Sign in to use this feature.

Years

Between: -

Subjects

remove_circle_outline
remove_circle_outline
remove_circle_outline
remove_circle_outline
remove_circle_outline
remove_circle_outline
remove_circle_outline
remove_circle_outline

Journals

Article Types

Countries / Regions

Search Results (105)

Search Parameters:
Keywords = phospholipids vesicles systems

Order results
Result details
Results per page
Select all
Export citation of selected articles as:
22 pages, 13425 KB  
Article
Fabrication, Characterization, and Transcriptomic Analysis of Oregano Essential Oil Liposomes for Enhanced Antibacterial Activity and Sustained Release
by Zhuo Wang, Yuanxin Bao, Jianguo Qiu, Shanshan Li, Hong Chen and Cheng Li
Foods 2026, 15(1), 157; https://doi.org/10.3390/foods15010157 - 3 Jan 2026
Viewed by 420
Abstract
This study prepared oregano essential oil-loaded liposomes (OEO-Lip) and systematically evaluated their physicochemical properties, stability, and antioxidant/antibacterial activities, along with the underlying mechanisms. Characterization revealed OEO-Lip exhibited a unilamellar vesicle structure with a particle size of approximately 190 nm, uniform dispersion (PDI = [...] Read more.
This study prepared oregano essential oil-loaded liposomes (OEO-Lip) and systematically evaluated their physicochemical properties, stability, and antioxidant/antibacterial activities, along with the underlying mechanisms. Characterization revealed OEO-Lip exhibited a unilamellar vesicle structure with a particle size of approximately 190 nm, uniform dispersion (PDI = 0.183), a high zeta potential (−39.8 mV), and an encapsulation efficiency of 77.52%. Analyses by FT-IR, XRD, and DSC confirmed the successful encapsulation of OEO within the liposomes. Hydrogen bonding interactions with phospholipid components promoted the formation of a more ordered crystalline structure, thereby enhancing thermal stability. Storage stability tests demonstrated that OEO-Lip stored at 4 °C for 30 days exhibited significantly superior physicochemical properties compared to samples stored at 25 °C. Furthermore, liposomal encapsulation effectively preserved the antioxidant activity of OEO. Antimicrobial studies revealed that OEO-Lip exerted stronger and more sustained inhibitory effects against Escherichia coli and Staphylococcus aureus than free OEO, primarily by disrupting bacterial membrane integrity and inducing the leakage of ions and intracellular contents. Transcriptomic analysis further indicated that OEO-Lip exerts synergistic antibacterial effects by downregulating genes associated with phospholipid synthesis and nutrient transport while concurrently interfering with multiple pathways, including quorum sensing and energy metabolism. Release experiments indicated that OEO-Lip displays both burst and sustained release characteristics. In summary, OEO-Lip serves as an efficient delivery system that significantly enhances the stability and antibacterial efficacy of OEO, demonstrating considerable potential for application in food preservation. Full article
(This article belongs to the Section Food Quality and Safety)
Show Figures

Figure 1

18 pages, 3761 KB  
Article
Biocompatible Carbon-Coated Ferrite Nanodot-Based Magnetoliposomes for Magnetic-Induced Multimodal Theragnostic
by Venkatakrishnan Kiran, Anbazhagan Thirumalai, Pazhani Durgadevi, Najim Akhtar, Alex Daniel Prabhu, Koyeli Girigoswami and Agnishwar Girigoswami
Colloids Interfaces 2026, 10(1), 4; https://doi.org/10.3390/colloids10010004 - 24 Dec 2025
Viewed by 279
Abstract
Magnetoliposomes are hybrid nanostructures that integrate superparamagnetic ultrasmall carbon-coated ferrite nanodots (MNCDs) within liposomes (Lipo) composed of egg yolk-derived phospholipids and stabilized with an environmentally benign potato peel extract (PPE), enabling enhanced magnetic resonance imaging (MRI) and optical imaging. The hydrothermally synthesized MNCDs [...] Read more.
Magnetoliposomes are hybrid nanostructures that integrate superparamagnetic ultrasmall carbon-coated ferrite nanodots (MNCDs) within liposomes (Lipo) composed of egg yolk-derived phospholipids and stabilized with an environmentally benign potato peel extract (PPE), enabling enhanced magnetic resonance imaging (MRI) and optical imaging. The hydrothermally synthesized MNCDs were entrapped in liposomes prepared by thin-film hydration, and physicochemical properties were established at each stage of engineering. These magnetoresponsive vesicles (MNCDs+Lipo@PPE) serve as a triple-mode medical imaging contrast for T1 & T2-weighted MRI, while simultaneously enabling optical tracking of liposome degradation under an external magnetic field. They exhibited long-term enhanced fluorescence intensity and colloidal stability over 30 days, with hydrodynamic diameters ranging from 190 to 331 nm and an improved surface charge following PPE coating. In vitro cytotoxicity assays (MTT and Live/Dead staining) demonstrated over 87% cell viability for MNCDs+Lipo@PPE up to 2.7 mM concentration in A549 cells, indicating considerable toxicity. This multimodality engineering facilitates precise image-guided anticancer doxorubicin delivery and magnetic-responsive controlled release. The theoretical model shows that the release profile follows the Korsmeyer-Peppas profile. The externally applied magnetic field enhances the release by 1.4-fold. To demonstrate the anticancer efficiency in vitro with minimum off-target cytotoxicity, MTT and live/dead cell assay were performed against A549 cells. The reported study is a validated demonstration of magnetic-responsive nanocarrier systems for anticancer therapy and multimodal MRI and optical imaging-based diagnosis. Full article
(This article belongs to the Section Colloidal Systems)
Show Figures

