Sign in to use this feature.

Years

Between: -

Subjects

remove_circle_outline
remove_circle_outline
remove_circle_outline
remove_circle_outline
remove_circle_outline
remove_circle_outline
remove_circle_outline
remove_circle_outline
remove_circle_outline

Journals

remove_circle_outline
remove_circle_outline
remove_circle_outline
remove_circle_outline
remove_circle_outline
remove_circle_outline
remove_circle_outline
remove_circle_outline
remove_circle_outline
remove_circle_outline
remove_circle_outline
remove_circle_outline

Article Types

Countries / Regions

remove_circle_outline
remove_circle_outline
remove_circle_outline
remove_circle_outline

Search Results (1,101)

Search Parameters:
Keywords = physical deployment

Order results
Result details
Results per page
Select all
Export citation of selected articles as:
12 pages, 227 KB  
Review
The Dual Challenges for Radio Frequency Fingerprinting Trustworthiness: Feature Drift Modeling and the Privacy Imperative for Deployable Physical Layer Security
by Miranda Harizaj, Ali Kara and Iraklis Symeonidis
Electronics 2026, 15(6), 1309; https://doi.org/10.3390/electronics15061309 - 20 Mar 2026
Abstract
Radio Frequency Fingerprinting (RFF) would be a promising Physical Layer Security (PLS) solution for the Internet of Things (IoT) that requires robust, low-overhead security techniques. However, practical implementation of RFF may pose challenges, in particular, performance instability and ethical-regulatory conflicts. Based on authors’ [...] Read more.
Radio Frequency Fingerprinting (RFF) would be a promising Physical Layer Security (PLS) solution for the Internet of Things (IoT) that requires robust, low-overhead security techniques. However, practical implementation of RFF may pose challenges, in particular, performance instability and ethical-regulatory conflicts. Based on authors’ previous research, this paper elaborates these challenges in potential deployment of a resilient and compliant RFF system. First, we analytically show how hardware-induced feature drift, primarily driven by device aging and temperature variations, degrades RFF performance. We then critically survey existing temperature variation and aging models, one of which is being studied by one of the authors’ research team. We look into this from a purely hardware-design perspective, and then compensation methods for an RFF perspective. This reveals a significant gap: current techniques are insufficient to maintain the long-term, high-accuracy RFF for real-world IoT security requirements. Finally, we introduce inherent privacy risks by enabling device tracking. This property conflicts with General Data Protection Regulation (GDPR) mandates, raising significant regulatory challenges and privacy risks. Overall, this work highlights the key technical and legal challenges that must be addressed for RFF to evolve into a robust, privacy-compliant and deployable security primitive for IoT and future wireless systems. Full article
41 pages, 4354 KB  
Article
AE3GIS—An Agile Emulated Educational Environment for Guided Industrial Security Training
by Tollan Berhanu, Hunter Squires, Braxton Marlatt, Scott Anderson, Benton Wilson, Robert A. Borrelli and Constantinos Kolias
Future Internet 2026, 18(3), 166; https://doi.org/10.3390/fi18030166 (registering DOI) - 20 Mar 2026
Abstract
Industrial Control Systems (ICSs) are the backbone of modern critical infrastructure, such as electric power, water treatment, oil and gas distribution, and manufacturing operations. While the convergence of IT and OT has greatly increased efficiency and observability, it has also greatly expanded the [...] Read more.
