Sign in to use this feature.

Years

Between: -

Subjects

remove_circle_outline
remove_circle_outline
remove_circle_outline
remove_circle_outline
remove_circle_outline

Journals

Article Types

Countries / Regions

Search Results (15)

Search Parameters:
Keywords = plasma jet manufacturing

Order results
Result details
Results per page
Select all
Export citation of selected articles as:
14 pages, 3655 KB  
Article
Pin-Plane Electrical Discharge Driven by a MOSFET DC Current Source
by Myles Perry, Sidmar Holoman, Daniel Wozniak and Shirshak Kumar Dhali
Plasma 2026, 9(1), 5; https://doi.org/10.3390/plasma9010005 - 3 Feb 2026
Abstract
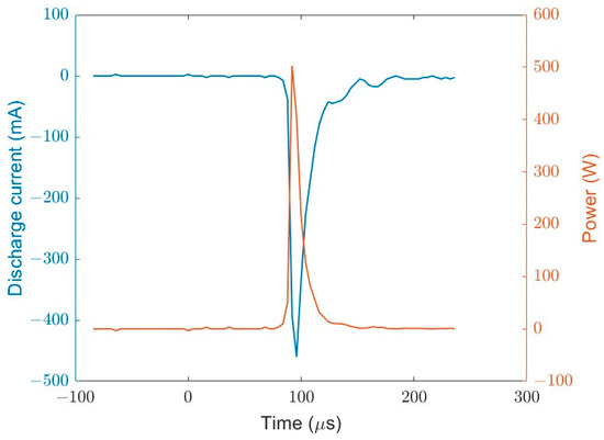
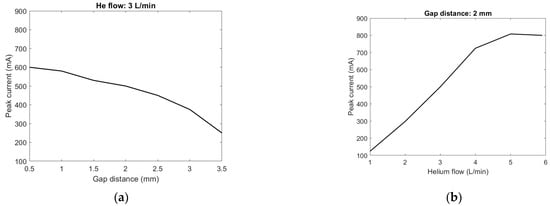
The generation of atmospheric pressure nonequilibrium plasma using electrical discharges is an active area of research due to its significance in a wide spectrum of applications including medicine, combustion, and manufacturing. In our attempt to create a helium plasma jet in a pin-plane [...] Read more.
The generation of atmospheric pressure nonequilibrium plasma using electrical discharges is an active area of research due to its significance in a wide spectrum of applications including medicine, combustion, and manufacturing. In our attempt to create a helium plasma jet in a pin-plane discharge with a constant current source, we observed self-pulsating behavior. We present the results of the electrical, optical, and spectroscopic measurements carried out to characterize the discharge. The duration of the discharge is a few tens of nanoseconds, and the repetition rate is in the few tens of kHz. The effect of the gap distance and gas flow is discussed. The effective capacitance formed by the space charge in the discharge region plays an important role in determining the pulsing frequency. The results of voltage swing, current pulse, and light emission are also discussed. Such self-pulsating discharges can be used to produce helium plasmas under ambient conditions in applications such as plasma medicine. Full article
(This article belongs to the Special Issue New Insights into Plasma Theory, Modeling and Predictive Simulations)
Show Figures

