Sign in to use this feature.

Years

Between: -

Subjects

remove_circle_outline
remove_circle_outline
remove_circle_outline
remove_circle_outline
remove_circle_outline
remove_circle_outline

Journals

Article Types

Countries / Regions

Search Results (23)

Search Parameters:
Keywords = picrotoxin

Order results
Result details
Results per page
Select all
Export citation of selected articles as:
14 pages, 3140 KB  
Article
Human Stem Cell-Derived Neural Organoids for the Discovery of Antiseizure Agents
by Hamed Salmanzadeh and Robert F. Halliwell
Receptors 2025, 4(3), 12; https://doi.org/10.3390/receptors4030012 - 20 Jun 2025
Cited by 1 | Viewed by 2484
Abstract
Background: The development of cerebral organoids created from human pluripotent stem cells in 3D culture may greatly improve the discovery of neuropsychiatric medicines. Methods: In the current study we differentiated neural organoids from a human pluripotent stem cell line in vitro, [...] Read more.
Background: The development of cerebral organoids created from human pluripotent stem cells in 3D culture may greatly improve the discovery of neuropsychiatric medicines. Methods: In the current study we differentiated neural organoids from a human pluripotent stem cell line in vitro, recorded the development of neurophysiological activity using multielectrode arrays (MEAs) and characterized the neuropharmacology of synaptic signaling over 8 months in vitro. In addition, we investigated the ability of these organoids to display epileptiform activity in response to a convulsant agent and the effects of antiseizure medicines to inhibit this abnormal activity. Results: Single and bursts of action potentials from individual neurons and network bursts were recorded on the MEA plates and significantly increased and became more complex from week 7 to week 30, consistent with neural network formation. Neural spiking was reduced by the Na channel blocker tetrodotoxin but increased by the inhibitor of KV7 potassium channels XE991, confirming the involvement of voltage-gated sodium and potassium channels in action potential activity. The GABA antagonists bicuculline and picrotoxin each increased the spike rate, consistent with inhibitory synaptic signaling. In contrast, the glutamate receptor antagonist kynurenic acid inhibited the spike rate, consistent with excitatory synaptic transmission in the organoids. The convulsant 4-aminopyridine increased spiking, bursts and synchronized firing, consistent with epileptiform activity in vitro. The anticonvulsants carbamazepine, ethosuximide and diazepam each inhibited this epileptiform neural activity. Conclusions: Together, our data demonstrate that neural organoids form inhibitory and excitatory synaptic circuits, generate epileptiform activity in response to a convulsant agent and detect the antiseizure properties of diverse antiepileptic drugs, supporting their value in drug discovery. Full article
Show Figures

Graphical abstract

22 pages, 4044 KB  
Article
Downregulation of Ribosomal Protein Genes Is Revealed in a Model of Rat Hippocampal Neuronal Culture Activation with GABA(A)R/GlyRa2 Antagonist Picrotoxin
by Alexander Beletskiy, Anastasia Zolotar, Polina Fortygina, Ekaterina Chesnokova, Leonid Uroshlev, Pavel Balaban and Peter Kolosov
Cells 2024, 13(5), 383; https://doi.org/10.3390/cells13050383 - 23 Feb 2024
Cited by 3 | Viewed by 2364
Abstract
Long-read transcriptome sequencing provides us with a convenient tool for the thorough study of biological processes such as neuronal plasticity. Here, we aimed to perform transcriptional profiling of rat hippocampal primary neuron cultures after stimulation with picrotoxin (PTX) to further understand molecular mechanisms [...] Read more.
Long-read transcriptome sequencing provides us with a convenient tool for the thorough study of biological processes such as neuronal plasticity. Here, we aimed to perform transcriptional profiling of rat hippocampal primary neuron cultures after stimulation with picrotoxin (PTX) to further understand molecular mechanisms of neuronal activation. To overcome the limitations of short-read RNA-Seq approaches, we performed an Oxford Nanopore Technologies MinION-based long-read sequencing and transcriptome assembly of rat primary hippocampal culture mRNA at three time points after the PTX activation. We used a specific approach to exclude uncapped mRNAs during sample preparation. Overall, we found 23,652 novel transcripts in comparison to reference annotations, out of which ~6000 were entirely novel and mostly transposon-derived loci. Analysis of differentially expressed genes (DEG) showed that 3046 genes were differentially expressed, of which 2037 were upregulated and 1009 were downregulated at 30 min after the PTX application, with only 446 and 13 genes differentially expressed at 1 h and 5 h time points, respectively. Most notably, multiple genes encoding ribosomal proteins, with a high basal expression level, were downregulated after 30 min incubation with PTX; we suggest that this indicates redistribution of transcriptional resources towards activity-induced genes. Novel loci and isoforms observed in this study may help us further understand the functional mRNA repertoire in neuronal plasticity processes. Together with other NGS techniques, differential gene expression analysis of sequencing data obtained using MinION platform might provide a simple method to optimize further study of neuronal plasticity. Full article
(This article belongs to the Special Issue New Insights for GABA Function in the Central Nervous System)
Show Figures

