Sign in to use this feature.

Years

Between: -

Subjects

remove_circle_outline
remove_circle_outline
remove_circle_outline
remove_circle_outline
remove_circle_outline
remove_circle_outline
remove_circle_outline
remove_circle_outline

Journals

Article Types

Countries / Regions

Search Results (15)

Search Parameters:
Keywords = post-cyclic shear characteristics

Order results
Result details
Results per page
Select all
Export citation of selected articles as:
15 pages, 9276 KB  
Article
Mechanical Response Mechanism and Yield Characteristics of Coal Under Quasi-Static and Dynamic Loading
by Liupeng Huo, Feng Gao and Yan Xing
Appl. Sci. 2025, 15(10), 5238; https://doi.org/10.3390/app15105238 - 8 May 2025
Cited by 1 | Viewed by 895
Abstract
During deep mining engineering, coal bodies are subjected to complex geological stresses such as periodic roof pressure and blasting impacts, which may induce mechanical property deterioration and trigger severe rock burst accidents. This study systematically investigated the mechanical characteristics and failure mechanisms of [...] Read more.
During deep mining engineering, coal bodies are subjected to complex geological stresses such as periodic roof pressure and blasting impacts, which may induce mechanical property deterioration and trigger severe rock burst accidents. This study systematically investigated the mechanical characteristics and failure mechanisms of coal under strain rates on two orders of magnitude through quasi-static cyclic loading–unloading experiments and split Hopkinson pressure bar (SHPB) tests, combined with acoustic emission (AE) localization and crack characteristic stress analysis. The research focused on the differential mechanical responses of coal-rock masses under distinct stress environments in deep mining. The results demonstrated that under quasi-static loading, the stress–strain curve exhibited four characteristic stages: compaction (I), linear elasticity (II), nonlinear crack propagation (III), and post-peak softening (IV). The peak strain displayed linear growth with increasing cycle, accompanied by a failure mode characterized by oblique shear failure that induced a transition from gradual to abrupt increases in the AE counts. In contrast, under the dynamic loading conditions, there was a bifurcated post-peak phase consisting of two unloading stages due to elastic rebound effects, with nonlinear growth of the peak strain and an interlaced failure pattern combining lateral tensile cracks and axial compressive fractures. The two loading conditions exhibited similar evolutionary trends in crack damage stress, though a slight reduction in stress occurred during the final dynamic loading phase due to accumulated damage. Notably, the crack closure stress under quasi-static loading followed a decrease–increase pattern with cycle progression, whereas the dynamic loading conditions presented the inverse increase–decrease tendency. These findings provide theoretical foundations for stability control in underground engineering and prevention of dynamic hazards. Full article
Show Figures

Figure 1

25 pages, 16103 KB  
Article
Compressive Response and Damage Distribution of Fiber-Reinforced Concrete with Various Saturation Degrees
by Lu Feng and Xudong Chen
Materials 2025, 18(7), 1555; https://doi.org/10.3390/ma18071555 - 29 Mar 2025
Viewed by 836
Abstract
Tunnels frequently experience issues such as lining spalling and water leakage, making the stability of tunnel support critical for engineering safety. Given that tunnels are subjected to various ground stress disturbances and groundwater influences, it is essential to investigate the mechanical properties and [...] Read more.
Tunnels frequently experience issues such as lining spalling and water leakage, making the stability of tunnel support critical for engineering safety. Given that tunnels are subjected to various ground stress disturbances and groundwater influences, it is essential to investigate the mechanical properties and damage mechanisms of tunnel support materials under different loading paths and saturation levels. Fiber-reinforced concrete (FRC) is widely used for tunnel support; in this study, uniaxial compression tests were conducted on FRC with different fiber contents (0%, 0.5%, 1.0%) under varying loading paths (monotonic, pre-peak cyclic loading, full cyclic loading). The stress–strain behavior, volumetric strain, and elastic modulus were analyzed. The results indicate that increasing fiber content enhances strength and stiffness, while higher water content leads to a significant water-weakening effect, reducing both parameters. To classify crack types, the logistic regression (LR) algorithm is employed based on the AF-RA features, identifying tensile damage (which accounts for 60–80%) as more dominant than shear damage. Using this classification, AE event distributions reveal the spatial characteristics of internal damage in FRC. Gaussian process regression (GPR) is further applied to predict the AE parameters, enabling the assessment of the tensile and shear damage responses in FRC. The location and magnitude of the predicted wave crest indicate extreme damage levels, which become more pronounced under a higher saturation condition. A damage constitutive model is proposed to characterize the post-peak softening behavior of FRC. The numerical verification demonstrates good agreement with the experimental results, confirming the model’s capability to describe the softening behavior of FRC under various fiber and water contents. Full article
(This article belongs to the Special Issue Advanced Characterization of Fiber-Reinforced Composite Materials)
Show Figures