Industrial Control Systems (ICSs) are the backbone of modern critical infrastructure, such as electric power, water treatment, oil and gas distribution, and manufacturing operations. While the convergence of IT and OT has greatly increased efficiency and observability, it has also greatly expanded the attack surface of these once-isolated systems. High-profile cyber-physical attacks, including Stuxnet (2010), TRITON (2017), and the Colonial Pipeline ransomware attack (2021), have shown that ICS-targeted cyberattacks can cause physical damage, disrupt economic stability, and put public safety at risk. Despite the growing prevalence and intensity of such threats, ICS-based cybersecurity education remains largely under-resourced and underfunded. Traditional ICS training laboratories require highly specialized hardware, vendor-specific tools, and expensive licensing that significantly raise barriers to entry. Traditional labs typically require on-site participation and pose physical safety concerns when cyber-physical attack scenarios are performed. These barriers leave students unable to get necessary security training for ICSs. Therefore, this paper introduces AE3GIS: Agile Emulated Educational Environment for Guided Industrial Security—a fully virtual, lightweight, open-source platform designed to democratize ICS cybersecurity education. Based on the GNS3 network simulation tool, AE3GIS enables rapid deployment of comprehensive ICS environments containing IT and OT systems, industrial communication protocols, control logic, and diverse security tools. AE3GIS is designed to provide practical training for students using realistic ICS cybersecurity scenarios through a local or remote training platform without the cost, safety, or accessibility limitations of hardware-based labs. Full article
(This article belongs to the Section Cybersecurity)
24 pages, 7262 KB  
Review
In Situ X-Ray Imaging and Machine Learning in Ultrasonic Field-Assisted Laser-Based Additive Manufacturing: A Review
by Zhihao Fu, Yu Weng, Zhian Deng, Jie Pan, Ao Li, Ling Qin and Gang Wu
Materials 2026, 19(6), 1227; https://doi.org/10.3390/ma19061227 - 20 Mar 2026
Abstract
Metal additive manufacturing (AM) offers unprecedented opportunities to fabricate complex, lightweight metallic components, yet its practical deployment remains fundamentally constrained by defects arising from rapid melting and solidification. Cyclic thermal transients generate cracks, pores, residual stresses, and lack-of-fusion regions, undermining mechanical performance and [...] Read more.
Metal additive manufacturing (AM) offers unprecedented opportunities to fabricate complex, lightweight metallic components, yet its practical deployment remains fundamentally constrained by defects arising from rapid melting and solidification. Cyclic thermal transients generate cracks, pores, residual stresses, and lack-of-fusion regions, undermining mechanical performance and reliability. Ultrasonic field-assisted laser-based additive manufacturing (UF-LBAM) has emerged as a powerful approach to manipulate melt pool dynamics and suppress defect formation. Nevertheless, the governing physical mechanisms remain poorly understood, particularly under highly non-equilibrium ultrasonic excitation, where acoustic pressure oscillations, melt convection, cavitation, and solidification are intricately coupled across multiple temporal and spatial scales. Here, we provide a systematic review of X-ray based fundamental studies in UF-LBAM and the diverse applications of machine learning (ML), detailing the literature selection criteria and methodology. We highlight advances spanning synchrotron X-ray revealed physical phenomena, ML-driven real-time monitoring and defect prediction, and pathways toward industrial implementation. Critical challenges persist, including fundamental physics gaps, transferability of ML models across alloy systems, and real-time control limitations. We further identify promising directions for the field, such as physics-informed models, multimodal diagnostics, and closed-loop control, which together promise to unlock the full potential of UF-LBAM for high-performance metal component fabrication. Full article
Show Figures

