Energy Mechanism and Acoustic Emission Characteristics in Rock-Backfill Composite Structure Specimens under Multi-Level Cyclic Loads: Cement-Tailings Ratio Effect
Abstract
1. Introduction
2. Materials and Methods
2.1. Preparation of Test Materials
2.2. Test Equipment and Procedure
2.3. Energy Conversion Mechanism
3. Test Results
3.1. Stress-strain Curve Analysis
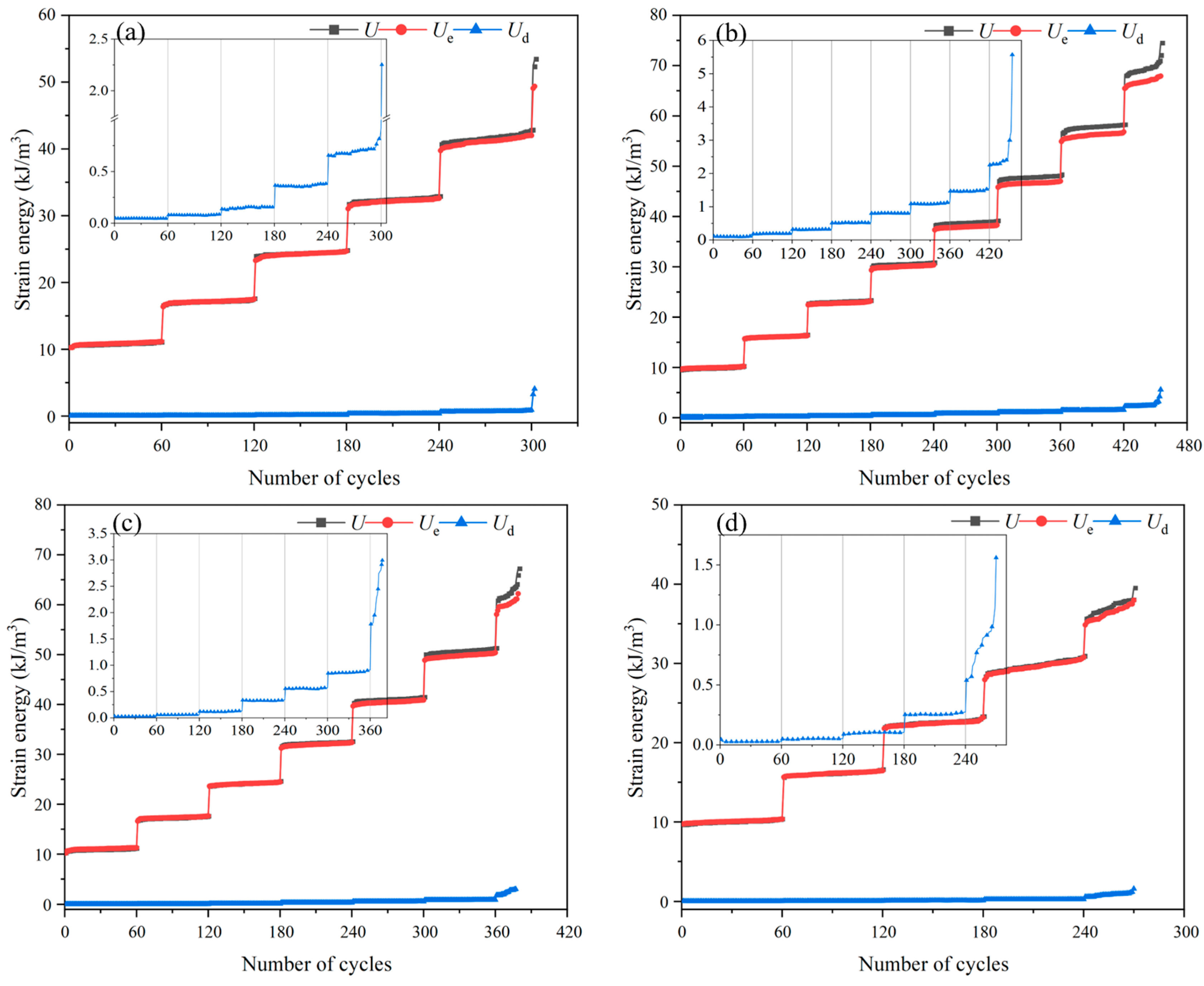
3.2. Energy Conversion Characteristics
3.3. Analysis of AE Characteristics
3.3.1. Characterization of AE Ring Counts and AE Energy
3.3.2. AE Spectrum Frequency Characteristics
3.3.3. Crack Classification Analysis
3.3.4. Analysis of AE b Value
3.4. Fracture Patterns
4. Discussion
5. Conclusions
- The fatigue mechanical properties, AE characteristics, energy evolution, and fracture patterns of RBCS samples were greatly influenced by the CTR. The fatigue strength and fatigue lifetime of the RBCS samples increased and then decreased as CTR was reduced from 1:4 to 1:12. The total energy, elastic energy, and dissipated energy exhibited a clear stepwise increase pattern, with the maximum values of the energy parameters found in sample with a CTR of 1:8. Moreover, the backfill with a CTR of 1:8 demonstrated the best energy absorption properties and, hence, the best macroscopic mechanical properties of the RBCS samples.
- The AE characteristics were affected by CTR. The AE ringing counts/energy, spectrum frequency, crack evolution, and AE b value reflected the effect of the CTR on crack propagation in the RBCS samples. The AE ring counts/energy apparent skip phenomenon corresponded to the