Graphical abstract

31 pages, 7503 KB  
Article
Ethosome-Based Colloidal Systems for Transdermal Delivery: The Role of Biosurfactant in Enhancing Stability and Efficacy
by Jagoda Chudzińska-Skorupinska, Agata Wawrzyńczak and Agnieszka Feliczak-Guzik
Materials 2025, 18(23), 5355; https://doi.org/10.3390/ma18235355 - 27 Nov 2025
Viewed by 527
Abstract
The effectiveness of transdermal drug delivery is restricted by the barrier properties of the stratum corneum. Ethosomes, as vesicular carriers, offer a promising approach to enhance dermal bioavailability. This study aimed to optimize ethosome composition and preparation parameters to improve physicochemical stability and [...] Read more.
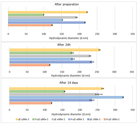
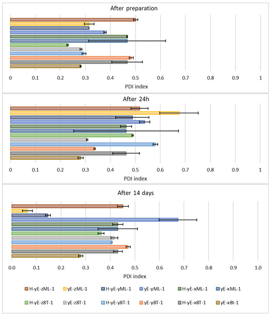
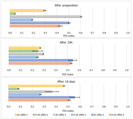
The effectiveness of transdermal drug delivery is restricted by the barrier properties of the stratum corneum. Ethosomes, as vesicular carriers, offer a promising approach to enhance dermal bioavailability. This study aimed to optimize ethosome composition and preparation parameters to improve physicochemical stability and performance. The influence of alcohols (ethyl, n-butyl, n-propyl, isopropyl, tert-butyl), glycols (propylene glycol, ethylene glycol, 1,3-butanediol), and surfactants (Tween 80, Mirasoft® SL L60) was systematically investigated. Stability was evaluated through zeta potential (ZP), polydispersity index (PDI), and hydrodynamic diameter (Dh). The effects of phospholipid concentration and homogenization were also assessed. SEM imaging confirmed the spherical morphology of vesicles. The optimal formulation comprised 30% (w/w) ethanol, 2.5% (w/w) phospholipid, 10% (w/w) ethylene glycol, and 1.25% (w/w) Tween 80. A comparable mixed-surfactant system (0.625% w/w; 60% Tween 80 and 40% Mirasoft® SL L60) exhibited similar stability, indicating that glycolipid-based biosurfactants can reduce conventional surfactant requirements. Homogenization significantly enhanced colloidal stability, lowering PDI from 0.366 to 0.083 and Dh from 254 nm to 156 nm, evidencing decreased aggregation and improved size uniformity. Overall, formulation composition and processing conditions critically determine ethosome stability and transdermal delivery efficiency. Full article
(This article belongs to the Section Biomaterials)
Show Figures

Graphical abstract

41 pages, 7702 KB  
Article
Valorization of Olive Leaf Extract via Tailored Liposomal Carriers: Comparative Analysis of Physicochemical Features, Antioxidant Capacity, and Stability
by Jovan Baljak, Dragana Dekanski, Andrea Pirković, Ninoslav Mitić, Aleksandar Rašković, Nebojša Kladar and Aleksandra A. Jovanović
Pharmaceuticals 2025, 18(11), 1639; https://doi.org/10.3390/ph18111639 - 30 Oct 2025
Viewed by 960
Abstract
Background/Objectives: Olive leaf (Olea europaea L.), a by-product of olive oil production, is rich in bioactive phenolics but limited in application due to poor solubility and stability. To improve their bioavailability, this study presents a comparative encapsulation strategy using three phospholipid-based [...] Read more.
Background/Objectives: Olive leaf (Olea europaea L.), a by-product of olive oil production, is rich in bioactive phenolics but limited in application due to poor solubility and stability. To improve their bioavailability, this study presents a comparative encapsulation strategy using three phospholipid-based liposomal systems (AL, PG90, and PH90) loaded with ethanolic olive leaf extract. Methods: Liposomes were characterized by physicochemical parameters, encapsulation efficiency (EE), antioxidant activity, morphology, release kinetics under simulated physiological conditions, and 60-day stability. To the best of our knowledge, this is the first direct comparison of AL, PG90, and PH90 matrices for olive leaf extract encapsulation. Results: HPLC and GC-MS confirmed successful encapsulation, with oleuropein showing the highest EE (up to 76.18%). PH90 favored retention of non-polar triterpenes, while AL and PG90 preferentially encapsulated polar flavonoid glycosides. FT-IR analysis verified extract integration into phospholipid bilayers. Antioxidant activity remained high in all loaded formulations, with negligible activity in empty liposomes. Extract-loaded systems exhibited reduced particle size, higher viscosity, and more negative electrophoretic mobility, enhancing colloidal stability. PG90 liposomes displayed the most stable mobility profile over 60 days. Transmission electron microscopy and nanoparticle tracking analysis revealed formulation-dependent vesicle morphology and concentration profiles. Release studies demonstrated significantly prolonged polyphenol diffusion from PG90 liposomes compared to the free extract. Conclusions: Phospholipid composition critically governs encapsulation selectivity, stability, and release behavior. Tailored liposomal systems offer a promising strategy to enhance the stability and delivery of olive leaf polyphenols, supporting their application in bioactive delivery platforms. Full article
(This article belongs to the Special Issue Sustainable Approaches and Strategies for Bioactive Natural Compounds)
Show Figures