Figure 1

16 pages, 2228 KB  
Article
Electric Field Effects on Brain Activity: Implications for Epilepsy and Burst Suppression
by Evan D. Doubovikov, Natalya A. Serdyukova, Steven B. Greenberg, David A. Gascoigne, Mohammed M. Minhaj and Daniil P. Aksenov
Cells 2023, 12(18), 2229; https://doi.org/10.3390/cells12182229 - 7 Sep 2023
Cited by 4 | Viewed by 2600
Abstract
Electric fields are now considered a major mechanism of epileptiform activity. However, it is not clear if another electrophysiological phenomenon, burst suppression, utilizes the same mechanism for its bursting phase. Thus, the purpose of this study was to compare the role of ephaptic [...] Read more.
Electric fields are now considered a major mechanism of epileptiform activity. However, it is not clear if another electrophysiological phenomenon, burst suppression, utilizes the same mechanism for its bursting phase. Thus, the purpose of this study was to compare the role of ephaptic coupling—the recruitment of neighboring cells via electric fields—in generating bursts in epilepsy and burst suppression. We used local injections of the GABA-antagonist picrotoxin to elicit epileptic activity and a general anesthetic, sevoflurane, to elicit burst suppression in rabbits. Then, we applied an established computational model of pyramidal cells to simulate neuronal activity in a 3-dimensional grid, with an additional parameter to trigger a suppression phase based on extra-cellular calcium dynamics. We discovered that coupling via electric fields was sufficient to produce bursting in scenarios where inhibitory control of excitatory neurons was sufficiently low. Under anesthesia conditions, bursting occurs with lower neuronal recruitment in comparison to seizures. Our model predicts that due to the effect of electric fields, the magnitude of bursts during seizures should be roughly 2–3 times the magnitude of bursts that occur during burst suppression, which is consistent with our in vivo experimental results. The resulting difference in magnitude between bursts during anesthesia and epileptiform bursts reflects the strength of the electric field effect, which suggests that burst suppression and epilepsy share the same ephaptic coupling mechanism. Full article
(This article belongs to the Special Issue Research Advances in Cellular and Molecular Biophysics)
Show Figures

Graphical abstract

14 pages, 1923 KB  
Article
Sleep-Enhancing Effect of Water Extract from Jujube (Zizyphus jujuba Mill.) Seeds Fermented by Lactobacillus brevis L32
by Gi Yeon Bae, Yejin Ahn, Ki-Bae Hong, Eun-Jin Jung, Hyung Joo Suh and Kyungae Jo
Foods 2023, 12(15), 2864; https://doi.org/10.3390/foods12152864 - 27 Jul 2023
Cited by 17 | Viewed by 6841
Abstract
Although Ziziphus jujuba Mill (jujube) is used in folk medicine for hypnotic sedative, anxiolytic, and many other purposes, to date, only a few studies have revealed its sleep-promoting effects and related mechanisms. Currently, drugs used for the treatment of sleep disorders have various [...] Read more.
Although Ziziphus jujuba Mill (jujube) is used in folk medicine for hypnotic sedative, anxiolytic, and many other purposes, to date, only a few studies have revealed its sleep-promoting effects and related mechanisms. Currently, drugs used for the treatment of sleep disorders have various side effects, so it is essential to develop safe natural materials. Therefore, we evaluated the sleep-enhancing activity and mechanism of action of an aqueous extract of jujube seeds (ZW) fermented with Lactobacillus brevis L-32 in rodent models. The starch contained in ZW was removed by enzymatic degradation and fermented with L. brevis to obtain a fermented product (ZW-FM) with a high γ-aminobutyric acid (GABA) content. To evaluate the sleep-promoting effect of ZW-FM, pentobarbital-induced sleep tests were performed on ICR mice, and electroencephalography analysis was undertaken in Sprague Dawley rats. Additionally, the awakening relief effects of ZW-FM were confirmed in a caffeine-induced insomnia model. Finally, the mechanism of sleep enhancement by ZW-FM was analyzed using GABA receptor type A (GABAA) antagonists. The ZW-FM-treated groups (100 and 150 mg/kg) showed increased sleep time, especially the δ-wave time during non-rapid eye movement (NREM) sleep. In addition, the 150 mg/kg ZW-FM treatment group showed decreased sleep latency and increased sleep time in the insomnia model. In particular, NREM sleep time was increased and REM sleep time, which was increased by caffeine treatment, was decreased by ZW-FM treatment. ZW-FM-induced sleep increase was inhibited by the GABAA receptor antagonists picrotoxin, bicuculline, and flumazenil, confirming that the increase was the result of a GABAergic mechanism. These results strongly suggest that the increased GABA in water extract from jujube seeds fermented by L. brevis acts as a sleep-promoting compound and that the sleep-promoting activity is related to GABAA receptor binding. Full article
(This article belongs to the Section Nutraceuticals, Functional Foods, and Novel Foods)
Show Figures

