), 157; https://doi.org/10.3390/reports8030157 - 26 Aug 2025
Viewed by 1119
Abstract
Background and Clinical Significance: Left ventricular hypoplasia is often repaired surgically in sequence to a Fontan circulation, which is a physiologic state that presents unique challenges during pregnancy. Although women with Fontan physiology can achieve successful pregnancy outcomes, they remain at elevated risk [...] Read more.
Background and Clinical Significance: Left ventricular hypoplasia is often repaired surgically in sequence to a Fontan circulation, which is a physiologic state that presents unique challenges during pregnancy. Although women with Fontan physiology can achieve successful pregnancy outcomes, they remain at elevated risk for cardiac, thrombotic, and obstetric complications. Case Presentation: We describe a 38-year-old woman with Fontan physiology and acquired von Willebrand syndrome (AVWS) who was admitted at 23 weeks gestation for preterm premature rupture of membranes. The patient had history of prior classical cesarean delivery and two previous miscarriages. Her pregnancy was further complicated by abnormal placental vasculature and uterine arteriovenous malformation. Given her bleeding diathesis, hematology advised against anticoagulation or antiplatelet therapy, and she ultimately underwent a successful low transverse cesarean delivery under general anesthesia at 24 weeks. Postpartum hemorrhage was managed with clotting factor replacement and supportive care. Conclusions: This case illustrates how AVWS may mitigate thrombotic risk in Fontan physiology and how early activation of a cardio-obstetrics team can enable tailored planning. As more patients with complex congenital heart disease reach reproductive age, multidisciplinary coordination, shared infrastructure, and individualized birth plans will be essential to achieving optimal maternal–fetal outcomes. Full article
Show Figures

Figure 1

18 pages, 293 KB  
Article
Cultural Adaptation of the Mothers and Babies Online Course for Black Mothers with Preterm Infants: A Delphi Study
by Kobi V. Ajayi, Robin Page, Kelly Wilson, Carly McCord and Whitney Garney
Int. J. Environ. Res. Public Health 2025, 22(8), 1304; https://doi.org/10.3390/ijerph22081304 - 20 Aug 2025
Viewed by 1445
Abstract
With persistent racial inequities, cultural adaptations of health programs can promote equitable maternal mental health. Despite the intersecting identities of Black mothers with preterm birth combined with racial discrimination, previous mental health programs in the neonatal intensive care unit (NICU) are void of [...] Read more.
With persistent racial inequities, cultural adaptations of health programs can promote equitable maternal mental health. Despite the intersecting identities of Black mothers with preterm birth combined with racial discrimination, previous mental health programs in the neonatal intensive care unit (NICU) are void of the sociocultural context that perpetuates racially motivated care. This study uses a two-round Delphi process to gather knowledge on the cultural appropriateness and content validity of the adapted Mothers and Babies Online Course, a United States Prevention Service Task Force-recommended intervention for managing mental health symptoms in pregnant and new mothers for Black mothers with preterm birth. The Black feminist theory and cultural adaptation strategies were used to conceptualize the adaptation process. Opinions were solicited from Black mothers and professionals based on predetermined criteria. Eleven participants, comprising eight mothers and three professionals, participated in Round One. Of these, only one professional did not participate in Round Two, totaling 10 participants who participated in Round Two. The participants rated the adapted program—eMB 4 Blackmamas, positively, and four themes emerged, substantiating the importance of culturally responsive mental health. The themes also offered additional feedback related to improving the program delivery. Including diverse stakeholders in mental health research offers unique and balanced insights into designing culturally appropriate programs to promote and protect Black maternal mental health in the NICU. Full article
10 pages, 465 KB  
Article
The Fourth Survey on the Activity of Human Milk Banks in Italy
by Giuseppe De Nisi, Guido E. Moro, Sertac Arslanoglu, Amalia M. Ambruzzi, Enrico Bertino, Augusto Biasini, Claudio Profeti, Guglielmo Salvatori, Paola Tonetto, Pasqua Anna Quitadamo, Nicoletta Danese and the members of AIBLUD (Italian Association of Donor Human Milk Banks)
Nutrients 2025, 17(16), 2663; https://doi.org/10.3390/nu17162663 - 18 Aug 2025
Cited by 1 | Viewed by 991
Abstract
Background: Scientific literature confirms the benefits of mother’s own milk (MOM) for both term and preterm infants. The feeding of pathological newborns, in particular the very low birth weight infants (VLBWIs), is dependent on human milk. When MOM is not available, pasteurized donor [...] Read more.
Background: Scientific literature confirms the benefits of mother’s own milk (MOM) for both term and preterm infants. The feeding of pathological newborns, in particular the very low birth weight infants (VLBWIs), is dependent on human milk. When MOM is not available, pasteurized donor human milk obtained from a recognized Human Milk Bank (HMB) is the best alternative. Research aims: This survey aims to evaluate the activity of human milk banks (HMBs) in Italy in the years 2023–2024. Methods: Following the previous three surveys performed in 2012, 2016, and 2022, a fourth survey related to 2023 and 2024 was planned in the year 2025. A questionnaire was sent to the 44 HMBs officially operating in Italy, with questions regarding their management and activity, in order to collect national-level data. Results: All 44 Italian HMBs (100%) responded to this survey. The collected data confirm the results of the previous surveys, confirming an optimal adherence to the Italian Ministerial Guidelines. Almost all the HMBs (96%) apply the principles of self-control and the HACCP system, while the home milk collection service still requires improvement. Only 68% of HMBs organize collection and transport of the donated milk from the donor’s home to the bank. In addition, this survey shows the spreading of computerization in the management of the activities of HMBs: 36.4% make use of specific software that could lead to a greater availability of donor human milk for the neonatal centers in the future. The number of donors and the amount of donated milk increased consistently compared to the previous years. Conclusions: In general, this survey shows an improvement in the results obtained in the three previous surveys, with a positive dissemination of the culture of human milk donation in Italy. The impressive response rate to the survey demonstrates the importance of a regular check-up of the activity of HMBs. Full article
Show Figures