Figure 1

27 pages, 12315 KB  
Article
Exploring the Macroscopic Behavior and Microstructure Evolution of Lightly Cemented Sand in the Post-Liquefaction Process Using DEM
by Fuguang Zhang, Cheng Chen and Huaiping Feng
Materials 2024, 17(15), 3721; https://doi.org/10.3390/ma17153721 - 27 Jul 2024
Viewed by 1028
Abstract
This study investigates the post-liquefaction monotonic undrained shearing behavior of cemented sand at the macro- and microscales, using the discrete element method. A series of cyclic undrained triaxial tests with different stress amplitudes and post-liquefaction monotonic undrained triaxial tests were simulated on cemented [...] Read more.
This study investigates the post-liquefaction monotonic undrained shearing behavior of cemented sand at the macro- and microscales, using the discrete element method. A series of cyclic undrained triaxial tests with different stress amplitudes and post-liquefaction monotonic undrained triaxial tests were simulated on cemented sand with diverse cement contents (CCs). For comparison, a series of monotonic undrained triaxial tests on cemented sand without liquefaction (virgin cemented sand) were also modeled. The macroscopic behavior was analyzed in conjunction with the microscopic characteristics of the assembly, such as the deviator fabric of contact normal orientation, mechanical coordination number, energy components, and bond breakage. The results show that the DEM model can capture the effect of CC and cyclic stress ratio (CSR) on the undrained shear strength, stiffness, and pore pressure observed in laboratory experiments. Referring to the virgin specimen, with an increase in CC, the mechanical coordination number and the input work increment increase, while the deviator fabric for total contacts changes irregularly, leading to a greater initial stiffness and shear strength. In the case of the liquefied specimen, the smaller initial mechanical coordination number results in a very low initial stiffness regardless of CC. Contrary to the uncemented sand, both the mechanical coordination number and the input work increment decrease with an increasing CSR for the cemented sand. The microstructure evolution governs the effect of cementation level and liquefaction history on the macroscopic post-liquefaction behavior. Full article
Show Figures

Figure 1

16 pages, 7891 KB  
Article
Temperature-Dependent Post-Cyclic Mechanical Characteristics of Interfaces between Geogrid and Marine Reef Sand: Experimental Research and Machine Learning Modeling
by Zhiming Chao, Haoyu Wang, Jinhai Zheng, Danda Shi, Chunxu Li, Gege Ding and Xianhui Feng
J. Mar. Sci. Eng. 2024, 12(8), 1262; https://doi.org/10.3390/jmse12081262 - 26 Jul 2024
Cited by 12 | Viewed by 1838
Abstract
The mechanical response of the marine reef sand–geogrid (RG) interface can be influenced by a high-temperature climate, grain size, and variable stress environments. These factors are critical to the effectiveness of geogrid reinforcement in reef sand engineering. However, there are few studies on [...] Read more.
The mechanical response of the marine reef sand–geogrid (RG) interface can be influenced by a high-temperature climate, grain size, and variable stress environments. These factors are critical to the effectiveness of geogrid reinforcement in reef sand engineering. However, there are few studies on the influences of grain size, temperature, and stress history on the mechanical characteristics of RG interfaces, with most studies centering on the influence of single factors on the mechanical characteristics of RG interfaces. In this paper, based on self-developed temperature-controlled large interface shear equipment, a series of before/post-cyclic shear tests were carried out on RG interfaces in the temperature range of 5–80 °C. The impact of different reef sand grain sizes on the RG interface was explored (S1: 1–2 mm; S2: 2–4 mm). It was shown that temperature and grain size had significant influences on the mechanical characteristics of the RS interface. Compared with the S1 RG interfaces, the S2 RG interfaces had higher sensitivity to temperature changes with respect to the before/post-cyclic maximum shear strength. Moreover, in comparison to the before-cyclic shear strength, the post-cyclic maximum shear strength is more responsive to temperature changes. The before/post-cyclic maximum shear strength of the S2 RG interfaces was greater than the maximum shear strength of the S1 RG interfaces as the temperature changed. Based on the results of physical tests, a machine learning model containing 450 datasets was constructed, which can accurately predict the shear strength of the RG interface. Full article
(This article belongs to the Section Coastal Engineering)
Show Figures