Graphical abstract

37 pages, 24408 KB  
Review
Molecular Dynamics Simulations of Liposomes: Structure, Dynamics, and Applications
by Ehsan Khodadadi, Ehsaneh Khodadadi, Parth Chaturvedi and Mahmoud Moradi
Membranes 2025, 15(9), 259; https://doi.org/10.3390/membranes15090259 - 29 Aug 2025
Cited by 3 | Viewed by 4066
Abstract
Liposomes are nanoscale, spherical vesicles composed of phospholipid bilayers, typically ranging from 50 to 200 nm in diameter. Their unique ability to encapsulate both hydrophilic and hydrophobic molecules makes them powerful nanocarriers for drug delivery, diagnostics, and vaccine formulations. Several FDA-approved formulations such [...] Read more.
Liposomes are nanoscale, spherical vesicles composed of phospholipid bilayers, typically ranging from 50 to 200 nm in diameter. Their unique ability to encapsulate both hydrophilic and hydrophobic molecules makes them powerful nanocarriers for drug delivery, diagnostics, and vaccine formulations. Several FDA-approved formulations such as Doxil® (Baxter Healthcare Corporation, Deerfield, IL, USA), AmBisome® (Gilead Sciences, Inc., Foster City, CA, USA), and Onivyde® (Ipsen Biopharmaceuticals, Inc., Basking Ridge, NJ, USA) highlight their clinical significance. This review provides a comprehensive synthesis of how molecular dynamics (MD) simulations, particularly coarse-grained (CG) and atomistic approaches, advance our understanding of liposomal membranes. We explore key membrane biophysical properties, including area per lipid (APL), bilayer thickness, segmental order parameter (SCD), radial distribution functions (RDFs), bending modulus, and flip-flop dynamics, and examine how these are modulated by cholesterol concentration, PEGylation, and curvature. Special attention is given to curvature-induced effects in spherical vesicles, such as lipid asymmetry, interleaflet coupling, and stress gradients across the leaflets. We discuss recent developments in vesicle modeling using tools such as TS2CG, CHARMM-GUI Martini Maker, and Packmol, which have enabled the simulation of large-scale, compositionally heterogeneous systems. The review also highlights simulation-guided strategies for designing stealth liposomes, tuning membrane permeability, and enhancing structural stability under physiological conditions. A range of CG force fields, MARTINI, SPICA, SIRAH, ELBA, SDK, as well as emerging machine learning (ML)-based models, are critically assessed for their strengths and limitations. Despite the efficiency of CG models, challenges remain in capturing long-timescale events and atomistic-level interactions, driving the development of hybrid multiscale frameworks and AI-integrated techniques. By bridging experimental findings with in silico insights, MD simulations continue to play a pivotal role in the rational design of next-generation liposomal therapeutics. Full article
(This article belongs to the Collection Feature Papers in 'Membrane Physics and Theory')
Show Figures