Figure 1

31 pages, 663 KB  
Article
Quantum Secure Pairwise Key Agreement Scheme for Fog-Enabled Social Internet of Vehicles
by Hyewon Park and Yohan Park
Mathematics 2026, 14(6), 1046; https://doi.org/10.3390/math14061046 - 19 Mar 2026
Abstract
In Social Internet of Vehicles (SIoV) environments, fog computing plays a crucial role in supporting real-time services by reducing the latency inherent in cloud-based architectures. However, fog nodes are typically deployed in physically exposed roadside environments and can be operated by several system [...] Read more.
In Social Internet of Vehicles (SIoV) environments, fog computing plays a crucial role in supporting real-time services by reducing the latency inherent in cloud-based architectures. However, fog nodes are typically deployed in physically exposed roadside environments and can be operated by several system operators, making them vulnerable to physical compromise and unauthorized access. Despite these threats, many existing authentication schemes assume fog nodes to be fully trusted or honest-but-curious, allowing them to decrypt transmitted data using a session key shared among vehicles, fog nodes, and cloud servers. To overcome these limitations, this paper proposes a quantum-secure pairwise key agreement scheme that establishes distinct session keys for vehicle–fog, fog–cloud, and vehicle–cloud communications. This design effectively prevents the disclosure of sensitive information even in the event of fog node compromise. Furthermore, Physical Unclonable Functions (PUFs) are employed to mitigate physical capture attacks, while lattice-based cryptography based on the Module Learning with Errors (MLWE) problem is integrated to ensure resistance against quantum computing attacks. The security of the proposed protocol is rigorously validated through formal analysis using AVISPA, BAN logic, and the Real-or-Random (RoR) model, in addition to informal security analysis. Comparative performance evaluations against related schemes demonstrate that the proposed approach achieves a balance between efficiency and security, making it well suited for practical deployment in SIoV environments. Full article
(This article belongs to the Special Issue Cryptography, Data Security, and Cloud Computing)
Show Figures

Figure 1

28 pages, 4324 KB  
Review
Review of Direct Air Capture Systems Powered by Nuclear Energy
by Taejun Song, Joohyung Jung and Seongmin Son
Energies 2026, 19(6), 1528; https://doi.org/10.3390/en19061528 - 19 Mar 2026
Abstract
Direct air capture (DAC) is a carbon removal technology that selectively extracts CO2 from ambient air, where it exists at trace concentrations of approximately 400 ppm (0.04%), using chemical or physical separation processes. As the only CO2 capture approach capable of [...] Read more.
Direct air capture (DAC) is a carbon removal technology that selectively extracts CO2 from ambient air, where it exists at trace concentrations of approximately 400 ppm (0.04%), using chemical or physical separation processes. As the only CO2 capture approach capable of delivering negative net emissions, DAC has emerged as a critical CO2 removal (CDR) strategy for achieving global net-zero targets. However, its operation requires substantial electrical energy to drive large air flows and significant thermal energy for sorbent regeneration, which remains a major barrier to large-scale deployment. Coupling DAC with nuclear power has been proposed as a promising approach because nuclear systems can provide stable, carbon-free electricity and heat. This review summarizes recent studies on the integration of DAC with nuclear power plants and analyzes the current technological maturity of nuclear–DAC systems. In particular, the paper compares different DAC configurations, evaluates their energy requirements and integration strategies with nuclear heat and power sources, and identifies key technical and economic challenges for future deployment. Full article
(This article belongs to the Special Issue Nuclear Reactor Steam Generators and Heat Exchangers)
Show Figures

Figure 1

21 pages, 511 KB  
Review
Smart Urban Logistics and Tube-Based Freight Systems: A Review of Technological Integration and Implementation Barriers
by Fellaki Soumaya, Molk Oukili Garti, Arif Jabir and Jawab Fouad
Smart Cities 2026, 9(3), 52; https://doi.org/10.3390/smartcities9030052 - 19 Mar 2026
Abstract
Background: Smart urban logistics has emerged as a key element of sustainable city development, with direct effects on economic performance, environmental quality, and urban livability. Issues with traffic, pollutants, infrastructure strain, and last-mile delivery efficiency have become more pressing due to rapid urbanization [...] Read more.
Background: Smart urban logistics has emerged as a key element of sustainable city development, with direct effects on economic performance, environmental quality, and urban livability. Issues with traffic, pollutants, infrastructure strain, and last-mile delivery efficiency have become more pressing due to rapid urbanization and the expansion of e-commerce. In this regard, underground or enclosed corridor-based tube-based freight transit systems have surfaced as a viable smart infrastructure option for automated and low-impact commodities delivery. Methods: This study adopts an analytical literature review complemented by a structured case study analysis to examine the potential role of tube-based freight transport systems in future urban logistics. Key technological concepts, including pneumatic tubes, automated capsule transport, and integration with digital platforms, the Physical Internet, and smart city management systems, are examined through a structured analytical review of the literature. Results: The outcome of the reviewed studies indicates that tube-based systems can contribute to congestion alleviation, emission reduction, and improved delivery reliability by shifting selected freight flows away from surface transport networks. However, governance frameworks, infrastructure integration, and institutional coordination mechanisms continue to have a significant impact on claimed performance outcomes. Conclusions: Tube-based freight systems represent a promising but conditional pathway toward smarter and more sustainable urban logistics. Their large-scale deployment is forced by high capital costs, standardization challenges, regulatory uncertainty, and social acceptance issues. Coordinated investment plans, encouraging legal frameworks, and integrated urban planning techniques in line with smart city goals are needed to overcome these obstacles. Full article
(This article belongs to the Section Smart Urban Mobility, Transport, and Logistics)
Show Figures