stress-strain curve transitioning from a dense to a sparse pattern. Notably, the sample with a CTR of 1:4 showed a sudden increase in AE activities during the second CLS, indicating the occurrence of significant damage rupture. During the fatigue fracture stage, AE activities increased significantly, accompanied by a large release of elastic energy. Samples with CTRs of 1:4 and 1:8 showed a more pronounced increase in the AE peak frequency band at failure. The cracking modes were well classified using the RA and AF data classification methods. The proportion of shear cracking signals was higher in the fracture process of samples with CTRs of 1:4 and 1:8 than those with CTRs of 1:10 and 1:12. The b value was similarly smaller at failure, implying that large-scale cracks formed.
- The fracture patterns of RBCS samples with different CTRs were revealed based on CT scanning technology. The RBCS samples showed a mix of tensile-shear fracture patterns, including shear failure within the backfill, tensile cracking at the interface, and tensile-shear fracture within the rock. It was found that the fracture volume and complexity of samples with CTRs of 1:4 and 1:8 were larger than those CTR of 1:10 and 1:12. The evolution of cracks probably involves internal backfill fracturing first, and then the fracture extends to the surrounding rock. The backfill with a CTR of 1:8 offers the best resistance to hole collapse; therefore, the RBCS is less susceptible to structural deterioration. The “flexible CTB” with small CTR is beneficial for controlling the stability of the quarry in engineering practice.