Graphical abstract

20 pages, 10482 KB  
Article
Anxiolytic-like Effects and Quantitative EEG Profile of Palmitone Induces Responses Like Buspirone Rather Than Diazepam as Clinical Drugs
by Daniela Onofre-Campos, María Eva González-Trujano, Gabriel Fernando Moreno-Pérez, Fernando Narváez-González, José David González-Gómez, Benjamín Villasana-Salazar and David Martínez-Vargas
Molecules 2023, 28(9), 3680; https://doi.org/10.3390/molecules28093680 - 24 Apr 2023
Cited by 6 | Viewed by 3407
Abstract
Anxiety is a mental disorder with a growing worldwide incidence due to the SARS-CoV-2 virus pandemic. Pharmacological therapy includes drugs such as benzodiazepines (BDZs) or azapirones like buspirone (BUSP) or analogs, which unfortunately produce severe adverse effects or no immediate response, respectively. Medicinal [...] Read more.
Anxiety is a mental disorder with a growing worldwide incidence due to the SARS-CoV-2 virus pandemic. Pharmacological therapy includes drugs such as benzodiazepines (BDZs) or azapirones like buspirone (BUSP) or analogs, which unfortunately produce severe adverse effects or no immediate response, respectively. Medicinal plants or their bioactive metabolites are a shared global alternative to treat anxiety. Palmitone is one active compound isolated from Annona species due to its tranquilizing activity. However, its influence on neural activity and possible mechanism of action are unknown. In this study, an electroencephalographic (EEG) spectral power analysis was used to corroborate its depressant activity in comparison with the anxiolytic-like effects of reference drugs such as diazepam (DZP, 1 mg/kg) and BUSP (4 mg/kg) or 8-OH-DPAT (1 mg/kg), alone or in the presence of the GABAA (picrotoxin, PTX, 1 mg/kg) or serotonin 5-HT1A receptor antagonists (WAY100634, WAY, 1 mg/kg). The anxiolytic-like activity was assayed using the behavioral response of mice employing open-field, hole-board, and plus-maze tests. EEG activity was registered in both the frontal and parietal cortex, performing a 10 min baseline and 30 min recording after the treatments. As a result, anxiety-like behavior was significantly decreased in mice administered with palmitone, DZP, BUSP, or 8-OH-DPAT. The effect of palmitone was equivalent to that produced by 5-HT1A receptor agonists but 50% less effective than DZP. The presence of PTX and WAY prevented the anxiolytic-like response of DZP and 8-OH-DPAT, respectively. Whereas only the antagonist of the 5-HT1A receptor (WAY) inhibited the palmitone effects. Palmitone and BUSP exhibited similar changes in the relative power bands after the spectral power analysis. This response was different to the changes induced by DZP. In conclusion, brain electrical activity was associated with the anxiolytic-like effects of palmitone implying a serotoninergic rather than a GABAergic mechanism of action. Full article
(This article belongs to the Special Issue Bioactivity and Analysis of Natural Products in Plants)
Show Figures