Figure 1

23 pages, 16032 KB  
Article
Energy Mechanism and Acoustic Emission Characteristics in Rock-Backfill Composite Structure Specimens under Multi-Level Cyclic Loads: Cement-Tailings Ratio Effect
by Dayu Long, Yu Wang, Changhong Li, Yunfeng Wu and Yongyue Hu
Minerals 2024, 14(7), 665; https://doi.org/10.3390/min14070665 - 27 Jun 2024
Cited by 1 | Viewed by 1403
Abstract
This study aimed to investigate the effects of the cement-tailings ratio (CTR) on the fatigue properties, acoustic emission (AE) activities, energy dissipation, and fracture patterns of rock-backfill composite structure (RBCS) samples. The investigation employed multi-level cyclic loading tests combined with acoustic emission monitoring [...] Read more.
This study aimed to investigate the effects of the cement-tailings ratio (CTR) on the fatigue properties, acoustic emission (AE) activities, energy dissipation, and fracture patterns of rock-backfill composite structure (RBCS) samples. The investigation employed multi-level cyclic loading tests combined with acoustic emission monitoring and post-test CT scanning. The results indicated that the fatigue strength and fatigue lifetime of the RBCS samples initially increased and then decreased as the CTR was reduced from 1:4 to 1:12. The energy dissipation characteristics reflected the optimal energy absorption effect of the backfill at a CTR of 1:8. The AE ring counts/energy apparent skip phenomenon corresponded to the stress-strain curve from a dense to sparse pattern. The samples with CTRs of 1:4 and 1:8 showed a more significant increase in the peak frequency band at failure and released more energy. The fracture of the RBCS specimen was dominated by tensile cracking signals accompanied by some shear cracking signals. However, the proportion of shear signals was higher for samples with CTRs of 1:4 and 1:8. Similarly, the b value was smaller at failure. The 3D visualization images revealed that the fracture pattern of the RBCS was a mixed tensile-shear fracture, including shear fracture within the backfill, tensile cracking in the interface, and tensile-shear fracture within the rock. The volume and complexity of cracks increased and then decreased with decreasing CTR, i.e., from 1:4 to 1:12. The evolution of cracks probably involves internal backfill fracturing first, and then the fracture extends into the surrounding rock. A recommendation for the design of CTB was presented in this study to ensure the safety and stability of mine excavations. Full article
(This article belongs to the Section Mineral Processing and Extractive Metallurgy)
Show Figures

Figure 1

18 pages, 13685 KB  
Article
Study on the Cyclic Shear Performance of Waste Steel Slag Mixed Soil
by Weisheng Xu, Yingna Zhu, Haoran Kang, Qing Xu, Qipei Han, Xiangwei Song and Zhenwei Liu
Buildings 2023, 13(12), 3133; https://doi.org/10.3390/buildings13123133 - 18 Dec 2023
Cited by 3 | Viewed by 1696
Abstract
Clay soil has poor engineering properties such as poor permeability and low shear strength. Waste steel slag is an industrial by-product formed in the furnace during the steelmaking process which has high quality, durability, anti-slip properties, gelling, high permeability and good particle interlocking [...] Read more.
Clay soil has poor engineering properties such as poor permeability and low shear strength. Waste steel slag is an industrial by-product formed in the furnace during the steelmaking process which has high quality, durability, anti-slip properties, gelling, high permeability and good particle interlocking properties. Therefore, in order to improve the engineering properties of clay and increase the utilization rate of waste steel slag, the steel slag was mixed into the clay. Steel slag clay mix was used for the straight shear test, cyclic shear test and post-cyclic straight shear test. To investigate the strength characteristics, damping ratio, shear stiffness variation and mixed soil displacement at the reinforcement-soil interface under different steel slag dosing, vertical stress, moisture content and shear amplitude conditions. The test results show that steel slag can significantly improve the shear strength of the clay tendon-soil interface, and the improvement effect is better than the conventional material sand improved clay. The steel slag mix has a large damping ratio and shear stiffness, suggesting that it has good damping and energy dissipation properties. In this case, the shear strength, damping ratio and shear stiffness of the soil mix at 40% steel slag admixture are better. The shear strength of the steel slag mix is increased after cyclic loading compared to straight shear before cyclic loading. In addition, the water content has a greater effect on the shear strength parameters, shear stiffness and damping ratio of the steel slag clay mix compared to the vertical stress and shear amplitude. The test results can provide a theoretical basis for the replacement of sand by steel slag in improving clay soils. Full article
Show Figures