Figure 1

24 pages, 1580 KB  
Article
Liposome-Based Encapsulation of Extract from Wild Thyme (Thymus serpyllum L.) Tea Processing Residues for Delivery of Polyphenols
by Aleksandra A. Jovanović, Bojana Balanč, Predrag M. Petrović, Natalija Čutović, Smilja B. Marković, Verica B. Djordjević and Branko M. Bugarski
Foods 2025, 14(15), 2626; https://doi.org/10.3390/foods14152626 - 26 Jul 2025
Cited by 1 | Viewed by 1470
Abstract
This study developed phospholipid-based liposomes loaded with extract from wild thyme (Thymus serpyllum L.) tea processing residues to enhance polyphenol stability and delivery. Liposomes were prepared with phospholipids alone or combined with 10–30 mol% cholesterol or β-sitosterol. The effect of different lipid [...] Read more.
This study developed phospholipid-based liposomes loaded with extract from wild thyme (Thymus serpyllum L.) tea processing residues to enhance polyphenol stability and delivery. Liposomes were prepared with phospholipids alone or combined with 10–30 mol% cholesterol or β-sitosterol. The effect of different lipid compositions on encapsulation efficiency (EE), particle size, polydispersity index (PDI), zeta potential, stability, thermal properties, diffusion coefficient, and diffusion resistance of the liposomes was investigated. Liposomes with 10 mol% sterols (either cholesterol or β-sitosterol) exhibited the highest EE of polyphenols, while increasing sterol content to 30 mol% resulted in decreased EE. Particle size and PDI increased with sterol content, while liposomes prepared without sterols showed the smallest vesicle size. Encapsulation of the extract led to smaller liposomal diameters and slight increases in PDI values. Zeta potential measurements revealed that sterol incorporation enhanced the surface charge and stability of liposomes, with β-sitosterol showing the most pronounced effect. Stability testing demonstrated minimal changes in size, PDI, and zeta potential during storage. UV irradiation and lyophilization processes did not cause significant polyphenol leakage, although lyophilization slightly increased particle size and PDI. Differential scanning calorimetry revealed that polyphenols and sterols modified the lipid membrane transitions, indicating interactions between extract components and the liposomal bilayer. FT-IR spectra confirmed successful integration of the extract into the liposomes, while UV exposure did not significantly alter the spectral features. Thiobarbituric acid reactive substances (TBARS) assay demonstrated the extract’s efficacy in mitigating lipid peroxidation under UV-induced oxidative stress. In contrast, liposomes enriched with sterols showed enhanced peroxidation. Polyphenol diffusion studies showed that encapsulation significantly delayed release, particularly in sterol-containing liposomes. Release assays in simulated gastric and intestinal fluids confirmed controlled, pH-dependent polyphenol delivery, with slightly better retention in β-sitosterol-enriched systems. These findings support the use of β-sitosterol- and cholesterol-enriched liposomes as stable carriers for polyphenolic compounds from wild thyme extract, as bioactive antioxidants, for food and nutraceutical applications. Full article
(This article belongs to the Special Issue Encapsulation and Delivery Systems in the Food Industry)
Show Figures

Figure 1

4 pages, 186 KB  
Proceeding Paper
UV Irradiation’s Influence on Fumitory Extract-Loaded Liposomes
by Rabiea Ashowen Ahmoda, Andrea Pirković, Milena Milošević, Aleksandar Marinković and Aleksandra Jovanović
Eng. Proc. 2025, 99(1), 16; https://doi.org/10.3390/engproc2025099016 - 17 Jun 2025
Cited by 1 | Viewed by 567
Abstract
The aim of the present study was the characterization of fumitory extract-loaded liposomal vesicles after UV irradiation via the determination of the encapsulation efficiency, size, polydispersity index (PDI), zeta potential, mobility, and conductivity. The encapsulation efficiency was the same before and after UV [...] Read more.
The aim of the present study was the characterization of fumitory extract-loaded liposomal vesicles after UV irradiation via the determination of the encapsulation efficiency, size, polydispersity index (PDI), zeta potential, mobility, and conductivity. The encapsulation efficiency was the same before and after UV irradiation (>69%). The particle size and PDI of the UV-irradiated liposomes with the fumitory extract were 294.2 ± 4.1 nm and 0.387 ± 0.011, respectively. The zeta potential after UV irradiation was −5.51 ± 0.4 mV. The mobility and conductivity of the obtained liposomal particles were −0.429 ± 0.012 µmcm/Vs and 0.468 ± 0.005 mS/cm, respectively. The results indicate the existence of nanoparticles and a non-uniform system, while a negative zeta potential value is related to the organization of phospholipids. Since UV irradiation did not cause significant changes in all of the mentioned parameters of the fumitory extract-loaded liposomes, it can be employed as a sterilization step in the preparation of liposomes. Full article
21 pages, 2429 KB  
Article
Phospholipid-Rich DC-Vesicles with Preserved Immune Fingerprints: A Stable and Scalable Platform for Precision Immunotherapy
by Ramon Gutierrez-Sandoval, Francisco Gutierrez-Castro, Natalia Muñoz-Godoy, Ider Rivadeneira, Adolay Sobarzo, Luis Alarcón, Wilson Dorado, Andy Lagos, Diego Montenegro, Ignacio Muñoz, Rodrigo Aguilera, Jordan Iturra, Francisco Krakowiak, Cristián Peña-Vargas and Andres Toledo
Biomedicines 2025, 13(6), 1299; https://doi.org/10.3390/biomedicines13061299 - 26 May 2025
Cited by 2 | Viewed by 1876
Abstract
Despite the progress in cancer immunotherapy, therapeutic responses in solid tumors remain suboptimal due to the immunosuppressive nature of the tumor microenvironment (TME), limited immune cell infiltration, and inefficient delivery of immune-activating agents. Dendritic cell-based therapies possess strong immunological potential but face challenges [...] Read more.
Despite the progress in cancer immunotherapy, therapeutic responses in solid tumors remain suboptimal due to the immunosuppressive nature of the tumor microenvironment (TME), limited immune cell infiltration, and inefficient delivery of immune-activating agents. Dendritic cell-based therapies possess strong immunological potential but face challenges in viability, standardization, and scalability. Likewise, exosomes and CAR-T cells are hindered by instability, production complexity, and limited efficacy in immune-excluded tumor settings. Objective: This study evaluates dendritic cell-derived vesicles (DC-Vesicles), embedded in a phospholipid-rich structural scaffold, as a multi-functional and scalable platform for immune modulation and therapeutic delivery. We aimed to assess their structural stability, immune marker preservation under clinical processing conditions, and potential to reprogram the TME. Methods and Results: DC-Vesicles were generated and analyzed using bottom-up proteomics via nanoLC–MS/MS on a timsTOF Pro 2 system under three conditions: fresh, concentrated, and cryopreserved. A consistent proteomic profile of over 400 proteins was identified, with cryopreserved samples retaining >90% of immune-relevant markers. Differential expression analysis confirmed stability of key immunological proteins such as HLA-A, QSOX1, ICAM1, NAMPT, TIGAR, and Galectin-9. No significant degradation was observed post-cryopreservation. Visualization through heatmaps, PCA, and volcano plots supported inter-condition consistency. In silico modeling suggested preserved capacity for M1 macrophage polarization and CD8+ T cell activation. Conclusions: DC-Vesicles demonstrate structural resilience and functional retention across storage conditions. Their cold-chain-independent compatibility, immune-targeting profile, and potential regulatory classification as Non-New Chemical Entities (NCEs) support their advancement as candidates for precision immunotherapy in resistant solid tumors. Full article
(This article belongs to the Section Immunology and Immunotherapy)
Show Figures