Figure 1

47 pages, 3035 KB  
Review
A Review of Photovoltaic Uncertainty Modeling Based on Statistical Relational AI
by Linfeng Yang and Xueqian Fu
Energies 2026, 19(6), 1509; https://doi.org/10.3390/en19061509 - 18 Mar 2026
Viewed by 133
Abstract
With the growing penetration of photovoltaic (PV) generation, robust uncertainty characterization is essential for secure operation, economic dispatch, and flexibility planning. This review surveys PV scenario generation from three perspectives: (i) explicit probabilistic approaches (distribution fitting, Copula-based dependence modeling, autoregressive moving average (ARMA)-type [...] Read more.
With the growing penetration of photovoltaic (PV) generation, robust uncertainty characterization is essential for secure operation, economic dispatch, and flexibility planning. This review surveys PV scenario generation from three perspectives: (i) explicit probabilistic approaches (distribution fitting, Copula-based dependence modeling, autoregressive moving average (ARMA)-type time-series methods, and clustering/dimensionality reduction), (ii) deep generative models (GANs, VAEs, and diffusion models), and (iii) hybrid Statistical Relational AI (SRAI) frameworks. We discuss the strengths of explicit models in interpretability and tractability, and their limitations in representing high-dimensional nonlinear, multimodal, and multiscale spatiotemporal dependencies. We also examine the ability of deep generative methods to synthesize diverse scenarios across meteorological regimes and multiple sites, while noting persistent challenges in interpretability, physical consistency, and deployment. To bridge these gaps, we outline an SRAI-oriented integration pathway that embeds statistical structure, meteorology–power relations, spatiotemporal coupling, and operational constraints into generative architectures. Finally, we highlight directions for future research, including unified evaluation protocols, cross-regional data collaboration, controllable extreme-scenario generation, and computationally efficient generative designs. Full article
Show Figures

Figure 1

20 pages, 1573 KB  
Review
Real-Time Engine Oil Quality Monitoring: A Review and Future Perspectives on Microcontroller-Based Sensor Fusion and AI
by Mathew Habyarimana and Abayomi A. Adebiyi
Appl. Sci. 2026, 16(6), 2919; https://doi.org/10.3390/app16062919 - 18 Mar 2026
Viewed by 58
Abstract
Engine oil degradation critically influences the performance, efficiency, and longevity of internal combustion engines. Conventional mileage or time-based replacement schedules often result in premature oil changes or delayed servicing, both of which compromise engine health and increase costs. This review examines recent advances [...] Read more.
Engine oil degradation critically influences the performance, efficiency, and longevity of internal combustion engines. Conventional mileage or time-based replacement schedules often result in premature oil changes or delayed servicing, both of which compromise engine health and increase costs. This review examines recent advances in real-time oil condition monitoring and evaluates the feasibility of a low-cost microcontroller-based system that integrates physical sensors with machine learning models for continuous on-board oil health assessment. Drawing on established techniques from industrial lubrication monitoring, we propose an experimental framework that leverages electrical engineering principles, including sensor interface, analog front-end design, signal acquisition, and embedded AI deployment to enable accurate, affordable, and scalable oil health diagnostics. The review highlights opportunities for innovation in embedded systems and electrical engineering design, positioning AI-driven monitoring as a practical solution for predictive automotive maintenance. Full article
Show Figures