Figure 1

18 pages, 4630 KB  
Article
Amplification in Mechanical Properties of a Lead Rubber Bearing for Various Exposure Times to Low Temperature
by Cansu Yasar, Volkan Karuk, Onur Kaplan, Esengul Cavdar and Gokhan Ozdemir
Buildings 2023, 13(2), 478; https://doi.org/10.3390/buildings13020478 - 10 Feb 2023
Cited by 15 | Viewed by 3370
Abstract
In this paper, new formulations to predict the change in mechanical properties, namely, post-yield stiffness and characteristic strength of lead rubber bearings (LRBs) at low ambient temperatures, are proposed based on test results. Proposed formulations consider not only the effect of low temperature [...] Read more.
In this paper, new formulations to predict the change in mechanical properties, namely, post-yield stiffness and characteristic strength of lead rubber bearings (LRBs) at low ambient temperatures, are proposed based on test results. Proposed formulations consider not only the effect of low temperature but also the effect of exposure time to low temperature. Accordingly, a full-scale LRB was tested dynamically after being conditioned at temperatures of −20, −10, 0, and 20 °C for 3, 6, and 24 h. During the displacement-controlled cyclic tests, various levels of shear strain were applied to the isolator with loading frequencies of 0.1 Hz and 0.5 Hz. Then, force-displacement curves of LRB were recorded, and the corresponding amplifications in its hysteretic properties were noted. The accuracy of existing equations to estimate the amount of amplification in mechanical properties was evaluated through the experimental results. It was found that the existing formulas do not represent the effect of exposure time on LRB characteristics at low temperatures. On the other hand, the proposed equations result in highly accurate estimations of post-yield stiffness and characteristic strength of LRB at low temperatures for different exposure times. Full article
Show Figures

Figure 1

28 pages, 11885 KB  
Article
Experimental and Numerical Studies on the Seismic Performance of New Assembled Concrete Frame Beam–Column Joints
by Jianhua Liu, Yunlin Liu and Dehu Yu
Buildings 2023, 13(2), 329; https://doi.org/10.3390/buildings13020329 - 22 Jan 2023
Cited by 11 | Viewed by 3778
Abstract
A new type of assembled concrete beam–column joint based on a bolted connection was proposed, aiming to complete the post-earthquake node repair work by replacing precast beams and bolts. To study the seismic performance of the new beam–column joints, two full-scale components of [...] Read more.
A new type of assembled concrete beam–column joint based on a bolted connection was proposed, aiming to complete the post-earthquake node repair work by replacing precast beams and bolts. To study the seismic performance of the new beam–column joints, two full-scale components of the new joints were fabricated and subjected to low cyclic loading. The whole process from crack generation to component failure was investigated in detail, and seismic performance indicators such as the hysteresis curve, skeleton curve and stiffness degradation curve were compared and analyzed. Based on the experimental results, ABAQUS finite element software was applied to numerically simulate cast-in-place joints and test joints. Based on the failure mechanism of the new assembled beam–column semi-rigid joints, a stress analysis of semi-rigid joints was carried out. The research results show that the two new joints have good seismic performance and energy dissipation performance. Bolts and precast beams are the main stress components, and the repair of new joints can be completed by replacing bolts, which meets the seismic design concepts of “strong columns and weak beams” and “strong joints and weak components”. The larger the diameter of the bolts, the higher the load capacity and the lower the stiffness degradation rate. The finite element simulation results are high-accuracy and can well reflect the seismic performance of the components. It is found that cast-in-place joints are better in energy dissipation capacity than test joints, but the ultimate bearing capacity of test joints is better than that of cast-in-place joints. Based on the experimental stress characteristics of the nodal core zone, a mechanical analysis model of the nodal core zone of the new assembled concrete beam–column joints is proposed, and shear force calculation equations for the core zone of the new assembled concrete beam–column rigid joints and semi-rigid joints are derived. Full article
(This article belongs to the Section Building Materials, and Repair & Renovation)
Show Figures