Figure 1

26 pages, 2841 KB  
Review
Modified Phospholipid Vesicular Gel for Transdermal Drug Delivery: The Influence of Glycerin and/or Ethanol on Their Lipid Bilayer Fluidity and Penetration Characteristics
by Marwa H. Abdallah, Mona M. Shahien, Hemat El-Sayed El-Horany and Enas Haridy Ahmed
Gels 2025, 11(5), 358; https://doi.org/10.3390/gels11050358 - 13 May 2025
Cited by 10 | Viewed by 3148
Abstract
This review explores the enhanced transdermal therapy of several skin disorders with the application of carriers comprising phospholipid vesicular gel systems. Topical drug delivery has several advantages compared to other administration methods, including enhanced patient compliance, the avoidance of the first-pass impact associated [...] Read more.
This review explores the enhanced transdermal therapy of several skin disorders with the application of carriers comprising phospholipid vesicular gel systems. Topical drug delivery has several advantages compared to other administration methods, including enhanced patient compliance, the avoidance of the first-pass impact associated with oral administration, and the elimination of the need for repeated doses. Nonetheless, the skin barrier obstructs the penetration of drugs, hence affecting its therapeutic efficacy. Carriers with phospholipid soft vesicles comprise a novel strategy used to augment drug delivery into the skin and boost therapeutic efficacy. These vesicles encompass chemicals that possess the ability to fluidize phospholipid bilayers, producing a pliable vesicle that facilitates penetration into the deeper layers of the skin. Phospholipid-based vesicular carriers have been extensively studied for improved drug delivery through dermal and transdermal pathways. Traditional liposomes are limited to the stratum corneum of the skin and do not penetrate the deeper layers. Ethosomes, glycerosomes, and glycethosomes are nanovesicular systems composed of ethanol, glycerol, or a combination of ethanol and glycerol, respectively. Their composition produce pliable vesicles by fluidizing the phospholipid bilayers, facilitating deeper penetration into the skin. This article examines the impact of ethanol and glycerol on phospholipid vesicles, and outlines their respective manufacturing techniques. Thus far, these discrepancies have not been analyzed comparatively. The review details several active compounds integrated into these nanovesicular gel systems and examined through in vitro, in vivo, or clinical human trials involving compositions with various active molecules for the treatment of various dermatological conditions. Full article
(This article belongs to the Special Issue Recent Advances in Gels Engineering for Drug Delivery (2nd Edition))
Show Figures