Figure 1

18 pages, 5169 KB  
Article
Physics-Constrained Identification and OpenSees Deployment of a Twelve-Parameter BWBN Model for RC Column Hysteresis
by Bochen Wang, Hongqian Lu, Weiming Gong, Zele Li, Jiaqing Shu and Xiaoqing Gu
Buildings 2026, 16(6), 1184; https://doi.org/10.3390/buildings16061184 - 18 Mar 2026
Viewed by 52
Abstract
Accurate simulation of reinforced concrete (RC) members under cyclic loading requires hysteresis models that capture degradation and pinching, yet inverse identification of such models remains challenging because the internal-state evolution is strongly coupled and sensitive to incremental consistency. This study develops a physics-constrained, [...] Read more.
Accurate simulation of reinforced concrete (RC) members under cyclic loading requires hysteresis models that capture degradation and pinching, yet inverse identification of such models remains challenging because the internal-state evolution is strongly coupled and sensitive to incremental consistency. This study develops a physics-constrained, model-based framework to identify the full twelve-parameter Bouc–Wen–Baber–Noori (BWBN) model directly from cyclic force–displacement records and to deploy the calibrated parameters in OpenSees. Parameter estimation is posed as a bound-constrained nonlinear least-squares problem, where each objective evaluation advances the BWBN internal variables through a discrete incremental constitutive update and accumulates the energy-driven deterioration measure using a consistent trapezoidal work integration. Validation on nine RC column tests covering flexural, flexural–shear, and shear failures shows good agreement between simulated and experimental hysteresis loops, with R2 ranging from 0.956 to 0.986 and RMSE ranging from 0.06 to 0.09 over the full records. Unlike simpler hysteresis models that omit degradation and pinching, the calibrated BWBN model reproduces mode-dependent deterioration and reloading pinching, and the identified parameters can be used directly in OpenSees for subsequent nonlinear simulations. Full article
(This article belongs to the Special Issue Seismic Performance of Steel and Composite Structures)
Show Figures

Figure 1

16 pages, 836 KB  
Review
Physics-Based Constitutive Modelling of Ductile Damage and Fracture: A Microstructure-Sensitive Perspective
by M. Amir Siddiq
Metals 2026, 16(3), 340; https://doi.org/10.3390/met16030340 - 18 Mar 2026
Viewed by 62
Abstract
Physics-based constitutive modelling remains a cornerstone for predicting ductile damage and fracture in metallic materials, particularly where microstructural mechanisms govern macroscopic response. Over the past two decades, a wide range of crystal plasticity, porous plasticity, and void-based fracture models have been proposed to [...] Read more.
Physics-based constitutive modelling remains a cornerstone for predicting ductile damage and fracture in metallic materials, particularly where microstructural mechanisms govern macroscopic response. Over the past two decades, a wide range of crystal plasticity, porous plasticity, and void-based fracture models have been proposed to capture deformation localisation, void growth, and coalescence under complex loading paths. However, these developments are often presented in isolation, obscuring their shared physical assumptions and limiting their transferability across material systems and length scales. This article provides a microstructure-sensitive perspective on the constitutive modelling of ductile damage and fracture, with particular emphasis on crystal plasticity-based frameworks, void growth and coalescence mechanisms, and interface-driven fracture. Rather than attempting an exhaustive review, this review highlights the unifying concepts, modelling trade-offs, and recurring challenges related to parameter identifiability, scale bridging, and predictive robustness. It further clarifies how physics-based constitutive descriptions can be systematically integrated into modern fatigue and fracture assessments and situates these developments relative to emerging data-assisted and machine-learning-enhanced modelling strategies. By reframing established constitutive models within a coherent physical narrative, this perspective aims to support more transparent model selection, improve interpretability, and guide future developments in the multiscale damage and fracture modelling of metallic materials. While these frameworks offer enhanced microstructure sensitivity, their parameter richness and experimental calibration demand currently limit widespread industrial deployment, motivating ongoing work on reduced-order and data-assisted variants. Full article
Show Figures