Figure 1

16 pages, 35541 KB  
Article
Study on Damage Characteristics of Water-Bearing Coal Samples under Cyclic Loading–Unloading
by Hongxin Xie, Qiangling Yao, Liqiang Yu and Changhao Shan
Sustainability 2022, 14(14), 8457; https://doi.org/10.3390/su14148457 - 11 Jul 2022
Cited by 13 | Viewed by 2585
Abstract
For underground water reservoirs in coal mines, the complex water-rich environment and changing overburden stress can damage coal pillar dams. In this paper, the coal samples from coal seam 22 of Shangwan coal mine were taken as research objects and the damage [...] Read more.
For underground water reservoirs in coal mines, the complex water-rich environment and changing overburden stress can damage coal pillar dams. In this paper, the coal samples from coal seam 22 of Shangwan coal mine were taken as research objects and the damage mechanism and characteristics of coal samples with different moisture content and wetting-drying cycles under cyclic loading were investigated. The results show that as the moisture content and wetting-drying cycles increase, the post-peak stage of the coal samples under cyclic stress becomes obvious, and the hysteresis loop changes from dense to sparse. Compared to the uniaxial compression experiment, when w = 5.28% (the critical water content), mechanical parameters such as peak strength and modulus of elasticity decrease the most. Under cyclic loading, the damage mode of both sets of coal samples was tensile damage, but the increase in wetting-drying cycles promotes the development of shear fractures. For evaluating fracture types, the RA-AF density map is more applicable to wetting-drying cycle coal samples, whereas for the coal samples with different moisture contents this should be carried out with caution. This study can provide some theoretical basis for the stability evaluation of coal pillar dams in underground water reservoirs. Full article
(This article belongs to the Special Issue Advances in Rock Mechanics and Geotechnical Engineering)
Show Figures

Figure 1

23 pages, 7761 KB  
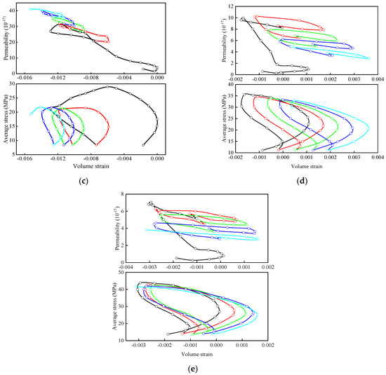
Article
Experimental Investigation on Post-Peak Permeability Evolution Law of Saturated Sandstone under Various Cyclic Loading–Unloading and Confining Pressure
by Liang Chen, Dongsheng Zhang, Wei Zhang, Jingna Guo, Nan Yao, Gangwei Fan, Shizhong Zhang, Xufeng Wang and Peng Wu
Water 2022, 14(11), 1773; https://doi.org/10.3390/w14111773 - 31 May 2022
Cited by 10 | Viewed by 2773
Abstract
The permeability evolution law of saturated rock under cyclic loading–unloading after shear yield is an important basis for revealing the water resistance performance and water inrush risk of overlying rock under multiple mining conditions. In this paper, the influence of the confining pressure, [...] Read more.
The permeability evolution law of saturated rock under cyclic loading–unloading after shear yield is an important basis for revealing the water resistance performance and water inrush risk of overlying rock under multiple mining conditions. In this paper, the influence of the confining pressure, the cyclic loading–unloading times (CLT), and the volumetric strain on the post-peak permeability of saturated sandstone was studied by carrying out a post-peak permeability experiment. Based on SEM images and an improved simulated annealing algorithm, the 3D internal structure characteristics of sandstone samples before and after the experiment were reconstructed. The influences of the confining pressure on pore diameter, effective porosity, connectivity, seepage path length, and tortuosity of the sandstone before and after the experiment are discussed. Research results indicated that (1) In the post-peak cyclic loading–unloading stage, the volumetric strain is negatively correlated with permeability. At the unloading and initial loading stage, the volumetric strain showed a gradually decreasing trend as the specimen was slowly compressed. However, at the middle and final loading stages, the volumetric strain curve shifted to the left and showed a decreasing trend, resulting in an obvious increase in permeability. (2) The influence of CLT on k is closely related to the confining pressure level. When the confining pressure changed from 4 MPa to 12 MPa, the volumetric strain–average stress hysteretic curve shifted to the left in turn and the corresponding permeability gradually increased. When the confining pressure increased to 16 MPa and 20 MPa, the volumetric strain–average stress hysteretic curve shifted to the right in turn and the corresponding permeability showed a decreasing trend. No matter what the value of CLT, the magnitude of sandstone permeability gradually decreased and the decreasing trend became flat as the confining pressure increased, especially for σ3 = 16 MPa and 20 MPa. (3) No matter what value of the confining pressure, the hysteresis area of the first cycle was larger than that of last three cycles, indicating that the plastic deformation generated in the first cycle was larger than that generated in the last three cycles and the recovery rate of the permeability increased with an increase of CLT. (4) As the confining pressure gradually increased, the pore diameter, effective porosity, and connectivity all approximately showed a linear decrease due to more easily compacted pores and cracks under high confining pressure, lower connectivity, and permeability, while the length and tortuosity of the seepage path increased nonlinearly, roughly due to a more significant shear failure phenomenon where the seepage path became more tortuous, that is, the greater the tortuosity, the longer the seepage path. The research results can provide an important theoretical basis for water resistance performance and water inrush risk assessment of overlying aquifer under the influence of mining stress. Full article
(This article belongs to the Section Hydrogeology)
Show Figures