Figure 1

19 pages, 1438 KB  
Article
µ-Raman Spectroscopic Temperature Dependence Study of Biomimetic Lipid 1,2-Diphytanoyl-sn-glycero-3-phosphocholine
by Carmen Rizzuto, Antonello Nucera, Irene Barba Castagnaro, Riccardo C. Barberi and Marco Castriota
Biomimetics 2025, 10(5), 308; https://doi.org/10.3390/biomimetics10050308 - 11 May 2025
Cited by 2 | Viewed by 1424
Abstract
Raman spectroscopy is one of the best techniques for obtaining information concerning the physical–chemical interactions between a lipid and a solvent. Phospholipids in water are the main elements of cell membranes and, by means of their chemical and physical structures, their cells can [...] Read more.
Raman spectroscopy is one of the best techniques for obtaining information concerning the physical–chemical interactions between a lipid and a solvent. Phospholipids in water are the main elements of cell membranes and, by means of their chemical and physical structures, their cells can interact with other biological molecules (i.e., proteins and vitamins) and express their own biological functions. Phospholipids, due to their amphiphilic structure, form biomimetic membranes which are useful for studying cellular interactions and drug delivery. Synthetic systems such as DPhPC-based liposomes replicate the key properties of biological membranes. Among the different models, phospholipid mimetic membrane models of lamellar vesicles have been greatly supported. In this work, a biomimetic system, a deuterium solution (50 mM) of the synthetic phospholipid 1,2-diphytanoyl-sn-glycero-3-phosphocholine (DPhDC), is studied using μ-Raman spectroscopy in a wide temperature range from −181.15 °C up to 22.15 °C, including the following temperatures: −181.15 °C, −146.15 °C, −111.15 °C, −76.15 °C, −61.15 °C, −46.15 °C, −31.15 °C, −16.15 °C, −1.15 °C, 14.15 °C, and 22.15 °C. Based on the Raman evidence, phase transitions as a function of temperature are shown and grouped into five classes, where the corresponding Raman modes describe the stretching of the (C−N) bond in the choline head group (gauche) and the asymmetric stretching of the (O−P−O) bond. The acquisition temperature of each Raman spectrum characterizes the rocking mode of the methylene of the acyl chain. These findings enhance our understanding of the role of artificial biomimetic lipids in complex phospholipid membranes and provide valuable insights for optimizing their use in biosensing applications. Although the phase stability of DPhPC is known, the collected Raman data suggest subtle molecular rearrangements, possibly due to hydration and second-order transitions, which are relevant for membrane modeling and biosensing applications. Full article
Show Figures

Figure 1

16 pages, 2448 KB  
Article
Lactobacillus johnsonii N6.2 Phospholipids Induce T Cell Anergy upon Cognate Dendritic Cell Interactions
by Alexandra E. Cuaycal, Monica F. Torrez Lamberti, Graciela L. Lorca and Claudio F. Gonzalez
Metabolites 2025, 15(5), 284; https://doi.org/10.3390/metabo15050284 - 22 Apr 2025
Cited by 1 | Viewed by 1155
Abstract
Background/Objectives: Lactobacillus johnsonii N6.2 is a gut symbiont with probiotic properties. L. johnsonii N6.2 delayed the progression of type 1 diabetes (T1D) in diabetic-prone rats. The probiotic intake demonstrated immune cell modulation in healthy volunteers, leading to improved wellness and fewer reported [...] Read more.
Background/Objectives: Lactobacillus johnsonii N6.2 is a gut symbiont with probiotic properties. L. johnsonii N6.2 delayed the progression of type 1 diabetes (T1D) in diabetic-prone rats. The probiotic intake demonstrated immune cell modulation in healthy volunteers, leading to improved wellness and fewer reported symptoms like headaches and abdominal pain. These systemic immune-modulating benefits are attributed to L. johnsonii N6.2’s bioactive fractions, including extracellular vesicles (EVs) and purified phospholipids (PLs). We have previously shown that L. johnsonii N6.2 PLs modulate dendritic cell (DC) function towards a regulatory-like phenotype. Here, we further characterize the immune regulatory effects of L. johnsonii N6.2 PLs on adaptive immunity, specifically upon DC and T cell interactions. We hypothesized that PL-stimulated DCs suppress T cell-mediated responses to maintain tolerance in intra- and extra-intestinal sites. Methods: Bone marrow-derived dendritic cells (BMDCs) were generated from Sprague-Dawley rats and stimulated with L. johnsonii N6.2 PLs. Isogenic T cells were isolated from PBMCs obtained via terminal exsanguination. In vitro cellular assays, co-culture experiments, gene expression analysis by qRT-PCR, and flow cytometry assays were conducted to assess the immune regulatory effects of L. johnsonii N6.2 PLs. Results: The PL-stimulated BMDCs upregulated DC regulatory markers and exhibited an immature-like phenotype with reduced surface expression of maturation markers but increased surface migratory molecules (ICAM-1). These BMDCs presented immunosuppressive functions upon cognate T cell interactions and in the presence of TCR stimulation. Specifically, PL-stimulated BMCDs suppressed Th1 effector function and induced the expression of T cell anergy-related genes after co-culturing for 72 h. Conclusions: This study highlights the immune regulatory capacity of L. johnsonii N6.2’s bioactive components on adaptive immunity, specifically that of purified PLs on DC:T cell-mediated responses leading to immunosuppression. Our findings suggest that L. johnsonii N6.2-purified PLs play a role in regulating adaptive immunity, offering potential benefits for managing immune-related diseases like T1D. Full article
Show Figures