Figure 1

32 pages, 4217 KB  
Review
Variable Stiffness Structures in Biomimetic Robotic Fish: A Review of Mechanisms, Applications, and Challenges
by Hua Shao, Cong Lin, Zhoukun Yang, Luanjiao Deng, Jinfeng Yang, Xianhong He and Fengran Xie
Biomimetics 2026, 11(3), 219; https://doi.org/10.3390/biomimetics11030219 - 18 Mar 2026
Viewed by 111
Abstract
Biological fish possess the intrinsic ability to dynamically modulate body stiffness to adapt to varying fluid environments, thereby optimizing propulsive efficiency, swimming speed, and maneuverability. In contrast, this capability remains a significant challenge for most existing robotic fish, which typically rely on fixed-stiffness [...] Read more.
Biological fish possess the intrinsic ability to dynamically modulate body stiffness to adapt to varying fluid environments, thereby optimizing propulsive efficiency, swimming speed, and maneuverability. In contrast, this capability remains a significant challenge for most existing robotic fish, which typically rely on fixed-stiffness configurations. This article presents a comprehensive review of variable stiffness structures and their applications in biomimetic robotic fish. The associated technologies are systematically classified into four categories: smart material-driven, bio-inspired, fluid-driven, and hybrid-driven mechanisms. A comparative analysis of state-of-the-art prototypes is conducted, evaluating critical performance metrics including physical dimensions, maximum swimming speed, minimum turning radius, maximum turning rate, and Strouhal number. Furthermore, the specific advantages and technical limitations of each variable stiffness category are critically assessed. Finally, existing challenges in current research are identified, and prospective directions are proposed. The review demonstrates that variable stiffness technology offers significant potential to advance the hydrodynamic performance of robotic fish and facilitate their deployment in practical engineering applications. Full article
(This article belongs to the Section Locomotion and Bioinspired Robotics)
Show Figures

Figure 1

26 pages, 9419 KB  
Article
Machine Learning-Based Soft Sensor for Real-Time Wire Bow Prediction in Diamond Multi-Wire Sawing
by Xiangyu Zhao, Hua Liu, Jie Yang, Liang Zhu, Heng Li, Lemiao Qiu and Shuyou Zhang
Sensors 2026, 26(6), 1875; https://doi.org/10.3390/s26061875 - 16 Mar 2026
Viewed by 115
Abstract
Real-time monitoring of wire bow is critical for ensuring wafer quality and preventing wire breakage in diamond multi-wire sawing (MWS). However, the deployment physical sensors in industrial MWS environments is hindered by severe sludge contamination, limited installation space, and high maintenance costs. To [...] Read more.
Real-time monitoring of wire bow is critical for ensuring wafer quality and preventing wire breakage in diamond multi-wire sawing (MWS). However, the deployment physical sensors in industrial MWS environments is hindered by severe sludge contamination, limited installation space, and high maintenance costs. To address these challenges, this paper proposes a novel data-driven soft sensor framework utilizing machine learning methods to predict wire bow based on readily accessible process data. A feature engineering pipeline, combining variance thresholding and correlation analysis, is established to identify key process variables. Subsequently, six representative ML algorithms are systematically evaluated, with eXtreme Gradient Boosting (XGBoost) optimized via two-stage hyperparameter optimization emerging as the superior model. Experimental results from an industrial MWS machine demonstrate that the proposed model achieves a coefficient of determination (R2) of 0.992 and a mean absolute error (MAE) of 0.116 mm. Furthermore, the prediction is also extended to spatially distributed positions (head, middle, and tail) of the wire web. Finally, SHAP (SHapley Additive exPlanations) is utilized to elucidate the mechanical dependencies. This work provides a reliable and low-cost solution for wire bow monitoring during the MWS process. Full article
(This article belongs to the Special Issue Soft Sensors and Sensing Techniques (2nd Edition))
Show Figures