Figure 1

19 pages, 6890 KB  
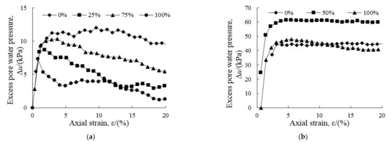
Article
Post-Cyclic Mechanical Behaviors of Undisturbed Soft Clay with Different Degrees of Reconsolidation
by Yuan Lu, Jian Chen, Juehao Huang, Libo Feng, Song Yu, Jianbin Li and Chao Ma
Appl. Sci. 2021, 11(16), 7612; https://doi.org/10.3390/app11167612 - 19 Aug 2021
Cited by 6 | Viewed by 3169
Abstract
Soft soil is often subjected to cyclic loading such as that imposed during storms, under traffic, or in an earthquake. Furthermore, the cyclic-loading-induced excess pore water pressure can be partially dissipated after cyclic loading. Thus, different reconsolidation processes should be considered. A series [...] Read more.
Soft soil is often subjected to cyclic loading such as that imposed during storms, under traffic, or in an earthquake. Furthermore, the cyclic-loading-induced excess pore water pressure can be partially dissipated after cyclic loading. Thus, different reconsolidation processes should be considered. A series of static and dynamic triaxial tests were conducted on undisturbed soft soil to determine the post-cyclic mechanical behavior thereof, such as the variation of undrained shear strength, the development of excess pore water pressure, and the evolution of effective stress path. The effects of consolidated confining pressure, cyclic stress ratio, and degree of reconsolidation were analyzed. Results show that the trend of all stress–strain curves is similar under different conditions. The effect of the degree of reconsolidation is such that, with increasing the degree of reconsolidation, the shear strength is enhanced. Meanwhile, compared with undrained shear strength without cyclic loading, the shear strength after cyclic loading with full reconsolidation is increased. These factors also have a significant effect on the undrained shear strength: the greater both the confining pressure and cyclic stress ratio are, the higher the undrained shear strength. A positive excess pore water pressure is always observed during post-cyclic shearing process, irrespective of different factors. The S-shaped effective stress paths under different test conditions are observed and cross the critical state line. The microstructures of undisturbed soil and post-cyclic specimens with different degrees of reconsolidation were quantitatively investigated. Besides that, the degree of influence of different factors on the post-cyclic undrained strength was analyzed. Based on the test results, the undrained shear strength with cyclic load-history was well predicted by existing models. Full article
Show Figures