Figure 1

20 pages, 9461 KB  
Article
Enhanced Topical Delivery of Methotrexate via Transferosome-Loaded Microneedle Array Patch: Formulation, Optimization, and In Vitro–In Vivo Assessment
by Snehal Shinde, Anil Kumar Singh, Vijay R. Chidrawar, Amarjitsing Rajput and Sudarshan Singh
Pharmaceuticals 2025, 18(4), 594; https://doi.org/10.3390/ph18040594 - 18 Apr 2025
Cited by 7 | Viewed by 2417
Abstract
Background: Conventional approaches in treating psoriasis demonstrate several complications. methotrexate (MTX) has been frequently used for its efficacy in managing moderate to severe psoriasis. However, MTX acts as an antagonist in regular dosage, which creates a patient compliance issue with undesirable consequences for [...] Read more.
Background: Conventional approaches in treating psoriasis demonstrate several complications. methotrexate (MTX) has been frequently used for its efficacy in managing moderate to severe psoriasis. However, MTX acts as an antagonist in regular dosage, which creates a patient compliance issue with undesirable consequences for patients, which necessitates development of an innovative approach to enhance skin permeation. Therefore, this study examines the improved topical administration of MTX utilizing a transferosome-loaded microneedle (MNs) array patch for the management of psoriasis. Methods: A design of experiment was used assess the effect of phospholipid content and edge activator type on vesicle size and entrapment efficiency (EE) to fabricate and optimize transferosome-loaded MTX. Furthermore, the MTX was incorporated within MNs and assessed for in vitro-ex vivo-in vivo parameters. Results: The morphology result revealed vesicles mean diameter of 169.4 ± 0.40 nm and EE of 69 ± 0.48 (%). Compared to traditional formulations (MTX patch and gel), the optimized transferosome-loaded dissolving MN array patch showed a substantial increase in diffusion of MTX tested over rat skin. Furthermore, an enhanced therapeutic benefit at the application site through cumulative drug release profiles suggested sustained release of MTX over 24 h. Moreover, in vivo experiments showed that the MN array patch exhibited higher accumulation, compared to conventional formulation tested. In addition, the plasma concentration measurements demonstrated a reduction in systemic exposure to MTX, diminishing the possibility of intricacy while preserving localized therapeutic efficacy. The capability of the MN array patch to lance the epidermal layers was proven by histological assessments. Conclusions: Thus, transferosome-loaded MNs is a viable method of delivering MTX topically with prolonged drug release and reduced systemic toxicity. Full article
(This article belongs to the Special Issue Nanotechnology in Biomedical Applications)
Show Figures

Graphical abstract

33 pages, 1309 KB  
Review
The Pharmaceutical and Pharmacological Potential Applications of Bilosomes as Nanocarriers for Drug Delivery
by Darko Mitrović, Dragana Zaklan, Maja Đanić, Bojan Stanimirov, Karmen Stankov, Hani Al-Salami and Nebojša Pavlović
Molecules 2025, 30(5), 1181; https://doi.org/10.3390/molecules30051181 - 6 Mar 2025
Cited by 13 | Viewed by 5021
Abstract
Nano-drug delivery systems provide targeted solutions for addressing various drug delivery challenges, leveraging nanotechnology to enhance drug solubility and permeability. Liposomes, explored for several decades, face hurdles, especially in oral delivery. Bile-acid stabilized vesicles (bilosomes) are flexible lipid vesicles, composed of phospholipids or [...] Read more.
Nano-drug delivery systems provide targeted solutions for addressing various drug delivery challenges, leveraging nanotechnology to enhance drug solubility and permeability. Liposomes, explored for several decades, face hurdles, especially in oral delivery. Bile-acid stabilized vesicles (bilosomes) are flexible lipid vesicles, composed of phospholipids or other surfactants, along with amphiphilic bile salts, and they show superior stability and pharmacokinetic behavior in comparison to conventional vesicular systems (liposomes and niosomes). Bilosomes enhance skin penetration, fluidize the stratum corneum, and improve drug stability. In oral applications, bilosomes overcome drawbacks, offering improved bioavailability, controlled release, and reduced side effects. Vaccines using bilosomes demonstrate efficacy, and bilosomes for intranasal, inhalation, ocular, and buccal applications enhance drug delivery, offering targeted, efficient, and controlled activities. Formulations vary based on active substances and optimization techniques, showcasing the versatility and potential of bilosomes across diverse drug delivery routes. Therefore, the aim of this comprehensive review was to critically explore the state-of-the-art of bilosomes in drug delivery and potential therapeutic applications. Full article
(This article belongs to the Special Issue Lipids and Surfactants in Delivery Systems)
Show Figures