Figure 1

24 pages, 16704 KB  
Article
TiO2, GO, and TiO2/GO Coatings by APPJ on Waste ABS/PMMA Composite Filaments Filled with Carbon Black, Graphene, and Graphene Foam: Morphology, Wettability, Thermal Stability, and 3D Printability
by Alejandra Xochitl Maldonado Pérez, Alma Delfina Arenas Flores, José de Jesús Pérez Bueno, Maria Luisa Mendoza López, Yolanda Casados Mexicano, José Luis Reyes Araiza, Alejandro Manzano-Ramírez, Salomón Ramiro Vásquez García, Nelly Flores-Ramírez, Carlos Montoya Suárez and Edain Belén Pérez Mendoza
Polymers 2025, 17(24), 3263; https://doi.org/10.3390/polym17243263 - 9 Dec 2025
Viewed by 528
Abstract
This work presents a multifactorial strategy for reusing waste thermoplastics and generating multifunctional filaments for additive manufacturing. Acrylonitrile–butadiene–styrene (ABS) waste and commercial poly(methyl methacrylate) (PMMA) were compounded with carbon black (CB), graphene (G), or graphene foam (GF) at different loadings and extruded into [...] Read more.
This work presents a multifactorial strategy for reusing waste thermoplastics and generating multifunctional filaments for additive manufacturing. Acrylonitrile–butadiene–styrene (ABS) waste and commercial poly(methyl methacrylate) (PMMA) were compounded with carbon black (CB), graphene (G), or graphene foam (GF) at different loadings and extruded into composite filaments. The aim is to couple filler-induced bulk modifications with atmospheric pressure plasma jet (APPJ) surface coatings of TiO2 and graphene oxide (GO) to obtain waste-derived filaments with tunable morphology, wettability, and thermal stability for advanced 3D-printed architectures. The filaments were subsequently coated with TiO2 and/or GO using an APPJ process, which tailored surface wettability and enabled the formation of photocatalytically relevant interfaces. Digital optical microscopy and SEM revealed that CB, G, and GF were reasonably well dispersed in both polymer matrices but induced distinct surface and cross-sectional morphologies, including a carbon-rich outer crust in ABS and filler-dependent porosity in PMMA. For ABS composites, static contact-angle measurements show that APPJ coatings broaden the apparent wettability window from ~60–80° for uncoated filaments to ~40–50° (TiO2/GO) up to >90° (GO), corresponding to a ≈150% increase in contact-angle span. For PMMA/CB composites, TiO2/GO coatings expand the accessible contact-angle range to ~15–125° while maintaining surface energies around 50 mN m−1. TGA/DSC analyses confirm that the composites and coatings remain thermally stable within typical extrusion and APPJ processing ranges, with graphene showing only ≈3% mass loss over the explored temperature range, compared with ≈65% for CB and ≈10% for GF. Fused deposition modeling trials verify the printability and dimensional fidelity of ABS-based composite filaments, whereas PMMA composites were too brittle for reliable FDM printing. Overall, combining waste polymer reuse, tailored carbonaceous fillers, and APPJ TiO2/GO coatings provides a versatile route to design surface-engineered filaments for applications such as photocatalysis, microfluidics, and soft robotics within a circular polymer manufacturing framework. Full article
Show Figures

Graphical abstract

12 pages, 1738 KB  
Article
Development of a Low-Particle Emission Linear Atmospheric Plasma Device for Hydrophilization of Silicon Wafers
by Sho Yoshida, Koki Hihara, Junnosuke Furuya, Taiki Osawa, Akane Yaida, Nobuhiko Nishiyama and Akitoshi Okino
Appl. Sci. 2025, 15(19), 10349; https://doi.org/10.3390/app151910349 - 24 Sep 2025
Viewed by 757
Abstract
We developed a low-particle emission linear atmospheric plasma device for hydrophilizing silicon wafers, aiming to improve semiconductor manufacturing processes. The device generates a stable plasma curtain using argon or helium gas under specific frequency and power conditions, enabling large-area surface treatment without causing [...] Read more.
We developed a low-particle emission linear atmospheric plasma device for hydrophilizing silicon wafers, aiming to improve semiconductor manufacturing processes. The device generates a stable plasma curtain using argon or helium gas under specific frequency and power conditions, enabling large-area surface treatment without causing damage. Experimental results demonstrated uniform hydrophilization, characterized by a substantial reduction in water contact angle and minimal particle emission, outperforming conventional jet-type plasma systems. TOF-SIMS analysis confirmed the absence of metal contamination, validating the device’s cleanliness. This technology offers a promising alternative to wet chemical treatments, contributing to environmentally friendly and efficient wafer bonding processes. Full article
Show Figures