Figure 1

24 pages, 9297 KB  
Article
AI-Enabled Frequency Diverse Array Spaceborne Surveillance Radar for Space Debris and Threat Detection Under Resource Constraints
by Dayan Guo, Tianyao Huang, Zijian Lin, Jie He and Yue Qi
Remote Sens. 2026, 18(6), 908; https://doi.org/10.3390/rs18060908 - 16 Mar 2026
Viewed by 87
Abstract
Ensuring space environment security through the detection of space debris and non-cooperative threat objects has become a critical mission for next-generation spaceborne surveillance systems. Frequency diversity array (FDA) radar, with its unique range angle-dependent beampattern, offers a transformative capability to distinguish closely-spaced space [...] Read more.
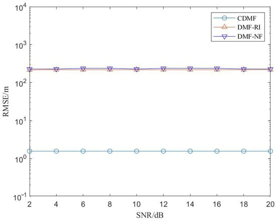
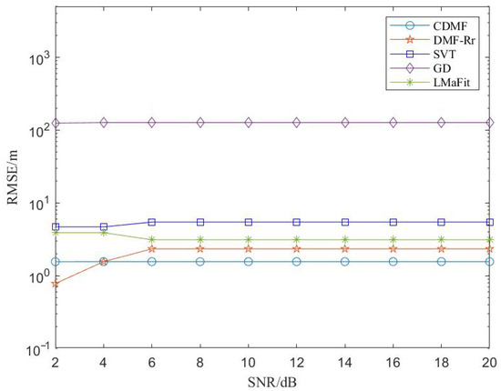
Ensuring space environment security through the detection of space debris and non-cooperative threat objects has become a critical mission for next-generation spaceborne surveillance systems. Frequency diversity array (FDA) radar, with its unique range angle-dependent beampattern, offers a transformative capability to distinguish closely-spaced space threats from intense background clutter. However, the operational deployment of spaceborne FDA is inherently hindered by stringent platform resource constraints, including limited power supply, high hardware complexity, and restricted data transmission bandwidth. These physical limitations inevitably lead to incomplete signal observations, resulting in elevated sidelobes that can obscure small, high-speed space debris. To bridge the gap between hardware constraints and high-fidelity surveillance, this paper proposes an AI-enabled data recovery framework based on deep matrix factorization. Specifically designed to process the complex-valued nature of radar echoes, the proposed framework introduces two specialized architectures: a real-valued representation-based method (DMF-Rr) and a native complex-valued deep matrix factorization (CDMF) network that preserves vital phase coherence. By leveraging deep learning to “enable” sparse-sampled systems, the proposed method effectively reconstructs missing observations without requiring prior knowledge of the signal rank. Numerical results demonstrate that the AI-powered CDMF significantly suppresses the high sidelobes induced by resource-limited sampling, enabling the reliable identification and localization of weak threat objects. This study demonstrates the power of AI in overcoming the physical bottlenecks of spaceborne hardware, providing a robust solution for enhancing space situational awareness in an increasingly crowded orbital environment. Full article
(This article belongs to the Special Issue Advanced Techniques of Spaceborne Surveillance Radar)
Show Figures