Figure 1

28 pages, 8654 KB  
Article
Formation of a Neuronal Membrane Model: A Quartz Crystal Microbalance with Dissipation Monitoring Study
by Elaheh Kamaloo, Terri A. Camesano and Ramanathan Nagarajan
Biomolecules 2025, 15(3), 362; https://doi.org/10.3390/biom15030362 - 2 Mar 2025
Viewed by 1509
Abstract
Supported lipid bilayers (SLBs) that model neuronal membranes are needed to explore the role of membrane lipids in the misfolding and aggregation of amyloid proteins associated with neurodegenerative diseases, including Parkinson’s and Alzheimer’s disease. The neuronal membranes include not only phospholipids, but also [...] Read more.
Supported lipid bilayers (SLBs) that model neuronal membranes are needed to explore the role of membrane lipids in the misfolding and aggregation of amyloid proteins associated with neurodegenerative diseases, including Parkinson’s and Alzheimer’s disease. The neuronal membranes include not only phospholipids, but also significant amounts of cholesterol, sphingomyelin, and gangliosides, which are critical to its biological function. In this study, we explored the conditions for the formation of an SLB, for the five-component lipid mixture composed of zwitterionic 1,2-Dioleoyl-sn-glycero-3-phosphocholine (DOPC), anionic 1,2-dioleoyl- sn-glycero-3-phospho-L-serine (DOPS), nonionic cholesterol (Chol), zwitterionic sphingomyelin (SM), and anionic ganglioside (GM), using the quartz crystal microbalance with dissipation monitoring (QCM-D) technique, by varying experimental parameters such as pH, buffer type, temperature, vesicle size, and osmotic stress. SLB formation from this multicomponent lipid system was found challenging because the vesicles adsorbed intact on the quartz crystal and failed to rupture. For most of the variables tested, other than osmotic stress, we found no or only partial vesicle rupture leading to either a supported layer of vesicles or a partial SLB that included unruptured vesicles. When osmotic stress was applied to the vesicles already adsorbed on the surface, by having a different salt concentration in the rinse buffer that follows vesicle flow compared to that of the dilution buffer during vesicle flow and adsorption, vesicle rupture increased, but it remained incomplete. In contrast, when osmotic stress was applied during vesicle flow and adsorption on the surface, by having different salt concentrations in the dilution buffer in which vesicles flowed compared to the hydration buffer in which vesicles were prepared, complete vesicle rupture and successful formation of a rigid SLB was demonstrated. The robustness of this approach to form SLBs by applying osmotic stress during vesicle adsorption was found to be independent of the number of lipid components, as shown by SLB formation from the 1-, 2-, 3-, 4-, and 5-component lipid systems. Full article
Show Figures

Figure 1

16 pages, 2075 KB  
Article
Evaluation of Liposome-Encapsulated Vancomycin Against Methicillin-Resistant Staphylococcus aureus
by Enkhtaivan Erdene, Odonchimeg Munkhjargal, Galindev Batnasan, Enkhjargal Dorjbal, Baatarkhuu Oidov and Ariunsanaa Byambaa
Biomedicines 2025, 13(2), 378; https://doi.org/10.3390/biomedicines13020378 - 6 Feb 2025
Cited by 4 | Viewed by 2382
Abstract
Background/Objectives: Methicillin-resistant Staphylococcus aureus (MRSA) is a global health concern due to its resistance to conventional antibiotics. This study evaluated the efficacy of liposome-encapsulated vancomycin against MRSA using phospholipids extracted from egg yolk. Liposomes were prepared via the freeze–thaw method, yielding vesicles with [...] Read more.
Background/Objectives: Methicillin-resistant Staphylococcus aureus (MRSA) is a global health concern due to its resistance to conventional antibiotics. This study evaluated the efficacy of liposome-encapsulated vancomycin against MRSA using phospholipids extracted from egg yolk. Liposomes were prepared via the freeze–thaw method, yielding vesicles with an average diameter of 157.01 ± 33.04 nm and a polydispersity index (PDI) of 0.0442, indicating uniformity and stability. Antibacterial activity was assessed using the microdilution method. Liposome-encapsulated vancomycin demonstrated complete bacterial growth inhibition (100%) against MRSA ATCC 2758 at dilutions of 101 and 102, compared to only 50% inhibition by free vancomycin at 101. At higher dilutions (103), liposome-encapsulated vancomycin maintained 70% inhibition, whereas free vancomycin was ineffective. In vivo studies using a murine wound infection model revealed that wounds treated with liposome-encapsulated vancomycin achieved superior healing, with complete tissue regeneration observed by day 14. Histological analysis showed reduced inflammation and enhanced tissue recovery in liposome-encapsulated vancomycin-treated groups, compared to fibrosis and persistent necrosis in free vancomycin-treated groups. By enabling sustained drug release and improved bioavailability, liposomal formulations minimized required dosages and systemic toxicity, reducing the risk of resistance development. This study highlights the clinical potential of liposome-encapsulated vancomycin as a scalable, cost-effective treatment for MRSA, particularly in resource-limited settings. Full article
(This article belongs to the Section Drug Discovery, Development and Delivery)
Show Figures

Figure 1

Back to TopTop