Figure 1

13 pages, 1976 KB  
Article
Functional Deficiency of Interneurons and Negative BOLD fMRI Response
by Daniil P. Aksenov, Limin Li, Natalya A. Serdyukova, David A. Gascoigne, Evan D. Doubovikov and Alexander Drobyshevsky
Cells 2023, 12(5), 811; https://doi.org/10.3390/cells12050811 - 6 Mar 2023
Cited by 4 | Viewed by 2986
Abstract
The functional deficiency of the inhibitory system typically appears during development and can progress to psychiatric disorders or epilepsy, depending on its severity, in later years. It is known that interneurons, the major source of GABAergic inhibition in the cerebral cortex, can make [...] Read more.
The functional deficiency of the inhibitory system typically appears during development and can progress to psychiatric disorders or epilepsy, depending on its severity, in later years. It is known that interneurons, the major source of GABAergic inhibition in the cerebral cortex, can make direct connections with arterioles and participate in the regulation of vasomotion. The goal of this study was to mimic the functional deficiency of interneurons through the use of localized microinjections of the GABA antagonist, picrotoxin, in such a concentration that it did not elicit epileptiform neuronal activity. First, we recorded the dynamics of resting-state neuronal activity in response to picrotoxin injections in the somatosensory cortex of an awake rabbit; second, we assessed the altered neuronal and hemodynamic responses to whisker stimulation using BOLD fMRI and electrophysiology recordings; third, we evaluated brain tissue oxygen levels before and after picrotoxin injection. Our results showed that neuronal activity typically increased after picrotoxin administration, the BOLD responses to stimulation became negative, and the oxygen response was nearly abolished. Vasoconstriction during the resting baseline was not observed. These results indicate that picrotoxin provoked imbalanced hemodynamics either due to increased neuronal activity, decreased vascular response, or a combination of both. Full article
(This article belongs to the Special Issue Remodeling and Recovery in the Neurovascular Unit)
Show Figures

Figure 1

24 pages, 2718 KB  
Article
Evaluation of the Anxiolytic and Anti-Epileptogenic Potential of Lactuca Serriola Seed Using Pentylenetetrazol-Induced Kindling in Mice and Metabolic Profiling of Its Bioactive Extract
by Muhammad Ihsan Ullah, Rukhsana Anwar, Shahzad Kamran, Bazgha Gul, Sameh S. Elhady and Fadia S. Youssef
Antioxidants 2022, 11(11), 2232; https://doi.org/10.3390/antiox11112232 - 12 Nov 2022
Cited by 11 | Viewed by 3683
Abstract
This study aimed to assess the potential of Lactuca serriola (Asteraceae) seed n-hexane, chloroform, methanol, and aqueous extracts as anticonvulsant, sedative, anticonvulsant and antiepileptic agents in Swiss albino mice. Different doses of each extract were evaluated for the anxiolytic potential using the [...] Read more.
This study aimed to assess the potential of Lactuca serriola (Asteraceae) seed n-hexane, chloroform, methanol, and aqueous extracts as anticonvulsant, sedative, anticonvulsant and antiepileptic agents in Swiss albino mice. Different doses of each extract were evaluated for the anxiolytic potential using the hole-board, the elevated plus maze and the light/dark test. A phenobarbitone-induced sleep test was employed for the evaluation of sedative potential. Acute anticonvulsant activity was evaluated by picrotoxin and strychnine-induced convulsion models. All extracts significantly reduced the number of head dips where n-hexane extract (400 mg/kg) showed 96.34% reduction in the tendency of head dipping when compared with the control. Mice treated with extracts preferred elevated plus maze open arms and were shown to lack open arms evasion, especially n-hexane extract (400 mg/kg)—which showed 456.14%—increased the duration of open arm stay with the respective control group. By reducing sleep latency and greatly lengthening sleep duration, L. serriola enhanced the effects of barbiturate-induced sleep. A significant increase in convulsion latency and decrease in convulsions induced by picrotoxin and strychnine duration was observed in all extract-treated groups. All the extracts exhibited anti-epileptogenic potential as the seizure score in pentylenetetrazol (PTZ)-induced kindling in mice was reduced significantly. Maximum protection was afforded by chloroform extract that reduced the seizure score by 79.93% compared with the PTZ group. Chloroform executed antioxidant effect by elevating super oxide dismutase (SOD) by 126%, catalase (CAT) by 83.53%, total glutathione (tGSH) by 149%, and reducing malondialdhyde (MDA) levels by 36.49% in the brain tissues that is further consolidated by histopathological examination. Metabolic profiling of the most active chloroform extract using Gas chromatography coupled with mass showed the presence of 16 compounds. This anti-epileptic activity was further confirmed via in silico molecular modelling studies in the active site Gamma-aminobutyric acid aminotransferase (GABA-AT) where all of the tested metabolites illustrated a potent inhibitory potential towards GABA-AT with hexadecanoic acid, 15-methyl-, methyl ester followed by octadecanoic acid, methyl ester showed the best fitting. The results indicated the possible anxiolytic and anti-epileptogenic potential of the plant and further consolidated the ethnopharmacological use of L. serriola seeds. Full article
(This article belongs to the Special Issue Antioxidant and Biological Properties of Plant Extracts II)
Show Figures