Author Contributions
Funding
Data Availability Statement
Conflicts of Interest
References
- Qi, C.C.; Fourie, A. Cemented paste backfill for mineral tailings management: Review and future perspectives. Miner. Eng. 2019, 144, 106025. [Google Scholar] [CrossRef]
- Saedi, A.; Jamshidi-Zanjani, A.; Darban, A.K. A review of additives used in the cemented paste tailings: Environmental aspects and application. J. Environ. Manag. 2021, 289, 112501. [Google Scholar] [CrossRef] [PubMed]
- Yang, L.H.; Li, J.C.; Liu, H.B.; Jiao, H.Z.; Yin, S.H.; Chen, X.M.; Yu, Y. Systematic review of mixing technology for recycling waste tailings as cemented paste backfill in mines in China. Int. J. Min. Met. Mater. 2023, 30, 1430–1443. [Google Scholar] [CrossRef]
- Wu, J.Y.; Jing, H.W.; Gao, Y.; Meng, Q.B.; Yin, Q.; Du, Y. Effects of carbon nanotube dosage and aggregate size distribution on mechanical property and microstructure of cemented rockfill. Cement Concr. Comp. 2022, 127, 104408. [Google Scholar] [CrossRef]
- Wang, X.L.; Silva, M.C.E.; Costa Pereira, M.F.; Brás, H.; Paneiro, G. Strength behavior and deformability characteristics of paste backfill with the addition of recycled rubber. Int. J. Min. Reclam. Environ. 2023, 37, 713–730. [Google Scholar] [CrossRef]
- Wang, Y.; Yi, X.F.; Long, D.Y.; Xia, Y.J.; Li, P.; Cai, M.F. Energy-Based Fatigue–Creep Damage and Failure Pattern of Rock–Backfill Composite Structure Material in Mine Stopes Under High Static Stress: Disturbed Amplitude Effect. Rock Mech. Rock Eng. 2024, 57, 3021–3042. [Google Scholar] [CrossRef]
- Jafari, M.; Shahsavari, M.; Grabinsky, M. Drained Triaxial Compressive Shear Response of Cemented Paste Backfill (CPB). Rock Mech. Rock Eng. 2021, 54, 3309–3325. [Google Scholar] [CrossRef]
- Long, D.Y.; Wang, Y.; Li, C.H.; Wu, Y.F. Macro-meso fatigue fracture and instability of rock-backfill composite structure under increasing-amplitude cyclic loading. Constr. Build. Mater. 2024, 416, 135187. [Google Scholar] [CrossRef]
- Wang, J.; Zhang, C.; Song, W.D.; Zhang, Y.F. The Energy Dissipation, AE Characteristics, and Microcrack Evolution of Rock–Backfill Composite Materials (RBCM). Minerals 2022, 12, 482. [Google Scholar] [CrossRef]
- Wang, J.; Fu, J.X.; Song, W.D.; Zhang, Y.F. Mechanical properties, damage evolution, and constitutive model of rock-encased backfill under uniaxial compression. Constr. Build. Mater. 2021, 285, 122898. [Google Scholar] [CrossRef]
- He, Z.W.; Zhao, K.; Yan, Y.J.; Ning, F.J.; Zhou, Y.; Song, Y.F. Mechanical response and acoustic emission characteristics of cement paste backfill and rock combination. Constr. Build. Mater. 2021, 288, 123119. [Google Scholar] [CrossRef]
- Yu, X.; Kemeny, J.; Li, J.L.; Song, W.D.; Tan, Y.Y. 3D Observations of Fracturing in Rock-Backfill Composite Specimens Under Triaxial Loading. Rock Mech. Rock Eng. 2021, 54, 6009–6022. [Google Scholar] [CrossRef]
- Yu, X.; Kemeny, J.; Tan, Y.Y.; Song, W.D.; Huang, K. Mechanical properties and fracturing of rock-backfill composite specimens under triaxial compression. Constr. Build. Mater. 2021, 304, 124577. [Google Scholar] [CrossRef]
- Koupouli, N.J.F.; Belem, T.; Rivard, P.; Effenguet, H. Direct shear tests on cemented paste backfill–rock wall and cemented paste backfill–backfill interfaces. J. Rock Mech. Geotech. Eng. 2016, 8, 472–479. [Google Scholar] [CrossRef]