Figure 1

15 pages, 2883 KB  
Article
Factors Affecting the Dependency of Shear Strain of LRB and SHDR: Experimental Study
by Chao-Yong Shen, Xiang-Yun Huang, Yang-Yang Chen and Yu-Hong Ma
Actuators 2021, 10(5), 98; https://doi.org/10.3390/act10050098 - 7 May 2021
Cited by 7 | Viewed by 3464
Abstract
In this research we conducted a sensitivity experimental study where we explored the dependency of the shear strain on the seismic properties of bearings, namely lead rubber bearing (LRB) and super high damping rubber bearing (SHDR). The factors studied were vertical pressure, temperature, [...] Read more.
In this research we conducted a sensitivity experimental study where we explored the dependency of the shear strain on the seismic properties of bearings, namely lead rubber bearing (LRB) and super high damping rubber bearing (SHDR). The factors studied were vertical pressure, temperature, shear modulus of the inner rubber (G value), loading frequency, and loading sequence. Six specimens were adopted, i.e., three LRBs and three SHDR bearings. A series of test plans were designed. The seismic characteristics of the bearings were captured through a cyclic loading test, which included post-yield stiffness, characteristic strength, area of a single cycle of the hysteretic loop, equivalent stiffness, and equivalent damping ratio. A whole analysis of variances was then conducted. At the same time, to explore certain phenomena caused by the factors, an extended discussion was carried out. Test results showed that the temperature is the most dominant feature, whereas the G value is the least contributing factor, with the effect of the loading frequency and the loading sequence found between these two. The increment of the post-yielded stiffness for LRB from 100% to 25% is a significant reduction from a low temperature to high one. The slope of the characteristic strength versus the shear strain for LRB under high temperature is larger than the one under low temperature. Full article
(This article belongs to the Special Issue Vibration Control and Structure Health Monitoring)
Show Figures

Figure 1

15 pages, 5832 KB  
Article
Thermal Shock Behavior of Twill Woven Carbon Fiber Reinforced Polymer Composites
by Farzin Azimpour-Shishevan, Hamit Akbulut and M.A. Mohtadi-Bonab
J. Compos. Sci. 2021, 5(1), 33; https://doi.org/10.3390/jcs5010033 - 18 Jan 2021
Cited by 11 | Viewed by 4520
Abstract
In the current research, the effect of cyclic temperature variation on the mechanical and thermal properties of woven carbon-fiber-reinforced polymer (CFRP) composites was investigated. To this, carbon fiber textiles in twill 2/2 pattern were used as reinforced phase in epoxy, and CFRPs were [...] Read more.
In the current research, the effect of cyclic temperature variation on the mechanical and thermal properties of woven carbon-fiber-reinforced polymer (CFRP) composites was investigated. To this, carbon fiber textiles in twill 2/2 pattern were used as reinforced phase in epoxy, and CFRPs were fabricated by vacuum-assisted resin-infusion molding (VARIM) method. Thermal cycling process was carried out between −40 and +120 °C for 20, 40, 60 and 80 cycles, in order to evaluate the effect of thermal cycling on mechanical and thermal properties of CFRP specimens. In this regard, tensile, bending and short beam shear (SBS) experiments were carried out, to obtain modulus of elasticity, tensile strength, flexural modulus, flexural strength and inter-laminar shear strength (ILSS) at room temperature (RT), and then thermal treated composites were compared. A dynamic mechanical analysis (DMA) test was carried out to obtain thermal properties, and viscoelastic properties, such as storage modulus (E’), loss modulus (E”) and loss factors (tan δ), were evaluated. It was observed that the characteristics of composites were affected by thermal cycling due to post-curing at a high temperature. This process worked to crosslink and improve the composite behavior or degrade it due to the different coefficients of thermal expansion (CTEs) of composite components. The response of composites to the thermal cycling process was determined by the interaction of these phenomena. Based on SEM observations, the delamination, fiber pull-out and bundle breakage were the dominant fracture modes in tensile-tested specimens. Full article
(This article belongs to the Special Issue Carbon Fiber Composites)
Show Figures