Figure 1

15 pages, 1936 KB  
Article
Aconitum Alkaloid Songorine Exerts Potent Gamma-Aminobutyric Acid-A Receptor Agonist Action In Vivo and Effectively Decreases Anxiety without Adverse Sedative or Psychomotor Effects in the Rat
by Zsolt Kristóf Bali, Nóra Bruszt, Zsombor Kőszegi, Lili Veronika Nagy, Tamás Atlasz, Péter Kovács, Dezső Csupor, Boglárka Csupor-Löffler and István Hernádi
Pharmaceutics 2022, 14(10), 2067; https://doi.org/10.3390/pharmaceutics14102067 - 28 Sep 2022
Cited by 9 | Viewed by 3181
Abstract
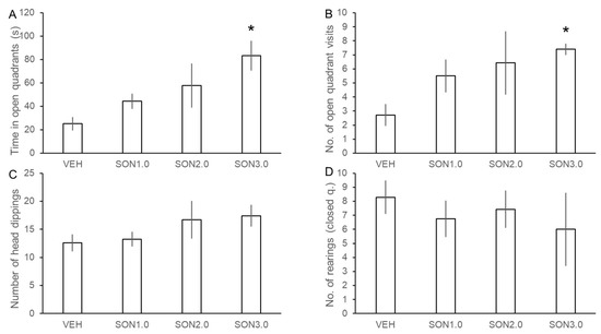
Songorine (SON) is a diterpenoid alkaloid from Aconitum plants. Preparations of Aconitum roots have been employed in traditional oriental herbal medicine, however, their mechanisms of action are still unclear. Since GABA-receptors are possible brain targets of SON, we investigated which subtypes of GABA-receptors [...] Read more.
Songorine (SON) is a diterpenoid alkaloid from Aconitum plants. Preparations of Aconitum roots have been employed in traditional oriental herbal medicine, however, their mechanisms of action are still unclear. Since GABA-receptors are possible brain targets of SON, we investigated which subtypes of GABA-receptors contribute to the effects of SON, and how SON affects anxiety-like trait behavior and psychomotor cognitive performance of rats. First, we investigated the effects of microiontophoretically applied SON alone and combined with GABA-receptor agents picrotoxin and saclofen on neuronal firing activity in various brain areas. Next, putative anxiolytic effects of SON (1.0–3.0 mg/kg) were tested against the GABA-receptor positive allosteric modulator reference compound diazepam (1.0–5.0 mg/kg) in the elevated zero maze (EOM). Furthermore, basic cognitive effects were assessed in a rodent version of the psychomotor vigilance task (PVT). Local application of SON predominantly inhibited the firing activity of neurons. This inhibitory effect of SON was successfully blocked by GABA(A)-receptor antagonist picrotoxin but not by GABA(B)-receptor antagonist saclofen. Similar to GABA(A)-receptor positive allosteric modulator diazepam, SON increased the time spent by animals in the open quadrants of the EOM without any signs of adverse psychomotor and cognitive effects observed in the PVT. We showed that, under in vivo conditions, SON acts as a potent GABA(A)-receptor agonist and effectively decreases anxiety without observable side effects. The present findings facilitate the deeper understanding of the mechanism of action and the widespread pharmacological use of diterpene alkaloids in various CNS indications. Full article
Show Figures

Graphical abstract

14 pages, 2873 KB  
Article
Picrotoxin Delineates Different Transport Configurations for Malate and γ Aminobutyric Acid through TaALMT1
by Sunita A. Ramesh, Yu Long, Abolfazl Dashtbani-Roozbehani, Matthew Gilliham, Melissa H. Brown and Stephen D. Tyerman
Biology 2022, 11(8), 1162; https://doi.org/10.3390/biology11081162 - 2 Aug 2022
Cited by 1 | Viewed by 4067
Abstract
Plant-derived pharmacological agents have been used extensively to dissect the structure–function relationships of mammalian GABA receptors and ion channels. Picrotoxin is a non-competitive antagonist of mammalian GABAA receptors. Here, we report that picrotoxin inhibits the anion (malate) efflux mediated by wheat ( [...] Read more.
Plant-derived pharmacological agents have been used extensively to dissect the structure–function relationships of mammalian GABA receptors and ion channels. Picrotoxin is a non-competitive antagonist of mammalian GABAA receptors. Here, we report that picrotoxin inhibits the anion (malate) efflux mediated by wheat (Triticum aestivum) ALMT1 but has no effect on GABA transport. The EC50 for inhibition was 0.14 nM and 0.18 nM when the ALMTs were expressed in tobacco BY2 cells and in Xenopus oocytes, respectively. Patch clamping of the oocyte plasma membrane expressing wheat ALMT1 showed that picrotoxin inhibited malate currents from both sides of the membrane. These results demonstrate that picrotoxin inhibits anion efflux effectively and can be used as a new inhibitor to study the ion fluxes mediated by ALMT proteins that allow either GABA or anion transport. Full article
(This article belongs to the Section Plant Science)
Show Figures