- Fang, K.; Fall, M. Effects of curing temperature on shear behaviour of cemented paste backfill-rock interface. Int. J. Rock Mech. Min. Sci. 2018, 112, 184–192. [Google Scholar] [CrossRef]
- Fang, K.; Fall, M. Shear Behavior of the Interface Between Rock and Cemented Backfill: Effect of Curing Stress, Drainage Condition and Backfilling Rate. Rock Mech. Rock Eng. 2020, 53, 325–336. [Google Scholar] [CrossRef]
- Fang, K.; Cui, L.; Fall, M. A coupled chemo-elastic cohesive zone model for backfill-rock interface. Comput. Geotech. 2020, 125, 103666. [Google Scholar] [CrossRef]
- Su, G.S.; Hu, L.H.; Feng, X.T.; Yan, L.B.; Zhang, G.L.; Yan, S.Z.; Zhao, B.; Yan, Z.F. True Triaxial Experimental Study of Rockbursts Induced by Ramp and Cyclic Dynamic Disturbances. Rock Mech. Rock Eng. 2018, 51, 1027–1045. [Google Scholar] [CrossRef]
- Roberts, L.A.; Buchholz, S.A.; Mellegard, K.D.; Düsterloh, U. Cyclic Loading Effects on the Creep and Dilation of Salt Rock. Rock Mech. Rock Eng. 2015, 48, 2581–2590. [Google Scholar] [CrossRef]
- Peng, K.; Zhou, J.; Zou, Q.L.; Song, X. Effect of loading frequency on the deformation behaviours of sandstones subjected to cyclic loads and its underlying mechanism. Int. J. Fatigue 2020, 131, 105349. [Google Scholar] [CrossRef]
- Liu, Y.; Dai, F. A review of experimental and theoretical research on the deformation and failure behavior of rocks subjected to cyclic loading. J. Rock Mech. Geotech. Eng. 2021, 13, 1203–1230. [Google Scholar] [CrossRef]
- Wang, Y.; Li, C.H.; Han, J.Q. On the effect of stress amplitude on fracture and energy evolution of pre-flawed granite under uniaxial increasing-amplitude fatigue loads. Eng. Fract. Mech. 2020, 240, 107366. [Google Scholar] [CrossRef]
- Meng, Q.B.; Zhang, M.W.; Han, L.J.; Pu, H.; Chen, Y.L. Acoustic Emission Characteristics of Red Sandstone Specimens Under Uniaxial Cyclic Loading and Unloading Compression. Rock Mech. Rock Eng. 2018, 51, 969–988. [Google Scholar] [CrossRef]
- Wang, Y.; Zhu, C.; Song, Z.Y.; Gong, S.H. Macro-meso failure characteristics of circular cavity-contained granite under unconventional cyclic loads: A lab-scale testing. Measurement 2022, 188, 110608. [Google Scholar] [CrossRef]
- Wang, Y.; Yi, X.F.; Long, D.Y.; Li, P.; Cai, M.F. Macro-meso fracture and instability of rock-backfill composite structure (RBCS) specimens subjected to fatigue-creep interaction loading: Cement-tailing ratio effect. Constr. Build. Mater. 2024, 420, 135615. [Google Scholar] [CrossRef]
- Solecki, R.; Conant, R.J. Advanced Mechanics of Materials; Oxford University Press: Oxford, UK, 2003. [Google Scholar]
- Wang, Y.; Gao, S.H.; Li, C.H.; Han, J.Q. Energy dissipation and damage evolution for dynamic fracture of marble subjected to freeze-thaw and multiple level compressive fatigue loading. Int. J. Fatigue 2021, 142, 105927. [Google Scholar] [CrossRef]
- Sun, W.; Zhang, S.Y.; Li, J.X.; Li, Z.Y. Experimental study on energy dissipation of layered backfill under impact load. Constr. Build. Mater. 2022, 347, 128478. [Google Scholar] [CrossRef]
- Rippengill, S.; Worden, K.; Holford, K.M.; Pullin, R. Automatic Classification of Acoustic Emission Patterns. Strain 2003, 39, 31–41. [Google Scholar] [CrossRef]
- Ohnaka, M.; Mogi, K. Frequency characteristics of acoustic emission in rocks under uniaxial compression and its relation to the fracturing process to failure. J. Geophys. Res.-Solid Earth 1982, 87, 3873–3884. [Google Scholar] [CrossRef]