Figure 1

17 pages, 3079 KB  
Article
AgroNova: An Autonomous IoT Platform for Greenhouse Climate Control
by Borislav Toskov and Asya Toskova
Sensors 2026, 26(6), 1861; https://doi.org/10.3390/s26061861 - 15 Mar 2026
Viewed by 169
Abstract
This study presents AgroNova—a hybrid IoT architecture for autonomous monitoring and management of microclimate in greenhouse environments. The system combines a capillary wireless sensor network, gateway-level rule-based agents, a server agent, cloud services and an advisory component based on a large language model [...] Read more.
This study presents AgroNova—a hybrid IoT architecture for autonomous monitoring and management of microclimate in greenhouse environments. The system combines a capillary wireless sensor network, gateway-level rule-based agents, a server agent, cloud services and an advisory component based on a large language model (LLM) that supports local decision-making by incorporating external contextual information from meteorological services. The proposed architecture was validated through a seven-month deployment in an unheated tomato greenhouse, during which more than 380,000 environmental measurements were collected from five sensor nodes. The system operated continuously under real agricultural conditions, including during temporary internet connectivity interruptions, due to the autonomous gateway-level control and deterministic fallback mechanisms. The analysis of the collected data includes 3110 environmental threshold exceedance events, in which recovery dynamics, reaction latency, and actuator activation frequency were evaluated. The results show that the architecture supports stable autonomous operation under limited actuation conditions, with an average local reaction latency of less than 1 s, while physical actuator operations occur in approximately 2.3% of all control decisions. This behavior reflects a conservative control strategy that limits unnecessary mechanical operations and contributes to stable system operation. The experimental integration of a consultative LLM module within the server-side agent demonstrates the potential for context-enriched decision support using external meteorological data, while final control decisions remain under the authority of the gateway-based deterministic control mechanism. The main contribution of this study is the demonstration of a hybrid IoT architecture that combines edge-level autonomy with context-assisted reasoning, validated through deployment in a real greenhouse environment. Full article
(This article belongs to the Section Internet of Things)
Show Figures

Figure 1

17 pages, 30817 KB  
Article
Millimeter-Wave Body-Centric Radar Sensing for Continuous Monitoring of Human Gait Dynamics
by Yoginath Ganditi, Mani S. Chilakala, Zahra Najafi, Mohammed E. Eltayeb and Warren D. Smith
Sensors 2026, 26(6), 1844; https://doi.org/10.3390/s26061844 - 15 Mar 2026
Viewed by 187
Abstract
Gait is a sensitive marker of mobility decline and fall risk, motivating unobtrusive sensing methods that can extract spatiotemporal parameters outside specialized gait laboratories. This paper presents a physics-based comparison of two millimeter-wave frequency-modulated continuous-wave (FMCW) radar deployment paradigms using a low-cost, system-on-chip [...] Read more.
Gait is a sensitive marker of mobility decline and fall risk, motivating unobtrusive sensing methods that can extract spatiotemporal parameters outside specialized gait laboratories. This paper presents a physics-based comparison of two millimeter-wave frequency-modulated continuous-wave (FMCW) radar deployment paradigms using a low-cost, system-on-chip (SoC) 60 GHz Infineon BGT60TR13C radar sensor: (i) a fixed (tripod-mounted) corridor observer and (ii) a shoe-mounted body-centric configuration attached to the medial side of the left shoe. Four healthy adult author-participants performed repeated 30 s corridor trials under five gait styles (regular, slow, fast, simulated festination, and simulated freezing-of-gait), including brief pauses during turns; an empty-corridor recording was acquired to characterize static clutter. Step events were detected using peak-picking on foot-related velocity envelopes with adaptive thresholds, and step count, cadence, step time, and step-time variability were derived. Performance of the fixed and shoe-mounted configurations was quantitatively compared to video ground truth using mean absolute percentage error (MAPE) for step count estimation. Across all gait styles, the shoe-mounted FMCW radar consistently reduced step-count error relative to the fixed corridor-mounted configuration, with the largest gains under irregular patterns (e.g., festination: 37.1% fixed vs. 9.6% shoe-mounted). These findings highlight the advantages of body-centric millimeter-wave radar sensing and support low-cost SoC radar as a pathway toward wearable, privacy-preserving gait monitoring in real-world environments. Full article
(This article belongs to the Section Radar Sensors)
Show Figures

Figure 1

Back to TopTop