Figure 1

14 pages, 1812 KB  
Article
Stimulation of GABA Receptors in the Lateral Septum Rapidly Elicits Food Intake and Mediates Natural Feeding
by Ivett Gabriella, Andy Tseng, Kevin O. Sanchez, Himani Shah and Billy Glenn Stanley
Brain Sci. 2022, 12(7), 848; https://doi.org/10.3390/brainsci12070848 - 28 Jun 2022
Cited by 8 | Viewed by 3155
Abstract
The increasing prevalence of obesity and eating disorders makes identifying neural substrates controlling eating and regulating body weight a priority. Recent studies have highlighted the role of the lateral septum (LS) in eating control mechanisms. The current study explored the roles of gamma-aminobutyric [...] Read more.
The increasing prevalence of obesity and eating disorders makes identifying neural substrates controlling eating and regulating body weight a priority. Recent studies have highlighted the role of the lateral septum (LS) in eating control mechanisms. The current study explored the roles of gamma-aminobutyric acid (GABA) receptors within the LS in the control of food intake. Experiments with a rat model (n ≥ 11/group) showed that LS microinjection of the GABAA receptor agonist, muscimol, and the GABAB receptor agonist, baclofen hydrochloride (baclofen), elicited intense, dose-dependent feeding. In contrast, LS pretreatment with the GABAA receptor antagonist, picrotoxin, markedly reduced the muscimol-elicited feeding, and pretreatment injections with the GABAB receptor antagonist, 2-hydroxysaclofen (2-OH saclofen), reduced the baclofen evoked response. Next, we showed that picrotoxin injection at the beginning of the dark phase of the light-dark cycle—when rats show a burst of spontaneous eating—reduced naturally occurring feeding, whereas 2-OH saclofen was ineffective. These results indicate that the activation of LS GABAA and GABAB receptors strongly stimulates feeding and suggests potential roles in feeding control neurocircuitry. In particular, our evidence indicates that endogenous LS GABA and GABAA receptors may be involved in mediating naturally occurring nocturnal feeding. Full article
(This article belongs to the Section Behavioral Neuroscience)
Show Figures

Figure 1

16 pages, 2128 KB  
Article
Activation of the Rat α1β2ε GABAA Receptor by Orthosteric and Allosteric Agonists
by Allison L. Germann, Ariel B. Burbridge, Spencer R. Pierce and Gustav Akk
Biomolecules 2022, 12(7), 868; https://doi.org/10.3390/biom12070868 - 21 Jun 2022
Cited by 7 | Viewed by 2563
Abstract
GABAA receptors are a major contributor to fast inhibitory neurotransmission in the brain. The receptors are activated upon binding the transmitter GABA or allosteric agonists including a number of GABAergic anesthetics and neurosteroids. Functional receptors can be formed by various combinations of [...] Read more.
GABAA receptors are a major contributor to fast inhibitory neurotransmission in the brain. The receptors are activated upon binding the transmitter GABA or allosteric agonists including a number of GABAergic anesthetics and neurosteroids. Functional receptors can be formed by various combinations of the nineteen GABAA subunits cloned to date. GABAA receptors containing the ε subunit exhibit a significant degree of constitutive activity and have been suggested to be unresponsive to allosteric agents. In this study, we have characterized the functional properties of the rat α1β2ε GABAA receptor. We confirm that the α1β2ε receptor exhibits a higher level of constitutive activity than typical of GABAA receptors and show that it is inefficaciously activated by the transmitter and the allosteric agonists propofol, pentobarbital, and allopregnanolone. Manipulations intended to alter ε subunit expression and receptor stoichiometry were largely without effect on receptor properties including sensitivity to GABA and allosteric agonists. Surprisingly, amino acid substitutions at the conserved 9’ and 6’ positions in the second transmembrane (TM2) domain in the ε subunit did not elicit the expected functional effects of increased constitutive activity and resistance to the channel blocker picrotoxin, respectively. We tested the accessibility of TM2 residues mutated to cysteine using the cysteine-modifying reagent 4-(hydroxymercuri)benzoic acid and found a unique pattern of water-accessible residues in the ε subunit. Full article
(This article belongs to the Special Issue GABA(A) Receptors: Structure and Function)
Show Figures