Figure 1

25 pages, 8922 KB  
Article
Hybrid Grey–Fuzzy Approach for Optimizing Circular Quality Responses in Plasma Jet Manufacturing of Aluminum Alloy
by Ivan Peko, Boris Crnokić, Jelena Čulić-Viskota and Tomislav Matić
Appl. Sci. 2025, 15(13), 7447; https://doi.org/10.3390/app15137447 - 2 Jul 2025
Cited by 1 | Viewed by 1108
Abstract
Plasma jet cutting is a non-conventional process commonly used in modern industry for processing metal sheets and preparing them for subsequent technological steps. In this context it is very important to achieve the best possible final-quality workpiece to minimize additional post-processing costs, and [...] Read more.
Plasma jet cutting is a non-conventional process commonly used in modern industry for processing metal sheets and preparing them for subsequent technological steps. In this context it is very important to achieve the best possible final-quality workpiece to minimize additional post-processing costs, and time. This is especially challenging by the plasma jet processing of aluminum and its alloys. In this paper, a comprehensive analysis regarding the machinability and optimal circular quality of aluminum alloy 5083 was performed. Process parameters whose effects were analyzed are the cutting speed, arc current and cutting height. The circular quality was considered through responses: the circular kerf width, circular bevel angle, and circularity error on the top and bottom sheet of the metal side. To design functional relations between the process inputs and quality performances, an artificial intelligence fuzzy logic technique supported by ANOVA was applied. In order to define the process conditions that result in optimal cut quality responses, the multi-objective optimization of hybrid grey relational analysis (GRA) and the fuzzy logic approach was presented. Corresponding surface plots were created to determine the Pareto front of optimal solutions that simultaneously optimize all circular quality objective functions. The optimization procedure was confirmed through a test in which the mean absolute percentage error represented as the validation metric. Full article
(This article belongs to the Special Issue Advances in Manufacturing and Machining Processes)
Show Figures

Figure 1

18 pages, 4873 KB  
Article
Computational Modeling of the Effect of Nitrogen on the Plasma Spray Process with Ar–H2–N2 Mixtures
by Byeongryun Jeon, Hansol Kwon, Yeon Woo Yoo, Do Hyun Kim, Youngjin Park, Yong-jin Kang, Anthony B. Murphy and Hunkwan Park
Processes 2025, 13(4), 1155; https://doi.org/10.3390/pr13041155 - 10 Apr 2025
Cited by 5 | Viewed by 1570
Abstract
Plasma spray coating employs a high-temperature plasma jet to melt and deposit powdered materials onto substrates and plays a critical role in aerospace and manufacturing. Despite its importance, the influence of torch behavior, particularly the thermal response of plasma to gas composition changes, [...] Read more.
Plasma spray coating employs a high-temperature plasma jet to melt and deposit powdered materials onto substrates and plays a critical role in aerospace and manufacturing. Despite its importance, the influence of torch behavior, particularly the thermal response of plasma to gas composition changes, remains inadequately characterized. In this study, a three-dimensional MHD simulation using OpenFOAM (v2112) was performed on a Metco 9MB plasma torch operating in an Ar–H2–N2 environment under the LTE assumption to investigate the effect of nitrogen addition. The simulation revealed that increasing nitrogen levels results in a dual effect on the temperature distribution: temperatures rise near the cathode tip and decrease downstream, likely due to variations in the net emission coefficient and enthalpy characteristics of nitrogen. Furthermore, although the outlet velocity remained largely unaffected, the Mach number increased as the nitrogen reduced the speed of sound. These findings provide essential insights for optimizing ternary gas mixtures to enhance coating efficiency in thermal spray applications. Full article
(This article belongs to the Section Materials Processes)
Show Figures

Figure 1

12 pages, 2863 KB  
Article
Natural Fiber-Reinforced Composite Incorporated with Anhydride-Cured Epoxidized Linseed-Oil Resin and Atmospheric Pressure Plasma-Treated Flax Fibers
by Sofya Savicheva, Bastian E. Rapp and Nico Teuscher
Materials 2024, 17(17), 4244; https://doi.org/10.3390/ma17174244 - 28 Aug 2024
Cited by 6 | Viewed by 1999
Abstract
Fiber-reinforced composites (FRCs) represent a promising class of engineering materials due to their mechanical performance. However, the vast majority of FRCs are currently manufactured using carbon and glass fibers, which raises concerns because of the difficulties in recycling and the reliance on finite [...] Read more.
Fiber-reinforced composites (FRCs) represent a promising class of engineering materials due to their mechanical performance. However, the vast majority of FRCs are currently manufactured using carbon and glass fibers, which raises concerns because of the difficulties in recycling and the reliance on finite fossil resources. On the other hand, the use of natural fibers is still hampered due to the problems such as, e.g., differences in polarity between the reinforcement and the polymer matrix components, leading to a significant decrease in composite durability. In this work, we present a natural fiber-reinforced composite (NFRC), incorporating plasma pre-treated flax fibers as the reinforcing element, thermoplastic polylactic acid (PLA) as a matrix, and a key point of the current study—a thermoset coating based on epoxidized linseed oil for adhesion improvement. Using atmospheric plasma-jet treatment allows for increasing the fiber’s surface energy from 20 to 40 mN/m. Furthermore, a thermoset coating layer based on epoxidized linseed oil, in conjunction with dodecyl succinic anhydride (DDSA) as a curing agent and 2,4,6-tris(dimethyl amino methyl) phenol (DMP-30) as a catalyst, has been developed. This coated layer exhibits a decomposition temperature of 350 °C, and there is a substantial increase in the dispersive surface-energy part of the coated flax fibers from 8 to 30 mN/m. The obtained natural fiber-reinforced composite (NFRC) was prepared by belt-pressing with a PLA film, and its mechanical properties were evaluated by tensile testing. The results showed an elastic modulus up to 18.3 GPa, which is relevant in terms of mechanical properties and opens up a new pathway to use natural-based fiber-reinforced bio-based materials as a convenient approach to greener FRCs. Full article
Show Figures