Figure 1

30 pages, 12552 KB  
Article
Effect of Steel Fibers on the Hysteretic Performance of Concrete Beams with Steel Reinforcement—Tests and Analysis
by Violetta K. Kytinou, Constantin E. Chalioris, Chris G. Karayannis and Anaxagoras Elenas
Materials 2020, 13(13), 2923; https://doi.org/10.3390/ma13132923 - 29 Jun 2020
Cited by 78 | Viewed by 4445
Abstract
The use of fibers as mass reinforcement to delay cracking and to improve the strength and the post-cracking performance of reinforced concrete (RC) beams has been well documented. However, issues of common engineering practice about the beneficial effect of steel fibers to the [...] Read more.
The use of fibers as mass reinforcement to delay cracking and to improve the strength and the post-cracking performance of reinforced concrete (RC) beams has been well documented. However, issues of common engineering practice about the beneficial effect of steel fibers to the seismic resistance of RC structural members in active earthquake zones have not yet been fully clarified. This study presents an experimental and a numerical approach to the aforementioned question. The hysteretic response of slender and deep steel fiber-reinforced concrete (SFRC) beams reinforced with steel reinforcement is investigated through tests of eleven beams subjected to reversal cyclic loading and numerical analysis using 3D finite element (FE) modeling. The experimental program includes flexural and shear-critical SFRC beams with different ratios of steel reinforcing bars (0.55% and 1.0%), closed stirrups (from 0 to 0.5%), and fibers with content from 0.5 to 3% per volume. The developed nonlinear FE numerical simulation considers well-established relationships for the compression and tensional behavior of SFRC that are based on test results. Specifically, a smeared crack model is proposed for the post-cracking behavior of SFRC under tension, which employs the fracture characteristics of the composite material using stress versus crack width curves with tension softening. Axial tension tests of prismatic SFRC specimens are also included in this study to support the experimental project and to verify the proposed model. Comparing the numerical results with the experimental ones it is revealed that the proposed model is efficient and accurately captures the crucial aspects of the response, such as the SFRC tension softening effect, the load versus deformation cyclic envelope and the influence of the fibers on the overall hysteretic performance. The findings of this study also reveal that SFRC beams showed enhanced cyclic behavior in terms of residual stiffness, load-bearing capacity, deformation, energy dissipation ability and cracking performance, maintaining their integrity through the imposed reversal cyclic tests. Full article
Show Figures

Figure 1

16 pages, 3306 KB  
Article
Cyclic Flexural and Shear Performances of Beam Elements with Longitudinal Glass Fiber Reinforced Polymer (GFRP) Bars in Exterior Beam-Column Connections
by Keun-Hyeok Yang and Ju-Hyun Mun
Appl. Sci. 2018, 8(12), 2353; https://doi.org/10.3390/app8122353 - 22 Nov 2018
Cited by 5 | Viewed by 3563
Abstract
The objective of this study is to examine the effect of the poor anchorage length of glass fiber reinforced polymer (GFRP) bars used for longitudinal reinforcement on the flexural and shear performances of beam elements in exterior beam–column connections made using high-strength materials. [...] Read more.
The objective of this study is to examine the effect of the poor anchorage length of glass fiber reinforced polymer (GFRP) bars used for longitudinal reinforcement on the flexural and shear performances of beam elements in exterior beam–column connections made using high-strength materials. Six exterior beam–column connection specimens were tested under reversal cyclic loads applied at the free-end of the beam. The selected strength categories of materials in the beam element were as follows: 35 MPa and 70 MPa for the design compressive strength of concrete, 400 MPa and 600 MPa for the yield strength of conventional longitudinal steel bars, and 800 MPa for the tensile strength of the GFRP bar. All the longitudinal steel bars of the beams satisfied the minimum requirements of the provisions of ACI 318–14, whereas all the longitudinal GFRP bars of the beam were linearly anchored into the column section, resulting in poor anchorage length, especially for the beam with the concrete compressive strength of 35 MPa. The flexure-governed beams with GFRP bars exhibited a greater increasing rate in displacement at the pre-peak state and did not display the plastic flow characteristic after the peak load when compared with companion beams with steel bars. The beams with GFRP bars possessed lower diagonal cracking strengths and shear capacities than the companion beams with steel bars although the shear capacities of the beams with GFRP bars could be conservatively predicted using the design equation of ACI 440.1R–15 provision. The low elastic modulus and elongation capacity of GFRP bars resulted in large displacements and brittle post-peak beam performances. Furthermore, the lack of anchorage length of GFRP bars in exterior beam–column connection significantly reduced the flexural strength and ductility of the beam element. Full article
(This article belongs to the Section Mechanical Engineering)
Show Figures

Figure 1

Back to TopTop