Figure 1

16 pages, 2713 KB  
Article
Xenopus Oocytes: A Tool to Decipher Molecular Specificity of Insecticides towards Mammalian and Insect GABA—A Receptors
by Anaïs Bertaud, Thierry Cens, Rosanna Mary, Matthieu Rousset, Elodie Arel, Jean-Baptiste Thibaud, Michel Vignes, Claudine Ménard, Sébastien Dutertre, Claude Collet and Pierre Charnet
Membranes 2022, 12(5), 440; https://doi.org/10.3390/membranes12050440 - 19 Apr 2022
Cited by 6 | Viewed by 3270
Abstract
The number of insect GABA receptors (GABAr) available for expression studies has been recently increased by the cloning of the Acyrthosiphon pisum (pea aphid) RDL subunits. This large number of cloned RDL subunits from pest and beneficial insects opens the door to parallel [...] Read more.
The number of insect GABA receptors (GABAr) available for expression studies has been recently increased by the cloning of the Acyrthosiphon pisum (pea aphid) RDL subunits. This large number of cloned RDL subunits from pest and beneficial insects opens the door to parallel pharmacological studies on the sensitivity of these different insect GABAr to various agonists or antagonists. The resulting analysis of the molecular basis of the species-specific GABAr responses to insecticides is necessary not only to depict and understand species toxicity, but also to help at the early identification of unacceptable toxicity of insecticides toward beneficial insects such as Apis mellifera (honeybees). Using heterologous expression in Xenopus laevis oocytes, and two-electrode voltage-clamp recording to assess the properties of the GABAr, we performed a comparative analysis of the pharmacological sensitivity of RDL subunits from A. pisum, A. mellifera and Varroa destructor GABAr to three pesticides (fipronil, picrotoxin and dieldrin). These data were compared to similar characterizations performed on two Homo sapiens GABA-A receptors (α2β2γ2 and α2β2γ2). Our results underline a global conservation of the pharmacological profiles of these receptors, with some interesting species specificities, nonetheless, and suggest that this approach can be useful for the early identification of poorly specific molecules. Full article
(This article belongs to the Special Issue The Xenopus Oocyte: A Tool for Membrane Biology)
Show Figures

Figure 1

20 pages, 2303 KB  
Article
GABAA Receptor-Stabilizing Protein Ubqln1 Affects Hyperexcitability and Epileptogenesis after Traumatic Brain Injury and in a Model of In Vitro Epilepsy in Mice
by Tabea Kürten, Natascha Ihbe, Timo Ueberbach, Ute Distler, Malte Sielaff, Stefan Tenzer and Thomas Mittmann
Int. J. Mol. Sci. 2022, 23(7), 3902; https://doi.org/10.3390/ijms23073902 - 31 Mar 2022
Cited by 5 | Viewed by 3465
Abstract
Posttraumatic epilepsy (PTE) is a major public health concern and strongly contributes to human epilepsy cases worldwide. However, an effective treatment and prevention remains a matter of intense research. The present study provides new insights into the gamma aminobutyric acid A (GABAA [...] Read more.
Posttraumatic epilepsy (PTE) is a major public health concern and strongly contributes to human epilepsy cases worldwide. However, an effective treatment and prevention remains a matter of intense research. The present study provides new insights into the gamma aminobutyric acid A (GABAA)-stabilizing protein ubiquilin-1 (ubqln1) and its regulation in mouse models of traumatic brain injury (TBI) and in vitro epilepsy. We performed label-free quantification on isolated cortical GABAergic interneurons from GAD67-GFP mice that received unilateral TBI and discovered reduced expression of ubqln1 24 h post-TBI. To investigate the link between this regulation and the development of epileptiform activity, we further studied ubqln1 expression in hippocampal and cortical slices. Epileptiform events were evoked pharmacologically in acute brain slices by administration of picrotoxin (PTX, 50 μM) and kainic acid (KA, 500 nM) and recorded in the hippocampal CA1 subfield using Multi-electrode Arrays (MEA). Interestingly, quantitative Western blots revealed significant decreases in ubqln1 expression 1–7 h after seizure induction that could be restored by application of the non-selective monoamine oxidase inhibitor nialamide (NM, 10 μM). In picrotoxin-dependent dose–response relationships, NM administration alleviated the frequency and peak amplitude of seizure-like events (SLEs). These findings indicate a role of the monoamine transmitter systems and ubqln1 for cortical network activity during posttraumatic epileptogenesis. Full article
(This article belongs to the Special Issue The Molecular Brain and Its Health)
Show Figures