Figure 1

14 pages, 3765 KB  
Article
Surface Finishing and Coating Parameters Impact on Additively Manufactured Binder-Jetted Steel–Bronze Composites
by Andrew C. Grizzle, Amy Elliott, Kate L. Klein and Pawan Tyagi
Materials 2024, 17(3), 598; https://doi.org/10.3390/ma17030598 - 26 Jan 2024
Cited by 3 | Viewed by 2274
Abstract
In this paper, electroless nickel plating is explored for the protection of binder-jetting-based additively manufactured (AM) composite materials. Electroless nickel plating was attempted on binder-jetted composites composed of stainless steel and bronze, resulting in differences in the physicochemical properties. We investigated the impact [...] Read more.
In this paper, electroless nickel plating is explored for the protection of binder-jetting-based additively manufactured (AM) composite materials. Electroless nickel plating was attempted on binder-jetted composites composed of stainless steel and bronze, resulting in differences in the physicochemical properties. We investigated the impact of surface finishing, plating solution chemistry, and plating parameters to attain a wide range of surface morphologies and roughness levels. We employed the Keyence microscope to quantitatively evaluate dramatically different surface properties before and after the coating of AM composites. Scanning electron microscopy revealed a wide range of microstructural properties in relation to each combination of surface finishing and coating parameters. We studied chempolishing, plasma cleaning, and organic cleaning as the surface preparation methods prior to coating. We found that surface preparation dictated the surface roughness. Taguchi statistical analysis was performed to investigate the relative strength of experimental factors and interconnectedness among process parameters to attain optimum coating qualities. The quantitative impacts of phosphorous level, temperature, surface preparation, and time factor on the roughness of the nickel-plated surface were 17.95%, 8.2%, 50.02%, and 13.21%, respectively. On the other hand, the quantitative impacts of phosphorous level, temperature, surface preparation, and time factor on the thickness of nickel plating were 35.12%, 41.40%, 3.87%, and 18.24%, respectively. The optimum combination of the factors’ level projected the lowest roughness of Ra at 7.76 µm. The optimum combination of the factors’ level projected the maximum achievable thickness of ~149 µm. This paper provides insights into coating process for overcoming the sensitivity of AM composites in hazardous application spaces via robust coating. Full article
(This article belongs to the Special Issue Heat Treatment of Additive Manufacturing-Processed Alloys)
Show Figures