Graphical abstract

10 pages, 235 KB  
Article
Efficacy and Safety of Anti-Respiratory Syncytial Virus Monoclonal Antibody Nirsevimab in Neonates: A Real-World Monocentric Study
by Maria Costantino, Mariagrazia Bathilde Marongiu, Maria Grazia Corbo, Anna Maria Della Corte, Anna Rita Frascogna, Angela Plantulli, Federica Campana, Luigi Fortino, Emanuela Santoro, Emilia Anna Vozzella, Walter Longanella, Giovanni Boccia, Amelia Filippelli and Francesco De Caro
Vaccines 2025, 13(8), 838; https://doi.org/10.3390/vaccines13080838 - 6 Aug 2025
Viewed by 3531
Abstract
Background: RSV remains a leading cause of infant hospitalization worldwide, and the recently approved nirsevimab could represent an effective and safe prophylactic strategy to prevent severe infections in the general neonatal population. Objectives: We conducted a retrospective observational monocentric pilot study in a [...] Read more.
Background: RSV remains a leading cause of infant hospitalization worldwide, and the recently approved nirsevimab could represent an effective and safe prophylactic strategy to prevent severe infections in the general neonatal population. Objectives: We conducted a retrospective observational monocentric pilot study in a mixed preterm/term birth cohort to add real-world evidence of the efficacy and safety of nirsevimab in preventing severe RSV infection. Methods: We included a total of 2035 consecutive infants admitted to the Neonatal Unit, University Hospital “San Giovanni di Dio e Ruggi d’Aragona”, Salerno, Italy, from November 2024 to April 2025. We evaluated 30-day safety profiles and season-wide RSV infection rates, and the outcomes were also compared to newborns’ birth rate in the two previous seasons (2022–2023 and 2023–2024). Results: After the introduction of nirsevimab, a lower RSV infection rate was reported compared to previous seasons, and no adverse effects were observed. Compared to previous seasons, the clinical outcomes were more favorable, as only one unvaccinated neonate with RSV infection required invasive ventilation. Conclusions: In this real-world analysis, we demonstrated a good short-term safety profile of nirsevimab, as well as a potentially high efficacy in the general neonatal population with lower RSV infection incidence. However, future studies are needed to better assess its long-term safety and season-wide efficacy. Full article
(This article belongs to the Collection Research on Monoclonal Antibodies and Antibody Engineering)
13 pages, 1412 KB  
Article
Complement Modulation Mitigates Inflammation-Mediated Preterm Birth and Fetal Neural Inflammation
by Eliza R. McElwee, Devin Hatchell, Mohammed Alshareef, Khalil Mallah, Harriet Hall, Hannah Robinson, Ramin Eskandari, Eugene Chang, Scott Sullivan and Stephen Tomlinson
Cells 2025, 14(14), 1045; https://doi.org/10.3390/cells14141045 - 8 Jul 2025
Cited by 1 | Viewed by 1229
Abstract
Preterm birth and the neonatal pathological sequelae that follow spontaneous preterm labor are closely associated with maternal and fetal inflammatory activation. Previous studies have indicated a role for the complement system in this inflammatory response. Utilizing an LPS inflammation-induced model of preterm birth, [...] Read more.
Preterm birth and the neonatal pathological sequelae that follow spontaneous preterm labor are closely associated with maternal and fetal inflammatory activation. Previous studies have indicated a role for the complement system in this inflammatory response. Utilizing an LPS inflammation-induced model of preterm birth, we investigated various delivery outcomes and their correlation with complement activation products within cervical, uterine, and fetal brain tissue after administration of LPS. We provide further evidence that complement-mediated inflammation within cervical and uterine tissue contributes to aberrant cellular changes and an increase in preterm delivery. We additionally show that a targeted complement inhibitor that specifically targets to sites of complement activation (CR2-Crry) mitigates the effects of LPS-induced pathology and preterm birth. Complement inhibition increased latency to delivery, mean gestational age at delivery, and average number of viable pups. Furthermore, the improved delivery outcomes seen with CR2-Crry treatment correlated with a reduced inflammatory response in maternal tissue and in fetal brain tissue in terms of reduced complement activation, reduced pro-inflammatory cytokines, and reduced macrophage recruitment. These data indicate that complement inhibition represents a potential therapeutic strategy for preventing preterm birth. The localization of complement inhibition by a site-targeting approach reduces the possibility of unwanted off-target effects. Full article
(This article belongs to the Section Reproductive Cells and Development)
Show Figures