- Wang, Y.; Feng, W.K.; Wang, H.J.; Li, C.H.; Hou, Z.Q. Rock bridge fracturing characteristics in granite induced by freeze-thaw and uniaxial deformation revealed by AE monitoring and post-test CT scanning. Cold Reg. Sci. Tech. 2020, 177, 103115. [Google Scholar] [CrossRef]
- Ji, H.G.; Lu, X. Characteristics of acoustic emission and rock fractureprecursors of granite under conventional triaxial compression. Chin. J. Rock Mech. Eng. 2015, 34, 694–702. (In Chinese) [Google Scholar]
- Cai, M.; Kaiser, P.K.; Morioka, H.; Minami, M.; Maejima, T.; Tasaka, Y.; Kurose, H. FLAC/PFC coupled numerical simulation of AE in large-scale underground excavations. Int. J. Rock Mech. Min. Sci. 2007, 44, 550–564. [Google Scholar] [CrossRef]
- Zhao, X.G.; Wang, J.; Cai, M.; Cheng, C.; Ma, L.K.; Su, R.; Zhao, F.; Li, D.J. Influence of Unloading Rate on the Strainburst Characteristics of Beishan Granite Under True-Triaxial Unloading Conditions. Rock Mech. Rock Eng. 2014, 47, 467–483. [Google Scholar] [CrossRef]
- Zhang, H.E.; He, B.; Zhu, X.P.; Wang, Q.Y.; Jiang, Z.W. The use of AE technique for identifying ductility degradation against cryogenic on flexural performance of UHPC at various temperature conditions. Cement. Concrete Comp. 2023, 137, 104904. [Google Scholar] [CrossRef]
- Prem, P.R.; Murthy, A.R. Acoustic emission monitoring of reinforced concrete beams subjected to four-point-bending. Appl. Acoust. 2017, 117, 28–38. [Google Scholar] [CrossRef]
- Rodríguez, P.; Celestino, T.B. Application of acoustic emission monitoring and signal analysis to the qualitative and quantitative characterization of the fracturing process in rocks. Eng. Fract. Mech. 2019, 210, 54–69. [Google Scholar] [CrossRef]
- Carpinteri, A.; Corrado, M.; Lacidogna, G. Heterogeneous materials in compression: Correlations between absorbed, released and acoustic emission energies. Eng. Fail. Anal. 2013, 33, 236–250. [Google Scholar] [CrossRef]
- Scholz, C.H. Microfracturing and the Inelastic Deformation of Rock in compression. J. Geophys. 1968, 4, 1417–1432. [Google Scholar] [CrossRef]
- Yang, J.; Mu, Z.L.; Yang, S.Q. Experimental study of acoustic emission multi-parameter information characterizing rock crack development. Eng. Fract. Mech. 2020, 232, 107045. [Google Scholar] [CrossRef]
- Dresen, G.; Kwiatek, G.; Goebel, T.; Ben-Zion, Y. Seismic and Aseismic Preparatory Processes Before Large Stick—Slip Failure. Pure Appl. Geophys. 2020, 177, 5741–5760. [Google Scholar] [CrossRef]
- Zhang, L.M.; Ma, S.Q.; Ren, M.Y.; Jiang, S.Q.; Wang, Z.Q.; Wang, J.L. Acoustic emission frequency and b value characteristics in rock failure process under various confining pressures. Chin. J. Rock Mech. Eng. 2015, 34, 2057–2063. (In Chinese) [Google Scholar]
- Li, Y.H.; Liu, J.P.; Zhao, X.D.; Yang, Y.J. Study on b-value and fractal dimension of acoustic emission during rock failure process. Chin. J. Rock Mech. Eng. 2009, 30, 2559–2563, 2574. (In Chinese) [Google Scholar]
- Chen, B.R.; Wei, F.B.; Wang, R.; Li, T.; Zhu, X.H.; Wang, X. Failure mechanisms and precursory characteristics of deep buried granite in a tunnel in Southwest China. Chin. J. Rock Mech. Eng. 2020, 39, 469–479. (In Chinese) [Google Scholar]