Figure 1

9 pages, 266 KB  
Editorial
New Challenges in Nuclear Fusion Reactors: From Data Analysis to Materials and Manufacturing
by Emmanuele Peluso, Ekaterina Pakhomova and Michela Gelfusa
Appl. Sci. 2023, 13(10), 6240; https://doi.org/10.3390/app13106240 - 19 May 2023
Cited by 6 | Viewed by 6832
Abstract
The construction and operation of the first generation of magnetically controlled nuclear fusion power plants require the development of proper physics and the engineering bases. The analysis of data, recently collected by the actual largest and most important tokamak in the world JET, [...] Read more.
The construction and operation of the first generation of magnetically controlled nuclear fusion power plants require the development of proper physics and the engineering bases. The analysis of data, recently collected by the actual largest and most important tokamak in the world JET, that has successfully completed his second deuterium and tritium campaign in 2021 (DTE2) with a full ITER like wall main chamber, has provided an important consolidation of the ITER physics basis. Thermonuclear plasmas are highly nonlinear systems characterized by the need of numerous diagnostics to measure physical quantities to guide, through proper control schemes, external actuators. Both modelling and machine learning approaches are required to maximize the physical understanding of plasma dynamics and at the same time, engineering challenges have to be faced. Fusion experiments are indeed extremely hostile environments for plasma facing materials (PFM) and plasma-facing components (PFC), both in terms of neutron, thermal loads and mechanical stresses that the components have to face during either steady operation or off-normal events. Efforts are therefore spent by the community to reach the ultimate goal ahead: turning on the first nuclear fusion power plant, DEMO, by 2050. This editorial is dedicated at reviewing some aspects touched in recent studies developed in this dynamic, challenging project, collected by the special issue titled “New Challenges in Nuclear Fusion Reactors: From Data Analysis to Materials and Manufacturing”. Full article
46 pages, 16535 KB  
Review
Polishing Approaches at Atomic and Close-to-Atomic Scale
by Zhichao Geng, Ning Huang, Marco Castelli and Fengzhou Fang
Micromachines 2023, 14(2), 343; https://doi.org/10.3390/mi14020343 - 29 Jan 2023
Cited by 26 | Viewed by 7004
Abstract
Roughness down to atomic and close-to-atomic scale is receiving an increasing attention in recent studies of manufacturing development, which can be realized by high-precision polishing processes. This review presents polishing approaches at atomic and close-to-atomic scale on planar and curved surfaces, including chemical [...] Read more.
Roughness down to atomic and close-to-atomic scale is receiving an increasing attention in recent studies of manufacturing development, which can be realized by high-precision polishing processes. This review presents polishing approaches at atomic and close-to-atomic scale on planar and curved surfaces, including chemical mechanical polishing, plasma-assisted polishing, catalyst-referred etching, bonnet polishing, elastic emission machining, ion beam figuring, magnetorheological finishing, and fluid jet polishing. These polishing approaches are discussed in detail in terms of removal mechanisms, polishing systems, and industrial applications. The authors also offer perspectives for future studies to address existing and potential challenges and promote technological progress. Full article
(This article belongs to the Section D:Materials and Processing)
Show Figures

Figure 1

10 pages, 2059 KB  
Article
Development of the W7-X Alkali Metal Beam Diagnostic Observation System for OP2
by Domonkos Nagy, Sándor Zoletnik, Matthias Otte, Miklós Vécsei, Maciej Krychowiak, Ralf König, Dániel Dunai, Gábor Anda, Sándor Hegedűs, Barnabás Csillag, Imre Katona and W7-X Team
J. Nucl. Eng. 2023, 4(1), 142-151; https://doi.org/10.3390/jne4010010 - 18 Jan 2023
Cited by 2 | Viewed by 2712
Abstract
On a Wendelstein 7-X (W7-X), an alkali metal beam (AMB) diagnostic system was installed in order to measure the plasma edge electron density profiles and turbulence transport. A sodium beam was injected in the plasma, and the light emission was observed by an [...] Read more.
On a Wendelstein 7-X (W7-X), an alkali metal beam (AMB) diagnostic system was installed in order to measure the plasma edge electron density profiles and turbulence transport. A sodium beam was injected in the plasma, and the light emission was observed by an optical system. During the last operation phase, OP1.2b campaign trial spectral measurements were performed with a dedicated optical branch. The results showed the emergence of potential CX lines in the light spectra during sodium injection. The lines were identified as Carbon III, which were the dominant lines observed by other diagnostics at the edge plasma. Based on these results, an additional dedicated optical system was developed and installed in 2021 for the upcoming operational phase, OP2. The optics were designed for multiple purposes: spectral measurements for the AMB system and for a He/Ne gas jet. The system was designed to allow implementation of further diagnostics on this port later (e.g., coherence imaging system). The details of the implementation of the design requirements and the main challenges of the manufacturing process and installation are discussed in this paper. Full article
Show Figures