Figure 1

19 pages, 2450 KB  
Article
ω9 Monounsaturated and Saturated Colostrum Fatty Acids May Benefit Newborns in General and Subtle Hypothyroid Stages
by Meric A. Altinoz, Muhittin A. Serdar, Selim M. Altinoz, Mustafa Eroglu, Murat Muhcu, Pinar Kumru and Aysel Ozpinar
Nutrients 2025, 17(12), 2017; https://doi.org/10.3390/nu17122017 - 17 Jun 2025
Cited by 2 | Viewed by 1170
Abstract
Objectives: This study analyzed correlations of colostrum fatty acids (FAs), newborns’ and mothers’ thyroid hormones (THs), and birth weight, all crucially important in neonatal health. Methods: LC-MS/MS was used to measure 22 FAs in the colostrum of 78 healthy mothers who delivered term [...] Read more.
Objectives: This study analyzed correlations of colostrum fatty acids (FAs), newborns’ and mothers’ thyroid hormones (THs), and birth weight, all crucially important in neonatal health. Methods: LC-MS/MS was used to measure 22 FAs in the colostrum of 78 healthy mothers who delivered term babies. FT3, FT4, and TSH levels were determined in the mothers’ serum, and newborns’ TSH was measured in heel-pricked specimens. Correlations were defined in the whole cohort and the subsets, which were separated according to ranges of birth weight, thyroid hormones, and mothers’ body mass index. Phyton Software was used for statistics. Results: The colostrum’s total FA content was highly variable and correlated positively with the percentage values of arachidic, gondoic, and nervonic acids. Five FAs all positively correlated with birth weight for the entire cohort—including ω9 gondoic, erucic, and nervonic acids as well as saturated behenic and lignoceric acids—all produced with the same elongases. These correlations were relevant to gondoic, nervonic, behenic, and lignoceric acids when mothers with low FT4 levels were evaluated separately and to erucic acid in the subset comprising mothers with high TSH values. Conclusions: The priming of breast epithelia to adjust the colostrum quality starts prenatally, whose regulatory mechanisms partially overlap with fetal fat accretion. Thus, colostrum content may undergo modifications to compensate for the harm of subtle TH deficiencies on neonates’ thermoregulation and development. Considering the previous findings showing that milk ω9 FAs are highest in colostrum, and even higher when mothers deliver preterm, our current results indicate their possible protective functions. Full article
(This article belongs to the Section Lipids)
Show Figures