- Yang, P.J.; Miao, S.J.; Ma, Y.T.; Yu, W.X.; Shang, X.F. Multi-dimensional non-uniform deformation and failure of siltstone determined using acoustic, 3D-digital image correlation, and computed tomography. Theor. Appl. Fract. Mech. 2023, 125, 103800. [Google Scholar]
- Ohno, K.; Ohtsu, M. Crack classification in concrete based on acoustic emission. Constr. Build. Mater. 2010, 24, 2339–2346. [Google Scholar] [CrossRef]
- Zhang, H.G.; He, B.; Chen, W.; Ai, J.H.; Zhu, X.P.; Jiang, Z.W. Investigating the influence of fibre type and content on the toughness and ductility of geopolymer mortar with acoustic emission technology. Cement Concr. Comp. 2024, 147, 105434. [Google Scholar] [CrossRef]
- Wang, X.L.; Li, Z.F.; Guo, J.P.; Lu, C.W.; Jiang, H.Q.; Mei, J.W. Experimental and numerical investigations on damage mechanical behaviors of surrounding rock-backfill composite under uniaxial compression. Constr. Build. Mater. 2024, 417, 135210. [Google Scholar] [CrossRef]






















| Sample ID | CTR | σmin/MPa | σmaxi/MPa | ∆σ/MPa | Nf | σcf/MPa |
|---|---|---|---|---|---|---|
| RBCS-1 | 1:4 | 40 | 50 | 5 | 302 | 74.4 |
| RBCS-2 | 1:4 | 40 | 50 | 5 | 311 | 75.2 |
| RBCS-3 | 1:4 | 40 | 50 | 5 | 298 | 74.3 |
| RBCS-4 | 1:8 | 40 | 50 | 5 | 473 | 84.1 |
| RBCS-5 | 1:8 | 40 | 50 | 5 | 456 | 84.7 |
| RBCS-6 | 1:8 | 40 | 50 | 5 | 448 | 84.6 |
| RBCS-7 | 1:10 | 40 | 50 | 5 | 379 | 79.1 |
| RBCS-8 | 1:10 | 40 | 50 | 5 | 400 | 79.4 |
| RBCS-9 | 1:10 | 40 | 50 | 5 | 371 | 79.6 |
| RBCS-10 | 1:12 | 40 | 50 | 5 | 270 | 69.3 |
| RBCS-11 | 1:12 | 40 | 50 | 5 | 254 | 70.4 |
| RBCS-12 | 1:12 | 40 | 50 | 5 | 275 | 69.5 |
Disclaimer/Publisher’s Note: The statements, opinions and data contained in all publications are solely those of the individual author(s) and contributor(s) and not of MDPI and/or the editor(s). MDPI and/or the editor(s) disclaim responsibility for any injury to people or property resulting from any ideas, methods, instructions or products referred to in the content. |
© 2024 by the authors. Licensee MDPI, Basel, Switzerland. This article is an open access article distributed under the terms and conditions of the Creative Commons Attribution (CC BY) license (https://creativecommons.org/licenses/by/4.0/).
Share and Cite
Long, D.; Wang, Y.; Li, C.; Wu, Y.; Hu, Y. Energy Mechanism and Acoustic Emission Characteristics in Rock-Backfill Composite Structure Specimens under Multi-Level Cyclic Loads: Cement-Tailings Ratio Effect. Minerals 2024, 14, 665. https://doi.org/10.3390/min14070665
Long D, Wang Y, Li C, Wu Y, Hu Y. Energy Mechanism and Acoustic Emission Characteristics in Rock-Backfill Composite Structure Specimens under Multi-Level Cyclic Loads: Cement-Tailings Ratio Effect. Minerals. 2024; 14(7):665. https://doi.org/10.3390/min14070665
Chicago/Turabian StyleLong, Dayu, Yu Wang, Changhong Li, Yunfeng Wu, and Yongyue Hu. 2024. "Energy Mechanism and Acoustic Emission Characteristics in Rock-Backfill Composite Structure Specimens under Multi-Level Cyclic Loads: Cement-Tailings Ratio Effect" Minerals 14, no. 7: 665. https://doi.org/10.3390/min14070665
APA StyleLong, D., Wang, Y., Li, C., Wu, Y., & Hu, Y. (2024). Energy Mechanism and Acoustic Emission Characteristics in Rock-Backfill Composite Structure Specimens under Multi-Level Cyclic Loads: Cement-Tailings Ratio Effect. Minerals, 14(7), 665. https://doi.org/10.3390/min14070665