Figure 1

15 pages, 2698 KB  
Article
Cold Spraying of Thick Biomimetic and Stoichiometric Apatite Coatings for Orthopaedic Implants
by Ambra Paterlini, Joël Alexis, Yannick Balcaen and Ghislaine Bertrand
Coatings 2022, 12(6), 722; https://doi.org/10.3390/coatings12060722 - 24 May 2022
Cited by 7 | Viewed by 3103
Abstract
Ceramic coatings have a long history in the orthopaedic field, with plasma sprayed coatings of hydroxyapatite as leading standard in the manufacturing process; however, these coatings can contain secondary phases resulting from the decomposition of hydroxyapatite at high temperatures, which limit the lifetime [...] Read more.
Ceramic coatings have a long history in the orthopaedic field, with plasma sprayed coatings of hydroxyapatite as leading standard in the manufacturing process; however, these coatings can contain secondary phases resulting from the decomposition of hydroxyapatite at high temperatures, which limit the lifetime of implants and their osseointegration. This work aims to produce coatings that can maximize bone osseointegration of metallic implants. In order to preserve the raw characteristics of hydroxyapatite powders that are thermally unstable, coatings were deposited by cold spray onto Ti6Al4V alloy substrates. In contrast with other thermal spray technologies, this process presents the advantage of spraying particles through a supersonic gas jet at a low temperature. On top of hydroxyapatite, carbonated nanocrystalline apatite was synthesized and sprayed. This biomimetic apatite is similar to bone minerals due to the presence of carbonates and its poor crystallinity. FTIR and XRD analyses proved that the biomimetic characteristics and the non-stoichiometric of the apatite were preserved in the cold spray coatings. The cold spray process did not affect the chemistry of the raw material. The adhesion of the coatings as well as their thicknesses were evaluated, showing values comparable to conventional process. Cold spraying appears as a promising method to preserve the characteristics of calcium phosphate ceramics and to produce coatings that offer potentially improved osseointegration. Full article
(This article belongs to the Special Issue Cold Gas Spray Coatings: Fundamentals and Applications)
Show Figures

Figure 1

12 pages, 3931 KB  
Article
High-Accuracy Surface Topography Manufacturing for Continuous Phase Plates Using an Atmospheric Pressure Plasma Jet
by Huiliang Jin, Caixue Tang, Haibo Li, Yuanhang Zhang and Yaguo Li
Micromachines 2021, 12(6), 683; https://doi.org/10.3390/mi12060683 - 10 Jun 2021
Cited by 3 | Viewed by 2687
Abstract
The continuous phase plate (CPP) is the vital diffractive optical element involved in laser beam shaping and smoothing in high-power laser systems. The high gradients, small spatial periods, and complex features make it difficult to achieve high accuracy when manufacturing such systems. A [...] Read more.
The continuous phase plate (CPP) is the vital diffractive optical element involved in laser beam shaping and smoothing in high-power laser systems. The high gradients, small spatial periods, and complex features make it difficult to achieve high accuracy when manufacturing such systems. A high-accuracy and high-efficiency surface topography manufacturing method for CPP is presented in this paper. The atmospheric pressure plasma jet (APPJ) system is presented and the removal characteristics are studied to obtain the optimal processing parameters. An optimized iterative algorithm based on the dwell point matrix and a fast Fourier transform (FFT) is proposed to improve the accuracy and efficiency in the dwell time calculation process. A 120 mm × 120 mm CPP surface topography with a 1326.2 nm peak-to-valley (PV) value is fabricated with four iteration steps after approximately 1.6 h of plasma processing. The residual figure error between the prescribed surface topography and plasma-processed surface topography is 28.08 nm root mean square (RMS). The far-field distribution characteristic of the plasma-fabricated surface is analyzed, for which the energy radius deviation is 11 μm at 90% encircled energy. The experimental results demonstrates the potential of the APPJ approach for the manufacturing of complex surface topographies. Full article
(This article belongs to the Special Issue Frontiers in Ultra-Precision Machining)
Show Figures

Figure 1

13 pages, 2608 KB  
Article
Extracellular Vesicle Isolation Yields Increased by Low-Temperature Gaseous Plasma Treatment of Polypropylene Tubes
by Matic Resnik, Janez Kovač, Roman Štukelj, Veronika Kralj-Iglič, Petr Humpolíček and Ita Junkar
Polymers 2020, 12(10), 2363; https://doi.org/10.3390/polym12102363 - 15 Oct 2020
Cited by 4 | Viewed by 2881
Abstract
Novel Extracellular Vesicles (EVs) based diagnostic techniques are promising non-invasive procedures for early stage disease detection which are gaining importance in the medical field. EVs are cell derived particles found in body liquids, especially blood, from which they are isolated for further analysis. [...] Read more.
Novel Extracellular Vesicles (EVs) based diagnostic techniques are promising non-invasive procedures for early stage disease detection which are gaining importance in the medical field. EVs are cell derived particles found in body liquids, especially blood, from which they are isolated for further analysis. However, techniques for their isolation are not fully standardized and require further improvement. Herein modification of polypropylene (PP) tubes by cold Atmospheric Pressure Plasma Jet (APPJ) is suggested to minimize the EVs to surface binding and thus increase EVs isolation yields. The influence of gaseous plasma treatment on surface morphology was studied by Atomic Force Microscopy (AFM), changes in surface wettability by measuring the Water Contact Angle (WCA), while surface chemical changes were analyzed by X-Ray Photoelectron Spectroscopy (XPS). Moreover, PP tubes from different manufacturers were compared. The final isolation yields of EVs were evaluated by flow cytometry. The results of this study suggest that gaseous plasma treatment is an intriguing technique to uniformly alter surface properties of PP tubes and improve EVs isolation yields up to 42%. Full article
(This article belongs to the Special Issue Surface Chemistry of Polymers)
Show Figures