Graphical abstract

13 pages, 2875 KB  
Article
Use of Prophylactic Methylxanthines to Prevent Extubation Failure in Preterm Neonates with a Birth Weight of 1250–2499 g: A Propensity Score-Matched Analysis
by Pachima Suwankomonkul, Anucha Thatrimontrichai, Pattima Pakhathirathien, Manapat Praditaukrit, Gunlawadee Maneenil, Supaporn Dissaneevate, Chamaiporn Trangkhanon and Neeracha Phon-in
J. Clin. Med. 2025, 14(11), 3856; https://doi.org/10.3390/jcm14113856 - 30 May 2025
Cited by 1 | Viewed by 1833
Abstract
Background/Objectives: Preterm neonates with a birth weight (BW) of 500–1250 g who receive prophylactic methylxanthine have a lower rate of bronchopulmonary dysplasia and neurodevelopmental disability than their counterparts. In a meta-analysis of previous studies (published during 1985–1993, with no routine continuous positive airway [...] Read more.
Background/Objectives: Preterm neonates with a birth weight (BW) of 500–1250 g who receive prophylactic methylxanthine have a lower rate of bronchopulmonary dysplasia and neurodevelopmental disability than their counterparts. In a meta-analysis of previous studies (published during 1985–1993, with no routine continuous positive airway pressure), extubation failure rates in preterm neonates with BW < 2500 g who received and did not receive methylxanthine were 25.0% and 50.6%, respectively (risk difference, −0.27; 95% confidence interval [CI], −0.39 to −0.15). However, no study to date has assessed the effects of prophylactic methylxanthine use on endotracheal extubation in infants weighing 1250–2499 g until now. Methods: First-time extubation was compared between 1:1 propensity score-matched methylxanthine and non-methylxanthine groups from a retrospective cohort of 541 neonates (born during 2014–2024). Results: The domains from the overall cohort and propensity-matched data included 541 and 192 neonates, respectively. In the propensity score-matched sample, the mean gestational age and BW were 30.9 ± 1.9 weeks and 1584 ± 273 g, respectively. The median 5-min Apgar score was 9 (range of 7–9). Extubation failure within 7 days occurred in 10 (10.4%) and 13 (13.5%) neonates in the methylxanthine (n = 96) and non-methylxanthine (n = 96) groups, respectively, with a risk difference (95% CI) of −0.03 (−0.12 to 0.06), p = 0.50, and hazard ratio (95% CI) of 0.76 (0.33 to 1.72), p = 0.51. Conclusions: In the current era with new non-invasive ventilation approaches, extubation failure in preterm neonates with a BW of 1250–2499 g is not significantly affected by the use of methylxanthine. Full article
(This article belongs to the Special Issue Novel Insights into Neonatal Intensive Care)
Show Figures

Graphical abstract

14 pages, 696 KB  
Review
Neonatal Kidney Function, Injury and Drug Dosing: A Contemporary Review
by Eveline Staub, Srinivas Bolisetty, Karel Allegaert and Anke Raaijmakers
Children 2025, 12(3), 339; https://doi.org/10.3390/children12030339 - 7 Mar 2025
Cited by 2 | Viewed by 6648
Abstract
In neonates, estimation of the glomerular filtration rate is problematic, and assessment of renal impairment is challenging. Serum creatinine is a widely used marker, and urine output is an important vital parameter monitored in intensive care settings, particularly in unwell neonates. However, the [...] Read more.
In neonates, estimation of the glomerular filtration rate is problematic, and assessment of renal impairment is challenging. Serum creatinine is a widely used marker, and urine output is an important vital parameter monitored in intensive care settings, particularly in unwell neonates. However, the rapid changes after birth with adaptation to the extrauterine environment is a unique situation in which absolute serum creatinine is not a reliable indicator of renal function. A rise in serum creatinine from the previous value during the neonatal period can be a result of worsening renal function in neonates but is dependent on many other factors. In addition, urine output can be difficult to measure in sick neonates during their intensive care stay. Despite a high prevalence of acute kidney injury (AKI) in preterm and/or unwell infants, the current definitions are not straightforward and do not take postnatal adaptation processes into account. The management of AKI is challenging in very young and small patients because the assessment of fluid status as well as balancing nutritional needs with fluid restriction can be problematic. The Australian Neonatal Medicines Formulary provides advice on drug dosing in the face of reduced renal function in neonates. Predictors (or long-term outcome, or recovery) after AKI diagnosis are still poorly described. Therefore, the diagnosis of neonatal AKI needs to be documented and transferred to the paediatrician responsible for the follow-up of the child. This educational review aims to give a perspective on neonatal kidney function and AKI, the relation of fluid balance and creatinine, the management of neonatal AKI and the consequences for drug dosing and long-term outcomes. Full article
(This article belongs to the Special Issue Renal and Cardiovascular Consequences of Prematurity)
Show Figures