Figure 1

22 pages, 9973 KB  
Article
Rescue of Vasopressin Synthesis in Magnocellular Neurons of the Supraoptic Nucleus Normalises Acute Stress-Induced Adrenocorticotropin Secretion and Unmasks an Effect on Social Behaviour in Male Vasopressin-Deficient Brattleboro Rats
by Bibiána Török, Péter Csikota, Anna Fodor, Diána Balázsfi, Szilamér Ferenczi, Kornél Demeter, Zsuzsanna E. Tóth, Katalin Könczöl, Judith Camats Perna, Imre Farkas, Krisztina J. Kovács, József Haller, Mario Engelmann and Dóra Zelena
Int. J. Mol. Sci. 2022, 23(3), 1357; https://doi.org/10.3390/ijms23031357 - 25 Jan 2022
Cited by 6 | Viewed by 4390
Abstract
The relevance of vasopressin (AVP) of magnocellular origin to the regulation of the endocrine stress axis and related behaviour is still under discussion. We aimed to obtain deeper insight into this process. To rescue magnocellular AVP synthesis, a vasopressin-containing adeno-associated virus vector (AVP-AAV) [...] Read more.
The relevance of vasopressin (AVP) of magnocellular origin to the regulation of the endocrine stress axis and related behaviour is still under discussion. We aimed to obtain deeper insight into this process. To rescue magnocellular AVP synthesis, a vasopressin-containing adeno-associated virus vector (AVP-AAV) was injected into the supraoptic nucleus (SON) of AVP-deficient Brattleboro rats (di/di). We compared +/+, di/di, and AVP-AAV treated di/di male rats. The AVP-AAV treatment rescued the AVP synthesis in the SON both morphologically and functionally. It also rescued the peak of adrenocorticotropin release triggered by immune and metabolic challenges without affecting corticosterone levels. The elevated corticotropin-releasing hormone receptor 1 mRNA levels in the anterior pituitary of di/di-rats were diminished by the AVP-AAV-treatment. The altered c-Fos synthesis in di/di-rats in response to a metabolic stressor was normalised by AVP-AAV in both the SON and medial amygdala (MeA), but not in the central and basolateral amygdala or lateral hypothalamus. In vitro electrophysiological recordings showed an AVP-induced inhibition of MeA neurons that was prevented by picrotoxin administration, supporting the possible regulatory role of AVP originating in the SON. A memory deficit in the novel object recognition test seen in di/di animals remained unaffected by AVP-AAV treatment. Interestingly, although di/di rats show intact social investigation and aggression, the SON AVP-AAV treatment resulted in an alteration of these social behaviours. AVP released from the magnocellular SON neurons may stimulate adrenocorticotropin secretion in response to defined stressors and might participate in the fine-tuning of social behaviour with a possible contribution from the MeA. Full article
(This article belongs to the Special Issue Nonapeptide Hormones)
Show Figures

Figure 1

11 pages, 2369 KB  
Article
GABAA Receptor-Mediated Sleep-Promoting Effect of Saaz–Saphir Hops Mixture Containing Xanthohumol and Humulone
by Byungjick Min, Yejin Ahn, Hyeok-Jun Cho, Woong-Kwon Kwak, Hyung Joo Suh and Kyungae Jo
Molecules 2021, 26(23), 7108; https://doi.org/10.3390/molecules26237108 - 24 Nov 2021
Cited by 12 | Viewed by 5414
Abstract
Hops contain flavonoids that have sedative and sleep-promoting activities such as α-acid, β-acid, and xanthohumol. In this study, the sleep-enhancing activity of a Saaz–Saphir hops mixture was measured. In the caffeine-induced insomnia model, the administration of a Saaz–Saphir mixture increased the sleep time [...] Read more.
Hops contain flavonoids that have sedative and sleep-promoting activities such as α-acid, β-acid, and xanthohumol. In this study, the sleep-enhancing activity of a Saaz–Saphir hops mixture was measured. In the caffeine-induced insomnia model, the administration of a Saaz–Saphir mixture increased the sleep time compared to Saaz or Saphir administration alone, which was attributed to the increase in NREM sleep time by the δ-wave increase. Oral administration of the Saaz–Saphir mixture for 3 weeks increased the γ-amino butyric acid (GABA) content in the brain and increased the expression of the GABAA receptor. As the GABA antagonists picrotoxin and bicuculline showed a decrease in sleep activity, it was confirmed that the GABAA receptor was involved in the Saaz–Saphir mixture activity. In addition, the GABAA receptor antagonist also reduced the sleep activity induced by xanthohumol and humulone contained in the Saaz–Saphir mixture. Therefore, xanthohumol and humulone contained in the Saaz–Saphir mixture showed sleep-promoting activity mediated by the GABAA receptors. The mixture of the Saaz and Saphir hop varieties may thus help mitigate sleep disturbances compared to other hop varieties. Full article
(This article belongs to the Section Chemical Biology)
Show Figures

Graphical abstract

Back to TopTop