Graphical abstract

14 pages, 4930 KB  
Article
Fabrication of Silicon Carbide Fiber-Reinforced Silicon Carbide Matrix Composites Using Binder Jetting Additive Manufacturing from Irregularly-Shaped and Spherical Powders
by Igor Polozov, Nikolay Razumov, Dmitriy Masaylo, Alexey Silin, Yuliya Lebedeva and Anatoly Popovich
Materials 2020, 13(7), 1766; https://doi.org/10.3390/ma13071766 - 9 Apr 2020
Cited by 72 | Viewed by 10947
Abstract
In this paper, silicon carbide fiber-reinforced silicon carbide (SiCf/SiC) composites were fabricated using binder jetting additive manufacturing followed by polymer infiltration and pyrolysis. Spherical SiC powders were produced using milling, spray drying, and thermal plasma treatment, and were characterized using SEM [...] Read more.
In this paper, silicon carbide fiber-reinforced silicon carbide (SiCf/SiC) composites were fabricated using binder jetting additive manufacturing followed by polymer infiltration and pyrolysis. Spherical SiC powders were produced using milling, spray drying, and thermal plasma treatment, and were characterized using SEM and XRD methods. Irregularly shaped and spherical SiC powders were used to obtain SiCf/SiC blends for the application in binder jetting. The effect of SiC powder shape on densification behavior, microstructure, and mechanical properties of binder jetted SiCf/SiC composites was evaluated. The highest density of 2.52 g/cm3 was obtained after six polymer infiltration and pyrolysis cycles. The microstructure and mechanical properties of the fabricated SiCf/SiC composites were characterized. Using the spherical SiC powder resulted in higher fracture toughness and hardness, but lower flexural strength compared to the irregularly shaped powder. It was shown that it is feasible to fabricate dense SiCf/SiC composites using binder jetting followed by polymer infiltration and pyrolysis. Full article
(This article belongs to the Special Issue Materials, Design and Process Development for Additive Manufacturing)
Show Figures

Graphical abstract

11 pages, 2044 KB  
Article
A Calibrated Lumped Element Model for the Prediction of PSJ Actuator Efficiency Performance
by Matteo Chiatto, Andrea Palumbo and Luigi De Luca
Actuators 2018, 7(1), 10; https://doi.org/10.3390/act7010010 - 16 Mar 2018
Cited by 11 | Viewed by 5580
Abstract
Among the various active flow control techniques, Plasma Synthetic Jet (PSJ) actuators, or Sparkjets, represent a very promising technology, especially because of their high velocities and short response times. A practical tool, employed for design and manufacturing purposes, consists of the definition of [...] Read more.
Among the various active flow control techniques, Plasma Synthetic Jet (PSJ) actuators, or Sparkjets, represent a very promising technology, especially because of their high velocities and short response times. A practical tool, employed for design and manufacturing purposes, consists of the definition of a low-order model, lumped element model (LEM), which is able to predict the dynamic response of the actuator in a relatively quick way and with reasonable fidelity and accuracy. After a brief description of an innovative lumped model, this work faces the experimental investigation of a home-designed and manufactured PSJ actuator, for different frequencies and energy discharges. Particular attention has been taken in the power supply system design. A specific home-made Pitot tube has allowed the detection of velocity profiles along the jet radial direction, for various energy discharges, as well as the tuning of the lumped model with experimental data, where the total device efficiency has been assumed as a fitting parameter. The best fitting value not only contains information on the actual device efficiency, but includes some modeling and experimental uncertainties, related also to the used measurement technique. Full article
Show Figures

Figure 1

Back to TopTop