Figure 1

11 pages, 770 KB  
Article
Trends in Preterm Births in Italy and Maternal Risk Factors in 2018–2022—A Registry-Based Study
by Franca Rusconi, Martina Pacifici, Anna Maria Nannavecchia, Sonia Brescianini, Teresa Spadea, Pietro Buono, Michele Gobbato, Olivia Leoni, Eva Papa, Enrica Perrone, Riccardo Pertile, Arianna Polo, Monia Puglia, Raffaella Rusciani, Elisa Eleonora Tavormina, Laura Visonà Dalla Pozza and Luigi Gagliardi
Children 2025, 12(3), 257; https://doi.org/10.3390/children12030257 - 20 Feb 2025
Cited by 2 | Viewed by 1543
Abstract
Background: Nationwide studies described a reduction in preterm birth (PTB) during the Coronavirus disease 19 (COVID-19) pandemic, but this was not confirmed in others. Very few data are available on the trend of PTBs over a longer period, including the post-pandemic period, and [...] Read more.
Background: Nationwide studies described a reduction in preterm birth (PTB) during the Coronavirus disease 19 (COVID-19) pandemic, but this was not confirmed in others. Very few data are available on the trend of PTBs over a longer period, including the post-pandemic period, and on potential risk factors, especially those associated with social disparities. Objective: To investigate the trend in PTB rates and the influence of maternal risk factors in Italy from January 2018 to December 2022, based on 12 Regional Birth Registries covering 86.1% of Italian births. Methods: PTB trend was investigated by an interrupted time series analysis. We assessed the associations of potential risk factors with PTB (Poisson regressions) and calculated their population impact fractions (PIFs). Results: We studied 1,762,422 births; 7.25% were PTB. Before the pandemic, we observed a monthly decrease in PTB rate [−0.2% (95% CI: −0.3; −0.1)]; from July 2020 onwards, the average monthly level of PTBs was 5% lower than before (95% CI: −7.3; −2.7), with a flat trend until December 2022 [−0.02% (95% CI: −0.5; 0.5)]. Socio-economic maternal risk factors (low education, unemployment) and foreign nationality, whose risk ratios were 1.14 (95% CI: 1.04; 1.24), 1.08 (1.05; 1.12), and 1.17 (1.14; 1.21), respectively, showed a decreasing trend after pandemic; their impact on the decrease in PTBs was modest (PIFs between −2.4‰ and −4.2‰). Conclusions: The COVID-19 pandemic changed the pattern of PTB rates in Italy, lowering their average frequency and interrupting a previous decreasing trend. Changes in the trend of socio-economic maternal risk factors marginally explained this pattern. Full article
(This article belongs to the Section Pediatric Neonatology)
Show Figures

Figure 1

14 pages, 272 KB  
Article
Association of Neonatal Morbidities and Postnatal Growth Faltering in Preterm Neonates
by Justyna Rogulska, Tanis R. Fenton, Tomasz Szczapa and Katarzyna Wróblewska-Seniuk
Healthcare 2025, 13(3), 235; https://doi.org/10.3390/healthcare13030235 - 24 Jan 2025
Cited by 2 | Viewed by 2534
Abstract
Background/Objectives: Postnatal growth faltering (PGF) is a risk factor for adverse neurodevelopment in very preterm neonates. The aim of this retrospective study was to determine which infants’ baseline characteristics, prenatal risk factors and neonatal morbidities are associated with two definitions of PGF: defined [...] Read more.
Background/Objectives: Postnatal growth faltering (PGF) is a risk factor for adverse neurodevelopment in very preterm neonates. The aim of this retrospective study was to determine which infants’ baseline characteristics, prenatal risk factors and neonatal morbidities are associated with two definitions of PGF: defined as loss of >2 weight z-scores (severe PGF) or as loss of >1 weight, length, and head circumference z-scores between birth and discharge (complex PGF); Methods: 146 premature newborns (<32 weeks of gestational age, <1500 g) were included in the study. Anonymized data including anthropometric measurements (weight, length, and head circumference), perinatal and neonatal data (demographics, maternal morbidities and previous pregnancies, and neonatal and perinatal morbidities) were extracted from the clinical electronic database. Changes in anthropometric age- and sex-specific z-scores using the Fenton 2013 preterm growth charts were calculated to diagnose severe PGF and complex PGF; Results: The incidence of severe PGF was 11% and complex PGF was 24%. Both PGF definitions were associated with bronchopulmonary dysplasia (BPD), severe retinopathy of prematurity (ROP), longer respiratory support, and longer hospital stay. Severe PGF was associated with surgical necrotizing enterocolitis at 25% vs. 1.5%, p = 0.001. Complex PGF was associated with severe brain injury at 51% versus 27%, p = 0.007. Complex PGF was more common in newborns born most prematurely, while severe PGF was more common in newborns born small for gestational age (SGA); Conclusions: Both severe and complex PGF are associated with several important neonatal morbidities, which might explain why growth faltering is associated with suboptimal neurodevelopment. Appropriate early identification of faltered growth may influence medical and nutrition interventions which in turn could improve the outcome of very preterm newborns. Full article
(This article belongs to the Section Perinatal and Neonatal Medicine)
9 pages, 243 KB  
Article
Placenta Praevia with Abnormal Adhesion—A Retrospective Study
by Lucian Șerbănescu, Dragoș Brezeanu, Cătălin Nicolae Grasa, Sebastian Mirea, Paris Ionescu, Vadym Rotar, Traian-Virgiliu Surdu and Andreea Cristina Costea
Clin. Pract. 2025, 15(2), 23; https://doi.org/10.3390/clinpract15020023 - 23 Jan 2025
Viewed by 2390
Abstract
Background: Placenta accreta spectrum (PAS) refers to abnormal placental attachment, categorized into placenta accreta, increta, and percreta, with varying severity. The incidence of PAS has risen alongside the increasing rate of caesarean sections. PAS is a significant cause of maternal complications, including bleeding, [...] Read more.
Background: Placenta accreta spectrum (PAS) refers to abnormal placental attachment, categorized into placenta accreta, increta, and percreta, with varying severity. The incidence of PAS has risen alongside the increasing rate of caesarean sections. PAS is a significant cause of maternal complications, including bleeding, hysterectomies of necessity and intestinal or urinary surgical complications, and of foetal complications, preterm birth or foetal anaemia. Early diagnosis is crucial for its management and for improving its outcomes. Materials and Methods: This retrospective study, conducted at the County Emergency Clinical Hospital “Saint Andrew the Apostle”, Constanța, analysed cases of placenta praevia and PAS from 2018 to 2022. Data were collected from observation sheets and operative protocols, involving 13,841 patients. Placenta praevia and PAS were diagnosed using ultrasound and MRI and confirmed by histopathology. Results: Among the 13,841 deliveries, 25 cases of placenta praevia (0.82% incidence) and 17 cases of PAS (0.57% incidence) were identified. Ultrasound demonstrated 88% sensitivity, and MRI 94% sensitivity for PAS detection. Of the 17 PAS cases, 11 were diagnosed as placenta accreta, 3 were diagnosed as placenta increta, and 3 as placenta percreta, with all percreta cases involving bladder invasion. Hysterectomy was the standard surgical treatment. Discussion: The risk factors for PAS included previous caesarean sections (94.1% of PAS cases), smoking, and uterine fibroids. The study confirmed the importance of early imaging and the involvement of a multidisciplinary team in managing PAS, particularly in complex cases with bladder involvement. Caesarean section followed by hysterectomy was the preferred surgical approach. Conclusions: Smoking, uterine scars, and uterine fibroids are significant risk factors for placenta praevia with pathological adhesion. Ultrasound and MRI are highly accurate in diagnosing PAS, with histopathology providing definitive confirmation. Multidisciplinary care is essential in managing complex cases, ensuring optimal maternal and foetal outcomes. The surgical treatment involves caesarean section and hysterectomy, with additional interventions for bladder invasion in percreta cases. Full article
10 pages, 453 KB  
Review
The Impact of Amniotic Fluid Interleukin-6, Interleukin-8, and Metalloproteinase-9 on Preterm Labor: A Narrative Review
by Theodoros Karampitsakos, Despoina Mavrogianni, Nikolaos Machairiotis, Anastasios Potiris, Periklis Panagopoulos, Sofoklis Stavros, Panos Antsaklis and Peter Drakakis
Biomedicines 2025, 13(1), 118; https://doi.org/10.3390/biomedicines13010118 - 7 Jan 2025
Cited by 6 | Viewed by 3284
Abstract
Background/objectives: Preterm labor is a leading cause of neonatal morbidity and mortality worldwide. Previous research has indicated that an inflammatory response or microbial invasion of the amniotic cavity is a pathological condition linked to preterm birth; hence, inflammatory markers such as metalloproteinase-9 (MMP-9), [...] Read more.
Background/objectives: Preterm labor is a leading cause of neonatal morbidity and mortality worldwide. Previous research has indicated that an inflammatory response or microbial invasion of the amniotic cavity is a pathological condition linked to preterm birth; hence, inflammatory markers such as metalloproteinase-9 (MMP-9), interleukin-6 (IL-6), and interleukin-8 (IL-8) have been utilized to predict preterm delivery. The identification of reliable biomarkers for early prediction is critical for improving maternal, fetal, and neonatal outcomes. Methods: To address this issue, a literature review has been conducted on PubMed/Medline and Scopus databases for articles investigating the possible correlation between IL6, IL8, and MMP9 and preterm labor. Results: Using a comprehensive search of the PubMed and Scopus databases, 12 studies were analyzed to identify the correlation between these biomarkers and preterm labor. Seven studies point the impact of increased IL-6 levels or polymorphisms of the gene and higher incidence of preterm labor. Two of the included studies identified the increased risk for preterm birth in elevated levels of IL-8 in amniotic fluid. Six studies highlight the increased incidence of preterm birth in women with polymorphisms of the MMP-9 gene. Conclusions: Elevated IL-6 levels and specific gene polymorphisms are strongly associated with preterm delivery risk, with IL-8 concentrations correlating with systemic inflammation and histologic chorioamnionitis. MMP-9 gene variations and protein levels showed significant predictive value for membrane rupture and labor onset. The findings emphasize integrating these biomarkers into diagnostic tools for routine prenatal care, enhancing early detection, risk stratification, and timely interventions to improve maternal and neonatal outcomes. Full article
Show Figures

Figure 1

11 pages, 239 KB  
Article
PostCOVID-19 Impact on Perinatal Outcomes
by Gaukhar Kurmanova, Ardak Ayazbekov, Almagul Kurmanova, Madina Rakhimbayeva, Gulzhan Trimova and Anarkul Kulembayeva
Diagnostics 2025, 15(1), 57; https://doi.org/10.3390/diagnostics15010057 - 29 Dec 2024
Cited by 1 | Viewed by 2645
Abstract
Background. Severe Acute Respiratory Syndrome-Related Coronavirus 2 (SARS-CoV-2) infection during pregnancy was associated with a number of adverse pregnancy outcomes, including miscarriage, preeclampsia, preterm birth, and stillbirth. The virus persistence can last for a long time, and the consequences of a previous coronavirus [...] Read more.
Background. Severe Acute Respiratory Syndrome-Related Coronavirus 2 (SARS-CoV-2) infection during pregnancy was associated with a number of adverse pregnancy outcomes, including miscarriage, preeclampsia, preterm birth, and stillbirth. The virus persistence can last for a long time, and the consequences of a previous coronavirus infection are currently under study. Objectives. This study aimed to establish the clinical features of the course of pregnancy and childbirth in women with a history of asymptomatic coronavirus disease 2019 (COVID-19). Methods. This study was conducted in the Regional Perinatal Center N3 of Turkestan city, Kazakhstan. A total of 229 participants were enrolled comprising individuals with (n = 133, exposed group) from August to September 2021 with a history of COVID-19 and without one in the same period in 2019 (n = 96, unexposed group). Results. There is a statistically significant strong association between a history of COVID-19 and the development of oligohydramnios (φ = 0.743, p < 0.001), and medium strength between a history of COVID-19 and the presence of anemia (φ = 0.254, p < 0.001), abnormal development of the placenta (φ = 0.254, p < 0.011), cord entanglement (φ = 0.343, p = 0.000), low birth weight (φ = 0.356, p < 0.001) and stillbirth (φ = 0.293, p < 0.001). Conclusions. The past COVID-19 infection in pregnant women has long-term consequences in the form of placenta abnormal development and oligohydramnios; and, as a result, the development of adverse perinatal outcomes Full article
(This article belongs to the Special Issue Insights into Perinatal Medicine and Fetal Medicine)
Back to TopTop